当前位置:首页>文档>专题34圆锥曲线中的综合问题(解析版)_02高考数学_2024年新高考资料_3.2024专项复习_2024年新高考数学之圆锥曲线专项重难点突破练(新高考专用)

专题34圆锥曲线中的综合问题(解析版)_02高考数学_2024年新高考资料_3.2024专项复习_2024年新高考数学之圆锥曲线专项重难点突破练(新高考专用)

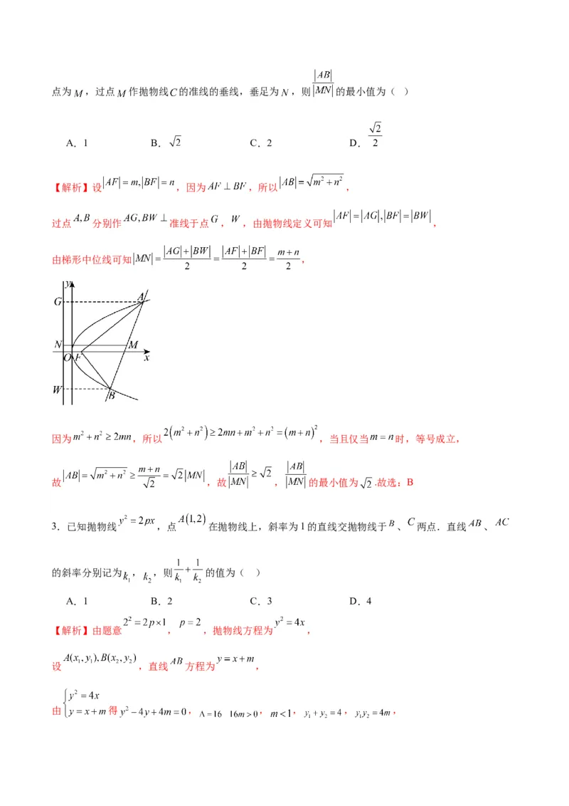
  • 2026-04-13 11:18:08 2026-04-13 11:18:08

文档预览

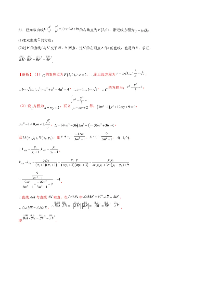
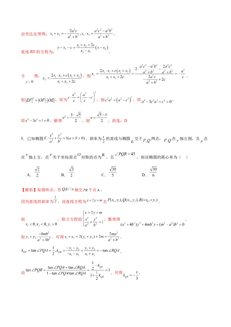
专题34圆锥曲线中的综合问题(解析版)_02高考数学_2024年新高考资料_3.2024专项复习_2024年新高考数学之圆锥曲线专项重难点突破练(新高考专用)
专题34圆锥曲线中的综合问题(解析版)_02高考数学_2024年新高考资料_3.2024专项复习_2024年新高考数学之圆锥曲线专项重难点突破练(新高考专用)
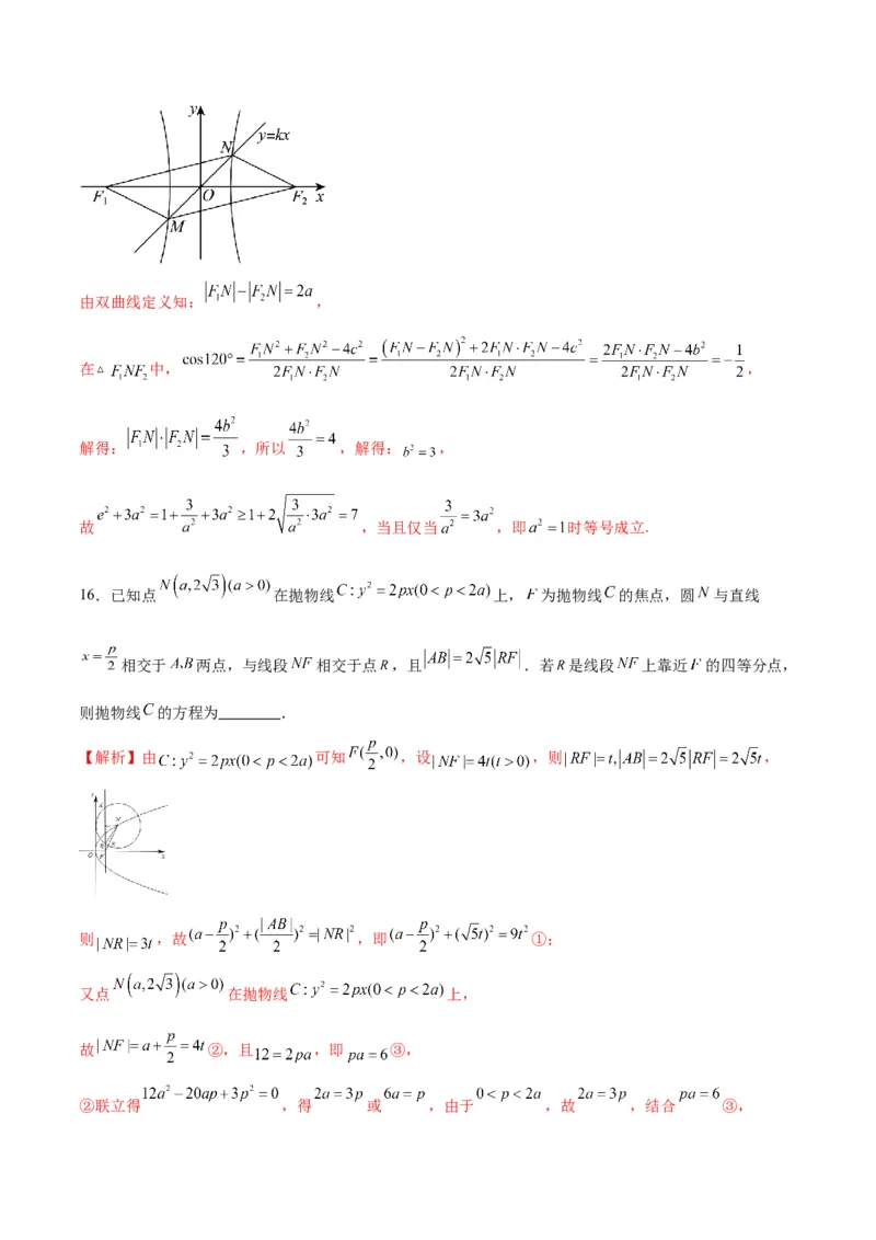
专题34圆锥曲线中的综合问题(解析版)_02高考数学_2024年新高考资料_3.2024专项复习_2024年新高考数学之圆锥曲线专项重难点突破练(新高考专用)
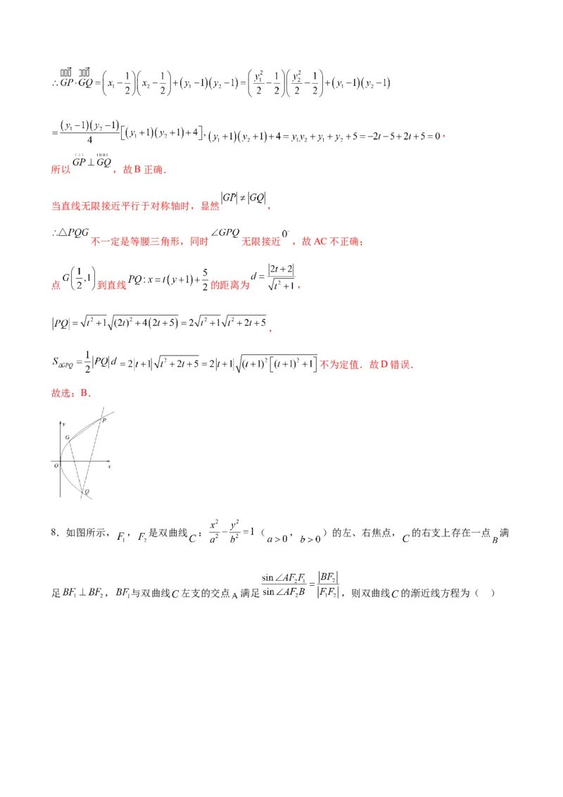
专题34圆锥曲线中的综合问题(解析版)_02高考数学_2024年新高考资料_3.2024专项复习_2024年新高考数学之圆锥曲线专项重难点突破练(新高考专用)
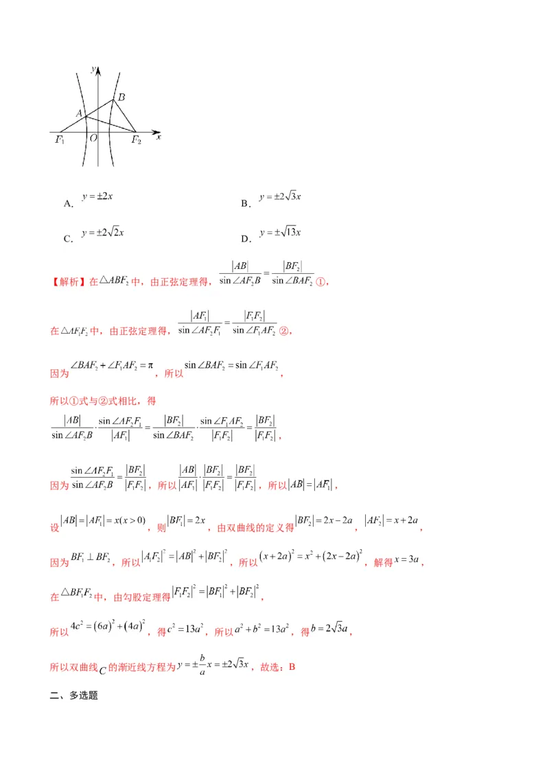
专题34圆锥曲线中的综合问题(解析版)_02高考数学_2024年新高考资料_3.2024专项复习_2024年新高考数学之圆锥曲线专项重难点突破练(新高考专用)
专题34圆锥曲线中的综合问题(解析版)_02高考数学_2024年新高考资料_3.2024专项复习_2024年新高考数学之圆锥曲线专项重难点突破练(新高考专用)
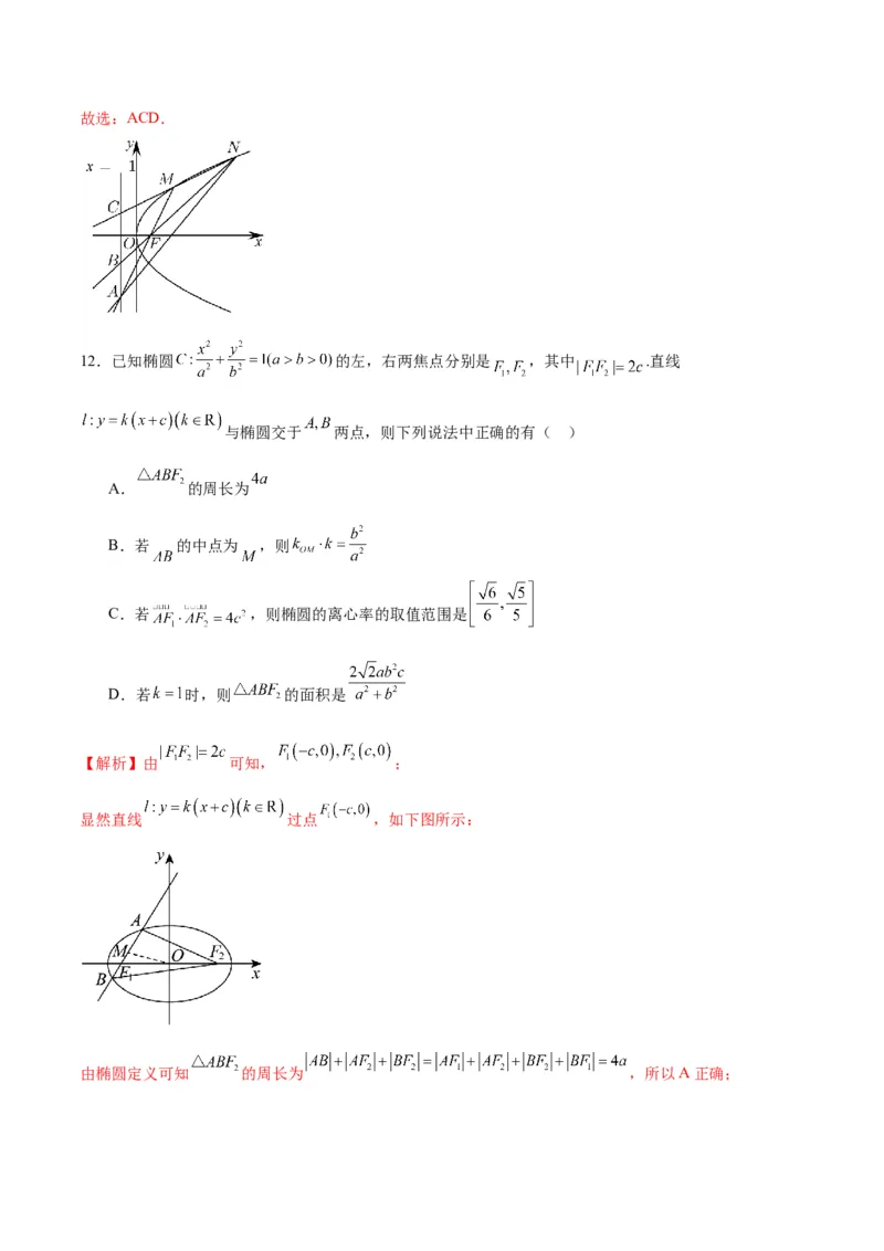
专题34圆锥曲线中的综合问题(解析版)_02高考数学_2024年新高考资料_3.2024专项复习_2024年新高考数学之圆锥曲线专项重难点突破练(新高考专用)
