当前位置:首页>文档>专题17解三角形(七大题型模拟精练核心素养分析方法归纳)-(新高考专用)专题17解三角形(思维导图知识清单核心素养分析方法归纳)_02高考数学_2025年新高考资料_一轮复习

专题17解三角形(七大题型模拟精练核心素养分析方法归纳)-(新高考专用)专题17解三角形(思维导图知识清单核心素养分析方法归纳)_02高考数学_2025年新高考资料_一轮复习

  • 2026-04-12 08:46:42 2026-04-12 08:23:09

文档预览

专题17解三角形(七大题型模拟精练核心素养分析方法归纳)-(新高考专用)专题17解三角形(思维导图知识清单核心素养分析方法归纳)_02高考数学_2025年新高考资料_一轮复习
专题17解三角形(七大题型模拟精练核心素养分析方法归纳)-(新高考专用)专题17解三角形(思维导图知识清单核心素养分析方法归纳)_02高考数学_2025年新高考资料_一轮复习
专题17解三角形(七大题型模拟精练核心素养分析方法归纳)-(新高考专用)专题17解三角形(思维导图知识清单核心素养分析方法归纳)_02高考数学_2025年新高考资料_一轮复习
专题17解三角形(七大题型模拟精练核心素养分析方法归纳)-(新高考专用)专题17解三角形(思维导图知识清单核心素养分析方法归纳)_02高考数学_2025年新高考资料_一轮复习
专题17解三角形(七大题型模拟精练核心素养分析方法归纳)-(新高考专用)专题17解三角形(思维导图知识清单核心素养分析方法归纳)_02高考数学_2025年新高考资料_一轮复习
专题17解三角形(七大题型模拟精练核心素养分析方法归纳)-(新高考专用)专题17解三角形(思维导图知识清单核心素养分析方法归纳)_02高考数学_2025年新高考资料_一轮复习
专题17解三角形(七大题型模拟精练核心素养分析方法归纳)-(新高考专用)专题17解三角形(思维导图知识清单核心素养分析方法归纳)_02高考数学_2025年新高考资料_一轮复习
专题17解三角形(七大题型模拟精练核心素养分析方法归纳)-(新高考专用)专题17解三角形(思维导图知识清单核心素养分析方法归纳)_02高考数学_2025年新高考资料_一轮复习
专题17解三角形(七大题型模拟精练核心素养分析方法归纳)-(新高考专用)专题17解三角形(思维导图知识清单核心素养分析方法归纳)_02高考数学_2025年新高考资料_一轮复习

