当前位置:首页>文档>专题03圆中的重要模型-圆弧的中点模型(教师版)_初中数学_九年级数学上册(人教版)_常见几何模型全归纳-V13_2024版

专题03圆中的重要模型-圆弧的中点模型(教师版)_初中数学_九年级数学上册(人教版)_常见几何模型全归纳-V13_2024版

  • 2026-04-11 17:16:13 2026-03-20 06:15:26

文档预览

专题03圆中的重要模型-圆弧的中点模型(教师版)_初中数学_九年级数学上册(人教版)_常见几何模型全归纳-V13_2024版
专题03圆中的重要模型-圆弧的中点模型(教师版)_初中数学_九年级数学上册(人教版)_常见几何模型全归纳-V13_2024版
专题03圆中的重要模型-圆弧的中点模型(教师版)_初中数学_九年级数学上册(人教版)_常见几何模型全归纳-V13_2024版
专题03圆中的重要模型-圆弧的中点模型(教师版)_初中数学_九年级数学上册(人教版)_常见几何模型全归纳-V13_2024版
专题03圆中的重要模型-圆弧的中点模型(教师版)_初中数学_九年级数学上册(人教版)_常见几何模型全归纳-V13_2024版
专题03圆中的重要模型-圆弧的中点模型(教师版)_初中数学_九年级数学上册(人教版)_常见几何模型全归纳-V13_2024版
专题03圆中的重要模型-圆弧的中点模型(教师版)_初中数学_九年级数学上册(人教版)_常见几何模型全归纳-V13_2024版
专题03圆中的重要模型-圆弧的中点模型(教师版)_初中数学_九年级数学上册(人教版)_常见几何模型全归纳-V13_2024版
专题03圆中的重要模型-圆弧的中点模型(教师版)_初中数学_九年级数学上册(人教版)_常见几何模型全归纳-V13_2024版
专题03圆中的重要模型-圆弧的中点模型(教师版)_初中数学_九年级数学上册(人教版)_常见几何模型全归纳-V13_2024版
专题03圆中的重要模型-圆弧的中点模型(教师版)_初中数学_九年级数学上册(人教版)_常见几何模型全归纳-V13_2024版
专题03圆中的重要模型-圆弧的中点模型(教师版)_初中数学_九年级数学上册(人教版)_常见几何模型全归纳-V13_2024版
专题03圆中的重要模型-圆弧的中点模型(教师版)_初中数学_九年级数学上册(人教版)_常见几何模型全归纳-V13_2024版
专题03圆中的重要模型-圆弧的中点模型(教师版)_初中数学_九年级数学上册(人教版)_常见几何模型全归纳-V13_2024版
专题03圆中的重要模型-圆弧的中点模型(教师版)_初中数学_九年级数学上册(人教版)_常见几何模型全归纳-V13_2024版
专题03圆中的重要模型-圆弧的中点模型(教师版)_初中数学_九年级数学上册(人教版)_常见几何模型全归纳-V13_2024版
专题03圆中的重要模型-圆弧的中点模型(教师版)_初中数学_九年级数学上册(人教版)_常见几何模型全归纳-V13_2024版
专题03圆中的重要模型-圆弧的中点模型(教师版)_初中数学_九年级数学上册(人教版)_常见几何模型全归纳-V13_2024版
专题03圆中的重要模型-圆弧的中点模型(教师版)_初中数学_九年级数学上册(人教版)_常见几何模型全归纳-V13_2024版
专题03圆中的重要模型-圆弧的中点模型(教师版)_初中数学_九年级数学上册(人教版)_常见几何模型全归纳-V13_2024版
专题03圆中的重要模型-圆弧的中点模型(教师版)_初中数学_九年级数学上册(人教版)_常见几何模型全归纳-V13_2024版
专题03圆中的重要模型-圆弧的中点模型(教师版)_初中数学_九年级数学上册(人教版)_常见几何模型全归纳-V13_2024版
专题03圆中的重要模型-圆弧的中点模型(教师版)_初中数学_九年级数学上册(人教版)_常见几何模型全归纳-V13_2024版
专题03圆中的重要模型-圆弧的中点模型(教师版)_初中数学_九年级数学上册(人教版)_常见几何模型全归纳-V13_2024版
专题03圆中的重要模型-圆弧的中点模型(教师版)_初中数学_九年级数学上册(人教版)_常见几何模型全归纳-V13_2024版
专题03圆中的重要模型-圆弧的中点模型(教师版)_初中数学_九年级数学上册(人教版)_常见几何模型全归纳-V13_2024版
专题03圆中的重要模型-圆弧的中点模型(教师版)_初中数学_九年级数学上册(人教版)_常见几何模型全归纳-V13_2024版
专题03圆中的重要模型-圆弧的中点模型(教师版)_初中数学_九年级数学上册(人教版)_常见几何模型全归纳-V13_2024版
专题03圆中的重要模型-圆弧的中点模型(教师版)_初中数学_九年级数学上册(人教版)_常见几何模型全归纳-V13_2024版
专题03圆中的重要模型-圆弧的中点模型(教师版)_初中数学_九年级数学上册(人教版)_常见几何模型全归纳-V13_2024版
专题03圆中的重要模型-圆弧的中点模型(教师版)_初中数学_九年级数学上册(人教版)_常见几何模型全归纳-V13_2024版
专题03圆中的重要模型-圆弧的中点模型(教师版)_初中数学_九年级数学上册(人教版)_常见几何模型全归纳-V13_2024版
专题03圆中的重要模型-圆弧的中点模型(教师版)_初中数学_九年级数学上册(人教版)_常见几何模型全归纳-V13_2024版