专题34圆锥曲线中的综合问题(解析版)_02高考数学_2024年新高考资料_3.2024专项复习_2024年新高考数学之圆锥曲线专项重难点突破练(新高考专用)
专题34圆锥曲线中的综合问题(解析版)_02高考数学_2024年新高考资料_3.2024专项复习_2024年新高考数学之圆锥曲线专项重难点突破练(新高考专用)
专题34圆锥曲线中的综合问题(解析版)_02高考数学_2024年新高考资料_3.2024专项复习_2024年新高考数学之圆锥曲线专项重难点突破练(新高考专用)
专题34圆锥曲线中的综合问题(解析版)_02高考数学_2024年新高考资料_3.2024专项复习_2024年新高考数学之圆锥曲线专项重难点突破练(新高考专用)
专题34圆锥曲线中的综合问题(解析版)_02高考数学_2024年新高考资料_3.2024专项复习_2024年新高考数学之圆锥曲线专项重难点突破练(新高考专用)
专题34圆锥曲线中的综合问题(解析版)_02高考数学_2024年新高考资料_3.2024专项复习_2024年新高考数学之圆锥曲线专项重难点突破练(新高考专用)
专题34圆锥曲线中的综合问题(解析版)_02高考数学_2024年新高考资料_3.2024专项复习_2024年新高考数学之圆锥曲线专项重难点突破练(新高考专用)
专题34圆锥曲线中的综合问题(解析版)_02高考数学_2024年新高考资料_3.2024专项复习_2024年新高考数学之圆锥曲线专项重难点突破练(新高考专用)
专题34圆锥曲线中的综合问题(解析版)_02高考数学_2024年新高考资料_3.2024专项复习_2024年新高考数学之圆锥曲线专项重难点突破练(新高考专用)
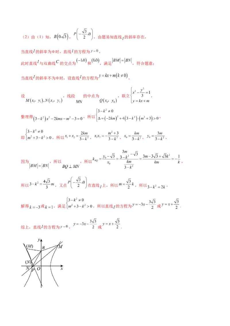
专题34圆锥曲线中的综合问题(解析版)_02高考数学_2024年新高考资料_3.2024专项复习_2024年新高考数学之圆锥曲线专项重难点突破练(新高考专用)
专题34圆锥曲线中的综合问题(解析版)_02高考数学_2024年新高考资料_3.2024专项复习_2024年新高考数学之圆锥曲线专项重难点突破练(新高考专用)
专题34圆锥曲线中的综合问题(解析版)_02高考数学_2024年新高考资料_3.2024专项复习_2024年新高考数学之圆锥曲线专项重难点突破练(新高考专用)
