当前位置:首页>文档>❤重难点05二次函数与几何的动点及最值、存在性问题(解析版)_02中考总复习(2026版更新中)_02-数学-中考总复习_2024年中考复习资料_一轮复习资料_重难点突破_解析版

❤重难点05二次函数与几何的动点及最值、存在性问题(解析版)_02中考总复习(2026版更新中)_02-数学-中考总复习_2024年中考复习资料_一轮复习资料_重难点突破_解析版

  • 2026-04-04 04:06:29 2026-04-04 02:37:12

文档预览

❤重难点05二次函数与几何的动点及最值、存在性问题(解析版)_02中考总复习(2026版更新中)_02-数学-中考总复习_2024年中考复习资料_一轮复习资料_重难点突破_解析版
❤重难点05二次函数与几何的动点及最值、存在性问题(解析版)_02中考总复习(2026版更新中)_02-数学-中考总复习_2024年中考复习资料_一轮复习资料_重难点突破_解析版
❤重难点05二次函数与几何的动点及最值、存在性问题(解析版)_02中考总复习(2026版更新中)_02-数学-中考总复习_2024年中考复习资料_一轮复习资料_重难点突破_解析版
❤重难点05二次函数与几何的动点及最值、存在性问题(解析版)_02中考总复习(2026版更新中)_02-数学-中考总复习_2024年中考复习资料_一轮复习资料_重难点突破_解析版
❤重难点05二次函数与几何的动点及最值、存在性问题(解析版)_02中考总复习(2026版更新中)_02-数学-中考总复习_2024年中考复习资料_一轮复习资料_重难点突破_解析版
❤重难点05二次函数与几何的动点及最值、存在性问题(解析版)_02中考总复习(2026版更新中)_02-数学-中考总复习_2024年中考复习资料_一轮复习资料_重难点突破_解析版
❤重难点05二次函数与几何的动点及最值、存在性问题(解析版)_02中考总复习(2026版更新中)_02-数学-中考总复习_2024年中考复习资料_一轮复习资料_重难点突破_解析版
❤重难点05二次函数与几何的动点及最值、存在性问题(解析版)_02中考总复习(2026版更新中)_02-数学-中考总复习_2024年中考复习资料_一轮复习资料_重难点突破_解析版
❤重难点05二次函数与几何的动点及最值、存在性问题(解析版)_02中考总复习(2026版更新中)_02-数学-中考总复习_2024年中考复习资料_一轮复习资料_重难点突破_解析版
❤重难点05二次函数与几何的动点及最值、存在性问题(解析版)_02中考总复习(2026版更新中)_02-数学-中考总复习_2024年中考复习资料_一轮复习资料_重难点突破_解析版
❤重难点05二次函数与几何的动点及最值、存在性问题(解析版)_02中考总复习(2026版更新中)_02-数学-中考总复习_2024年中考复习资料_一轮复习资料_重难点突破_解析版
❤重难点05二次函数与几何的动点及最值、存在性问题(解析版)_02中考总复习(2026版更新中)_02-数学-中考总复习_2024年中考复习资料_一轮复习资料_重难点突破_解析版
❤重难点05二次函数与几何的动点及最值、存在性问题(解析版)_02中考总复习(2026版更新中)_02-数学-中考总复习_2024年中考复习资料_一轮复习资料_重难点突破_解析版
❤重难点05二次函数与几何的动点及最值、存在性问题(解析版)_02中考总复习(2026版更新中)_02-数学-中考总复习_2024年中考复习资料_一轮复习资料_重难点突破_解析版
❤重难点05二次函数与几何的动点及最值、存在性问题(解析版)_02中考总复习(2026版更新中)_02-数学-中考总复习_2024年中考复习资料_一轮复习资料_重难点突破_解析版
❤重难点05二次函数与几何的动点及最值、存在性问题(解析版)_02中考总复习(2026版更新中)_02-数学-中考总复习_2024年中考复习资料_一轮复习资料_重难点突破_解析版
❤重难点05二次函数与几何的动点及最值、存在性问题(解析版)_02中考总复习(2026版更新中)_02-数学-中考总复习_2024年中考复习资料_一轮复习资料_重难点突破_解析版
❤重难点05二次函数与几何的动点及最值、存在性问题(解析版)_02中考总复习(2026版更新中)_02-数学-中考总复习_2024年中考复习资料_一轮复习资料_重难点突破_解析版
❤重难点05二次函数与几何的动点及最值、存在性问题(解析版)_02中考总复习(2026版更新中)_02-数学-中考总复习_2024年中考复习资料_一轮复习资料_重难点突破_解析版
❤重难点05二次函数与几何的动点及最值、存在性问题(解析版)_02中考总复习(2026版更新中)_02-数学-中考总复习_2024年中考复习资料_一轮复习资料_重难点突破_解析版
❤重难点05二次函数与几何的动点及最值、存在性问题(解析版)_02中考总复习(2026版更新中)_02-数学-中考总复习_2024年中考复习资料_一轮复习资料_重难点突破_解析版
❤重难点05二次函数与几何的动点及最值、存在性问题(解析版)_02中考总复习(2026版更新中)_02-数学-中考总复习_2024年中考复习资料_一轮复习资料_重难点突破_解析版
❤重难点05二次函数与几何的动点及最值、存在性问题(解析版)_02中考总复习(2026版更新中)_02-数学-中考总复习_2024年中考复习资料_一轮复习资料_重难点突破_解析版
❤重难点05二次函数与几何的动点及最值、存在性问题(解析版)_02中考总复习(2026版更新中)_02-数学-中考总复习_2024年中考复习资料_一轮复习资料_重难点突破_解析版
❤重难点05二次函数与几何的动点及最值、存在性问题(解析版)_02中考总复习(2026版更新中)_02-数学-中考总复习_2024年中考复习资料_一轮复习资料_重难点突破_解析版
❤重难点05二次函数与几何的动点及最值、存在性问题(解析版)_02中考总复习(2026版更新中)_02-数学-中考总复习_2024年中考复习资料_一轮复习资料_重难点突破_解析版
❤重难点05二次函数与几何的动点及最值、存在性问题(解析版)_02中考总复习(2026版更新中)_02-数学-中考总复习_2024年中考复习资料_一轮复习资料_重难点突破_解析版
❤重难点05二次函数与几何的动点及最值、存在性问题(解析版)_02中考总复习(2026版更新中)_02-数学-中考总复习_2024年中考复习资料_一轮复习资料_重难点突破_解析版
❤重难点05二次函数与几何的动点及最值、存在性问题(解析版)_02中考总复习(2026版更新中)_02-数学-中考总复习_2024年中考复习资料_一轮复习资料_重难点突破_解析版
❤重难点05二次函数与几何的动点及最值、存在性问题(解析版)_02中考总复习(2026版更新中)_02-数学-中考总复习_2024年中考复习资料_一轮复习资料_重难点突破_解析版
❤重难点05二次函数与几何的动点及最值、存在性问题(解析版)_02中考总复习(2026版更新中)_02-数学-中考总复习_2024年中考复习资料_一轮复习资料_重难点突破_解析版
❤重难点05二次函数与几何的动点及最值、存在性问题(解析版)_02中考总复习(2026版更新中)_02-数学-中考总复习_2024年中考复习资料_一轮复习资料_重难点突破_解析版
❤重难点05二次函数与几何的动点及最值、存在性问题(解析版)_02中考总复习(2026版更新中)_02-数学-中考总复习_2024年中考复习资料_一轮复习资料_重难点突破_解析版
❤重难点05二次函数与几何的动点及最值、存在性问题(解析版)_02中考总复习(2026版更新中)_02-数学-中考总复习_2024年中考复习资料_一轮复习资料_重难点突破_解析版
❤重难点05二次函数与几何的动点及最值、存在性问题(解析版)_02中考总复习(2026版更新中)_02-数学-中考总复习_2024年中考复习资料_一轮复习资料_重难点突破_解析版
❤重难点05二次函数与几何的动点及最值、存在性问题(解析版)_02中考总复习(2026版更新中)_02-数学-中考总复习_2024年中考复习资料_一轮复习资料_重难点突破_解析版
❤重难点05二次函数与几何的动点及最值、存在性问题(解析版)_02中考总复习(2026版更新中)_02-数学-中考总复习_2024年中考复习资料_一轮复习资料_重难点突破_解析版
❤重难点05二次函数与几何的动点及最值、存在性问题(解析版)_02中考总复习(2026版更新中)_02-数学-中考总复习_2024年中考复习资料_一轮复习资料_重难点突破_解析版
❤重难点05二次函数与几何的动点及最值、存在性问题(解析版)_02中考总复习(2026版更新中)_02-数学-中考总复习_2024年中考复习资料_一轮复习资料_重难点突破_解析版
❤重难点05二次函数与几何的动点及最值、存在性问题(解析版)_02中考总复习(2026版更新中)_02-数学-中考总复习_2024年中考复习资料_一轮复习资料_重难点突破_解析版
❤重难点05二次函数与几何的动点及最值、存在性问题(解析版)_02中考总复习(2026版更新中)_02-数学-中考总复习_2024年中考复习资料_一轮复习资料_重难点突破_解析版
❤重难点05二次函数与几何的动点及最值、存在性问题(解析版)_02中考总复习(2026版更新中)_02-数学-中考总复习_2024年中考复习资料_一轮复习资料_重难点突破_解析版
❤重难点05二次函数与几何的动点及最值、存在性问题(解析版)_02中考总复习(2026版更新中)_02-数学-中考总复习_2024年中考复习资料_一轮复习资料_重难点突破_解析版
❤重难点05二次函数与几何的动点及最值、存在性问题(解析版)_02中考总复习(2026版更新中)_02-数学-中考总复习_2024年中考复习资料_一轮复习资料_重难点突破_解析版
❤重难点05二次函数与几何的动点及最值、存在性问题(解析版)_02中考总复习(2026版更新中)_02-数学-中考总复习_2024年中考复习资料_一轮复习资料_重难点突破_解析版
❤重难点05二次函数与几何的动点及最值、存在性问题(解析版)_02中考总复习(2026版更新中)_02-数学-中考总复习_2024年中考复习资料_一轮复习资料_重难点突破_解析版
❤重难点05二次函数与几何的动点及最值、存在性问题(解析版)_02中考总复习(2026版更新中)_02-数学-中考总复习_2024年中考复习资料_一轮复习资料_重难点突破_解析版
❤重难点05二次函数与几何的动点及最值、存在性问题(解析版)_02中考总复习(2026版更新中)_02-数学-中考总复习_2024年中考复习资料_一轮复习资料_重难点突破_解析版
❤重难点05二次函数与几何的动点及最值、存在性问题(解析版)_02中考总复习(2026版更新中)_02-数学-中考总复习_2024年中考复习资料_一轮复习资料_重难点突破_解析版
❤重难点05二次函数与几何的动点及最值、存在性问题(解析版)_02中考总复习(2026版更新中)_02-数学-中考总复习_2024年中考复习资料_一轮复习资料_重难点突破_解析版
❤重难点05二次函数与几何的动点及最值、存在性问题(解析版)_02中考总复习(2026版更新中)_02-数学-中考总复习_2024年中考复习资料_一轮复习资料_重难点突破_解析版