文档信息

文档格式
docx
文档大小
0.338 MB
文档页数
9 页
上传时间
2026-04-12 08:23:09

文档内容

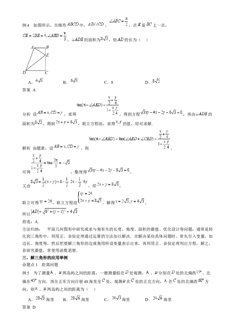
专题 17 解三角形 目录 01 思维导图 02 知识清单 03 核心素养分析 04 方法归纳 一、基本定理公式 (1)正余弦定理:在 ABC中,角A,B,C所对的边分别是a,b,c,R为 ABC外接圆半径,则 定理 正弦定理 余弦定理 △ △ ; 公式 ; . (1) , , ; ; 常见变形 (2) , , ; ; . (2)面积公式: (r是三角形内切圆的半径,并可由此计算R,r.) 二、相关应用 (1)正弦定理的应用边化角,角化边 大边对大角 大角对大边 ① ② 合分比: ③(2) 内角和定理: ①同理有: , . ; ② 斜三角形中, ③ ; ④ 在 中,内角 成等差数列 . 三、实际应用 ⑤ (1)仰角和俯角 在视线和水平线所成的角中,视线在水平线上方的角叫仰角,在水平线下方的角叫俯角(如图 ). ① (2)方位角 从指北方向顺时针转到目标方向线的水平角,如B点的方位角为α(如图 ). (3)方向角:相对于某一正方向的水平角. ② (1)北偏东α,即由指北方向顺时针旋转α到达目标方向(如图 ). (2)北偏西α,即由指北方向逆时针旋转α到达目标方向. ③ (3)南偏西等其他方向角类似. (4)坡角与坡度 (1)坡角:坡面与水平面所成的二面角的度数(如图 ,角θ为坡角). (2)坡度:坡面的铅直高度与水平长度之比(如图 ,i为坡度).坡度又称为坡比. ④ 解题方法总结 ④ 1、方法技巧:解三角形多解情况 在 ABC中,已知a,b和A时,解的情况如下: A为锐角 A为钝角或直角 △ 图形关系式 解的个 一解 两解 一解 一解 无解 数 2、在解三角形题目中,若已知条件同时含有边和角,但不能直接使用正弦定理或余弦定理得到答 案,要选择“边化角”或“角化边”,变换原则常用: (1)若式子含有 的齐次式,优先考虑正弦定理,“角化边”; (2)若式子含有 的齐次式,优先考虑正弦定理,“边化角”; (3)若式子含有 的齐次式,优先考虑余弦定理,“角化边”; (4)代数变形或者三角恒等变换前置; (5)含有面积公式的问题,要考虑结合余弦定理使用; (6)同时出现两个自由角(或三个自由角)时,要用到 . 3、三角形中的射影定理 在 中, ; ; . 高考中判定三角形的形状及求周长、面积等问题多用正弦、余弦定理来解决,难度中等,选择题、 填空题、解答题中均有出现。 一、利用正弦定理、余弦定理解三角形 例1 在 ABC中,内角A,B,C的对边分别为a,b,c,已知a 2,c ,cosA . (1)求sinC和b的值 ; △ (2)求 的值. 答案 (1) ,1 (2) 分析 (1)由 ,代入即得解 ,利用 可得 ,再利用正弦定 理可得解 ; (2)先求解 ,利用两角和的余弦公式展开,即得解. 解析 (1)因为 , 且 , , 所以 ;因为 ,且 , 所以 又 , 解得 ; (2)因为 , , 所以 方法归纳: 解三角形问题的技巧 (1)解三角形时,如果式子中含有角的余弦或边的二次式,要考虑用余弦定理;如果式子中含有角的正弦 或边的一次式时,则考虑用正弦定理,以上特征都不明显时,则要考虑两个定理都有可能用到. (2)三角形解的个数的判断:已知两角和一边,该三角形是确定的,其解是唯一的;已知两边和一边的对 角,该三角形具有不唯一性,通常根据三角函数值的有界性和大边对大角定理进行判断. 二、正弦定理、余弦定理的简单应用 命题点1 三角形形状判断 例2 在 中,角 的对边分别是 ,若 ,则 的形状为( ) A.等腰三角形 B.锐角三角形 C.直角三角形 D.钝角三角形 答案 C 分析 由正弦定理、二倍角的余弦公式和两角和的正弦公式化简已知式即可得出答案. 解析 由正弦定理可得 , 所以 , 即 ,所以 , 又因为 ,所以 ,则 , 又因为 ,所以 . 故选:C. 方法归纳: 判断三角形形状的两种思路 (1)化边:通过因式分解、配方等得出边的相应关系,从而判断三角形的形状. (2)化角:通过三角恒等变形,得出内角的关系,从而判断三角形的形状.此时要注意应用A+B+C=π这 个结论. 