专题34圆锥曲线中的综合问题(解析版)_02高考数学_2024年新高考资料_3.2024专项复习_2024年新高考数学之圆锥曲线专项重难点突破练(新高考专用)
专题34圆锥曲线中的综合问题(解析版)_02高考数学_2024年新高考资料_3.2024专项复习_2024年新高考数学之圆锥曲线专项重难点突破练(新高考专用)
专题34圆锥曲线中的综合问题(解析版)_02高考数学_2024年新高考资料_3.2024专项复习_2024年新高考数学之圆锥曲线专项重难点突破练(新高考专用)
专题34圆锥曲线中的综合问题(解析版)_02高考数学_2024年新高考资料_3.2024专项复习_2024年新高考数学之圆锥曲线专项重难点突破练(新高考专用)
专题34圆锥曲线中的综合问题(解析版)_02高考数学_2024年新高考资料_3.2024专项复习_2024年新高考数学之圆锥曲线专项重难点突破练(新高考专用)
专题34圆锥曲线中的综合问题(解析版)_02高考数学_2024年新高考资料_3.2024专项复习_2024年新高考数学之圆锥曲线专项重难点突破练(新高考专用)
专题34圆锥曲线中的综合问题(解析版)_02高考数学_2024年新高考资料_3.2024专项复习_2024年新高考数学之圆锥曲线专项重难点突破练(新高考专用)
专题34圆锥曲线中的综合问题(解析版)_02高考数学_2024年新高考资料_3.2024专项复习_2024年新高考数学之圆锥曲线专项重难点突破练(新高考专用)
专题34圆锥曲线中的综合问题(解析版)_02高考数学_2024年新高考资料_3.2024专项复习_2024年新高考数学之圆锥曲线专项重难点突破练(新高考专用)
专题34圆锥曲线中的综合问题(解析版)_02高考数学_2024年新高考资料_3.2024专项复习_2024年新高考数学之圆锥曲线专项重难点突破练(新高考专用)

文档信息

文档格式
docx
文档大小
1.463 MB
文档页数
25 页
上传时间
2026-04-13 11:18:08

文档内容

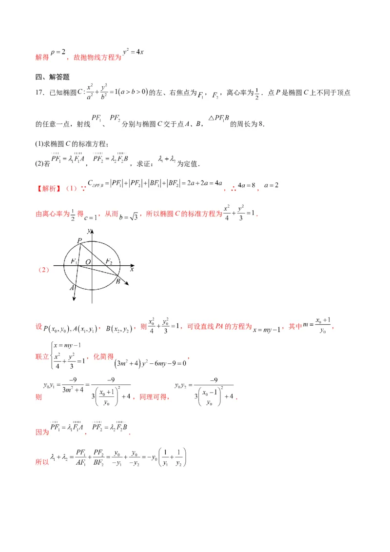
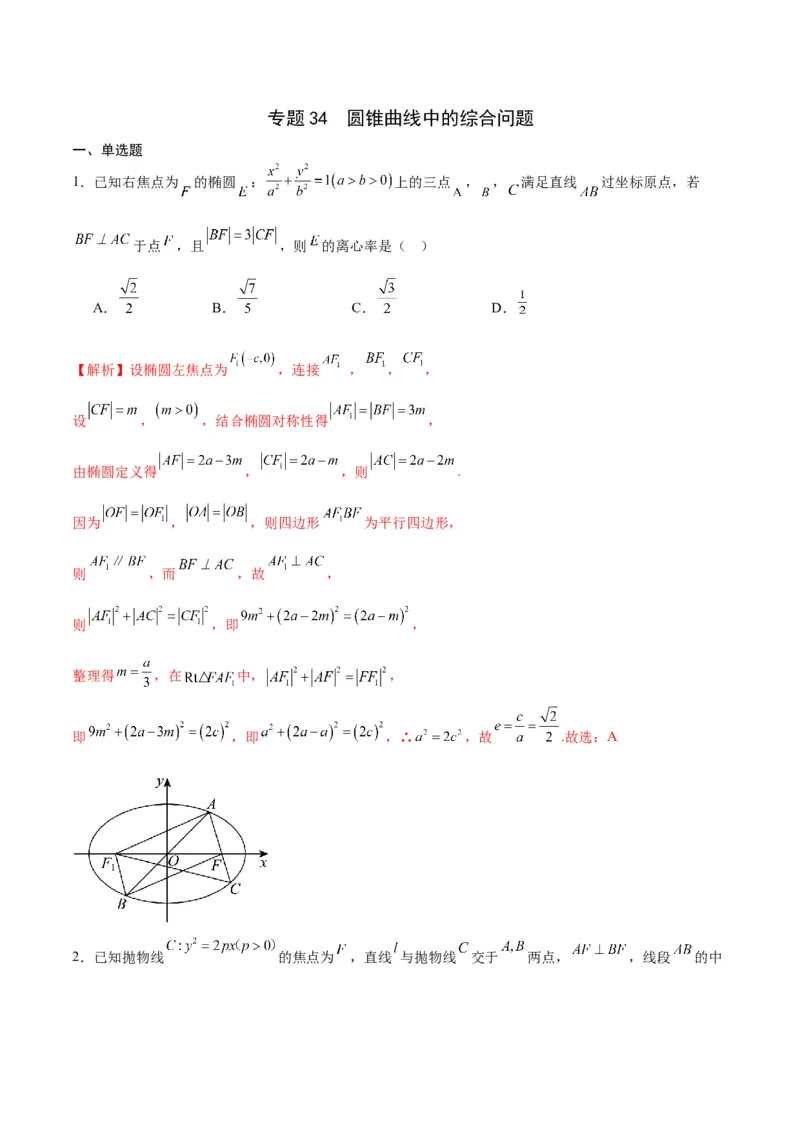
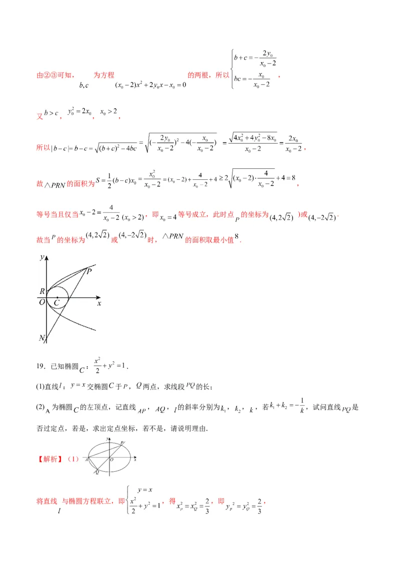