❤重难点05二次函数与几何的动点及最值、存在性问题(解析版)_02中考总复习(2026版更新中)_02-数学-中考总复习_2024年中考复习资料_一轮复习资料_重难点突破_解析版
❤重难点05二次函数与几何的动点及最值、存在性问题(解析版)_02中考总复习(2026版更新中)_02-数学-中考总复习_2024年中考复习资料_一轮复习资料_重难点突破_解析版
❤重难点05二次函数与几何的动点及最值、存在性问题(解析版)_02中考总复习(2026版更新中)_02-数学-中考总复习_2024年中考复习资料_一轮复习资料_重难点突破_解析版
❤重难点05二次函数与几何的动点及最值、存在性问题(解析版)_02中考总复习(2026版更新中)_02-数学-中考总复习_2024年中考复习资料_一轮复习资料_重难点突破_解析版
❤重难点05二次函数与几何的动点及最值、存在性问题(解析版)_02中考总复习(2026版更新中)_02-数学-中考总复习_2024年中考复习资料_一轮复习资料_重难点突破_解析版
❤重难点05二次函数与几何的动点及最值、存在性问题(解析版)_02中考总复习(2026版更新中)_02-数学-中考总复习_2024年中考复习资料_一轮复习资料_重难点突破_解析版
❤重难点05二次函数与几何的动点及最值、存在性问题(解析版)_02中考总复习(2026版更新中)_02-数学-中考总复习_2024年中考复习资料_一轮复习资料_重难点突破_解析版
❤重难点05二次函数与几何的动点及最值、存在性问题(解析版)_02中考总复习(2026版更新中)_02-数学-中考总复习_2024年中考复习资料_一轮复习资料_重难点突破_解析版
❤重难点05二次函数与几何的动点及最值、存在性问题(解析版)_02中考总复习(2026版更新中)_02-数学-中考总复习_2024年中考复习资料_一轮复习资料_重难点突破_解析版
❤重难点05二次函数与几何的动点及最值、存在性问题(解析版)_02中考总复习(2026版更新中)_02-数学-中考总复习_2024年中考复习资料_一轮复习资料_重难点突破_解析版
❤重难点05二次函数与几何的动点及最值、存在性问题(解析版)_02中考总复习(2026版更新中)_02-数学-中考总复习_2024年中考复习资料_一轮复习资料_重难点突破_解析版
❤重难点05二次函数与几何的动点及最值、存在性问题(解析版)_02中考总复习(2026版更新中)_02-数学-中考总复习_2024年中考复习资料_一轮复习资料_重难点突破_解析版
❤重难点05二次函数与几何的动点及最值、存在性问题(解析版)_02中考总复习(2026版更新中)_02-数学-中考总复习_2024年中考复习资料_一轮复习资料_重难点突破_解析版
❤重难点05二次函数与几何的动点及最值、存在性问题(解析版)_02中考总复习(2026版更新中)_02-数学-中考总复习_2024年中考复习资料_一轮复习资料_重难点突破_解析版
❤重难点05二次函数与几何的动点及最值、存在性问题(解析版)_02中考总复习(2026版更新中)_02-数学-中考总复习_2024年中考复习资料_一轮复习资料_重难点突破_解析版
❤重难点05二次函数与几何的动点及最值、存在性问题(解析版)_02中考总复习(2026版更新中)_02-数学-中考总复习_2024年中考复习资料_一轮复习资料_重难点突破_解析版
❤重难点05二次函数与几何的动点及最值、存在性问题(解析版)_02中考总复习(2026版更新中)_02-数学-中考总复习_2024年中考复习资料_一轮复习资料_重难点突破_解析版
❤重难点05二次函数与几何的动点及最值、存在性问题(解析版)_02中考总复习(2026版更新中)_02-数学-中考总复习_2024年中考复习资料_一轮复习资料_重难点突破_解析版
❤重难点05二次函数与几何的动点及最值、存在性问题(解析版)_02中考总复习(2026版更新中)_02-数学-中考总复习_2024年中考复习资料_一轮复习资料_重难点突破_解析版
❤重难点05二次函数与几何的动点及最值、存在性问题(解析版)_02中考总复习(2026版更新中)_02-数学-中考总复习_2024年中考复习资料_一轮复习资料_重难点突破_解析版
❤重难点05二次函数与几何的动点及最值、存在性问题(解析版)_02中考总复习(2026版更新中)_02-数学-中考总复习_2024年中考复习资料_一轮复习资料_重难点突破_解析版
❤重难点05二次函数与几何的动点及最值、存在性问题(解析版)_02中考总复习(2026版更新中)_02-数学-中考总复习_2024年中考复习资料_一轮复习资料_重难点突破_解析版
❤重难点05二次函数与几何的动点及最值、存在性问题(解析版)_02中考总复习(2026版更新中)_02-数学-中考总复习_2024年中考复习资料_一轮复习资料_重难点突破_解析版
❤重难点05二次函数与几何的动点及最值、存在性问题(解析版)_02中考总复习(2026版更新中)_02-数学-中考总复习_2024年中考复习资料_一轮复习资料_重难点突破_解析版
❤重难点05二次函数与几何的动点及最值、存在性问题(解析版)_02中考总复习(2026版更新中)_02-数学-中考总复习_2024年中考复习资料_一轮复习资料_重难点突破_解析版
❤重难点05二次函数与几何的动点及最值、存在性问题(解析版)_02中考总复习(2026版更新中)_02-数学-中考总复习_2024年中考复习资料_一轮复习资料_重难点突破_解析版
❤重难点05二次函数与几何的动点及最值、存在性问题(解析版)_02中考总复习(2026版更新中)_02-数学-中考总复习_2024年中考复习资料_一轮复习资料_重难点突破_解析版
❤重难点05二次函数与几何的动点及最值、存在性问题(解析版)_02中考总复习(2026版更新中)_02-数学-中考总复习_2024年中考复习资料_一轮复习资料_重难点突破_解析版
❤重难点05二次函数与几何的动点及最值、存在性问题(解析版)_02中考总复习(2026版更新中)_02-数学-中考总复习_2024年中考复习资料_一轮复习资料_重难点突破_解析版
❤重难点05二次函数与几何的动点及最值、存在性问题(解析版)_02中考总复习(2026版更新中)_02-数学-中考总复习_2024年中考复习资料_一轮复习资料_重难点突破_解析版
❤重难点05二次函数与几何的动点及最值、存在性问题(解析版)_02中考总复习(2026版更新中)_02-数学-中考总复习_2024年中考复习资料_一轮复习资料_重难点突破_解析版
❤重难点05二次函数与几何的动点及最值、存在性问题(解析版)_02中考总复习(2026版更新中)_02-数学-中考总复习_2024年中考复习资料_一轮复习资料_重难点突破_解析版
❤重难点05二次函数与几何的动点及最值、存在性问题(解析版)_02中考总复习(2026版更新中)_02-数学-中考总复习_2024年中考复习资料_一轮复习资料_重难点突破_解析版
❤重难点05二次函数与几何的动点及最值、存在性问题(解析版)_02中考总复习(2026版更新中)_02-数学-中考总复习_2024年中考复习资料_一轮复习资料_重难点突破_解析版
❤重难点05二次函数与几何的动点及最值、存在性问题(解析版)_02中考总复习(2026版更新中)_02-数学-中考总复习_2024年中考复习资料_一轮复习资料_重难点突破_解析版
❤重难点05二次函数与几何的动点及最值、存在性问题(解析版)_02中考总复习(2026版更新中)_02-数学-中考总复习_2024年中考复习资料_一轮复习资料_重难点突破_解析版
❤重难点05二次函数与几何的动点及最值、存在性问题(解析版)_02中考总复习(2026版更新中)_02-数学-中考总复习_2024年中考复习资料_一轮复习资料_重难点突破_解析版
❤重难点05二次函数与几何的动点及最值、存在性问题(解析版)_02中考总复习(2026版更新中)_02-数学-中考总复习_2024年中考复习资料_一轮复习资料_重难点突破_解析版
❤重难点05二次函数与几何的动点及最值、存在性问题(解析版)_02中考总复习(2026版更新中)_02-数学-中考总复习_2024年中考复习资料_一轮复习资料_重难点突破_解析版
❤重难点05二次函数与几何的动点及最值、存在性问题(解析版)_02中考总复习(2026版更新中)_02-数学-中考总复习_2024年中考复习资料_一轮复习资料_重难点突破_解析版
❤重难点05二次函数与几何的动点及最值、存在性问题(解析版)_02中考总复习(2026版更新中)_02-数学-中考总复习_2024年中考复习资料_一轮复习资料_重难点突破_解析版
❤重难点05二次函数与几何的动点及最值、存在性问题(解析版)_02中考总复习(2026版更新中)_02-数学-中考总复习_2024年中考复习资料_一轮复习资料_重难点突破_解析版
❤重难点05二次函数与几何的动点及最值、存在性问题(解析版)_02中考总复习(2026版更新中)_02-数学-中考总复习_2024年中考复习资料_一轮复习资料_重难点突破_解析版
❤重难点05二次函数与几何的动点及最值、存在性问题(解析版)_02中考总复习(2026版更新中)_02-数学-中考总复习_2024年中考复习资料_一轮复习资料_重难点突破_解析版
❤重难点05二次函数与几何的动点及最值、存在性问题(解析版)_02中考总复习(2026版更新中)_02-数学-中考总复习_2024年中考复习资料_一轮复习资料_重难点突破_解析版
❤重难点05二次函数与几何的动点及最值、存在性问题(解析版)_02中考总复习(2026版更新中)_02-数学-中考总复习_2024年中考复习资料_一轮复习资料_重难点突破_解析版
❤重难点05二次函数与几何的动点及最值、存在性问题(解析版)_02中考总复习(2026版更新中)_02-数学-中考总复习_2024年中考复习资料_一轮复习资料_重难点突破_解析版
❤重难点05二次函数与几何的动点及最值、存在性问题(解析版)_02中考总复习(2026版更新中)_02-数学-中考总复习_2024年中考复习资料_一轮复习资料_重难点突破_解析版
❤重难点05二次函数与几何的动点及最值、存在性问题(解析版)_02中考总复习(2026版更新中)_02-数学-中考总复习_2024年中考复习资料_一轮复习资料_重难点突破_解析版
❤重难点05二次函数与几何的动点及最值、存在性问题(解析版)_02中考总复习(2026版更新中)_02-数学-中考总复习_2024年中考复习资料_一轮复习资料_重难点突破_解析版
❤重难点05二次函数与几何的动点及最值、存在性问题(解析版)_02中考总复习(2026版更新中)_02-数学-中考总复习_2024年中考复习资料_一轮复习资料_重难点突破_解析版
❤重难点05二次函数与几何的动点及最值、存在性问题(解析版)_02中考总复习(2026版更新中)_02-数学-中考总复习_2024年中考复习资料_一轮复习资料_重难点突破_解析版
❤重难点05二次函数与几何的动点及最值、存在性问题(解析版)_02中考总复习(2026版更新中)_02-数学-中考总复习_2024年中考复习资料_一轮复习资料_重难点突破_解析版
❤重难点05二次函数与几何的动点及最值、存在性问题(解析版)_02中考总复习(2026版更新中)_02-数学-中考总复习_2024年中考复习资料_一轮复习资料_重难点突破_解析版
