当前位置:首页>文档>微专题求平面向量的模学案——2023届高考数学一轮《考点·题型·技巧》精讲与精练_2.2025数学总复习_赠品通用版(老高考)复习资料_一轮复习

微专题求平面向量的模学案——2023届高考数学一轮《考点·题型·技巧》精讲与精练_2.2025数学总复习_赠品通用版(老高考)复习资料_一轮复习

  • 2026-03-25 13:14:15 2026-03-20 06:14:50

文档预览

微专题求平面向量的模学案——2023届高考数学一轮《考点·题型·技巧》精讲与精练_2.2025数学总复习_赠品通用版(老高考)复习资料_一轮复习
微专题求平面向量的模学案——2023届高考数学一轮《考点·题型·技巧》精讲与精练_2.2025数学总复习_赠品通用版(老高考)复习资料_一轮复习
微专题求平面向量的模学案——2023届高考数学一轮《考点·题型·技巧》精讲与精练_2.2025数学总复习_赠品通用版(老高考)复习资料_一轮复习
微专题求平面向量的模学案——2023届高考数学一轮《考点·题型·技巧》精讲与精练_2.2025数学总复习_赠品通用版(老高考)复习资料_一轮复习
微专题求平面向量的模学案——2023届高考数学一轮《考点·题型·技巧》精讲与精练_2.2025数学总复习_赠品通用版(老高考)复习资料_一轮复习
微专题求平面向量的模学案——2023届高考数学一轮《考点·题型·技巧》精讲与精练_2.2025数学总复习_赠品通用版(老高考)复习资料_一轮复习
微专题求平面向量的模学案——2023届高考数学一轮《考点·题型·技巧》精讲与精练_2.2025数学总复习_赠品通用版(老高考)复习资料_一轮复习
微专题求平面向量的模学案——2023届高考数学一轮《考点·题型·技巧》精讲与精练_2.2025数学总复习_赠品通用版(老高考)复习资料_一轮复习
微专题求平面向量的模学案——2023届高考数学一轮《考点·题型·技巧》精讲与精练_2.2025数学总复习_赠品通用版(老高考)复习资料_一轮复习
微专题求平面向量的模学案——2023届高考数学一轮《考点·题型·技巧》精讲与精练_2.2025数学总复习_赠品通用版(老高考)复习资料_一轮复习
微专题求平面向量的模学案——2023届高考数学一轮《考点·题型·技巧》精讲与精练_2.2025数学总复习_赠品通用版(老高考)复习资料_一轮复习
微专题求平面向量的模学案——2023届高考数学一轮《考点·题型·技巧》精讲与精练_2.2025数学总复习_赠品通用版(老高考)复习资料_一轮复习
微专题求平面向量的模学案——2023届高考数学一轮《考点·题型·技巧》精讲与精练_2.2025数学总复习_赠品通用版(老高考)复习资料_一轮复习
微专题求平面向量的模学案——2023届高考数学一轮《考点·题型·技巧》精讲与精练_2.2025数学总复习_赠品通用版(老高考)复习资料_一轮复习
微专题求平面向量的模学案——2023届高考数学一轮《考点·题型·技巧》精讲与精练_2.2025数学总复习_赠品通用版(老高考)复习资料_一轮复习
微专题求平面向量的模学案——2023届高考数学一轮《考点·题型·技巧》精讲与精练_2.2025数学总复习_赠品通用版(老高考)复习资料_一轮复习
微专题求平面向量的模学案——2023届高考数学一轮《考点·题型·技巧》精讲与精练_2.2025数学总复习_赠品通用版(老高考)复习资料_一轮复习
微专题求平面向量的模学案——2023届高考数学一轮《考点·题型·技巧》精讲与精练_2.2025数学总复习_赠品通用版(老高考)复习资料_一轮复习
微专题求平面向量的模学案——2023届高考数学一轮《考点·题型·技巧》精讲与精练_2.2025数学总复习_赠品通用版(老高考)复习资料_一轮复习
微专题求平面向量的模学案——2023届高考数学一轮《考点·题型·技巧》精讲与精练_2.2025数学总复习_赠品通用版(老高考)复习资料_一轮复习