专题34 圆锥曲线中的综合问题 一、单选题 1.已知右焦点为 的椭圆 : 上的三点 , , 满足直线 过坐标原点,若 于点 ,且 ,则 的离心率是( ) A. B. C. D. 【解析】设椭圆左焦点为 ,连接 , , , 设 , ,结合椭圆对称性得 , 由椭圆定义得 , ,则 . 因为 , ,则四边形 为平行四边形, 则 ,而 ,故 , 则 ,即 , 整理得 ,在 中, , 即 ,即 ,∴ ,故 .故选:A 2.已知抛物线 的焦点为 ,直线 与抛物线 交于 两点, ,线段 的中点为 ,过点 作抛物线 的准线的垂线,垂足为 ,则 的最小值为( ) A.1 B. C.2 D. 【解析】设 ,因为 ,所以 , 过点 分别作 准线于点 , ,由抛物线定义可知 , 由梯形中位线可知 , 因为 ,所以 ,当且仅当 时,等号成立, 故 ,故 , 的最小值为 .故选:B 3.已知抛物线 ,点 在抛物线上,斜率为1的直线交抛物线于 、 两点.直线 、 的斜率分别记为 , ,则 的值为( ) A.1 B.2 C.3 D.4 【解析】由题意 , ,抛物线方程为 , 设 ,直线 方程为 , 由 得 , , , , ,, , 所以 .故选:B. 4.设椭圆 的左焦点为 , 为坐标原点,过 且斜率为 的直线交椭圆于 , 两点 ( 在 轴上方). 关于 轴的对称点为 ,连接 并延长交 轴于点 ,若 , , 成等 比数列,则椭圆的离心率 的值为( ) A. B. C. D. 【解析】解:如图所示: 设 分别以OF,EF,OE为底,高为h, 则 ,因为 , , 成等比数列, 所以 ,即 , 设直线AB的方程为: , 联立 ,消去y得 ,由韦达定理得: , 直线BD的方程为: , 令 得, ,则 , 则 ,即为 ,则 ,即 , 即 ,解得 ,则 ,故选:D 5.已知椭圆 ,斜率为 的直线与椭圆 交于 两点, 在 轴左侧,且 点 在 轴上方,点 关于坐标原点 对称的点为 ,且 ,则该椭圆的离心率为( ) A. B. C. D. 【解析】如图所示,作 轴交 于点 , 因为直线的斜率为 ,设直线方程为 且 , 则 ,联立方程组 ,整理得 , 则 ,可得 , , 由 ,可得 ,所以 ,可得 , 则椭圆的离心率为 .故选:D. 6.已知椭圆 与双曲线 具有相同的左、右焦点 , ,点 为它们在第一象限的交点,动点 在曲线 上,若记曲线 , 的离心率分别为 , ,满足 ,且直线 与 轴的交点的坐标为 ,则 的最大值为( ) A. B. C. D. 【解析】由题意可知: ,解得 ,又因为 ,可得 , 由直线 与 轴的交点的坐标为 可得 , 在 中,由余弦定理可得, 可得 ,整理得 ,解得 或 (舍去), 且 ,所以 ,由椭圆性质可知:当 为椭圆短轴顶点时, 取到最大值, 此时 , 且 ,则 ,所以 ,即 .