专题03圆中的重要模型-圆弧的中点模型(教师版)_初中数学_九年级数学上册(人教版)_常见几何模型全归纳-V13_2024版
专题03圆中的重要模型-圆弧的中点模型(教师版)_初中数学_九年级数学上册(人教版)_常见几何模型全归纳-V13_2024版
专题03圆中的重要模型-圆弧的中点模型(教师版)_初中数学_九年级数学上册(人教版)_常见几何模型全归纳-V13_2024版
专题03圆中的重要模型-圆弧的中点模型(教师版)_初中数学_九年级数学上册(人教版)_常见几何模型全归纳-V13_2024版
专题03圆中的重要模型-圆弧的中点模型(教师版)_初中数学_九年级数学上册(人教版)_常见几何模型全归纳-V13_2024版
专题03圆中的重要模型-圆弧的中点模型(教师版)_初中数学_九年级数学上册(人教版)_常见几何模型全归纳-V13_2024版
专题03圆中的重要模型-圆弧的中点模型(教师版)_初中数学_九年级数学上册(人教版)_常见几何模型全归纳-V13_2024版
专题03圆中的重要模型-圆弧的中点模型(教师版)_初中数学_九年级数学上册(人教版)_常见几何模型全归纳-V13_2024版
专题03圆中的重要模型-圆弧的中点模型(教师版)_初中数学_九年级数学上册(人教版)_常见几何模型全归纳-V13_2024版
专题03圆中的重要模型-圆弧的中点模型(教师版)_初中数学_九年级数学上册(人教版)_常见几何模型全归纳-V13_2024版
专题03圆中的重要模型-圆弧的中点模型(教师版)_初中数学_九年级数学上册(人教版)_常见几何模型全归纳-V13_2024版

文档信息

文档格式
docx
文档大小
6.546 MB
文档页数
44 页
上传时间
2026-03-20 06:15:26

文档内容

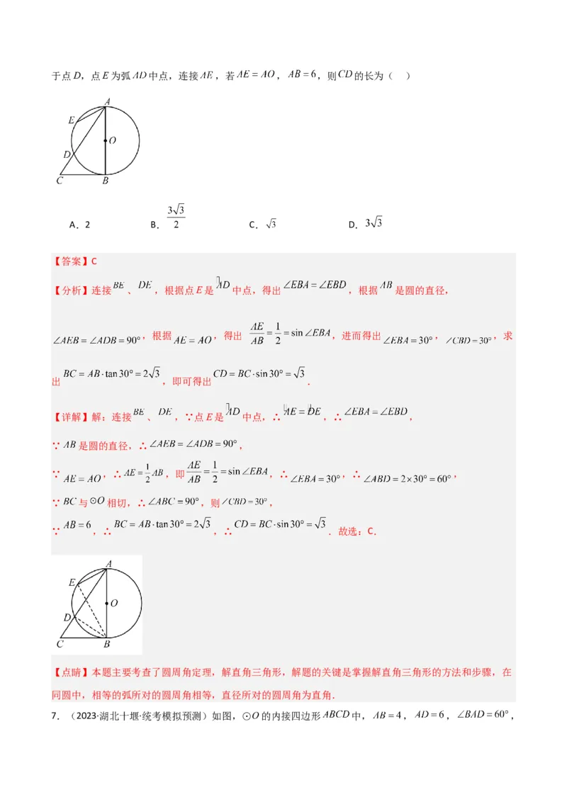
专题03 圆中的重要模型-圆弧的中点模型 当圆中出现弧的中点时,我们要注意考虑几个方面:三角形的中位线,垂径定理,圆周角定理,弦, 弧,圆心角,圆周角的关系等等。其关系复杂,在理解其做辅助线的方法和分析技巧的基础之上,还要注 意各知识点之间的联系,才是形成稳固的解题思路以及推导模式的最佳选择,以便于最后才能突破复杂的 综合题型以及压轴题型。 当圆中出现弦的中点或弧的中点时,我们联想到的是利用垂径定理以及圆周角定理进行思路的突破, 这样的解决方式比较直接,而且能够提高大家解题的效率 模型1、与垂径定理相关的中点模型 O O O A B A B A B M N M N P P P 图1 图2 图3 1)如图1,已知点P是 中点,连接OP,则OP⊥AB. 2)如图2,已知过点P作MN∥AB,则MN是圆O的切线. 3)如图3,变换条件:连接BP、AP,若∠BPN=∠A,则MN是圆O切线. 例1.(2023·浙江·九年级假期作业)如图, 是半径为8的 的弦,点C是优弧 的中点, ,则弦 的长度是( ) A.8 B.4 C. D. 【答案】D 【分析】连接 ,过点O作 ,证明 是等边三角形,再根据勾股定理求解即可.【详解】解:连接 ,过点O作 ,如图所示, ∵点C是优弧 的中点,∴ ,∵ ,∴ 是等边三角形,∴ , ∵ 的半径为8,∴ ,∴ ,∴ ,故选:D. 【点睛】本题考查圆的性质,涉及到等边三角形的判定和证明,正确作出辅助线是解题的关键. 例2.(2023·山东临沂·统考一模)如图, 是半圆 的直径,点 在半圆 上,点 为 的中点,连 接 , , , 与 相交于点 ,过点 作直线 ,交 的延长线于点 . (1)求证: 是 的切线;(2)若 , ,求阴影部分的面积. 【答案】(1)见解析(2) 【分析】(1)连接 ,由垂径定理得 ,由平行线的性质推出 ,即可得证; (2)连接 、 ,过点 作 ,垂足是 ,由圆周角定理可得 ,则 , ,推出 是等边三角形,解 求得 ,根据三线合一求得 ,利用 求解即可. 【详解】(1)证明:如图所示,连接 ,点 为 的中点, , , . 是 的切线. (2)解:如图所示,连接 、 ,过点 作 ,垂足是 , ,点 为 的中点, , , , 又 , 是等边三角形, 是半圆 的直径, , 在 中, , , , , , . 【点睛】本题主要考查了切线的判定定理、垂径定理、圆周角定理、平行线的性质、等边三角形的判定和 性质以及解直角三角形,掌握知识点并灵活运用是解题的关键. 例3.(2023·福建龙岩·统考一模)如图,点C是 的中点,直线 与 相切于点C,直线 与切线 相交于点E,与 相交于另一点D,连接 , . (1)求证: ;(2)若 ,求 的度数. 【答案】(1)见解析(2) 【分析】(1)连接 , ,先证明 ,再利用等腰三角形的三线合一性质得出 , 由切线的性质可得 ,最后根据平行线的判定即可得证;(2)利用等边对等角和三角形外角的性质可得 ,利用三角形内角的定理并结合条件“ ”可求出 ,最后利用三角形外角的性质即可求出 的度数. 【详解】(1)证明:连接 , , ∵点C是 的中点,∴ ,∴ , 又∵ ,∴ , ∵直线EF与 相切于点C,∴ ,∴ ; (2)解:∵ ,∴ ,∴ , 由(1)知, ,∴ ,即 , ∵ , ,∴ ,∴ , ∴ . 【点睛】本题考查了圆的切线的性质,等腰三角形的性质等知识,明确题意,找出所求问题需要的条件是 解题的关键. 