微专题求平面向量的模学案——2023届高考数学一轮《考点·题型·技巧》精讲与精练_2.2025数学总复习_赠品通用版(老高考)复习资料_一轮复习
微专题求平面向量的模学案——2023届高考数学一轮《考点·题型·技巧》精讲与精练_2.2025数学总复习_赠品通用版(老高考)复习资料_一轮复习
微专题求平面向量的模学案——2023届高考数学一轮《考点·题型·技巧》精讲与精练_2.2025数学总复习_赠品通用版(老高考)复习资料_一轮复习
微专题求平面向量的模学案——2023届高考数学一轮《考点·题型·技巧》精讲与精练_2.2025数学总复习_赠品通用版(老高考)复习资料_一轮复习
微专题求平面向量的模学案——2023届高考数学一轮《考点·题型·技巧》精讲与精练_2.2025数学总复习_赠品通用版(老高考)复习资料_一轮复习

文档信息

文档格式
docx
文档大小
1.479 MB
文档页数
25 页
上传时间
2026-03-20 06:14:50

文档内容

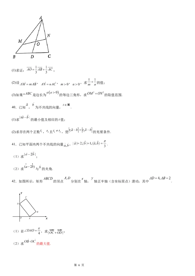
微专题:求平面向量的模 【考点梳理】 求向量模的常用方法是利用公式|a|2=a2,即|a|=,将模的运算转化为向量的数量积. 【典例分析】 典例1.已知 为单位向量, 且 , 则 ( ) A.1 B. C.2 D. 典例2.已知空间向量 两两夹角均为60°,其模均为1,则 =( ) A.5 B.6 C. D. 典例3.已知两个单位向量 , 满足 ,则 的值为( ) A. B. C. D. 典例4.已知 , , ,则 ( ) A.2 B. C. D. 典例5.已知 , 为两个互相垂直的单位向量, 满足 ,则 的最小值为( ) A. B. C. D. 典例6.已知 , ,且 ,则 的值为( ) A. B. C. D. 【双基达标】 7.已知向量 , ,若 则 ( ) A. B.5 C. D. 第 1 页 学学科科网网((北北京京))股股份份有有限限公公司司8.已知 , 为单位向量, ,记 是与 方向相同的单位向量,则 在 方向上的投影向量 为( ) A. B. C. D. 9.设向量 ,则下列结论中正确的是( ) A. B. C. D. 10.已知向量 ,则下列说法不正确的是( ) A.若 ,则 的值为 B.若 ,则 的值为2 C. 的最小值为1 D.若 与 的夹角为钝角,则 的取值范围是 11.若单位向量 满足 ,则 等于( ) A. B. C. D. 12.已知向量 ,则 ( ) A.2 B.3 C.4 D.5 13.已知 ,则 等于( ) A. B.97 C. D.61 14.已知向量 , , 满足 , , ,则 的最小值为( ) A. B. C. D. 15.已知 ,且 ,则 ( ) A.1 B.3 C. D.5 16.已知向量 , , ,则 与 的夹角为( ) 第 2 页 学学科科网网((北北京京))股股份份有有限限公公司司A. B. C. D. 17.已知平面向量 , 满足 , ,且 与 的夹角为 ,则 ( ) A. B. C. D.3 18.已知不共线向量 , , , , ,则 ( ) A. B. C. D. 19.两个非零向量 、 互相垂直的充要条件是( ). A. B. C. D. 20.在平面直角坐标系 中,设 ,向量 ,则 的最小值为( ) A.1 B.2 C. D. 【高分突破】 一、单选题 21.向量 、 满足 , , 与 的夹角为 ,则 ( ) A.1 B. C. D.2 22.已知向量 的夹角是 , ,则 的值是( ) A. B. C. D. 23.已知单位向量 , 满足 ,则 的最小值为( ) A. B. C. D. 24.