❤重难点05二次函数与几何的动点及最值、存在性问题(解析版)_02中考总复习(2026版更新中)_02-数学-中考总复习_2024年中考复习资料_一轮复习资料_重难点突破_解析版
❤重难点05二次函数与几何的动点及最值、存在性问题(解析版)_02中考总复习(2026版更新中)_02-数学-中考总复习_2024年中考复习资料_一轮复习资料_重难点突破_解析版
❤重难点05二次函数与几何的动点及最值、存在性问题(解析版)_02中考总复习(2026版更新中)_02-数学-中考总复习_2024年中考复习资料_一轮复习资料_重难点突破_解析版
❤重难点05二次函数与几何的动点及最值、存在性问题(解析版)_02中考总复习(2026版更新中)_02-数学-中考总复习_2024年中考复习资料_一轮复习资料_重难点突破_解析版
❤重难点05二次函数与几何的动点及最值、存在性问题(解析版)_02中考总复习(2026版更新中)_02-数学-中考总复习_2024年中考复习资料_一轮复习资料_重难点突破_解析版
❤重难点05二次函数与几何的动点及最值、存在性问题(解析版)_02中考总复习(2026版更新中)_02-数学-中考总复习_2024年中考复习资料_一轮复习资料_重难点突破_解析版
❤重难点05二次函数与几何的动点及最值、存在性问题(解析版)_02中考总复习(2026版更新中)_02-数学-中考总复习_2024年中考复习资料_一轮复习资料_重难点突破_解析版
❤重难点05二次函数与几何的动点及最值、存在性问题(解析版)_02中考总复习(2026版更新中)_02-数学-中考总复习_2024年中考复习资料_一轮复习资料_重难点突破_解析版
❤重难点05二次函数与几何的动点及最值、存在性问题(解析版)_02中考总复习(2026版更新中)_02-数学-中考总复习_2024年中考复习资料_一轮复习资料_重难点突破_解析版
❤重难点05二次函数与几何的动点及最值、存在性问题(解析版)_02中考总复习(2026版更新中)_02-数学-中考总复习_2024年中考复习资料_一轮复习资料_重难点突破_解析版
❤重难点05二次函数与几何的动点及最值、存在性问题(解析版)_02中考总复习(2026版更新中)_02-数学-中考总复习_2024年中考复习资料_一轮复习资料_重难点突破_解析版
❤重难点05二次函数与几何的动点及最值、存在性问题(解析版)_02中考总复习(2026版更新中)_02-数学-中考总复习_2024年中考复习资料_一轮复习资料_重难点突破_解析版
❤重难点05二次函数与几何的动点及最值、存在性问题(解析版)_02中考总复习(2026版更新中)_02-数学-中考总复习_2024年中考复习资料_一轮复习资料_重难点突破_解析版
❤重难点05二次函数与几何的动点及最值、存在性问题(解析版)_02中考总复习(2026版更新中)_02-数学-中考总复习_2024年中考复习资料_一轮复习资料_重难点突破_解析版
❤重难点05二次函数与几何的动点及最值、存在性问题(解析版)_02中考总复习(2026版更新中)_02-数学-中考总复习_2024年中考复习资料_一轮复习资料_重难点突破_解析版
❤重难点05二次函数与几何的动点及最值、存在性问题(解析版)_02中考总复习(2026版更新中)_02-数学-中考总复习_2024年中考复习资料_一轮复习资料_重难点突破_解析版
❤重难点05二次函数与几何的动点及最值、存在性问题(解析版)_02中考总复习(2026版更新中)_02-数学-中考总复习_2024年中考复习资料_一轮复习资料_重难点突破_解析版
❤重难点05二次函数与几何的动点及最值、存在性问题(解析版)_02中考总复习(2026版更新中)_02-数学-中考总复习_2024年中考复习资料_一轮复习资料_重难点突破_解析版
❤重难点05二次函数与几何的动点及最值、存在性问题(解析版)_02中考总复习(2026版更新中)_02-数学-中考总复习_2024年中考复习资料_一轮复习资料_重难点突破_解析版
❤重难点05二次函数与几何的动点及最值、存在性问题(解析版)_02中考总复习(2026版更新中)_02-数学-中考总复习_2024年中考复习资料_一轮复习资料_重难点突破_解析版
❤重难点05二次函数与几何的动点及最值、存在性问题(解析版)_02中考总复习(2026版更新中)_02-数学-中考总复习_2024年中考复习资料_一轮复习资料_重难点突破_解析版
❤重难点05二次函数与几何的动点及最值、存在性问题(解析版)_02中考总复习(2026版更新中)_02-数学-中考总复习_2024年中考复习资料_一轮复习资料_重难点突破_解析版
❤重难点05二次函数与几何的动点及最值、存在性问题(解析版)_02中考总复习(2026版更新中)_02-数学-中考总复习_2024年中考复习资料_一轮复习资料_重难点突破_解析版
❤重难点05二次函数与几何的动点及最值、存在性问题(解析版)_02中考总复习(2026版更新中)_02-数学-中考总复习_2024年中考复习资料_一轮复习资料_重难点突破_解析版
❤重难点05二次函数与几何的动点及最值、存在性问题(解析版)_02中考总复习(2026版更新中)_02-数学-中考总复习_2024年中考复习资料_一轮复习资料_重难点突破_解析版
❤重难点05二次函数与几何的动点及最值、存在性问题(解析版)_02中考总复习(2026版更新中)_02-数学-中考总复习_2024年中考复习资料_一轮复习资料_重难点突破_解析版
❤重难点05二次函数与几何的动点及最值、存在性问题(解析版)_02中考总复习(2026版更新中)_02-数学-中考总复习_2024年中考复习资料_一轮复习资料_重难点突破_解析版
❤重难点05二次函数与几何的动点及最值、存在性问题(解析版)_02中考总复习(2026版更新中)_02-数学-中考总复习_2024年中考复习资料_一轮复习资料_重难点突破_解析版
❤重难点05二次函数与几何的动点及最值、存在性问题(解析版)_02中考总复习(2026版更新中)_02-数学-中考总复习_2024年中考复习资料_一轮复习资料_重难点突破_解析版
❤重难点05二次函数与几何的动点及最值、存在性问题(解析版)_02中考总复习(2026版更新中)_02-数学-中考总复习_2024年中考复习资料_一轮复习资料_重难点突破_解析版
❤重难点05二次函数与几何的动点及最值、存在性问题(解析版)_02中考总复习(2026版更新中)_02-数学-中考总复习_2024年中考复习资料_一轮复习资料_重难点突破_解析版
❤重难点05二次函数与几何的动点及最值、存在性问题(解析版)_02中考总复习(2026版更新中)_02-数学-中考总复习_2024年中考复习资料_一轮复习资料_重难点突破_解析版
❤重难点05二次函数与几何的动点及最值、存在性问题(解析版)_02中考总复习(2026版更新中)_02-数学-中考总复习_2024年中考复习资料_一轮复习资料_重难点突破_解析版
❤重难点05二次函数与几何的动点及最值、存在性问题(解析版)_02中考总复习(2026版更新中)_02-数学-中考总复习_2024年中考复习资料_一轮复习资料_重难点突破_解析版
❤重难点05二次函数与几何的动点及最值、存在性问题(解析版)_02中考总复习(2026版更新中)_02-数学-中考总复习_2024年中考复习资料_一轮复习资料_重难点突破_解析版
❤重难点05二次函数与几何的动点及最值、存在性问题(解析版)_02中考总复习(2026版更新中)_02-数学-中考总复习_2024年中考复习资料_一轮复习资料_重难点突破_解析版
❤重难点05二次函数与几何的动点及最值、存在性问题(解析版)_02中考总复习(2026版更新中)_02-数学-中考总复习_2024年中考复习资料_一轮复习资料_重难点突破_解析版
❤重难点05二次函数与几何的动点及最值、存在性问题(解析版)_02中考总复习(2026版更新中)_02-数学-中考总复习_2024年中考复习资料_一轮复习资料_重难点突破_解析版
❤重难点05二次函数与几何的动点及最值、存在性问题(解析版)_02中考总复习(2026版更新中)_02-数学-中考总复习_2024年中考复习资料_一轮复习资料_重难点突破_解析版
❤重难点05二次函数与几何的动点及最值、存在性问题(解析版)_02中考总复习(2026版更新中)_02-数学-中考总复习_2024年中考复习资料_一轮复习资料_重难点突破_解析版
❤重难点05二次函数与几何的动点及最值、存在性问题(解析版)_02中考总复习(2026版更新中)_02-数学-中考总复习_2024年中考复习资料_一轮复习资料_重难点突破_解析版
❤重难点05二次函数与几何的动点及最值、存在性问题(解析版)_02中考总复习(2026版更新中)_02-数学-中考总复习_2024年中考复习资料_一轮复习资料_重难点突破_解析版
❤重难点05二次函数与几何的动点及最值、存在性问题(解析版)_02中考总复习(2026版更新中)_02-数学-中考总复习_2024年中考复习资料_一轮复习资料_重难点突破_解析版
❤重难点05二次函数与几何的动点及最值、存在性问题(解析版)_02中考总复习(2026版更新中)_02-数学-中考总复习_2024年中考复习资料_一轮复习资料_重难点突破_解析版
❤重难点05二次函数与几何的动点及最值、存在性问题(解析版)_02中考总复习(2026版更新中)_02-数学-中考总复习_2024年中考复习资料_一轮复习资料_重难点突破_解析版
❤重难点05二次函数与几何的动点及最值、存在性问题(解析版)_02中考总复习(2026版更新中)_02-数学-中考总复习_2024年中考复习资料_一轮复习资料_重难点突破_解析版

文档信息

文档格式
docx
文档大小
4.364 MB
文档页数
147 页
上传时间
2026-04-04 02:37:12

文档内容

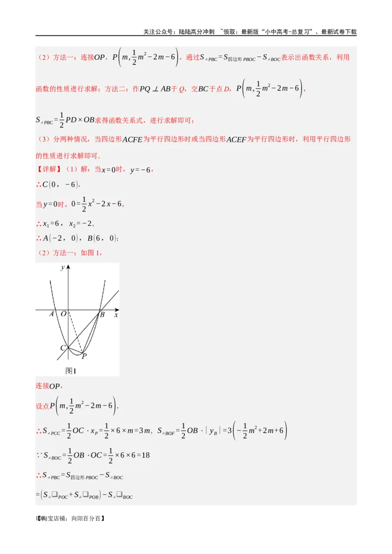