例4.(2023·山东潍坊·统考二模)如图, 为 的直径,点D为圆周上一点(不与A,B重合),点C 为 的中点,连接BC并延长至点E,连接AE,AC,恰有AC平分 .(1)求证: 为 的切线; (2)作 , ,垂足分别为点D,F,若 , ,求AE的长. 【答案】(1)见解析(2) .【分析】(1)利用圆周角定理,得到 ,由点C为 的中点,得到 ,再等量代换证明 ,即可证明结论;(2)延长 交 于点G,延长 交 于点H,连接 ,证明四边形 为矩形,求得 ,再证明 ,利用相似三角形的性质求得 ,再根据勾股定理即可求解. 【详解】(1)证明:∵ 为 的直径, ∴ ,则 , ∵点C为 的中点,∴ , ,则 , ∵AC平分 ,∴ ,则 , ∴ ,∴ 为 的切线; (2)解:延长 交 于点G,延长 交 于点H,连接 , ∵ ,∴ ,∵ ,∴ , ∵ 为 的直径,∴ , ∵ ,∴ ,∴四边形 为矩形, ∴ ,在 中, , ,∴ , ∵ , ,∴ , ∴ ,即 ,∴ ,∴ . 【点睛】此题考查了切线的判定、圆周角定理、三角形中位线的判定与性质、矩形的判定与性质、相似三 角形的判定与性质、勾股定理等知识,熟记掌握相似三角形的判定与性质、切线的判定、圆周角定理、三 角形中位线的判定与性质、矩形的判定与性质并作出合理的辅助线是解题的关键.模型2、与圆周角定理相关的中点模型(母子型) C C C A B O O O A B A B P P P 图1 图2 图3 1)如图1,已知点P是 中点,点C是圆上一点,则∠PCA=∠PCB. 2)如图2,已知点P是半圆中点,则∠PCA=∠PCB=45°. 3)如图 3,已知点 P 是 中点,则∠PBA=∠PCA=∠PCB=∠PAB.可得:△PDA∽△PAC; △PDB∽△PBC. C C C C O O O O D A B A B A B A B D D D P P P P 可得:△CAP∽△CDB;△CAD∽△CPB. 例1.(2023·浙江温州·九年级校考阶段练习)如图,在 中,点A是 的中点,若 ,则 的度数为( ) A. B. C. D. 【答案】D【分析】直接利用圆周角定理求解. 【详解】解: 点 是 的中点, , .故选:D. 【点睛】本题考查了圆周角定理:在同圆或等圆中,同弧或等弧所对的圆周角相等,都等于这条弧所对的 圆心角的一半. 例2.(2023·山东德州·统考二模)如图1, 内接于 ,点 是劣弧 的中点,且点 与点 位 于 的异侧. (1)请用圆规和无刻度直尺在图1中确定劣弧 的中点 ; (2)在图1中,连接 交 于点 ,连接 ,求证 ; (3)如图2,点 是半圆的中点,若⊙O的直径 ,求 和 的长. 【答案】(1)见解析(2)见解析(3) , 【分析】(1)作线段 的垂直平分线与 的交点即为 点; (2)根据 ,证得 ,进而证明 ∽ ,对应线段成比例,从而推出结论; (3)连接 ,因为 为半圆中点,则 为等腰直角三角形,已知斜边可求出 的长,可证明 ∽ ,得到 ,求解关于 的方程即可求解. 【详解】(1)解:如图所示, 点为所作点:(2)证明:∵点D是劣弧 的中点, ∴ ,∴ , ∵ ,∴ ∽ ∴ ,∴ (3)解:连结BD,∵点D是 的中点,∴ ,∵ 是 的直径,∴ ∴ 为等腰直角三角形,∴ 由(1)得 ∽ , ,即 , ∴ ,∴ ,解得 或 (负值舍去)∴ . 【点睛】本题考查了圆周角定理,垂径定理,相似三角形的判定和性质,数量掌握垂径定理和相似三角形 的性质是求解的关键. 例3.(2023春·浙江杭州·九年级校考阶段练习)如图,已知 是圆 的直径,点 在圆 上,且 ,过点 作弦 的平行线与 的延长线交于点 (1)若圆 的半径为 ,且点 为弧 的中点时,求线段 的长度; (2)在(1)的条件下,当 , α时,求线段 的长度;(答案用含α的代数式表示) (3)若 ,且 ,求 的面积.【答案】(1) ;(2) ;(3)108. 【分析】(1)过 作 于 ,连接 ,根据点 为弧 的中点,可得 ,进而得出 ,再根据圆 的半径为 ,即可得到 ,从而得解; (2)先判定 ,从而根据相似三角形的性质即可求解; (3)连接 , , ,并延长 至 点,依据 , ,判定 ,即可得到 ,设 ,再根据 ,得 即 ,再利用勾股定理求出 ,可得 ,从而即可得解. 【详解】(1)解∶如图,过 作 于 ,连接 ,则 , ∵ 是圆 的直径,∴ , ∵点 为弧 的中点,∴弧 弧 , ∴ , ∴ ,∴ ,∴ , ∵圆 的半径为 ,即 ,∴ ,∴ ; (2)解:∵ , ,∴ ,∵ ,∴ ,∴ , 由 可知 ,∴ ; (3)解:如图,连接 , , ,并延长 至 点, ∵ 是圆 的直径,∴ , ∵ , ,∴ 垂直平分 ,∴ , 又∵ ,∴ ,∴ , 又∵ ,∴ ,∴ 即 , 设 ,则 ,∴ , ,∴ , , ∵ ,∴ ,∵ ,∴ , , ∴ , 即 ,解 , ∴ ,∴ 的面积 . 【点睛】本题属于圆的综合题,主要考查了相似三角形的判定与性质,垂径定理以及等腰三角形的性质的 综合运用,解决问题的关键是作辅助线构造相似三角形,依据相似三角形的对应边成比例得到方程得出结 论.在判定两个三角形相似时,应注意利用图形中已有的公共角、公共边等隐含条件,以充分发挥基本图 形的作用,寻找相似三角形的一般方法是通过作平行线构造相似三角形. 例4.