窗的运用是中式园林设计的重要组成部分,在表现方式上常常运用象征、隐喻、借景等手法,将民族文化与 哲理融入其中,营造出广阔的审美意境.从窗的外形看,常见的有圆形、菱形、正六边形、正八边形等.已知圆 第 3 页 学学科科网网((北北京京))股股份份有有限限公公司司O是某窗的平面图,O为圆心,点A在圆O的圆周上,点P是圆O内部一点,若 ,且 ,则 的最小值是( ) A.3 B.4 C.9 D.16 25.已知向量 , ,若 ,则实数 的值为( ) A. B. C. D. 26.若平面向量 与 的夹角为120°, , ,则 ( ) A. B. C.2 D.3 27.已知非零向量 , 满足 ,则“ ”是“ ”的( )条件 A.充要 B.必要不充分 C.充分不必要 D.既不充分也不必要 二、多选题 28.已知 为坐标原点,点 , , , ,则( ) A. B. C. D. 29.已知向量 , ,则( ) A. B. C. D. 与 的夹角为 30.设向量 , ,则( ) A. B. C. D. 与 的夹角为 31.设 为两个非零向量 , 的夹角,已知对任意实数 , 的最小值为1,则( ) A.若 确定,则 唯一确定 B.若 确定,则 唯一确定 第 4 页 学学科科网网((北北京京))股股份份有有限限公公司司C.若 确定,则 唯一确定 D.若 确定,则 不唯一确定 三、填空题 32.已知 、 满足: , , ,则 _________. 33.设 为单位向量,且 ,则 ______________. 34.已知 , , 是空间单位向量, ,若空间向量 满足, ( , ), ,则 的最大值是________. 35.在 中,角 , , 的对边分别为 , , ,若 , ,则 边上的中线长的取值范围是 ______. 36.如图,半圆O的半径为1,A为直径所在直线上的一点,且 ,B为半圆弧上的动点.将线段AB绕点A 顺时针旋转 得到线段AC,则线段OC长度的最大值是__________. 37.已知平面向量 , 满足 , ,则 的最小值是___________. 四、解答题 38.在复平面内,平行四边形 的顶点 , , ,对应复数分别为 , , . (1)求 , 及 , ; (2)设 ,求 . 39.如图所示, 是 的一条中线,点 满足 ,过点 的直线分别与射线 ,射线 交于 , 两点. 第 5 页 学学科科网网((北北京京))股股份份有有限限公公司司(1)求证: ; (2)设 , , , ,求 的值; (3)如果 是边长为 的等边三角形,求 的取值范围. 40.已知 , 为不共线的向量, . (1)求 的最小值及相应的t值; (2)求存在两个正数 , 且 ,使 的充要条件. 41.已知平面内两个不共线的向量 , . (1)求 ; (2)求 与 的夹角. 42.如图所示,矩形 的顶点 分别在 轴, 轴正半轴(含坐标原点)滑动,其中 . (1)若 ,求 ; (2)求 的最大值. 第 6 页 学学科科网网((北北京京))股股份份有有限限公公司司参考答案 1.B 【解析】 【分析】 利用已知条件求出向量数量积为0,推出 ,然后求解向量的模即可. 【详解】 为单位向量, 且 , 可得 , 所以 ,则 故选:B 2.C 【解析】 【分析】 直接利用向量模的公式计算得解. 【详解】 解:由题得 . 故选:C 3.A 【解析】 【分析】 先由题给条件求得 ,再利用向量的数量积去求 的值 【详解】 由题意得 ,即 , , 则 . 故选:A. 4.C 【解析】 【分析】 先由 ,得 可求出 ,从而求出 的坐标,进而可求得 【详解】 因为 , , , 第 7 页所以 ,得 , 所以 , 所以 , 故选:C 5.A 【解析】 【分析】 由题意可设 , ,由 可得 ,再由向量长度的坐标表示结 合三角函数的性质求解即可 【详解】 因为 , 为两个互相垂直的单位向量, 故可设 , , 则 , 由 得: , 即 , 即 在圆 上, 所以 ( 为参数) 所以 , 所以 , 当 时, , 故选:A 6.C 【解析】 【分析】 利用向量模长的坐标运算可直接构造方程求得结果. 