故选:A. . 7.已知过点 的直线与抛物线 交于 , 两点,点 ,则 一定是( ) A.等腰三角形 B.直角三角形 C.有一个角为 的三角形 D.面积为定值的三角形 【解析】设 , ,过点 的直线方程为 , 将直线方程与抛物线 联立得: , , , , 点 , , ,, 所以 ,故B正确. 当直线无限接近平行于对称轴时,显然 , 不一定是等腰三角形,同时 无限接近 ,故AC不正确; 点 到直线 的距离为 , , 不为定值.故D错误. 故选:B. 8.如图所示, , 是双曲线 : ( , )的左、右焦点, 的右支上存在一点 满 足 , 与双曲线 左支的交点 满足 ,则双曲线 的渐近线方程为( )A. B. C. D. 【解析】在 中,由正弦定理得, ①, 在 中,由正弦定理得, ②, 因为 ,所以 , 所以①式与②式相比,得 , 因为 ,所以 ,所以 , 设 ,则 ,由双曲线的定义得 , , 因为 ,所以 ,所以 ,解得 , 在 中,由勾股定理得 , 所以 ,得 ,所以 ,得 , 所以双曲线 的渐近线方程为 ,故选:B 二、多选题9.已知抛物线 的焦点为F, , 是C上相异两点,则下列结论正确的 是( ) A.若 ,则 B.若 ,且 ,则 C.若 ,则 D.若 ,则 的最小值为 【解析】对于A,因为 ,所以F为 的中点, 根据抛物线的对称性知,直线 与 轴垂直, 所以 ,正确; 对于B,因为 ,所以 ,即 ,又 ,所以 , 所以 ,解得 或 ,错误; 对于C,若 ,则 ,正确; 对于D,抛物线 的焦点为 ,准线 方程为 , 过点 作准线 的垂线,垂足为点 , 由抛物线的定义得 ,则 , 当点N、A、M三点共线时, 取得最小值,且最小值为 .正确. 故选:ACD. 10.设 为双曲线 : 上一动点, , 为上、下焦点, 为原点,则下列结论正确的是( ) A.若点 ,则 最小值为7 B.若过点 的直线交 于 两点( 与 均不重合),则 C.若点 , 在双曲线 的上支,则 最小值为 D.过 的直线 交 于 、 不同两点,若 ,则 有4条 【解析】由双曲线 : ,得 ,设 , 则 ,当且仅当 时取等号, 所以 最小值为 ,故A错误; 设 两点坐标分别为 , ,所以 ,又因为 ,所以 ,故B正确; ,故C正确; 由双曲线 : ,可得通径长为 ,且实轴长 , 所以这样的直线 有4条,故D正确. 