(2023·四川巴中·统考一模)如图, 是半圆O的直径,D为半圆O上的点(不与A,B重合), 连接 ,点C为 的中点,过点C作 ,交 的延长线于点F,连接 , 交于点E. (1)求证: 是半圆O的切线.(2)求证: .(3)若 , ,求阴影部分的面积. 【答案】(1)见解析(2)见解析(3) 【分析】(1)根据点C为弧 的中点,得出 ,然后得出 ,根据平行线的性质得出 ,进而即可证明结果; (2)连接 ,根据圆周角定理可得 ,证明 ,即可得出结果; (3)根据 ,可得 ,从而可证 是等边三角形,即得 ,即 ,从而可得 ,由(2)可知, ,从而求出 , 最后根据 即可求出结果. 【详解】(1)证明:连接 ,∵点C为弧 的中点,∴ ,∴ , 又∵ ,∴ ,∴ ,∴ , 又∵ ,∴ ,∴ 是半圆O的切线; (2)证明:连接 ,∵ 是半圆O的直径,∴ ,∴ , ∵ ,∴ ,∴ ,∴ ; (3)解:∵在 中, , , ∴ , , ∴ ,∴ , ∴ , , ∵ , ,∴ 是等边三角形, ∴ ,∴ ,∴ ,∴ ,∵由(2)可知, ,∴ ,∴圆O的半径为 , . 【点睛】本题考查切线的判定、圆周角定理、相似三角形的判定与性质、等边三角形的判定与性质、锐角 三角函数及扇形面积公式,熟练掌握相关知识是解题的关键. 模型3、垂径定理与圆周角定理结合的中点模型 P P P C C C D D D A B A B A B H O H O H O Q 如图,AB是直径,点P是 中点,过点P作PH⊥AB交AB于点H,则△ADP∽△APC. 以下作图可证明:∠PAC=∠APH,即可得△PAD是等腰三角形. 例1.(2023·湖南长沙·长沙市长郡双语实验中学统考一模)如图,已知 是 的直径, 与 相切 于点 , 与 相交于点 , 是弧 的中点,现有如下几个结论: , , , ,其中正确的个数为( ) A. 个 B. 个 C. 个 D. 个 【答案】C 【分析】根据圆的切线定理,同弧或者等弧所对的圆周角相等,同弧或者等弧所对的圆周角是圆心角的一 半等依次判断,即可.【详解】解:∵ 是 的直径, 与 相切于点 ,∴ ,∴ 正确; ∵ 是弧 的中点、∴ ∴ , , ∵ 所对的圆周角是 ,∴ , ∴ ∴ ,∴ 正确; ∵ 所对的圆心角是 , 所对的圆周角是 , ∴ ,∴ 正确;∵ , , 但无法证明 与 的等量关系,∴ ,∴ 错误; 综上所述,正确的为: 共3个.故选:C. 【点睛】本题考查圆的知识,解题关键是掌握圆的基本性质,圆的切线定理,圆周角,圆心角,弦的关系. 例1.(2023·浙江金华·校联考二模)如图, 是 的直径,C是 上一点,点D是弧 的中点, 于点E,交 于点F,已知 , 的半径为2,则 的长为 . 【答案】 / 【分析】延长 交 于点G,连接 、 ,先由同弧或等弧所对的圆周角相等得 , 得 ,由直径所对的圆周角等于 得 ,勾股定理得 ,则 ,再 由勾股定理求出 ,则 ,设 ,则 ,然后在 中,由勾 股定理得出方程,解方程即可. 【详解】解:延长 交 于点G,连接 、 ,如图所示:∵点D是弧 的中点,∴ , 又∵ ,∴ ,∴ ,∴ ,∴ , ∵ 是 的直径, 的半径为2,∴ , ∴ , ,∴ , ∵ ∴ ,∴ ;即: , ∵ ,∴ ,∴ , 设 ,则 ,在 中,由勾股定理得: ,解得: ,∴ ,故答案为: . 【点睛】本题考查了圆周角定理的推论、垂径定理、圆心角、弧、弦的关系、勾股定理等知识;熟练掌握 圆周角定理和垂径定理是解题的关键. 例3.(2023·河南信阳·统考一模)如图, 是 的直径,点 是圆上一点,点 是 的中点, ,过点 作 的切线交 的延长线于点 . (1)求证: ;(2)若 , 的半径是3,求 的长. 【答案】(1)见解析 (2) 【分析】(1)连接 ,先根据切线定理,得 ,再根据等弧所对的圆周角相等,得到 ,再根据垂径定理及等角的余角相等可推出结论.(2)由已知 ,结合(1)中结论得 即可求出 的长. 【详解】(1)证明:连接 . ∵ 是 的切线,∴ . ∵点 是 的中点,∴ ,∴ . ∵ ,∴ ∴ ,∴ . ∵ , ,∴ . ∵ ,∴ ,∴ . (2)解:∵ , , ∴ , ,∴ ,∴ ,∴ . ∵ ,∴ ,∴ . 【点睛】本题考查了圆的基本性质,垂径定理,切线的性质。熟练掌握圆的切线的性质及圆中的相关计算 是解题的关键. 例4.(2023·四川成都·统考二模)如图, 是 的一条弦,点 是 中点,连接 , , 交 于点 .过点 作 的切线交 的延长线于点 ,延长 交 于点 ,连接 交 于点 , 连接 .(1)求证: ;(2)已知 ,求 的值. 【答案】(1)见解析(2) 【分析】(1)由切线的性质,圆周角定理得到 ,又 ,即可证明问题;(2)由 得到 ,由 ,得到 ,因此 ,于是得到 . 【详解】(1)证明:∵ 切 于 ,∴直径 ,∴ , ∵ 是 的直径, , , , ∵ ,∴ ; (2)解:如图所示,连接 , ∵C是 中点, , ∵ , , , , ∵ ,∴ ,∴ , ,由(1)知 , ∴ , , , . 【点睛】本题考查切线的性质,圆周角定理,相似三角形的判定和性质,关键是由 , ,得到 . 