【详解】 , ,解得: . 第 8 页故选:C. 7.B 【解析】 【分析】 由向量的数量积可得 ,再利用向量的坐标运算即得. 【详解】 由向量 , , ∴ ,所以 , ∴ ,∴ ,即 . 故选:B 8.C 【解析】 【分析】 利用向量投影的定义求解. 【详解】 由题设可得 ,即 ,则 , 设 与 的夹角为 ,则 . 又 ,故 , 因为 是与 方向相同的单位向量,所以 在 方向上的投影向量为 . 故选: C 9.C 【解析】 【分析】 A.根据模长公式进行计算;B.根据数量积公式进行计算;C.计算数量积并判断结果是否为 ;D.验证平行对应的坐 标关系并判断. 【详解】 A.因为 ,所以 ,故错误; B. ,故错误; C.因为 ,所以 ,故正确; D.因为 ,所以 不成立,故错误; 故选:C. 10.D 【解析】 第 9 页【分析】 根据向量平行、模、夹角等知识确定说法不正确的选项. 【详解】 A选项,若 ,则 ,A选项说法正确. B选项,若 ,两边平方并化简得 ,即 ,B选项说法正确. C选项, ,当 时,有最小值为 ,C选项说法正确. D选项,若 与 的夹角为钝角,则 ,D选项说法不正确. 故选:D 11.C 【解析】 【分析】 先由已知条件求出 ,再由 即可求出答案. 【详解】 解:因为 为单位向量, 所以 ,所以 , 所以 , 故选:C. 12.D 【解析】 【分析】 先求得 ,然后求得 . 【详解】 因为 ,所以 . 故选:D 13.C 【解析】 【分析】 根据向量的平方等于向量模的平方利用平方法即可求出 的值. 【详解】 因为 , 第 10 页所以 . 故选:C. 14.B 【解析】 【分析】 首先求向量 的坐标,再利用坐标运算求模,转化为二次函数求最小值. 【详解】 由条件可知 , 则 ,当 时, . 故选:B 15.D 【解析】 【分析】 利用向量的垂直,求出 ,然后求解向量的模. 【详解】 解: , ,且 ,可得 ,解得 , 所以 ,则 . 故选: . 16.D 【解析】 【分析】 根据 ,利用向量数量积的定义和运算律可构造方程求得 ,结合向量夹角范围可得结果. 【详解】 , , ,解得: , 又 , ,即 与 的夹角为 . 故选:D. 17.A 【解析】 【分析】 根据向量数量积的定义及运算性质即得. 【详解】 第 11 页∵ , ,且 与 的夹角为 , ∴ , ∴ , ∴ . 故选:A. 18.A 【解析】 先由已知等式求出 ,再利用向量模的求法即可求得 . 【详解】 , , 即 , . 故选:A 【点睛】 本题考查向量模的求法,属于基础题. 19.C 【解析】 【分析】 根据题意,结合 和 垂直时 ,以及向量的数量积公式,一一判断即可. 【详解】 对于选项A,若 和 垂直,则 ,故A错误; 对于选项B,由 ,得 ,即 ,无法得到 和 垂直,故B错误; 对于选项C,由 ,得 ,即 ,因此 和 垂直,故C正确; 对于选项D,由 ,得 ,即 和 的夹角为 ,不满足题意,故D错误. 故选:C. 20.D 【解析】 【分析】 根据平面向量的坐标运算求得向量 ,再根据 ,将 用 表示,再根据平面向量的模的坐标表示结 合二次函数的性质即可得出答案. 【详解】 解: , 则 , 第 12 页由 ,得 ,则 , 所以 , 则 , 当 时, . 故选:D. 21.C 【解析】 【分析】 因为 , 与 的夹角为 ,由 ,根据 ,可得 ,即可求得答案. 【详解】 , 与 的夹角为 可得: 故 故选:C. 【点睛】 本题主要考查了求向量的模长,解题关键是掌握向量的数量积公式,考查了分析能力和计算能力,属于基础题. 22.A 【解析】 【分析】 先求出 ,再求出 ,即得解. 