故选:BCD 11.已知抛物线 的焦点为 ,点 为抛物线上两个位于第一象限的动点,且有.直线 与准线分别交于 两点,则下列说法正确的是( ) A.当 时, B.当 时, C.当 时, D.当 时,延长 交准线于 【解析】抛物线的焦点为 ,准线为 ,则 , 由 ,得 ,对于A,当 时, , 则 , ,故A正确; 对于B,当 时,可得 , ,则 , 设直线 ,把 代入,可得 , 令 ,则 ,同理 , 则 ,因为 ,所以 , 所以 ,故B错误; 对于C,由B选项知, ,故C正确; 对于D,当 时, ,则 , , , 由选项A知 , , , ,故D正确.故选:ACD. 12.已知椭圆 的左,右两焦点分别是 ,其中 .直线 与椭圆交于 两点,则下列说法中正确的有( ) A. 的周长为 B.若 的中点为 ,则 C.若 ,则椭圆的离心率的取值范围是 D.若 时,则 的面积是 【解析】由 可知, ; 显然直线 过点 ,如下图所示: 由椭圆定义可知 的周长为 ,所以A正确;设 ,中点 ; 将直线和椭圆方程联立 ,消去 整理可得 ; 由韦达定理可得 ,所以 , 代入直线方程解得 ,即 ; 所以 ,可得 ,所以B错误; 根据B选项,由 可得 , 可得 ,即 点在以 为圆心,半径为 的圆上; 又 点在椭圆上,即可得圆 与椭圆 有交点, 根据对称性可知 ,即 ,所以可得离心率 ,即C正确; 若 时,由选项B可知联立直线和椭圆方程可得 ; 所以可得 ; 所以 易知 的面积 即可得 的面积是 ,故D正确. 故选:ACD 三、填空题13.已知双曲线 的左、右焦点分别为 ,P是C右支上一点,线段 与C的 左支交于点M.若 ,且 ,则 的离心率为 . 【解析】因为点 是 右支上一点,线段 与 的左支交于点 ,且 , , 所以 为等边三角形,所以 由双曲线定义得 , 又由 ,解得 , 则 且 , 在 中,由余弦定理得 , 整理得 ,所以双曲线的离心率为 . 14.已知 为坐标原点,点 在抛物线 上,过直线 上一点 作抛物线 的两 条切线,切点分别为 .则 的取值范围为 . 【解析】因为 在抛物线 上,所以 ,解得 ,所以 . 设 .由 ,求导得 ,则直线 ,直线 . 由 解得 所以 ,又 在直线 上,得 . 所以 . 故答案为: 15.已知双曲线 的左焦点为 ,离心率为e,直线 分别与C的左、右两 支交于点M,N.