模型4、与托勒密定理相关的中点模型图1 图2 1)同侧型: 条件:如图5,A为弧BC中点,D为圆上等腰三角形底边下方一点,结论:BD+CD= 2AD×cosθ; 特别地:1)当三角形为等边三角形时(即θ=60°); 结论:BD+CD= AD 2)当三角形为等腰直角三角形时(即θ=90°); 结论:BD+CD= AD 3)当三角形为120°的等腰直角三角形时(即θ=120°); 结论:BD+CD= AD 2)异侧型: 条件:如图5,A为弧BC中点,D为圆上等腰三角形底边下方一点,结论:BD-CD= 2AD×cosθ; 特别地:1)当三角形为等边三角形时(即θ=60°); 结论:BD-CD= AD 2)当三角形为等腰直角三角形时(即θ=90°); 结论:BD-CD= AD 3)当三角形为120°的等腰直角三角形时(即θ=120°); 结论:BD-CD= AD 例1.(2023·浙江·九年级期中)如图, 为圆内接四边形 的对角线,且点D为 的中点; (1)如图1,若 、直接写出 与 的数量关系;(2)如图2、若 、 平分 , ,求 的长度. 【答案】(1) (2) 【分析】(1)如图: 绕B逆时针旋转交 于E,即 ,先说明 是等边三角形可得 ;再说明 是等边三角形可得 ,进而证明 可得 ,最后根据 即可证明结论; (2)如图:连接 , 交 于E,先说明 为 直径,即 ,再运用圆周角定理和勾 股定理可得 ,进而求得 、 ,最后运用勾股定理即可解答 【详解】(1)解:如图: 绕B逆时针旋转交 于E,即 , ∵ ,∴ , ∴ 是等边三角形,∴ , ∵点D为 的中点∴ ,∵ ,∴ 是等边三角形, ∴ ,∴ ,即 , ∴ ,∴ , ∴ ,即 . (2)解:如图:连接 , 交 于E, ∵ ,∴ 为 直径,即 ∵点D为 的中点,∴ ,∴ ,即 ,解得: , ∵ 平分 ,∴ , 又∵ ,∴ 垂直平分 ,即 ,∴ , ∵ .∴ 是 的中位线,∴ , ∴ ,∴ . 【点睛】本题主要考查了圆周角定理、垂径定理、勾股定理、全等三角形的判定与性质、等腰三角形的判 定与性质等知识点,灵活运用相关定理是解答本题的关键. 例2.(2023·云南红河·统考二模)如图,在 中, 为 的直径,过点C作射线 , , 点B为弧 的中点,连接 , , .点P为弧 上的一个动点(不与B,C重合),连接 , , , .(1)若 ,判断射线 与 的位置关系;(2)求证: . 【答案】(1) 与 相切,理由见解析(2)证明见解析 【分析】(1)根据 为 的直径,得出 ,根据 ,得出 ,即可 证明结论;(2)在 上截取 ,连接 ,证明 ,得出 ,求出 ,过点B作 于点H,根据三角函数求出 ,得出 ,即可证明结论.【详解】(1)解: 与 相切,理由如下: ∵ 为 的直径,∴ , ∵ ,∴ , ∴ ,∴ , ∵ 且 为 半径,∴ 为 的切线. (2)证明:在 上截取 ,连接 ,如图3, ∵点B为弧 的中点, ,∴ , ∴ , , ∵ 与 同对弧 ,∴ , 在 和 中, , ∴ ,∴ , 又∵ ,∴ ,∴ , 过点B作 于点H,∴ ,∴ , 在 中, ,∴ ,∴ , 又∵ , ,∴ . 【点睛】本题主要考查了切线的判定,解直角三角形,全等三角形的判断和性质,圆周角定理,解题的关 键是理解题意,作出辅助线,熟练掌握相关的性质和判定.例3.(2023·山西阳泉·九年级统考期末)阅读下列材料,并完成相应的任务. 任务:(1)上述证明过程中的“依据1”和“依据2”分别指什么? 依据1: 依据2: (2)当圆内接四边形ABCD是矩形时,托勒密定理就是我们非常熟知的一个定理: (请写出定理名 称). (3)如图(3),四边形ABCD内接于⊙O,AB=3,AD=5,∠BAD=60°,点C是弧BD的中点,求AC的 长. 【答案】(1)同弧所对的圆周角相等;两角分别对应相等的两个三角形相似(2)勾股定理(3) AC = 【分析】(1)根据圆周角定理的推论以及三角形相似的判定定理,即可得到答案; (2)根据矩形的性质和托勒密定理,即可得到答案; (3)连接BD,过点C作CE⊥BD于点E.由四边形ABCD内接于⊙O,点C是弧BD的中点,可得∆BCD 是底角为30°的等腰三角形,进而得BD=2 DE= CD,结合托勒密定理,列出方程,即可求解.【详解】(1)依据1指的是:同弧所对的圆周角相等; 依据2指的是:两角分别对应相等的两个三角形相似 . 故答案是:同弧所对的圆周角相等;两角分别对应相等的两个三角形相似; (2)∵当圆内接四边形ABCD是矩形时,∴AC=BD,BC=AD,AB=CD, ∵由托勒密定理得:AC·BD=AB·CD+BC·AD,∴ .故答案是:勾股定理; (3)如图,连接BD,过点C作CE⊥BD于点E. ∵四边形ABCD内接于⊙O,∴∠BAD+∠BCD =180°,∵∠BAD=60°, ∴∠BCD =120°, ∵点C是弧BD的中点,∴ 弧BC=弧CD,∴ BC =CD,∴∠CBD =30°. 在Rt△CDE中,DE=CD·cos30°,∴DE= CD ,∴ BD=2 DE= CD. 由托勒密定理得: AC·BD=AB·CD+BC·AD.∴AC· CD=3CD+5CD.∴AC = . 【点睛】本题主要考查圆的内接四边形的性质与相似三角形的综合,添加辅助线,构造底角为30°的等腰 三角形,是解题的关键.课后专项训练 1.(2023·陕西宝鸡·统考三模)如图, , 是 的两条直径,点 是劣弧 的中点,连接 , .若 ,则 的度数为( ) A. B. C. D. 