【详解】 向量 的夹角是 , ,∴ . 第 13 页∴ , . ∴ . 故选:A. 【点睛】 本题主要考查平面向量的数量积的计算,考查平面向量的模的计算,意在考查学生对这些知识的理解掌握水平. 23.B 【解析】 【分析】 由已知得 ,进而两边平方得 ,故 或 (舍),故 ,进而得答案. 【详解】 由 ,得 ,两边平方,得 , 即 ,整理得 , 所以 或 因为 ,所以 ,所以 , 所以 . 故选:B. 【点睛】 本题考查向量模的运算,考查方程思想与运算求解能力,是中档题.解题的关键在于根据已知将问题转化为关于 的方程,进而得 ,最后结合向量模与二次函数性质求最值即可. 24.A 【解析】 【分析】 利用向量的线性运算,结合数量积 ,可求得 ,确定其取值范围,再根据 平 方后的式子,即可求得答案. 【详解】 因为 ,所以 , 所以 ,即 ,则 . 第 14 页因为点P是圆O内部一点,所以 ,所以 , 则 , 当且仅当 时,等号成立,故 的最小值是3, 故选:A. 25.B 【解析】 【分析】 计算出 和 的坐标,利用向量的模长公式可得出关于实数 的等式,进而可求得结果. 【详解】 已知向量 , ,则 , , 由 可得 ,解得 . 故选:B. 26.B 【解析】 直接化简 ,求出答案. 【详解】 化简 , 或 (舍去). 故选:B. 27.A 【解析】 【分析】 根据向量的数量积运算,由向量的关系 ,可得选项. 【详解】 , ,∴等价于 , 故选:A. 28.AC 【解析】 【分析】 A、B写出 , 、 , 的坐标,利用坐标公式求模,即可判断正误;C、D根据向量的坐标,应用向量 数量积的坐标表示及两角和差公式化简,即可判断正误. 第 15 页【详解】 A: , ,所以 , ,故 ,正确; B: , ,所以 ,同理 ,故 不一定相等,错误; C:由题意得: , ,正确; D:由题意得: , ,故一般来说 故错误; 故选:AC 29.ACD 【解析】 由 , 的坐标,根据向量模、夹角的坐标表示及向量垂直、平行的判定即可判断各选项的正误. 【详解】 ∵ , , ∴ , , ∴ ,故A正确; ∵ , ∴ 与 不平行,故B错误; 又 ,C正确; ∵ ,又 , ∴ 与 的夹角为 , D正确. 故选:ACD 30.CD 【解析】 【分析】 根据给定条件对各选项逐一推理计算并判断作答. 【详解】 第 16 页因向量 , ,则 , ,A不正确; ,而 ,即 与 不共线,B不正确; 而 ,则 , ,C正确; ,又 ,于是得 ,即 与 的夹角为 ,D正确. 故选:CD 31.BD 【解析】 【分析】 根据向量的数量积表示出 ,进而转化为二次函数求最值问题,再根据选项可求得答案. 【详解】 解:因为 令 , 则当 时, 取得最小值1, 即有 , 可见当 确定时, 唯一确定下来;但 确定时, 的值在 可能有两个. 故选:BD. 32. 【解析】 将 两边平方展开可得 的值,再计算 的值,进而可得 的值. 【详解】 , 因为 , , 所以 , 所以 , 可得 , 故答案为: . 33. 【解析】 【分析】 第 17 页整理已知可得: ,再利用 为单位向量即可求得 ,对 变形可得: ,问题得解. 【详解】 因为 为单位向量,所以 所以 解得: 所以 故答案为: 【点睛】 本题主要考查了向量模的计算公式及转化能力,属于中档题. 34. 【解析】 【分析】 由 ,及模长公式,求得 ,从而求得 ,将问题化为 求得结果. 【详解】 由题知, 则 则 ,当且仅当 时,等号成立. 故答案为: 35. 【解析】 【分析】 第 18 页设 是 中点,用向量表示 ,平方转化为数量积求中线长,然后由 求出 取值范围, 即可得结论. 【详解】 设 是 中点,则 , , 又 ,所以 ,当且仅当 时等号成立. 所以 , . 故答案为: . 36. 