若 的面积为 , ,则 的最小值为 【解析】连接 ,对称性知:四边形 为平行四边形,故 , 由题意 , ,由面积公式得: ,解得: ,由双曲线定义知: , 在 中, , 解得: ,所以 ,解得: , 故 ,当且仅当 ,即 时等号成立. 16.已知点 在抛物线 上, 为抛物线 的焦点,圆 与直线 相交于 两点,与线段 相交于点 ,且 .若 是线段 上靠近 的四等分点, 则抛物线 的方程为 . 【解析】由 可知 ,设 ,则 , 则 ,故 ,即 ①; 又点 在抛物线 上, 故 ②,且 ,即 ③, ②联立得 ,得 或 ,由于 ,故 ,结合 ③,解得 ,故抛物线方程为 四、解答题 17.已知椭圆 的左、右焦点为 , ,离心率为 .点P是椭圆C上不同于顶点 的任意一点,射线 、 分别与椭圆C交于点A、B, 的周长为8. (1)求椭圆C的标准方程; (2)若 , ,求证: 为定值. 【解析】(1)∵ ,∴ , 由离心率为 得 ,从而 ,所以椭圆C的标准方程为 . (2) 设 , ,则 ,可设直线PA的方程为 ,其中 , 联立 ,化简得 , 则 ,同理可得, . 因为 , . 所以, 所以 是定值 . 18.在平面直角坐标系中,已知点 ,点 在直线 上运动,过点 与 垂直的直线和 的 中垂线相交于点 . (1)求动点 的轨迹 的方程; (2)设点 是轨迹 上的动点,点 在 轴上,圆 内切于 ,求 的面积的最 小值. 【解析】(1)设点 为轨迹上任意一点 ,由题意知, , 所以动点 的轨迹 是以 为焦点 ,以 为准线的抛物线 , 设其方程 为 ,所以 ,即 ,故抛物线方程为 , 所以动点 的轨迹 的方程为 . (2)设 , , ,且 ,所以直线 的方程为 . 圆 的圆心为 ,半径为 , 因为圆 内切于△PRN ,所以直线 与圆 相切, 则圆心 到直线 的距离为 ,即 ,则 ①, 因为 ,所以化简①得, ②, 圆 内切于△PRN ,所以直线 与圆 相切, 同理可得 ③,由②③可知, 为方程 的两根,所以 , 又 , , , 所以 , 故 的面积为 , 等号当且仅当 ,即 等号成立,此时点 的坐标为 )或 . 故当 的坐标为 或 时, 的面积取最小值 . 19.已知椭圆 : . (1)直线 : 交椭圆 于 , 两点,求线段 的长; (2) 为椭圆 的左顶点,记直线 , , 的斜率分别为 , , ,若 ,试问直线 是 否过定点,若是,求出定点坐标,若不是,请说明理由. 