【答案】B 【分析】连接 ,由题意易得 ,则有 ,然后可得 ,进而根 据圆周角定理可求解. 【详解】解:连接 ,如图所示: ∵ , ,∴ ,∴ , ∵E是劣弧 的中点,∴ ,∴ ;故选B. 【点睛】本题主要考查圆周角定理及垂径定理,熟练掌握圆周角定理及垂径定理是解题的关键. 2.(2023·重庆·三模)如图, 是半径为6的 的直径, 是弦, 是弧 的中点, 与 相交 于点 ,若 为 的中点,则 的长为( )A. B. C. D. 【答案】C 【分析】先根据圆周角定理得到 ,根据垂径定理得到 , ,则可证明 为 的中位线,所以 ,通过证明 得到 ,所以 ,则可 计算出 ,然后利用勾股定理计算出 ,从而得到 的长. 【详解】解: 是半径为6的 的直径, , 是弧 的中点, , , , 为 的中位线, , 为 的中点, , 在 和 中, , , , , ,即 , ,解得: , 在 中, , ,故选:C. 【点睛】本题主要考查了圆心角、弧、弦的关系:在同圆或等圆中,如果两个圆心角、两条弧、两条弦中 有一组量相等,那么它们所对应的其余各组量都分别相等,也考查了垂径定理和圆周角定理. 3.(2023·浙江温州·校考二模)如图,点A,B在以 为直径的半圆上,B是 的中点,连接 交于点E,若 ,则 的度数是( ) A. B. C. D.【答案】C 【分析】连接AD,根据点B是 中点求出 ,根据三角形内角和可求解. 【详解】解:连接 , ∵B是 的中点, ,∴ , ∴ , ∵ 是直径,∴ ,∴ .故选:C. 【点睛】本题考查了圆的性质,掌握圆内弧和圆周角的关系以及三角形内角和是解题的关键. 4.(2023·山东德州·统考一模)如图, 是 的直径,点E,C在 上,点A是 的中点,过点A 作 的切线,交 的延长线于点D,连接 .若 ,则 的度数( ) A. B. C. D. 【答案】B 【分析】根据切线的性质得到 ,根据直角三角形的性质求出 ,根据圆周角定理得到 ,进而求出 ,根据垂径定理得到 ,进而得出答案. 【详解】解:∵过点A作 的切线,交 的延长线于点D,∴ , ∵ ,∴ , ∵ 是 的直径,∴ ,∴ , ∵点A是 的中点,∴ ,∴ 故选:B. 【点睛】本题考查的是切线的性质、圆周角定理、垂径定理,掌握圆的切线垂直于经过切点的半径是解题的关键. 5.(2023·安徽滁州·校考三模)如图,圆内接四边形 的边 过圆心O,过点C的切线与边 的延 长线交于点E,若点D是 的中点, ,则 的度数为( ) A. B. C. D. 【答案】B 【分析】连接 ,先根据切线的性质证明 ,再求出 的度数,再根据圆内接四边形的性 质求出 的度数,再根据点D是 的中点,得 ,即可求出结果. 【详解】解:连接 , ∵过点C的切线与边 的延长线交于点E, ,即 , , , , ∵四边形 是圆内接四边形, , ∵点D是 的中点, , ,故选:B. 【点睛】本题考查切线的性质,等腰三角形性质,三角形内角和定理以及圆内接四边形,掌握切线的性质, 等腰三角形性质,三角形内角和定理以及圆内接四边形的性质是正确解答的关键. 6.(2023·重庆·校考二模)如图,在 中, 是圆的直径,过点B作 的切线 ,连接 交于点D,点E为弧 中点,连接 ,若 , ,则 的长为( ) A.2 B. C. D. 【答案】C 【分析】连接 、 ,根据点E是 中点,得出 ,根据 是圆的直径, ,根据 ,得出 ,进而得出 , ,求 出 ,即可得出 . 【详解】解:连接 、 ,∵点E是 中点,∴ ,∴ , ∵ 是圆的直径,∴ , ∵ ,∴ ,即 ,∴ ,∴ , ∵ 与 相切,∴ ,则 , ∵ ,∴ ,∴ .故选:C. 【点睛】本题主要考查了圆周角定理,解直角三角形,解题的关键是掌握解直角三角形的方法和步骤,在 同圆中,相等的弧所对的圆周角相等,直径所对的圆周角为直角. 7.(2023·湖北十堰·统考模拟预测)如图,⊙O的内接四边形 中, , , ,点C为弧 的中点,则 的长是( ) A. B. C. D. 【答案】C 【分析】根据圆内接四边形 , 可得 ,根据角平分线的性质可得 ,将 绕点C逆时针旋转 得 ,根据旋转的性质得出 , , ,可得 ,即A、B、E三点共线,过C作 于M,求出 ,根据解直角三角形即可求出. 【详解】如图: ∵A、B、C、D四点共圆, ∴ ∵ , 平分 ∴ 将 绕点C逆时针旋转 得 则 , , ∴ ∴A、B、E三点共线过C作 于M∵ ∴ 在 中, 故选:C. 【点睛】本题考查了圆内接四边形性质,角平分线的性质,旋转的性质,解直角三角形,能正确作出辅助 线是解此题的关键.8.(2023·江苏盐城·景山中学校考三模)如图,四边形 内接于 , A为 中点, ,则 等于( ) A. B. C. D. 【答案】A 【分析】由 A为 中点得到 ,由 得到 的度数为 ,则 的 度数为 ,即可得到 的度数. 【详解】解:∵ A为 中点,∴ , ∵ ,∴ 的度数为 , ∴ 的度数为 ,∴ ,故选:A 【点睛】此题考查了圆周角定理,熟练掌握圆周角定理是解题的关键. 9.(2023·河南三门峡·统考二模)如图,在扇形 中, , ,点 是 中点,点 分别为线段 上的点,连接 ,当 的值最小时,图中阴影部分的面积为 . 【答案】【分析】当 时, 最小,连接 ,根据点 是 中点, ,可得 ,由 ,可得 为等边三角形,根据等边三角形的性质、勾股定理以及锐角三角 函数可得 ,分别计算出 、 、 ,由 ,进行计算即可得到答案. 