关注公众号:陆陆高分冲刺 ~领取:最新版“小中高考-总复习”、最新试卷下载 重难点突破 05 二次函数与几何的动点及最值、存在性问题 目 录 题型01 平行y轴动线段最大值与最小值问题 题型02 抛物线上的点到某一直线的距离问题 题型03 已知点关于直线对称点问题 题型04 特殊角度存在性问题 题型05 将军饮马模型解决存在性问题 题型06 二次函数中面积存在性问题 题型07 二次函数中等腰三角形存在性问题 题型08 二次函数中直角三角形存在性问题 题型09 二次函数中全等三角形存在性问题 题型10 二次函数中相似三角形存在性问题 题型11 二次函数中平行四边形存在性问题 题型12 二次函数中矩形存在性问题 题型13 二次函数中菱形存在性问题 题型14 二次函数中正方形存在性问题 【1 淘宝店铺:向阳百分百】关注公众号:陆陆高分冲刺 ~领取:最新版“小中高考-总复习”、最新试卷下载 二次函数常见存在性问题: (1)等线段问题:将动点坐标用函数解析式以“一母式”的结构表示出来,再利用点到点或点到直线的 距离公式列出方程或方程组,然后解出参数的值,即可以将线段表示出来. 【说明】在平面直角坐标系中该点在某一函数图像上,设该点的横坐标为m,则可用含m字母的函数解析 式来表示该点的纵坐标,简称“设横表纵”或“一母式”. (2)平行y轴动线段最大值与最小值问题:将动点坐标用函数解析式以“一母式”的结构表示出来,再用 纵坐标的较大值减去较小值,再利用二次函数的性质求出动线段的最大值或最小值. (3)求已知点关于直线对称点问题:先求出直线解析式,再利用两直线垂直的性质(两直线垂直,斜率 之积等于-1)求出已知点所在直线的斜率及解析式,最后用中点坐标公式即可求出对称点的坐标. (4)“抛物线上是否存在一点,使其到某一直线的距离为最值”的问题:常常利用直线方程与二次函数 解析式联立方程组,求出切点坐标,运用点到直线的距离公式进行求解. (5)二次函数与一次函数、特殊图形、旋转及特殊角度综合:图形或一次函数与x轴的角度特殊化,利用 与角度有关知识点求解函数图像上的点,结合动点的活动范围,求已知点与动点是否构成新的特殊图形. 2.二次函数与三角形综合 (1)将军饮马问题:本考点主要分为两类: ①在定直线上是否存在点到两定点的距离之和最小; ②三角形周长最小或最大的问题,主要运用的就是二次函数具有对称性. (2)不规则三角形面积最大或最小值问题:利用割补法将不规则三角形分割成两个或以上的三角形或四边形, 在利用“一母式”将动点坐标表示出来,作线段差,用线段差来表示三角形的底或高,用面积公式求出各 部分面积,各部分面积之和就是所求三角形的面积.将三角形的面积用二次函数的结构表示出来,再利用二 次函数的性质求出面积的最值及动点坐标. (3)与等腰三角形、直角三角形的综合问题:对于此类问题,我们可以利用两圆一线或两线一圆的基本模型来 进行计算. 问题 分情况 找点 画图 解法 等 分别以点A,B为圆 分别表示出点A,B,P的坐 以AB 腰 心,以AB长为半径 标,再表示出线段 AB, 为腰 三 已知点A,B和直线 画圆,与已知直线的 BP,AP的长度,由①AB= 【2 淘宝店铺:向阳百分百】关注公众号:陆陆高分冲刺 ~领取:最新版“小中高考-总复习”、最新试卷下载 交点P ,P ,P ,P AP;②AB=BP;③BP= 1 2 4 5 即为所求 AP列方程解出坐标 l,在l上求点P,使 分别表示出点A,B,P的坐 角 △PAB 为等腰三角 作线段 AB 的垂直平 标,再表示出线段AB,BP, 形 以AB为 形 分线,与已知直线的 AP的长度,由①AB=AP;② 底 交点P3即为所求 AB=BP;③BP=AP列方程解 出坐标 问题 分情况 找点 画图 解法 分别过点 A,B 作 以 AB 直 AB的垂线,与已知 分别表示出点A,B,P的 为直角 角 直线的交点 P ,P 坐标,再表示出线段AB, 1 4 边 三 已知点 A,B 和直线 即为所求 BP,AP的长度,由①AB2 角 l,在 l 上求点 P,使 以 AB 的中点 Q 为圆 =BP2+AP2;②BP2=AB2 形 △PAB为直角三角形 以 AB 心 , QA 为 半 径 作 +AP2;③AP2=AB2+BP2 为斜边 圆,与已知直线的交 列方程解出坐标 点P2,P3即为所求 注:其他常见解题思路有: ①作垂直,构造“三垂直”模型,利用相似列比例关系得方程求解; ②平移垂线法:若以AB为直角边,且AB的一条垂线的解析式易求(通常为过原点O与AB垂直的直线), 可将这条直线分别平移至过点A或点B得到相应解析式,再联立方程求解. (4)与全等三角形、相似三角形的综合问题:在没有指定对应点的情况下,理论上有六种情况需要讨论,但 在实际情况中,通常不会超过四种,要注意边角关系,积极分类讨论来进行计算. 情况一 探究三角形相似的存在性问题的一般思路: 解答三角形相似的存在性问题时,要具备分类讨论思想及数形结合思想,要先找出三角形相似的分类标准, 一般涉及动态问题要以静制动,动中求静,具体如下: ①假设结论成立,分情况讨论.探究三角形相似时,往往没有明确指出两个三角形的对应点(尤其是以文字 形式出现求证两个三角形相似的题目),或者涉及动点问题,因动点问题中点的位置的不确定,此时应考虑 不同的对应关系,分情况讨论; ②确定分类标准.在分类时,先要找出分类的标准,看两个相似三角形是否有对应相等的角,若有,找出 对应相等的角后,再根据其他角进行分类讨论来确定相似三角形成立的条件;若没有,则分别按三种角对 应来分类讨论; ③建立关系式,并计算.由相似三角形列出相应的比例式,将比例式中的线段用所设点的坐标表示出来(其 【3 淘宝店铺:向阳百分百】关注公众号:陆陆高分冲刺 ~领取:最新版“小中高考-总复习”、最新试卷下载 长度多借助勾股定理运算),整理可得一元一次方程或者一元二次方程,解方程可得字母的值,再通过计算 得出相应的点的坐标. 情况二 探究全等三角形的存在性问题的思路与探究相似三角形的存在性问题类似,但是除了要找角相等 外,还至少要找一组对应边相等. 3.二次函数与四边形的综合问题 特殊四边形的探究问题解题步骤如下: ①先假设结论成立; ②设出点坐标,求边长; ③建立关系式,并计算.若四边形的四个顶点位置已确定,则直接利用四边形边的性质进行计算;若四边 形的四个顶点位置不确定,需分情况讨论: a.探究平行四边形:①以已知边为平行四边形的某条边,画出所有的符合条件的图形后,利用平行四边形 的对边相等进行计算;②以已知边为平行四边形的对角线,画出所有的符合条件的图形后,利用平行四边 形对角线互相平分的性质进行计算;③若平行四边形的各顶点位置不确定,需分情况讨论,常以已知的一 边作为一边或对角线分情况讨论. b.探究菱形:①已知三个定点去求未知点坐标;②已知两个定点去求未知点坐标,一般会用到菱形的对角 线互相垂直平分、四边相等的性质列关系式. c.探究正方形:利用正方形对角线互相垂直平分且相等的性质进行计算,一般是分别计算出两条对角线的 长度,令其相等,得到方程再求解. d.探究矩形:利用矩形对边相等、对角线相等列等量关系式求解;或根据邻边垂直,利用勾股定理列关系 式求解. 题型 01 平行 y 轴动线段最大值与最小值问题 1.(2023·广东东莞·一模)如图,抛物线y=x2+bx+c与x轴交于A、B两点,与y轴交于点C, OA=OC=3,顶点为D. 【4 淘宝店铺:向阳百分百】关注公众号:陆陆高分冲刺 ~领取:最新版“小中高考-总复习”、最新试卷下载 (1)求此函数的关系式; (2)在AC下方的抛物线上有一点N,过点N作直线l∥y轴,交AC与点M,当点N坐标为多少时,线段 MN的长度最大?最大是多少? (3)在对称轴上有一点K,在抛物线上有一点L,若使A,B,K,L为顶点形成平行四边形,求出K,L点的 坐标. (4)在y轴上是否存在一点E,使△ADE为直角三角形,若存在,直接写出点E的坐标;若不存在,说明理 由. 【答案】(1)y=x2+2x−3 ( 3 15) 9 (2)当N的坐标为 − ,− ,MN有最大值 2 4 4 (3)K(−1,4),L(−1,−4)或K(−1,12),L(−5,12)或K(−1,12),L(3,12) ( 3) ( 7) (4)存在,点E的坐标为 0, 或 0,− 或(0,−1)或(0,−3) 2 2 【分析】(1)由OA=OC=3求得A(−3,0),C(0,−3),再分别代入抛物线解析式y=x2+bx+c,得到 以b,c为未知数的二元一次方程组,求出b,c的值即可; (2)求出直线AC的解析式,再设出M、N的坐标,把MN表示成二次函数,配方即可; (3)根据平行四边形的性质,以AB为边,以AB为对角线,分类讨论即可; (4)设出E的坐标,分别表示出△ADE的平分,再分每一条都可能为斜边,分类讨论即可. 【详解】(1)∵抛物线y=x2+bx+c经过点A,点C,且OA=OC=3, ∴A(−3,0),C(0,−3), ∴将其分别代入抛物线解析式,得¿, 解得¿. 故此抛物线的函数表达式为:y=x2+2x−3; (2)设直线AC的解析式为y=kx+t, 将A(−3,0),C(0,−3)代入,得¿, 【5 淘宝店铺:向阳百分百】关注公众号:陆陆高分冲刺 ~领取:最新版“小中高考-总复习”、最新试卷下载 解得¿, ∴直线AC的解析式为y=−x−3, 设N的坐标为(n,n2+2n−3),则M(n,−n−3), ∴MN=−n−3−(n2+2n−3)=−n2−3n=− ( n+ 3) + 9 , 2 4 ∵−1<0, 3 9 ∴当n=− 时,MN有最大值,为 , 2 4 3 ( 3 15) 把n=− 代入抛物线得,N的坐标为 − ,− , 2 2 4 ( 3 15) 9 当N的坐标为 − ,− ,MN有最大值 ; 2 4 4 (3)①当以AB为对角线时,根据平行四边形对角线互相平分, ∴KL必过(−1,0), ∴L必在抛物线上的顶点D处, ∵y=x2+2x−3=(x+1) 2−4, ∴K(−1,4),L(−1,−4) ②当以AB为边时,AB=KL=4, ∵K在对称轴上x=−1, ∴L的横坐标为3或−5, 代入抛物线得L(−5,12)或L(3,12),此时K都为(−1,12), 综上,K(−1,4),L(−1,−4)或K(−1,12),L(−5,12)或K(−1,12),L(3,12); (4)存在, 由y=x2+2x−3=(x+1) 2−4,得抛物线顶点坐标为D(−1,−4) ∵A(−3,0), ∴AD2=(−3+1) 2+(0+4) 2=20, 设E(0,m),则AE2=(−3−0) 2+(0−m) 2=9+m2,DE2=(−1−0) 2+(−4−m) 2=17+m2+8m, ①AE为斜边,由AE2=AD2+DE2得:9+m2=20+17+m2+8m, 【6 淘宝店铺:向阳百分百】关注公众号:陆陆高分冲刺 ~领取:最新版“小中高考-总复习”、最新试卷下载 7 解得:m=− , 2 ②DE为斜边,由DE2=AD2+AE2得:9+m2+20=17+m2+8m, 3 解得:m= , 2 ③AD为斜边,由AD2=ED2+AE2得:20=17+m2+8m+9+m2, 解得:m=−1或−3, ( 3) ( 7) ∴点E的坐标为 0, 或 0,− 或(0,−1)或(0,−3). 2 2 【点睛】本题主要考查待定系数法求二次函数解析式,二次函数图象与性质,平行四边形的判定与性质以 及勾股定理等知识,会运用待定系数法列方程组,两点间距离公式求MN的长,由平行四边形的性质判定 边相等,运用勾股定理列方程. 2.(2023·河南南阳·统考一模)如图,抛物线与x轴相交于点A、B(点A在点B的左侧),与y轴的交于 点C(0,−4),点P是第三象限内抛物线上的一个动点,设点P的横坐标为m,过点P作直线PD⊥x轴 ( 25) 于点D,作直线AC交PD于点E.已知抛物线的顶点P坐标为 −3,− . 4 (1)求抛物线的解析式; (2)求点A、B的坐标和直线AC的解析式; (3)求当线段CP=CE时m的值; (4)连接BC,过点P作直线l∥BC交y轴于点F,试探究:在点P运动过程中是否存在m,使得CE=DF, 若存在直接写出m的值;若不存在,请说明理由. 