【解析】(1) 将直线 与椭圆方程联立,即 ,得 ,即 ,故 ; (2)设直线 : , , , 由 得, , , 又 , ,故 , 由 ,得 , 故 或 , ①当 时,直线 : ,过定点 ,与已知不符,舍去; ②当 时,直线 : ,过定点 , ,符合题意. 20.已知双曲线 的离心率为2,右焦点 到一条渐近线的距离为 . (1)求双曲线 的方程; (2)已知点 ,过点 作直线 与双曲线 相交于 两点,若 ,求直线 的方程. 【解析】(1)由题知 ,双曲线 的一条斩近线为 ,则 , 又 ,所以 ,所以双曲线 的方程为 .(2)由(1)知, , ,由题易知直线 的斜率存在, 当直线 的斜率为0时,直线 的方程为 , 此时直线 与双曲线 的交点为 和 ,满足 ,符合题意; 当直线 的斜率不为0时,设直线 的方程为 , 设 ,线段 的中点为 ,联立 , 整理得 ,所以 , 即 ,所以 , , , , 因为 ,所以 ,所以 , 所以 ,又点 在直线 上,所以 ,所以 , 解得 或 ,满足 ,所以直线 的方程为 或 . 综上,直线 的方程为 , 或 .21.已知双曲线 的右焦点为 ,渐近线方程为 . (1)求双曲线 的方程; (2)过 的直线 与 交于 两点,过 的左顶点 作 的垂线,垂足为 ,求证: . 【解析】(1) 的右焦点为 , 渐近线方程为 , , , 的方程为: ; (2)设 方程为 ,联立 得: , , , 设 ,则 , , , , , 直线 与直线 垂直,在 中 , , , 即 .22.已知椭圆 : 的离心率为 ,其左、右焦点为 、 ,过 作不与 轴重合的 直线 交椭圆 于 、 两点, 的周长为8. (1)求椭圆 的方程; (2)设线段 的垂直平分线 交 轴于点 ,是否存在实数 ,使得 ?若存在,求出 的值; 若不存在,请说明理由. (3)以 为圆心4为半径作圆,过 作直线 交圆 于 、 两点,求四边形 的面积的最小值及 取得最小值时直线 的方程. 【解析】(1)根据椭圆定义知 周长为 , 依题意有 ,从而 , 故椭圆 的方程为 ; (2)设 : , , ,由 , 因为 所以 , ,所以 , 设线段 中点坐标为 ,则 , , 即设线段 中点坐标为 , 所以线段 的垂直平分线 方程为: , 令 ,当 时, 与 轴重合,不合题意; 当 时,得 ,即点 ,所以 , 所以 ,即存在 满足题设; (3)直线 : ,即 , 圆心 到直线 的距离为 , 则弦 的长: , 所以 , 设 ,则 ,且 ,所以 , 易知 在 单调递增, 所以当 ,即 时, ,此时直线 : .