【解析】 【分析】 以 点为坐标原点,建立如图所示平面直角坐标系,设 ,则 ,即可表示出 点坐标,从而 得到 ,再根据向量模的坐标计算、三角恒等变换公式及正弦函数的性质计算可得; 【详解】 解:如图以 点为坐标原点,建立平面直角坐标系,设 ,则 , ,则 , 过点 、 分别作 轴、 轴,交 轴于点 、 ,显然 与 全等,所以 , , 从而得到 ,即 , 所以 第 19 页所以当 ,即 时 故答案为: 37.3 【解析】 【分析】 由 得 ,结合模长求解过程,得到 ,根据二次函数的性质,结合基本 不等关系,求得最小值. 【详解】 ,则 , ,易知当 时, 最 小为 , 此时 , , 同向. 故答案为:3 【点睛】 关键点点睛:由题干条件 ,求得 ,最后把模长表达出来后,利用基本不等关系求解,最后要 考虑等号成立条件,满足则可以取得最小值. 38.(1) , ; , ;(2) . 【解析】 【分析】 (1)因为 ,再根据复数的几何意义可知向量 的坐标,再表示 的坐标,再 根据向量模的计算公式计算; 第 20 页(2)分别求向量 和 的坐标,再根据夹角公式 计算. 【详解】 解:(1)因为 所以 所对应的复数 所以 , 因为 所以 所对应的复数 所以 , (2)由题 因为 , 所以 , , 所以 【点睛】 本题考查复数,向量,以及坐标的关系,向量数量积的坐标表示,重点考查定义,公式,属于基础题型,本题的 关键是理解向量坐标和复数的几何意义的关系. 39.(1)见详解 (2)3 (3) 【解析】 【分析】 (1)根据题意,结合向量加减法运算,即可证明; (2)根据题意,用 和 表示 , 结合 , , 三点共线,即可求解; (3)根据题意,结合(1)(2)用 和 分别表示出 和 ,进而可以表示出 ,再结合均值不 等式与二次函数的最值,即可求解. (1) 证明:因 ,所以 ,又因 为 的中点,所以 ,所以 . (2) 因 , , , ,所以 , ,又因 ,所以 第 21 页,又因 , , 三点共线,所以 ,即 . (3) 设 , , , ,由(1)(2)可知 , ,即 . 因 , , 所以 , 又因 是边长为 的等边三角形, 所以 , 令 ,因 ,即 ,当且仅当 时,等号成立,所以 . 因此 , 又因 ,所以 ,所以 . 40.(1)当 时,最小值为 ;(2)答案见解析. 【解析】 【分析】 (1)根据向量的模与数量积的关系求 ,结合二次函数的性质求其最小值,(2)由(1) 与 的夹角为锐角,又 等价于 有两正解,由此可得使 成立的充要条件. 【详解】 (1) ,其中 为向量 , 的夹角. 故当 时, 有最小值 . (2)由(1)及 知, ,即 与 的夹角为锐角. 在此前提下,存在 、 ,且 ,使 的充要条件是 有两正解. , 第 22 页即 亦即 , . 故所求充要条件为 与 的夹角为锐角,且 . 41.(1)2;(2) . 【解析】 (1)根据条件可求出 ,然后根据 进行数量积的运算即可求出 的值; (2)可求出 的值,进而可求出 的值,从而可求出 与 的夹角. 【详解】 解:(1) , , ; (2) , ,且 , 与 的夹角为 . 【点睛】 对向量数量积定义进行变行是求解向量长度,向量夹角的常用方法,同时要注意夹角的范围. 42.(1) (2) 【解析】 【分析】 (1)由条件得: ,从而求得 ; (2)设 ,则 , ; 算出 ,求出 最大值. 【详解】 解:(1)若 , 则可得: , , (2)如图, 第 23 页过点 作 ,垂足为 , 过点 作 ,垂足为 , 设 ,则 ; ∴点 , ; 则 , , , 当 ,即 时, 取最大值 . 【点睛】 本题主要考查了平面向量数量积的坐标运算,向量的模的运算,三角函数的应用.解决此题第(2)问,关键在于选 择合适的变量,用三角函数表示出 ,属于中档题. 第 24 页第 25 页