1 3 【答案】(1)y= x2+ x−4 4 2 【7 淘宝店铺:向阳百分百】关注公众号:陆陆高分冲刺 ~领取:最新版“小中高考-总复习”、最新试卷下载 1 (2)A(−8,0),B(2,0), y=− x−4 2 (3)−4 (4)存在, m=2−2√5或m=−4 【分析】(1)运用待定系数法即可求得抛物线的解析式; (2)令y=0,解方程即可求得点A、B的坐标,再运用待定系数法即可求得直线AC的解析式; (3)过点C作CF⊥PE于点F,根据等腰三角形的性质可得点F是PE的中点,设 P ( m, 1 m2+ 3 m−4 ) ,则E ( m,− 1 m−4 ) ,可得F ( m, 1 m2+ 1 m−4 ) ,再由点F与点C的纵坐 4 2 2 8 2 标相同建立方程求解即可; (4)过C作CH⊥PD于H,设P ( m, 1 m2+ 3 m−4 ) ,由PF∥BC,可得直线PF解析式为 4 2 1 1 1 1 y=2x+ m2− m−4,进而可得OF=| m2− m−4|,再证得Rt△CHE≅Rt△DOF(HL),得出 4 2 4 2 ∠HCE=∠FDO,进而推出∠FDO=∠CAO,即tan∠FDO=tan∠CAO,据此建立方程求解即可. ( 25) 【详解】(1)解:∵抛物线的顶点坐标为 −3,− 4 25 ∴设抛物线的解析式为y=a(x+3) 2− , 4 25 1 把点C(0,−4)代入,得:−4=9a− ,解得:a= , 4 4 1 25 1 3 ∴y= (x+3) 2− = x2+ x−4, 4 4 4 2 1 3 ∴该抛物线的解析式为y= x2+ x−4. 4 2 1 3 (2)解:令y=0,得 x2+ x−4=0,解得:x =−8,x =2, 4 2 1 2 ∴A(−8,0),B(2,0),, 设直线AC的解析式为y=kx+b,则¿,解得:¿, 1 ∴直线AC的解析式为y=− x−4. 2 (3)解:如图,过点C作CF⊥PE于点F, 【8 淘宝店铺:向阳百分百】关注公众号:陆陆高分冲刺 ~领取:最新版“小中高考-总复习”、最新试卷下载 ∵CP=CE, ∴EF=PF,即点F是PE的中点, 设P ( m, 1 m2+ 3 m−4 ) ,则E ( m,− 1 m−4 ) , 4 2 2 ∴F ( m, 1 m2+ 1 m−4 ) , 8 2 ∵PE∥y轴,CF⊥PE, ∴CF∥x轴, 1 1 ∴ m2+ m−4=−4,解得:m=−4或m=0(不符合题意,舍去), 8 2 ∴m=−4. (4)解:存在m,使得CE=DF,理由如下: 如图:过C作CH⊥PD于H, 【9 淘宝店铺:向阳百分百】关注公众号:陆陆高分冲刺 ~领取:最新版“小中高考-总复习”、最新试卷下载 设P ( m, 1 m2+ 3 m−4 ) , 4 2 由B(2,0),C(0,−4),由待定系数法可得直线BC解析式为y=2x−4, 根据PF∥BC,设直线PF解析式为y=2x+c,将P ( m, 1 m2+ 3 m−4 ) 代入得: 4 2 1 3 m2+ m−4=2m+c, 4 2 1 1 ∴c= m2− m−4, 4 2 1 1 ∴直线PF解析式为y=2x+ m2− m−4, 4 2 1 1 令x=0得y= m2− m−4, 4 2 ∴F ( 0, 1 m2− 1 m−4 ) , 4 2 |1 1 | ∴OF= m2− m−4 , 4 2 ∵∠CHD=∠PDO=∠COD=90°, ∴四边形CODH是矩形, ∴CH=OD, ∵CE=DF, ∴Rt△CHE≅Rt△DOF(HL), ∴∠HCE=∠FDO, 【10淘宝店铺:向阳百分百】关注公众号:陆陆高分冲刺 ~领取:最新版“小中高考-总复习”、最新试卷下载 ∵∠HCE=∠CAO, ∴∠FDO=∠CAO, ∴tan∠FDO=tan∠CAO, |1 1 | OF OC m2− m−4 ∴ = ,即 4 2 4 1, OD OA = = −m 8 2 1 1 1 1 1 1 ∴ m2− m−4=− m或 m2− m−4= m, 4 2 2 4 2 2 解得:m=−4或m=4或m=2−2√5或m=2+2√5, ∵P在第三象限, ∴m=2−2√5或m=−4. 【点睛】本题属于二次函数综合题,主要考查了待定系数法求函数解析式、二次函数综合应用、等腰三角 形性质、矩形判定及性质、相似三角形判定及性质、解直角三角形等知识点,解题的关键是用含m的代数 式表示相关点坐标和相关线段的长度. 3.(2023·山东聊城·统考三模)抛物线y=−x2+bx+c与x轴交于点A(3,0),与y轴交于点C(0,3),点P 为抛物线上的动点. (1)求b,c的值; (2)若P为直线AC上方抛物线上的动点,作PH∥x轴交直线AC于点H,求PH的最大值; (3)点N为抛物线对称轴上的动点,是否存在点N,使直线AC垂直平分线段PN?若存在,请直接写出点N 的纵坐标;若不存在,请说明理由. 【答案】(1)b=2,c=3 9 (2)PH取得最大值为 4 (3)存在,2−√2或2+√2 【分析】(1)将坐标代入解析式,构建方程求解; 【11淘宝店铺:向阳百分百】关注公众号:陆陆高分冲刺 ~领取:最新版“小中高考-总复习”、最新试卷下载 (2)设PH交y轴于点M,P(m,−m2+2m+3),则PM=m;待定系数法确定直线AC的解析式为 y=−x+3,从而确定PH=m−(m2−2m)=−m2+3m=− ( m− 3) 2 + 9 ,解得PH最大值为 9 ; 2 4 4 (3)如图,设PN与AC交于点G,可设直线PN的解析式为y=x+p,设点N(1,n),求得y=x+(n−1); n n 联立¿,解得¿,所以点P的横坐标为2×(− +2)−1=−n+3,纵坐标为2×( +1)−n=2,由二次函数 2 2 解析式构建方程−(−n+3) 2+2(−n+3)+3=2,解得n=2±√2; 【详解】(1)∵抛物线y=−x2+bx+c与x轴交于点A(3,0),与y轴交于点C(0,3), ∴¿,解得:¿, ∴b=2,c=3; (2)设PH交y轴于点M,P(m,−m2+2m+3), ∴PM=m, ∵PH∥x轴,∴点H的纵坐标为−m2+2m+3, 设直线AC的解析式为y=kx+n,∴¿,解得:¿, ∴直线AC的解析式为y=−x+3. ∴−m2+2m+3=−x+3, ∴x=m2−2m, ∴H(m2−2m,−m2+2m+3), ∴PH=m−(m2−2m)=−m2+3m=− ( m− 3) 2 + 9 , 2 4 3 9 ∴当m= 时,PH取得最大值为 2 4 (3)存在点N,使直线AC垂直平分线段PN,点N的纵坐标为2−√2或2+√2 【12淘宝店铺:向阳百分百】关注公众号:陆陆高分冲刺 ~领取:最新版“小中高考-总复习”、最新试卷下载 如图,设PN与AC交于点G, ∵AC垂直平分PN,直线AC的解析式为y=−x+3 ∴可设直线PN的解析式为y=x+p 设点N(1,n),则n=1+p ∴p=n−1, ∴y=x+(n−1) 联立¿, 解得¿ n n ∴点P的横坐标为2×(− +2)−1=−n+3,纵坐标为2×( +1)−n=2 2 2 ∴−(−n+3) 2+2(−n+3)+3=2,解得n=2±√2 ∴点N的纵坐标为2−√2或2+√2. 【点睛】本题考查利用二次函数解析式及点坐标求待定参数、待定系数法确定函数解析式、二次函数极值 及其它二次函数综合问题,利用直线间的位置关系、点线间的位置关系,融合方程的知识求解坐标是解题 的关键. 题型 02 抛物线上的点到某一直线的距离问题 1 4.(2023·广东梅州·统考二模)探究求新:已知抛物线G :y= x2+3x−2,将抛物线G 平移可得到抛 1 4 1 1 物线G :y= x2 . 2 4 (1)求抛物线G 平移得到抛物线G 的平移路径; 1 2 【13淘宝店铺:向阳百分百】关注公众号:陆陆高分冲刺 ~领取:最新版“小中高考-总复习”、最新试卷下载 (2)设T(0,t),直线l:y=−t,是否存在这样的t,使得抛物线G 上任意一点到T的距离等于到直线l的距 2 离?若存在,求出t的值;若不存在,试说明理由; (3)设H(0,1),Q(1,8),M为抛物线G 上一动点,试求QM+MH的最小值. 2 参考公式:若点M(x ,y ),N(x ,y )为平面上两点,则有MN=√(x −x )²+(y −y )² . 1 1 2 2 1 2 1 2 【答案】(1)将G 向左平移−6个单位,向上平移11个单位 1 (2)存在,1 (3)9 【分析】(1)设G 向左平移a个单位,向上平移b个单位得到函数G ,列方程组即可求解; 1 2 ( x 2 ) (2)设P x , 0 为抛物线G 上的一点,根据题意列方程即可; 0 4 2 (3)点H坐标与(2)中t=1时的T点重合,过点M作MA⊥l,垂足为A,如图所示,则有MH=MA, 当且仅当Q,M,A三点共线时QM+MA取得最小值. 【详解】(1).解:设G 向左平移a个单位,向上平移b个单位得到函数G , 1 2 1 1 由平移法则可知 (x+a) 2+3(x+a)−2+b= x2 , 4 4 整理可得 1 x2+ ( 3+ 1 a ) x+ 1 a2+3a−2+b= 1 x2 , 4 2 4 4 可得方程组¿, 解得¿; ∴平移路径为将G 向左平移−6个单位,向上平移11个单位; 1 (2)解:存在这样的t,且t=1时满足条件, ( x 2 ) 设P x , 0 为抛物线G 上的一点, 0 4 2 x 2 √ (x 2 ) 2 则点P到直线l的距离为 0 +t,点P到点T距离为 (x −0) 2+ 0 −t , 4 0 4 联立可得: x 2 √ (x 2 ) 2 0 +t= (x −0) 2+ 0 −t , 4 0 4 两边同时平方合并同类项后可得x 2−x 2t=0 0 0 解得:t=1; 【14淘宝店铺:向阳百分百】关注公众号:陆陆高分冲刺 ~领取:最新版“小中高考-总复习”、最新试卷下载 (3)解:点H坐标与(2)中t=1时的T点重合, 作直线l:y=−1,过点M作MA⊥直线l,垂足为A,如图所示,则有MH=MA, 此时QM+MH=QM+MA, 当且仅当Q,M,A三点共线时QM+MA取得最小值 即QM+MA=QA=8−(−1)=9 ∴QM+MH的最小值为9; 【点睛】本题考查二次函数综合题,涉及到线段最小值、平移性质等,灵活运用所学知识是关键. 5.(2023·湖北宜昌·统考一模)如图,已知:点P是直线l:y=x−2上的一动点,其横坐标为m(m是常 数),点M是抛物线C:y=x2+2mx−2m+2的顶点. (1)求点M的坐标;(用含m的式子表示) (2)当点P在直线l运动时,抛物线C始终经过一个定点N,求点N的坐标,并判断点N是否是点M的最高位 置? (3)当点P在直线l运动时,点M也随之运动,此时直线l与抛物线C有两个交点A,B(A,B可以重合), A,B两点到y轴的距离之和为d. ①求m的取值范围; ②求d的最小值. 【答案】(1)M(−m,−m2−2m+2) (2)N(1,3),点N是点M的最高位置 5 3 (3)①m≤− 或m≥ ;②d取得最小值为2 2 2 【15淘宝店铺:向阳百分百】关注公众号:陆陆高分冲刺 ~领取:最新版“小中高考-总复习”、最新试卷下载 【分析】(1)将抛物线解析式写成顶点式即可求解; (2)根据解析式含有m项的系数为0,得出当x=1时,y=3,即N(1,3),根据二次函数的性质得出 −m2−2m+2=−(m+1) 2+3的最大值为3,即可得出点N是点M的最高位置; (3)①根据直线与抛物线有交点,联立方程,根据一元二次方程根的判别式大于等于0,求得m的范围, 即可求解; ②设A,B的坐标分别为(x ,y ),(x ,y ),其中x 0, ∴当x=1时,该函数有最小值−4, ∵P(m,n)在该抛物线上, ∴当−10)与x轴交于A,B两点, 与y轴交于点C,直线x=3交x轴于点D. (1)若OB=OC,直接写出抛物线的解析式; (2)如图1,已知点E在第四象限的抛物线上,在线段OD和直线x=3上是否存在F,G两点,使得C,E, F,G为顶点的四边形是以CF为一边的矩形?