【详解】解:如图,当 时, 最小,连接 , , 当 在同一条线上时,即 最小时, 最小, 当 时, 最小, 点 是 中点, , , , 是等边三角形, , , , , , , , , , ,故答案为: . 【点睛】本题主要考查了扇形的面积计算—求不规则图形的面积,等边三角形的判定与性质,勾股定理, 解直角三角形,添加适当的辅助线,掌握等边三角形的判定与性质,将不规则图形面积进行转换为 ,是解题的关键. 10.(2022·广东东莞·九年级校考期末)如图,A,B,C,D是圆 上的四个点,点 是弧 的中点,如果 ,那么 . 【答案】 /54度 【分析】根据圆内接四边形的性质可知 ,由此可得 的度数,再依据等弧所对圆 周角相等可得 的度数. 【详解】解:∵四边形 内接于 , ∴ ,∴ , ∵点B是优弧 的中点,∴ , ∴ ,故答案为: . 【点睛】本题主要考查了圆内接四边形的性质、圆周角定理,解决这类问题的技巧是找到同弧或等弧推理 角相等. 11.(2023·安徽安庆·校考二模)已知,如图,点 是优弧 的中点, , ,则 的半 径是 . 【答案】2 【分析】如图所示,连接 ,先根据题意得到 ,进而证明 平分 ,则 ,由圆周角定理得 ,再证明 是等边三角形,得到 ,则 的半径是2. 【详解】解:如图所示,连接 ,∵点 是优弧 的中点,∴ ,∴ , ∵点O是 的外接圆,∴ ,∴ 平分 , ∴ ,∴ , 又∵ ,∴ 是等边三角形,∴ , ∴ 的半径是2,故答案为:2. 【点睛】本题主要考查了圆周角定理,等边三角形的性质与判定,弧与弦之间的关系等等,推出 平分 是解题的关键. 12.(2023·黑龙江哈尔滨·校考二模)如图, 是 的内接三角形,点D是弧 的中点,已知 , ,则 度. 【答案】100 【分析】连接 ,易得 ,根据三角形内角和定理得 ,由点 是 弧 的中点得 ,所以 ,然后利用 进行 计算. 【详解】解:连接 ,如图,, , , 点 是弧 的中点, , ∵ ∴ 是等边三角形, , .故答案为: . 【点睛】本题考查了圆周角定理:在同圆或等圆中,同弧或等弧所对的圆周角相等,都等于这条弧所对的 圆心角的一半,等边三角形的判定与性质.熟练掌握圆周角定理是解题的关键. 13.(2023·湖南岳阳·统考中考真题)如图,在 中, 为直径, 为弦,点 为 的中点,以点 为切点的切线与 的延长线交于点 . (1)若 ,则 的长是 (结果保留 );(2)若 ,则 . 【答案】 【分析】(1)连接 ,根据点 为 的中点,根据已知条件得出 ,然后根据弧长公 式即可求解;(2)连接 ,根据垂径定理的推论得出 , 是 的切线,则 ,得出 ,根据平行线分线段成比例得出 ,设 ,则 ,勾股定理求得 ,J进而即可 求解.【详解】解:(1)如图,连接 , ∵点 为 的中点,∴ , 又∵ ,∴ ,∴ , ∵ ,∴ ,∴ ,故答案为: . (2)解:如图,连接 , ∵点 为 的中点,∴ ,∴ , ∵ 是 的切线,∴ ,∴ ∴ ,∵ ,∴ , 设 ,则 , , ∴ , ,∴ .故答案为: . 【点睛】本题考查了垂径定理,圆周角定理,切线的性质,弧长公式,平行线分线段成比例定理等知识, 综合性较强,熟练掌握和灵活运用相关知识是解题的关键. 14.(2023·辽宁鞍山·统考三模)如图, 是 的直径, 是 中点,若 ,则 .【答案】 【分析】根据圆周角定理可求出 的度数,根据D为 的中点,可得 的度数,根据等腰三角 形的性质即可得答案. 【详解】解:如下图,连接 , 分别是 所对的圆周角和圆心角, , 为 的中点, , , , ,故答案为: . 【点睛】本题考查了等腰三角形的性质,圆周角定理,解题的关键是熟记在同圆或等圆中,同弧或等弧所 对的圆周角相等,都等于所对圆心角的一半. 15.(2023·四川南充·统考中考真题)如图, 是 的直径,点D,M分别是弦 ,弧 的中点, ,则 的长是 .【答案】4 【分析】根据圆周角定理得出 ,再由勾股定理确定 ,半径为 ,利用垂径定理确定 ,且 ,再由勾股定理求解即可. 【详解】解:∵ 是 的直径,∴ , ∵ ,∴ ,∴ , ∵点D,M分别是弦 ,弧 的中点, ∴ ,且 ,∴ , ∴ ,故答案为:4. 【点睛】题目主要考查圆周角定理、垂径定理及勾股定理解三角形,理解题意,综合运用这些知识点是解 题关键. 16.(2023春·浙江金华·九年级校联考期中)如图, 是 的切线, 为切点,直线 交 于 两点,连接 , .过圆心 作 的平行线,分别交 的延长线、 及 于点 . (1)求证: 是 的中点;(2)求证: ;(3)若 是 的中点, 的半径为6,求阴影部分的面 积. 【答案】(1)见解析(2)见解析(3) 【分析】(1)根据圆周角定理、平行线的性质、垂径定理即可得到结论;(2)连接 ,由切线的性质得出 ,由圆周角定理得出 ,证出 ,即可得出结论; (3)求出 ,由三角形的面积公式及扇形的面积公式可得出答案. 【详解】(1)证明: 为 的直径, , , ,即 , 是 的中点; (2)证明:连接 , 是 的切线, , , 为 的直径, , , , , , , , ; (3)解: 为 的中点, , , , , , , , , , , , . 