命题点2 三角形的面积例3 已知 的内角为A,B,C所对应的边分别为a,b,c,且 . (1)求角C的大小: (2)若 ,求 的面积. 答案 (1) (2) 分析 (1)根据正弦定理和三角恒等变换的化简计算即可求解; (2)由 和余弦定理可得 ,再次利用余弦定理求出a、b,结合三角形的面积公式 计算即可求解. 解析 (1) , 由正弦定理得 , 即 , 得 , 即 ,又 , 所以 ,即 ,又 , 所以 ; (2)由 ,得 , 由余弦定理得 ,得 , 所以 ,又 , 所以 . 由(1)知, , 由余弦定理得 , 又 ,所以 ,由 ,解得 , 所以 ,故 . 方法归纳: 三角形面积公式的应用原则 (1)对于面积公式S= absin C= acsin B= bcsin A,一般是已知哪一个角就使用哪一个公式. (2)与面积有关的问题,一般要用到正弦定理或余弦定理进行边和角的转化. 命题点3 与平面几何有关的问题例4 如图所示,在梯形 中, , ,点 是 上一点, , 的面积为 ,则 的长为( ) A. B. C.8 D. 答案 A 分析 设 ,求得 ,得到方程 ,再由 的 面积为 ,得到 ,联立方程组,求得 的值,即可求解. 解析 由题意,设 ,则 , 可得 ,整理得 , 又由 ,即 , 联立可得 ,联立方程组 ,解得 , 所以 . 故选:A. 方法归纳: 平面几何图形中研究或求与角有关的长度、角度、面积的最值、优化设计等问题,通常是转 化到三角形中,利用正、余弦定理通过运算的方法加以解决.在解决某些具体问题时,常先引入变量,如 边长、角度等,然后把要解三角形的边或角用所设变量表示出来,再利用正、余弦定理列出方程,解之, 若研究最值,常使用函数思想. 三、解三角形的应用举例 命题点1 距离问题 例5 为了测量 、 两岛屿之间的距离,一艘测量船在 处观测, 、 分别在 处的北偏西 、北 偏东 方向.再往正东方向行驶48海里至 处,观测 在 处的正北方向, 在 处的北偏西 方 向,则 、 两岛屿之间的距离为( ) A. 海里 B. 海里 C. 海里 D. 海里 答案 D分析 画出图形,由题意可知 , , ,在 中,利用正弦定理求出 ,再由 为等腰直角三角形,求出 ,再在 中利用余弦定理可求得结果. 解析 根据题意画出图形,如图所示: 由题意知 , , ,所以 , 在 中,由正弦定理得: 解得 , 又 , ,所以 , , 又 , 在 中,由余弦定理得: , 解得 ,所以 、 两岛屿之间的距离为 海里. 故选:D. 命题点2 高度问题 例6 如图,为测量山高MN,选择 和另一座山的山顶 为测量观测点,从 点测得 点的仰角 点的仰角 以及 ;从 点测得 .已知山高 , 则山高 ( ) A. B. C. D. 答案 B 分析 在 中计算 ,然后在 中计算 ,最后在 中计算出 即可. 解析 根据题意, , 在 中, , 由正弦定理得 , 所以 , 在 中, .故选:B 命题点3 角度问题 例7 《孔雀东南飞》中曾叙“十三能织素,十四学裁衣,十五弹箜篌,十六诵诗书.”箜篌历史悠久、源远 流 长,音域宽广、音色柔美清撤,表现力强.如图是箜篌的一种常见的形制,对其进行绘制,发现近似一扇 形,在圆弧的两个端点 , 处分别作切线相交于点 ,测得切线 , , ,根据测量数据可估算出该圆弧所对圆心角的余弦值为( ) A.0.62 B.0.56 C. D. 答案 A 分析 由图形可知 ,由余弦定理求出 ,可得 . 解析 由题意, ,所以 , 切线 , ,由切线长定理,不妨取 , 又 ,由余弦定理, 有 , . 故选:A 四、解三角形中的最值和范围问题 例8 在 ABC中,角A,B,C所对的边分别为a,b,c,已知 bsin C+ccos B=a. (1)若a=2△,b= ,求 ABC的面积; (2)若c=2,求 ABC周长的取值范围. △ △ 解 (1) bsin C+ccos B=a, ∵ sin Bsin C+sin Ccos B=sin A, ∴sin Bsin C+sin Ccos B=sin(B+C), ∴ sin Bsin C+sin Ccos B =sin Bcos C+cos Bsin C, ∴ sin Bsin C=sin Bcos C, ∴ sin B≠0, sin C=cos C, 又易知cos C≠0, ∵ ∴ tan C= , 0c=2, ∴ 2