若存在,求点F的坐标;若不存在,说明理由; ( 1) (3)如图2,将抛物线F平移,使其顶点落在轴上的点P 0, 处,得到抛物线G,直线MN与抛物线G只 2 有一个公共点M,与x轴交于点N,定点Q在y轴正半轴上,且满足∠MQN=90°,求此时点Q的坐标. 1 【答案】(1)y= x2−x−4 2 【10淘0 宝店铺:向阳百分百】关注公众号:陆陆高分冲刺 ~领取:最新版“小中高考-总复习”、最新试卷下载 (√201−11 ) (2)存在这样的点F,点F的坐标为(2,0)或 ,0 ; 4 (3)Q(0,1) 【分析】(1)先求得A、B的坐标,利用OB=OC,求得C(0,−4),则−8a=−4,据此求解即可; (2)设点F的坐标为F(m,0)(0≤m≤3),点E的坐标为E(t,n)(03),Q(x ,y ), Q Q ∵C(0,−3),B(3,0), ∴x =3−t,y =−t2+2t, Q Q ∴Q(3−t,−t2+2t), ∴DQ=t2−2t,BD=−t,EP=−t2+2t+3,BE=3−t, −t2+2t+3 3−t ∴ = , −t t2−2t 整理得:t3−4t2+2t+3=0, 分解因式得:(t−3)(t2−t−1)=0, 1+√5 1−√5 解得:t =3(舍去),t = <3(舍去),t = <0, 1 2 2 3 2 (5+√5 −1−√5) ∴此时点Q的坐标为: , . 2 2 【12淘1 宝店铺:向阳百分百】关注公众号:陆陆高分冲刺 ~领取:最新版“小中高考-总复习”、最新试卷下载 综上所述,在平面直角坐标系内存在点Q,使得以B、C、P、Q为顶点的四边形是矩形,此时点Q的坐标 (5+√5 −1−√5) 为(−5,2)或 , ; 2 2 (4)证明:∵y=x2−2x−3=(x−1) 2−4, ∴抛物线y=x2−2x−3的顶点D的坐标为(1,−4),对称轴为直线x=1, 设P(m,m2−2m−3),直线PB的解析式为y=cx+d(c≠0), ∴¿, ∴¿, ∴直线PB的解析式为y=(m+1)x−3m−3, 当x=1时,y=−2m−2, ∴I(1,−2m−2), ∴ID=−2m−2−(−4)=−2m+2, 设直线PA的解析式为y=ex+f (e≠0), ∴¿, ∴¿, ∴直线PA的解析式为y=(m−3)x+m−3, 当x=1时,y=2m−6, ∴G(1,2m−6), ∴DG=−4−(2m−6)=−2m+2, ∴ID=DG, ∴点D是线段IG的中点. 【点睛】本题考查二次函数的图象与性质、用待定系数法求函数解析式、二次函数图象上点的坐标特征、 一次函数的性质、一次函数图象上点的坐标特征、等腰直角三角形的判定与性质、矩形的判定与性质,利 用点的坐标表示出相应线段的长度是解题的关键. 41.(2023·山西晋中·校联考模拟预测)综合与探究 如图,抛物线y=−x2+bx+c的顶点为D(1,4)与x轴交于A和B两点,交y轴于点C. 【12淘2 宝店铺:向阳百分百】关注公众号:陆陆高分冲刺 ~领取:最新版“小中高考-总复习”、最新试卷下载 (1)求抛物线的函数表达式及点A、B、C的坐标; (2)如图1,点P是直线BC上方的抛物线上的动点,当△BCP面积最大时,求点P的横坐标; (3)如图2,若点M是坐标轴上一点,点N为平面内一点,是否存在这样的点,使以B、D、M、N为顶点 的四边形是以BD为对角线的矩形?若存在,请直接写出点N的坐标,若不存在,请说明理由. 【答案】(1)y=−x2+2x+3,点A、B、C的坐标分别为:(−1,0)、(3,0)、(0,3) ; (3 15) (2)P , 2 4 (3)点N(4,1)或(4,3)或(3,4) 【分析】(1)依题意,y=−(x−1) 2+4=−x2+2x+3,当x=0时,y=3,令y=−x2+2x+3=0,解方 程即可求解; 1 (2)由△BCP面积=S +S = ×PH·OB;即可求解; △PHC △PHB 2 (3)根据矩形的性质,由中点坐标公式和对角线BD=MN列出方程组,即可求解. 【详解】(1)解:∵抛物线y=−x2+bx+c的顶点为D(1,4), ∴ y=−(x−1) 2+4=−x2+2x+3, 当x=0时,y=3,令y=−x2+2x+3=0,解得:x=−1或x=3 ∴即点A、B、C的坐标分别为:(−1,0)、(3,0)、(0,3) ; (2)过点P作PH∥y轴交BC于点H,如图所示, 【12淘3 宝店铺:向阳百分百】关注公众号:陆陆高分冲刺 ~领取:最新版“小中高考-总复习”、最新试卷下载 设直线BC的解析式为y=kx+3,将(3,0)代入,得3k+3=0, 解得:k=−1, ∴直线BC的解析式为y=−x+3, 设点P(x,−x2+2x+3) ,则点H(x,−x+3) , 1 则△BCP面积=S +S = ×PH·OB △PHC △PHB 2 3 3 = ×(−x2+2x+3+x−3)=− (x2−3x) 2 2 3 ∵ − <0 ,则△BCP面积有最大值, 2 3 15 当x= 时,−x2+2x+3= , 2 4 (3 15) 此时,点P , ; 2 4 (3)存在,理由如下: 设点M的坐标为:(0,m)或(n,0),点N(s,t), 由点B、D的坐标得,BD2=20, 由中点坐标公式和对角线BD=MN得: ¿或¿ 解得:¿或¿或¿或¿ (舍去) ∴即点N(4,1)或(4,3)或(3,4) . 【12淘4 宝店铺:向阳百分百】关注公众号:陆陆高分冲刺 ~领取:最新版“小中高考-总复习”、最新试卷下载 【点睛】本题考查二次函数的综合应用,涉及待定系数法,三角形面积,矩形的性质等知识,分类求解是 解题的关键. 题型 13 二次函数中菱形存在性问题 42.(2023·西藏·统考中考真题)在平面直角坐标系中,抛物线y=−x2+bx+c与x轴交于A(−3,0), B(1,0)两点,与y轴交于点C. (1)求抛物线的解析式; (2)如图甲,在y轴上找一点D,使△ACD为等腰三角形,请直接写出点D的坐标; (3)如图乙,点P为抛物线对称轴上一点,是否存在P、Q两点使以点A,C,P,Q为顶点的四边形是菱形? 若存在,求出P、Q两点的坐标,若不存在,请说明理由. 【答案】(1)y=−x2−2x+3; (2)(0,0)或(0,−3)或(0,3−3√2)或(0,3+3√2); (3)存在, , 或 , 或 , P(−1,3−√17) Q(−4,−√17) P(−1,3+√17) Q(−4,√17) P(−1,1) 【12淘5 宝店铺:向阳百分百】关注公众号:陆陆高分冲刺 ~领取:最新版“小中高考-总复习”、最新试卷下载 或 或 Q(−2,2) P(−1,√14),Q(2,3+√14) P(−1,−√14),Q(2,3−√14) 【分析】(1)将A(−3,0),B(1,0)代入y=−x2+bx+c,求出b,c,即可得出答案; (2)分别以点D为顶点、以点A为顶点、当以点C为顶点,计算即可; (3)抛物线y=−x2−2x+3的对称轴为直线x=−1,设P(−1,t),Q(m,n),求出AC2=18, AP2=t2+4,PC2=t2−6t+10,分三种情况:以AP为对角线或以AC为对角线或以CP为对角线. 【详解】(1)解:(1)∵A(−3,0),B(1,0)两点在抛物线上, ∴¿ 解得,¿, ∴抛物线的解析式为:y=−x2−2x+3; (2)令x=0,y=3, ∴C(0,3), 由△ACD为等腰三角形,如图甲, 当以点D为顶点时,DA=DC,点D与原点O重合, ∴D(0,0); 当以点A为顶点时,AC=AD,AO是等腰△ACD中线, ∴OC=OD, ∴D(0,−3); 当以点C为顶点时,AC=CD=√OA2+OC2=√32+32=3√2 ∴点D的纵坐标为3−3√2或3√2+3, 【12淘6 宝店铺:向阳百分百】关注公众号:陆陆高分冲刺 ~领取:最新版“小中高考-总复习”、最新试卷下载 ∴综上所述,点D的坐标为(0,0)或(0,−3)或(0,3−3√2)或(0,3+3√2). (3)存在,理由如下: 抛物线y=−x2−2x+3的对称轴为:直线x=−1, 设P(−1,t),Q(m,n), ∵A(−3,0),C(0,3), 则AC2=(−3) 2+32=18, AP2=(−1+3) 2+t2=t2+4, PC2=(−1) 2+(t−3) 2=t2−6t+10, ∵以A、C、P、Q为顶点的四边形是菱形, ∴分三种情况:以AP为对角线或以AC为对角线或以CP为对角线, 当以AP为对角线时,则CP=CA,如图1, ∴t2−6t+10=18, 解得:t=3±√17, ∴P (−1,3−√17)或P (−1,3+√17) 1 2 ∵四边形ACPQ是菱形, ∴AP与CQ互相垂直平分,即AP与CQ的中点重合, 【12淘7 宝店铺:向阳百分百】关注公众号:陆陆高分冲刺 ~领取:最新版“小中高考-总复习”、最新试卷下载 当P (−1,3−√17)时, 1 m+0 −3−1 n+3 0+3−√17 ∴ = , = , 2 2 2 2 解得:m=−4,n=−√17, ∴Q (−4,−√17) 1 当P (−1,3+√17)时, 2 m+0 −3−1 n+3 0+3+√17 ∴ = , = , 2 2 2 2 解得:m=−4,n=√17, ∴Q (−4,√17) 2 以AC为对角线时,则PC=AP,如图2, ∴t2−6t+10=t2+4, 解得:t=1, ∴P (−1,1), 3 ∵四边形APCQ是菱形, ∴AC与PQ互相垂直平分,即AC与CQ中点重合, m−1 −3+0 n+1 0+3 ∴ = , = , 2 2 2 2 解得:m=−2,n=2, ∴Q (−2,2); 3 当以CP为对角线时,则AP=AC,如图3, 【12淘8 宝店铺:向阳百分百】关注公众号:陆陆高分冲刺 ~领取:最新版“小中高考-总复习”、最新试卷下载 ∴t2+4=18, 解得:t=±√14, ∴P (−1,√14),P (−1,−√14), 4 5 ∵四边形ACQP是菱形, ∴AQ与CP互相垂直平分,即AQ与CP的中点重合, −3+m 0−1 n+0 3±√14 ∴ = , = , 2 2 2 2 解得:m=2,n=3±√14 ∴Q (2,3+√14),Q (2,3−√14), 4 5 综上所述,符合条件的点P、Q的坐标为: P(−1,3−√17),Q(−4,−√17)或P(−1,3+√17), Q(−4,√17)或P(−1,1),Q(−2,2)或P(−1,√14),Q(2,3+√14)或 P(−1,−√14),Q(2,3−√14) 【点睛】本题是二次函数综合题,考查了解析式的求法、等腰三角形的判定、菱形的性质、坐标与图形的 性质、分类讨论等知识,熟练掌握菱形的性质和坐标与图形的性质是解题的关键. √3 43.(2022·陕西·校考模拟预测)如图,一次函数y= x+√3的图象与坐标轴交于点A、B,二次函数 3 √3 y=− x2+bx+c的图象经过A、B两点. 3 【12淘9 宝店铺:向阳百分百】关注公众号:陆陆高分冲刺 ~领取:最新版“小中高考-总复习”、最新试卷下载 (1)求二次函数解析式; (2)点B关于抛物线对称轴的对称点为C、P是对称轴上一动点,在抛物线上是否存在点Q,使得以B、C、 P、Q为顶点的四边形是菱形?