【点睛】本题考查了切线的性质、直角三角形的性质、等腰三角形的性质、平行线的性质、圆周角定理、 扇形的面积公式,熟练掌握切线的性质、直角三角形的性质、等腰三角形的性质、平行线的性质、圆周角 定理,是解题的关键. 17.(2023春·广东东莞·九年级校考开学考试)如图, 是 的直径, 是半圆 上的一点, 平分 ,垂足为 , 交 于 ,连接 .(1)求出: 是 的切线;(2)若 ,求 的长; (3)若 是弧 的中点, 的半径为 ,求图中阴影部分的面积. 【答案】(1)证明见解析(2) (3) 【分析】(1)由 平分 得 ,加上 ,则 ,于是可判断 ,由于 ,所以 ,则可根据切线的判定定理得到 是 的切线; (2)如图,过点 作 与 ,根据垂径定理得 ,再证明四边形 为矩形,得到 , ,在 中利用勾股定理计算出 ,则 ,然后 在 中根据勾股定理可计算出 的长; (3)如图,连接 ,点 是弧 的中点得到 ,先证明四边形 为菱形,得到 , , 和 为等边三角形,从而得到 , , , 在 中,可计算出 , ,所以 ,然后利用 即可得出结 论. 【详解】(1)证明:∵ 平分 , , ∴ , ,∴ , ∴ ,∴ , ∵ ,∴ , ∴ , ∴ ,∴ 为 的切线.(2)解:如图,过点 作 与 ,∴ , ∵ , , ,∴ ∴四边形 为矩形, ∵ , ,∴ , , 在 中,∵ , ,∴ ,∴ , 在 中,∵ , ,∴ .∴ 的长为 . (3)如图,连接 ,∵ 是弧 的中点, 的半径为 ,∴ ,∴ , ∵ ,∴ ,∴ , 又∵ ,∴四边形 为平行四边形,∵ ,∴四边形 为菱形, ∴ , ,∴ 和 为等边三角形, ∴ ,∴ ,∴ , ∵ ,∴ ,在 中, , ∴ , , ∴ ,∴ .【点睛】本题考查切线的判定,垂径定理,圆周角定理,矩形的判定,菱形的判定和性质,平行四边形的 判定,勾股定理,直角三角形中 所对的直角边等于斜边的一半,等边三角形的判定和性质,三角形的 面积,扇形的面积,弓形的面积等知识点,运用了等积变换的思想.根据题意作适当的辅助线是解题的关 键. 18.(2023·河南周口·周口恒大中学校考三模)如图, 为 的直径,点C、D为 上两点,且点D 为 的中点,连接 .过点D作 于点F,过点D作 的切线 ,交 的延长 线于点E. (1)求证: ;(2)若 ,求 的长. 【答案】(1)证明见解析(2)6 【分析】(1)连接 ,由点D为 的中点可得 ,再根据同圆的半径相 等得 ,进而得到 ,然后再根据切线的性质得到结论; (2)根据勾股定理求出 的长,再根据圆内接四边形的性质得到 ,即可得到 ,从而得出结果. 【详解】(1)证明:连接 ,∵点D为 弧的中点,∴ ,∴ , ∵ ,∴ ,∴ ,∴ , ∵ 为 的半径, 为 的切线,∴ ,即: ,∴ . (2)解:∵ 由勾股定理得: , ∵四边形 内接于 ,∴ ,由(1)可知: ,∴ , 在 和 中, ∴ ,∴ 【点睛】本题考查圆的切线性质,圆内接四边形的性质,弦、弧、圆心角的关系,全等三角形的判定和性 质,解题的关键是掌握圆的有关性质. 19.(2022·广东广州·九年级校考阶段练习)如图,在平面直角坐标系中, 过原点 ,与 轴交于 ,与 轴交于 ,点 为劣弧 的中点,连接 并延长到 ,使 ,连接 . (1)求 的半径.(2)证明: 为 的切线. 【答案】(1) (2)证明见解析【分析】(1)先根据90度的圆周角所对的弦是直径得到 是 的直径,再利用勾股定理求出 的长 即可得到答案;(2)如图所示,设 与 交于E,连接 ,利用勾股定理得到 ,进而利 用勾股定理求出 ,则 ,再由圆周角定理得到 ,利用勾股定理求 出 进而求出 ,最后利用勾股定理的逆定理证明 即可. 【详解】(1)解:∵ 都在 上,∴ 是 的直径, ∵ , ,∴ , ∴ ,∴ 的半径为 ; (2)证明:如图所示,设 与 交于E,连接 , ∵点 为劣弧 的中点,∴ ,∴ , ∴ ,∴ ,∴ , ∵ ,∴ ,∴ , ∵ 是 的直径,∴ ,∴ ,∴ , ∵ ,∴ ,∴ , ∵ 是 的直径,∴ 是 的切线. 【点睛】本题主要考查了圆周角定理,垂径定理,切线的判定,勾股定理,坐标与图形等等,熟知切线的 判定定理和圆周角定理是解题的关键. 20.(2023·贵州贵阳·统考三模)如图, 为 的直径, 为 上的点, 是 的中点, 交 的延长线于点 .(1)填空: ________ (选填“>”“=”或“<”);(2)判断 与 的位置关系,并说明理由; (3)已知 , ,求点 到 的距离. 【答案】(1) (2) 与 相切,理由见解析(3)4 【分析】(1)利用圆周角定理和相等的弧所对的圆心角相等即可求解;(2)利用切线的判定即可求解; (3)构造相似三角形,利用相似三角形的判定与性质、勾股定理等知识即可求解. 【详解】(1)= 理由:连接 ,∴ , ∵ 是 的中点,∴ , ∴ ,∴ (2) 与 相切,理由如下: 由(1)知 ,∴ .∴ . ∵ ,∴ .∴ .∴ . ∵ 为 半径,∴ 为 切线.∴ 与 相切. (3)过点 作 于点 ,连接 ,则 .∵ 为 直径,∴ .∴ . ∵由(1)知 ,∴ .∴ . ∵ , , ,∴ ,解得 . ∵ 中, , ,∴ .∴点 到 的距离为4. 【点睛】本题考查了圆周角定理及其推论、圆心角定理、切线的判定、相似三角形的判定与性质以及勾股 定理等知识,解题关键是构造相似三角形.