若存在,求出Q点坐标;若不存在,请说明理由. √3 2√3 【答案】(1)y=− x2− x+√3 3 3 4√3 (2)存在,Q点坐标为(−1, )或(−3,0)或(1,0) 3 √3 【分析】(1)由直线y= x+√3与坐标轴的交点坐标A,B,代入抛物线解析式,求出b,c坐标即可; 3 (2)分BC为对角线和边两种情况讨论,其中当BC为边时注意点Q的位置有两种:在点P右侧和左侧,根 据菱形的性质求解即可. √3 【详解】(1)解:对于y= x+√3:当x=0时,y=√3; 3 √3 当y=0时, x+√3=0,解得,x=−3 3 ∴A(−3,0),B(0, √3 ) √3 把A(−3,0),B(0, √3 )代入y=− x2+bx+c得: 3 ¿ 解得,¿ √3 2√3 ∴抛物线的解析式为:y=− x2− x+√3; 3 3 2√3 − b 3 (2)抛物线的对称轴为直线x=− =− =−1 2a √3 −2× 3 故设P(1,p),Q(m,n) ①当BC为菱形对角线时,如图, 【13淘0 宝店铺:向阳百分百】关注公众号:陆陆高分冲刺 ~领取:最新版“小中高考-总复习”、最新试卷下载 ∵B,C关于对称轴对称,且对称轴与x轴垂直, ∴BC与对称轴垂直,且BC∥x轴 ∵在菱形BQCP中,BC⊥PQ ∴ PQ⊥x轴 ∵点P在x=−1上, ∴点Q也在x=−1上, √3 2√3 4√3 当x=−1时,y=− ×(−1) 2+ ×1+√3= 3 3 3 4√3 ∴Q(−1, ); 3 ②当BC为菱形一边时,若点Q在点P左侧时,如图, ∴BC∥PQ,且BC=PQ ∵BC∥x轴, √3 2√3 ∴令y=√3,则有y=− x2− x+√3=√3 3 3 解得,x =0,x =−2 1 2 ∴ C(−2,√3) ∴ PQ=BC=2 ∵ √ (√3) 2+(−1) 2=2 ∴ PB=BC=2 ∴点P在x轴上, 【13淘1 宝店铺:向阳百分百】关注公众号:陆陆高分冲刺 ~领取:最新版“小中高考-总复习”、最新试卷下载 ∴P(−1,0), ∴Q(−3,0); 若点Q在点P的右侧,如图, 同理可得,Q(1,0) 4√3 综上所述,Q点坐标为(−1, )或(−3,0)或(1,0) . 3 【点睛】本题考查待定系数法求出二次函数的解析式,菱形的性质和判定,解一元二次方程,熟练掌握以 上知识是解题的关键. 44.(2023·山西忻州·校联考模拟预测)综合与探究 如图,二次函数y=−x2+bx+c的图像与x轴交于A,B两点,与y轴交于点C,点A的坐标为(−4,0), 且OA=OC,E是线段OA上的一个动点,过点E作直线EF垂直于x轴交直线AC和抛物线分别于点D、F. (1)求抛物线的解析式; (2)设点E的横坐标为m.当m为何值时,线段DF有最大值,并写出最大值为多少; (3)若点P是直线AC上的一个动点,在坐标平面内是否存在点Q,使以点P、Q、B、C为顶点的四边形 是菱形?若存在,请直接写出点Q的坐标;若不存在,请说明理由. 【答案】(1)二次函数解析式为y=−x2−3x+4 (2)当m=−2时,DF有最大值,且最大值为4 (3)存在点 使得以点 为顶点的四边形是菱形,且 (2+√34 √34)或 Q P、Q、B、C Q , 2 2 【13淘2 宝店铺:向阳百分百】关注公众号:陆陆高分冲刺 ~领取:最新版“小中高考-总复习”、最新试卷下载 (2−√34 √34)或 或 Q ,− Q(−2,−3) Q(−4,5) 2 2 【分析】(1)根据A(−4,0),OA=OC,运用待定系数法即可求解; (2)根据A(−4,0),C(0,4),求出直线AC的解析式,根据点E的横坐标为m,可用含m的式子表示 点D,F的坐标,由此可得DF的长关于m的二次函数,根据最值的计算方法即可求解; (3)根据题意可求出BC的长,根据菱形的性质,分类讨论:第一种情况:如图所述,点Q在直线AC下 方;第二种情况:如图所示,点Q在直线AC上方;图形结合,即可求解. 【详解】(1)解:∵二次函数y=−x2+bx+c的图像与x轴交于A,B两点,与y轴交于点C,点A的坐 标为(−4,0), ∴OA=4, ∵OA=OC, ∴OC=4,则C(0,4), 把A(−4,0),C(0,4)代入二次函数解析式y=−x2+bx+c得, ¿,解得,¿, ∴二次函数解析式为y=−x2−3x+4. (2)解:由(1)可知,二次函数解析式为y=−x2−3x+4,且A(−4,0),C(0,4), ∴设直线AC所在直线的解析式为y=kx+b(k≠0), ∴¿,解得,¿, ∴直线AC的解析式为y=x+4, ∵点E的横坐标为m,直线EF垂直于x轴交直线AC和抛物线分别于点D、F, ∴点D、F的横坐标为m, ∴D(m,m+4),F(m,−m2−3m+4), ∴DF=−m2−3m+4−(m+4)=−m2−4m=−(m+2) 2+4, ∴当m=−2时,DF有最大值,且最大值为4. (3)解:∵二次函数y=−x2−3x+4的图像与x轴交于A,B两点,且A(−4,0), ∴令y=0时,x2+3x−4=0,则x =−4,x =1, 1 2 ∴B(1,0),且C(0,4) 在Rt△BOC中,OB=1,OC=4, ∴BC=√OB2+OC2=√12+42=√17, 【13淘3 宝店铺:向阳百分百】关注公众号:陆陆高分冲刺 ~领取:最新版“小中高考-总复习”、最新试卷下载 第一种情况:如图所述,点Q在直线AC下方, 四边形PCBQ是菱形,则PC∥BQ,BQ=BC=√17,且直线AC的解析式为y=x+4, ∴设直线BQ所在直线的解析为y=x+c,把点B(1,0)代入得,0=1+c,解得,c=−1, ∴直线BQ的解析式为y=x−1,设Q(q,q−1),过点Q作QH⊥x轴于点H, ∴BH=1−q,QH=q−1, ∴BQ=√BH2+QH2=√(1−q) 2+(q−1) 2=√17,整理得,2q2−4q−15=0, 4±2√34 2±√34 ∴q= = , 4 2 2+√34 2+√34 √34 (2+√34 √34) ∴当q= 时,q−1= −1= ,即Q , ; 2 2 2 2 2 2−√34 2−√34 √34 (2−√34 √34) 当q= 时,q−1= −1=− ,即Q ,− ; 2 2 2 2 2 第二种情况:如图所示,点Q在直线AC上方, 四边形BCQP是菱形,QP∥BC,BP=BC=√17,且B(1,0),C(0,4), ∴直线BC的解析式为y=−4x+4, 【13淘4 宝店铺:向阳百分百】关注公众号:陆陆高分冲刺 ~领取:最新版“小中高考-总复习”、最新试卷下载 设P(p,p+4), ∴BP=√(1−p) 2+(p+4) 2=√17,整理得,p2+3p=0,解得,p =0(与点C重合,不符合题意,舍 1 去),p =−3,即P(−3,1), 2 ∴设PQ所在直线的解析式为y=−4x+n,把点P(−3,1)代入得,n=−11, ∴直线PQ的解析式为y=−4x−11, 根据题意,设Q(r,−4r−11), ∴PQ=√(−3−r) 2+(1+4r+11) 2=√17,整理得,17r2+102r+136=0, −102±34 ∴r= ,即r =−2,r =−4, 34 1 2 ∴Q(−2,−3)或Q(−4,5), (2+√34 √34) 综上所述,存在点Q使得以点P、Q、B、C为顶点的四边形是菱形,且Q , 或 2 2 (2−√34 √34) Q ,− 或Q(−2,−3)或Q(−4,5). 2 2 【点睛】本题主要考查二次函数与特殊四边形的综合,掌握待定系数法求二次函数解析式,二次函数图像 的性质,菱形的判定和性质等知识是解题的关键. 题型 14 二次函数中正方形存在性问题 45.(2023·辽宁阜新·阜新实验中学校考一模)如图,在平面直角坐标系中,抛物线y=ax2+bx−3与x轴 交于A(−1,0),B(3,0)两点,与y轴交于点C,点P为抛物线上的动点. 【13淘5 宝店铺:向阳百分百】关注公众号:陆陆高分冲刺 ~领取:最新版“小中高考-总复习”、最新试卷下载 (1)求该抛物线的函数表达式; (2)点D为直线y=x上的动点,当点P在第四象限时,求四边形PBDC面积的最大值及此时点P的坐标; (3)已知点E为x轴上一动点,点Q为平面内任意一点,是否存在以点P,C,E,Q为顶点的四边形是以PC 为对角线的正方形,若存在,请直接写出点Q的坐标,若不存在,请说明理由. 【答案】(1)y=x2−2x−3 27 (3 15) (2) , P ,− 8 2 4 ( 3+√33) ( 3−√33) (3) −3, ; −3, ;(3,−3);(3,2) 2 2 【分析】(1)用待定系数法求函数的解析式即可; (2)作直线BC,过P作PH⊥x轴于点G,交BC于点H.设P(m,m2−2m−3),则H(m,m−3), 1 3 2 9 3 27 PH=−m2+3m,则S =− (t− ) + ,当t= 时,△BPC的面积最大值为 ,从而求出此时四边 ΔBPC 2 2 8 2 8 形PBDC面积的最大值,P点坐标; (3)设P(m,m2−2m−3),E(n,0),分四种情况画出图形,利用正方形性质求解即可. 【详解】(1)解:将A(−1,0),B(3,0)代入y=ax2+bx−3中, 得¿,解得¿. ∴该抛物线的函数表达式为y=x2−2x−3. (2)解:作直线BC,过P作PH⊥x轴于点G,交BC于点H. 【13淘6 宝店铺:向阳百分百】关注公众号:陆陆高分冲刺 ~领取:最新版“小中高考-总复习”、最新试卷下载 设直线BC的表达式为:y=kx+n,将B(3,0),C(0,−3)代入y=kx+n中, 得¿,解得¿, ∴y=x−3. 设P(m,m2−2m−3),则H(m,m−3),PH=m−3−(m2−2m−3)=−m2+3m, ∵S =S +S △BPC △CPH △BPH 1 1 1 ∴S = PH⋅OG+ PH⋅BG= PH(OG+BG) △BPC 2 2 2 1 3 3 9 ∴S = PH×OB= (−m2+3m)=− m2+ m, △BPC 2 2 2 2 3( 3) 2 27 ∴S =− m− + , △BPC 2 2 8 3 27 ∴当m= 时,△BPC面积的最大值为 . 2 8 ∵BC与直线y=x平行, 1 1 9 ∴S =S = OB⋅OC= ×3×3= , △DBC △OBC 2 2 2 27 9 63 ∴四边形PBDC面积的最大值为 + = . 8 2 8 3 (3) 2 3 15 ∵当m= 时,y= −2× −3=− , 2 2 2 4 (3 15) ∴P ,− 2 4 (3)解:设P(m,m2−2m−3),E(n,0), 【13淘7 宝店铺:向阳百分百】关注公众号:陆陆高分冲刺 ~领取:最新版“小中高考-总复习”、最新试卷下载 I.如图,当点E在原点时,即点E(0,0),CE=PE=3,∠CEP=90°, ∵四边形PECQ为正方形, ∴点Q(3,−3), II.如解图3-2,当四边形PECQ为正方形时,CE=PE,∠CEP=∠PEO+∠CEO=90°, 作PI⊥x轴,垂足为I,作QH⊥y轴,垂足为H, 又∵∠CEO+∠OCE=90°, ∴∠OCE=∠PEO, ∴△OCE≅△PEI(ASA) ∴CO=IE=3,EO=IP=m2−2m−3, 同理可得:QH=CO=IE=3,CH=EO=IP ∴OE=OI+IE=m+3,HO=IO √33+3 −√33+3 ∴m+3=m2−2m−3,解得:m= ,(m= <0,不合题意舍去) 2 2 【13淘8 宝店铺:向阳百分百】关注公众号:陆陆高分冲刺 ~领取:最新版“小中高考-总复习”、最新试卷下载 √33+3 ∴HO=IO= , 2 √33+3 ∴点Q(−3, ), 2 III.如解图3-3,当四边形PECQ为正方形时, 同理可得:PI=OE=CH,IE=QH=OC=3, ∴OE=IE−IO=3+m, −√33+3 √33+3 ∴m=m2−2m−3−3,解得:m= ,(m= >0,不合题意舍去) 2 2 −√33+3 ∴HO=IO= , 2 −√33+3 ∴点Q(−3, ), 2 IV.如解图3-4,当四边形PECQ为正方形时, 同理可得:PI=OE=CH,EI=HQ=OC=3, ∴OE=IE+IO=3+|m|=3−m, 【13淘9 宝店铺:向阳百分百】关注公众号:陆陆高分冲刺 ~领取:最新版“小中高考-总复习”、最新试卷下载 ∴3−m=m2−2m−3,解得:m=−2,(m=3>0,不合题意舍去) ∴HO=IO=2, ∴点Q(3,2), ( 3+√33) ( 3−√33) 综上所述:点Q坐标为 −3, ; −3, ;(3,−3);(3,2). 2 2 【点睛】此题重点考查二次函数的图象与性质、一次函数的图象与性质、用待定系数法求函数解析式、正 方形性质、全等三角形的判定与性质、一元二次方程的解法、数形结合与分类讨论数学思想的运用等知识 与方法,此题综合性强,难度较大,属于考试压轴题. 46.(2023·湖南岳阳·统考中考真题)已知抛物线Q :y=−x2+bx+c与x轴交于A(−3,0),B两点,交y轴 1 于点C(0,3). (1)请求出抛物线Q 的表达式. 1 (2)如图1,在y轴上有一点D(0,−1),点E在抛物线Q 上,点F为坐标平面内一点,是否存在点E,F使得 1 四边形DAEF为正方形?若存在,请求出点E,F的坐标;若不存在,请说明理由. (3)如图2,将抛物线Q 向右平移2个单位,得到抛物线Q ,抛物线Q 的顶点为K,与x轴正半轴交于点H, 1 2 2 抛物线Q 上是否存在点P,使得∠CPK=∠CHK?若存在,请求出点P的坐标;若不存在,请说明理由. 1 【答案】(1)y=−x2−2x+3 (2)E(−2,3);F(1,2) (3)点P的坐标为(1,0)或(−2,3) 【分析】(1)把A(−3,0),C(0,3)代入Q :y=−x2+bx+c,求出b=−2,c=3即可; 1 (2)假设存在这样的正方形,过点E作ER⊥x于点R,过点F作FI⊥y轴于点I,证明 △EAR≅△AOD,△FID≅△DOA,可得ER=3,AR=1,FI=1,IO=2,故可得E(−2,3),F(1,2); (3)先求得抛物线Q 的解析式为y=−(x+1−2) 2+4=−(x−1) 2+4,得出K(1,4),H(3,0),运用待定 2 【14淘0 宝店铺:向阳百分百】关注公众号:陆陆高分冲刺 ~领取:最新版“小中高考-总复习”、最新试卷下载 系数法可得直线BC的解析式为y=−x+3,过点K作KT⊥y轴于点T,连接BC,设KP交直线BC于M或 N,如图2,过点C作PS⊥y轴交BK于点S,交抛物线Q 于点P,连接PK,利用等腰直角三角形性质和 1 CK √2 1 三角函数定义可得tan∠CHK= = = ,进而可求得点P的坐标. CH 3√2 3 【详解】(1)∵抛物线Q :y=−x2+bx+c与x轴交于A(−3,0),两点,交y轴于点C(0,3), 1 ∴把A(−3,0),C(0,3)代入Q :y=−x2+bx+c,得, 1 ¿ 解得,¿ ∴解析式为:y=−x2−2x+3; (2)假设存在这样的正方形DAEF,如图,过点E作ER⊥x于点R,过点F作FI⊥y轴于点I, ∴∠AER+∠EAR=90°, ∵四边形DAEF是正方形, ∴AE=AD,∠EAD=90°, ∴∠EAR+∠DAR=90°, ∴∠AER=∠DAO, 又∠ERA=∠AOD=90°, ∴△AER≅△DAO, ∴AR=DO,ER=AO, ∵A(−3,0),D(0,−1), ∴OA=3,OD=1, ∴AR=1,ER=3, ∴¿=OA−AR=3−1=2, 【14淘1 宝店铺:向阳百分百】关注公众号:陆陆高分冲刺 ~领取:最新版“小中高考-总复习”、最新试卷下载 ∴E(−2,3); 同理可证明:△FID≅△DOA, ∴FI=DO=1,DI=AO=3, ∴IO=DI−DO=3−1=2, ∴F(1,2); (3)解:抛物线Q 上存在点P,使得∠CPK=∠CHK. 1 ∵y=−x2−2x+3=−(x+1) 2+4, ∴抛物线Q 的顶点坐标为(−1,4), 1 ∵将抛物线Q 向右平移2个单位,得到抛物线Q , 1 2 ∴抛物线Q 的解析式为y=−(x+1−2) 2+4=−(x−1) 2+4, 2 ∵抛物线Q 的顶点为K,与x轴正半轴交于点H, 2 ∴K(1,4),H(3,0), 设直线BC的解析式为y=kx+n,把C(0,3),H(3,0)代入得¿, 解得:¿, ∴直线BC的解析式为y=−x+3, 过点K作KT⊥y轴于点T,连接BC,设KP交直线BC于M或N,如图2,过点C作PS⊥y轴交BK于点 S,交抛物线Q 于点P,连接PK, 1 则T(0,4),M(m,−m+3),N(t,−t+3), 【14淘2 宝店铺:向阳百分百】关注公众号:陆陆高分冲刺 ~领取:最新版“小中高考-总复习”、最新试卷下载 ∴KT=TC=1,∠KTC=90°, ∴△CKT是等腰直角三角形, ∴∠KCT=45°,CK=√2KT=√2, ∵OH=OC=3,∠COH=90°, ∴△COH是等腰直角三角形, ∴∠HCO=45°,CH=√2OC=3√2, ∴∠KCH=180°−∠KCT−∠HCO=90°, CK √2 1 ∴tan∠CHK= = = , CH 3√2 3 ∵∠CPK=∠CHK, 1 ∴tan∠CPK=tan∠CHK= , 3 OB 1 ∵tan∠BCO= = , OC 3 ∴∠BCO=∠CHK, ∵BK∥OC, ∴∠CBK=∠BCO, ∴∠CBK=∠CHK, 即点P与点B重合时,∠CPK=∠CHK, ∴P (1,0); 1 ∵SK=1,PS=3, SK 1 ∴tan∠CPK= = , PS 3 ∴∠CPK=∠CHK, ∵点P与点C关于直线x=−1对称, ∴P(−2,3); 综上所述,抛物线Q 上存在点P,使得∠CPK=∠CHK,点P的坐标为(1,0)或(−2,3). 1 【点睛】本题是二次函数综合题,考查了待定系数法求解析式,二次函数的性质,全等三角形的判定与性 质,正方形的性质等知识,运用数形结合思想解决问题是解题的关键. 47.(2023·山西晋中·山西省平遥中学校校考模拟预测)如图,二次函数y=−x2+2x+3的图象与x轴交 于A,B两点(点A在点B左侧),与y轴交于点C.连接BC.点P是抛物线第一象限内的一个动点,设 点P的横坐标为m,过点P作直线PD⊥x轴于点D.交BC于点E.过点P作BC的平行线,交y轴于点 【14淘3 宝店铺:向阳百分百】关注公众号:陆陆高分冲刺 ~领取:最新版“小中高考-总复习”、最新试卷下载 M. (1)求A,B,C三点的坐标,并直接写出直线BC的函数表达式; (2)在点P的运动过程中,求使四边形CEPM为菱形时,m的值; (3)点N为平面内任意一点,在(2)的条件下,直线PM上是否存在点Q使得以P,E,Q,N为顶点的四 边形是正方形?若存在,请直接写出点Q的坐标;若不存在,请说明理由. 【答案】(1)A(−1,0),B(3,0),C(0,3);y=−x+3 (2)m=3−√2 (√2 5√2 ) (3)Q (2√2+1,√2),Q +2, −1 1 2 2 2 【分析】(1)分别令y=0,x=0,可求出点A(−1,0),B(3,0),C(0,3),再利用待定系数法解答,即可 求解; (2)作CH⊥PE于点H,根据题意可得△BOC是等腰直角三角形,从而得到∠DBE=45°,进而得到 △CEH是等腰直角三角形,可得到CE=√2CH,再由点P(m,−m2+2m+3),可得PE=−m2+3m, CH=m,CE=√2m,然后根据菱形的性质CE=PE,可得到关于m的方程,即可求解; (3)由(2)得:点P(3−√2,4√2−2),E(3−√2,√2),可得PE=3√2−2,再求出直线PM的解析式 为y=−x+3√2+1,过点E作EQ⊥PE交直线PM于点Q,可得PE=EQ,此时点Q(2√2+1,√2)使得 以P,E,Q,N为顶点的四边形是正方形;过点E作EQ⊥PM于点Q,过点Q作SQ⊥y轴于点S,可得 △PEQ,△PSQ是等腰直角三角形, ∴此时点Q使得以P,E,Q,N为顶点的四边形是正方形,即可. 【详解】(1)解:在y=−x2+2x+3中, 【14淘4 宝店铺:向阳百分百】关注公众号:陆陆高分冲刺 ~领取:最新版“小中高考-总复习”、最新试卷下载 令y=0,可得−x2+3x+3=0, 解得x =−1,x =3. 1 2 令x=0,得:y=3, ∴A(−1,0),B(3,0),C(0,3). 设直线BC的函数表达式为y=kx+b, 把B(3,0),C(0,3)代入得: ¿,解得:¿, 直线BC的函数表达式为y=−x+3; (2)解:如图,作CH⊥PE于点H, ∵B(3,0),C(0,3), ∴OB=OC=3, ∴△BOC是等腰直角三角形, ∴∠DBE=45°, ∵PD⊥x轴, ∴∠CEH=∠BED=45°, ∴△CEH是等腰直角三角形, ∴CE=√2CH, ∵点P(m,−m2+2m+3), ∴点E(m,−m+3), ∴PE=−m2+2m+3−(−m+3)=−m2+3m. ∴CH=m, ∴CE=√2m. ∵四边形CEPM为菱形, 【14淘5 宝店铺:向阳百分百】关注公众号:陆陆高分冲刺 ~领取:最新版“小中高考-总复习”、最新试卷下载 ∴CE=PE. ∴−m2+3m=√2m, 解得m=3−√2或0(舍去); (3)解:存在, 由(2)得:点P(3−√2,4√2−2),E(3−√2,√2), ∴PE=3√2−2, 根据题意可设直线PM的解析式为y=−x+a, 把点P(3−√2,4√2−2)代入,得: −(3−√2)+a=4√2−2, 解得:a=3√2+1, ∴直线PM的解析式为y=−x+3√2+1, 当y=√2时,√2=−x+3√2+1, 解得:x=2√2+1, 如图,过点E作EQ⊥PE交直线PM于点Q, ∴点Q(2√2+1,√2), ∴EQ=2√2+1−(3−√2)=3√2−2, ∴PE=EQ, 此时点Q(2√2+1,√2)使得以P,E,Q,N为顶点的四边形是正方形; 如图,过点E作EQ⊥PM于点Q,过点Q作SQ⊥y轴于点S, 【14淘6 宝店铺:向阳百分百】关注公众号:陆陆高分冲刺 ~领取:最新版“小中高考-总复习”、最新试卷下载 由(2)得:∠BED=45°, ∵PM∥BC, ∴∠BED=∠DPQ=45°, ∴△PEQ,△PSQ是等腰直角三角形, ∴此时点Q使得以P,E,Q,N为顶点的四边形是正方形; 1 3√2−2 ∴PS=SE= PE= , 2 2 ( 5√2 ) ∴点S 3−√2, −1 , 2 对于y=−x+3√2+1, 5√2 √2 当y= −1时,x= +2, 2 2 (√2 5√2 ) 此时点Q +2, −1 , 2 2 (√2 5√2 ) 综上所述,存在点Q(2√2+1,√2)或Q +2, −1 ,使得以P,E,Q,N为顶点的四边形是正方形. 2 2 【点睛】本题主要考查了二次函数的综合题,涉及了求一次函数解析式,正方形的性质,二次函数的图象 和性质,利用数形结合思想解答是解题的关键. 【14淘7 宝店铺:向阳百分百】