当前位置:首页>文档>专题34圆锥曲线中的综合问题(原卷版)_02高考数学_2024年新高考资料_3.2024专项复习_2024年新高考数学之圆锥曲线专项重难点突破练(新高考专用)

专题34圆锥曲线中的综合问题(原卷版)_02高考数学_2024年新高考资料_3.2024专项复习_2024年新高考数学之圆锥曲线专项重难点突破练(新高考专用)

  • 2026-04-13 11:16:52 2026-04-13 11:16:52

文档预览

专题34圆锥曲线中的综合问题(原卷版)_02高考数学_2024年新高考资料_3.2024专项复习_2024年新高考数学之圆锥曲线专项重难点突破练(新高考专用)
专题34圆锥曲线中的综合问题(原卷版)_02高考数学_2024年新高考资料_3.2024专项复习_2024年新高考数学之圆锥曲线专项重难点突破练(新高考专用)
专题34圆锥曲线中的综合问题(原卷版)_02高考数学_2024年新高考资料_3.2024专项复习_2024年新高考数学之圆锥曲线专项重难点突破练(新高考专用)
专题34圆锥曲线中的综合问题(原卷版)_02高考数学_2024年新高考资料_3.2024专项复习_2024年新高考数学之圆锥曲线专项重难点突破练(新高考专用)
专题34圆锥曲线中的综合问题(原卷版)_02高考数学_2024年新高考资料_3.2024专项复习_2024年新高考数学之圆锥曲线专项重难点突破练(新高考专用)
专题34圆锥曲线中的综合问题(原卷版)_02高考数学_2024年新高考资料_3.2024专项复习_2024年新高考数学之圆锥曲线专项重难点突破练(新高考专用)
专题34圆锥曲线中的综合问题(原卷版)_02高考数学_2024年新高考资料_3.2024专项复习_2024年新高考数学之圆锥曲线专项重难点突破练(新高考专用)
专题34圆锥曲线中的综合问题(原卷版)_02高考数学_2024年新高考资料_3.2024专项复习_2024年新高考数学之圆锥曲线专项重难点突破练(新高考专用)
专题34圆锥曲线中的综合问题(原卷版)_02高考数学_2024年新高考资料_3.2024专项复习_2024年新高考数学之圆锥曲线专项重难点突破练(新高考专用)
专题34圆锥曲线中的综合问题(原卷版)_02高考数学_2024年新高考资料_3.2024专项复习_2024年新高考数学之圆锥曲线专项重难点突破练(新高考专用)

文档信息

文档格式
docx
文档大小
0.411 MB
文档页数
6 页
上传时间
2026-04-13 11:16:52

文档内容

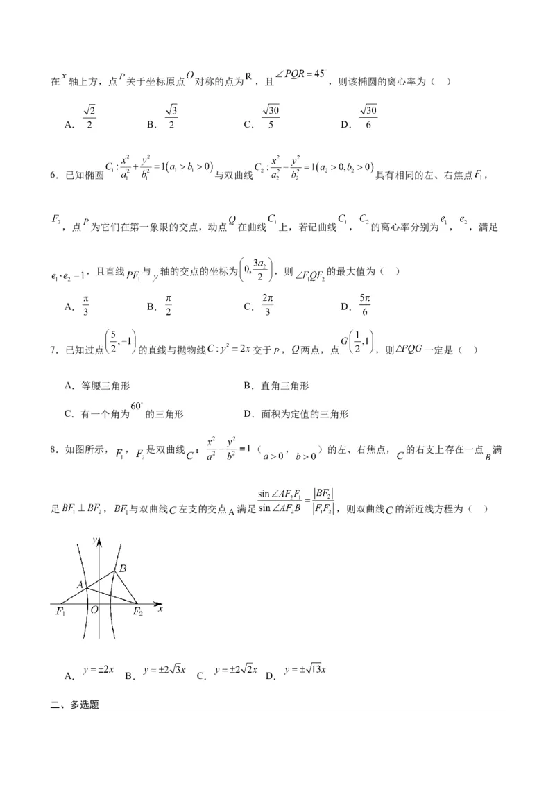
专题34 圆锥曲线中的综合问题 一、单选题 1.已知右焦点为 的椭圆 : 上的三点 , , 满足直线 过坐标原点,若 于点 ,且 ,则 的离心率是( ) A. B. C. D. 2.已知抛物线 的焦点为 ,直线 与抛物线 交于 两点, ,线段 的中 点为 ,过点 作抛物线 的准线的垂线,垂足为 ,则 的最小值为( ) A.1 B. C.2 D. 3.已知抛物线 ,点 在抛物线上,斜率为1的直线交抛物线于 、 两点.直线 、 的斜率分别记为 , ,则 的值为( ) A.1 B.2 C.3 D.4 4.设椭圆 的左焦点为 , 为坐标原点,过 且斜率为 的直线交椭圆于 , 两点 ( 在 轴上方). 关于 轴的对称点为 ,连接 并延长交 轴于点 ,若 , , 成等 比数列,则椭圆的离心率 的值为( ) A. B. C. D. 5.已知椭圆 ,斜率为 的直线与椭圆 交于 两点, 在 轴左侧,且 点在 轴上方,点 关于坐标原点 对称的点为 ,且 ,则该椭圆的离心率为( ) A. B. C. D. 6.已知椭圆 与双曲线 具有相同的左、右焦点 , ,点 为它们在第一象限的交点,动点 在曲线 上,若记曲线 , 的离心率分别为 , ,满足 ,且直线 与 轴的交点的坐标为 ,则 的最大值为( ) A. B. C. D. 7.已知过点 的直线与抛物线 交于 , 两点,点 ,则 一定是( ) A.等腰三角形 B.直角三角形 C.有一个角为 的三角形 D.面积为定值的三角形 8.如图所示, , 是双曲线 : ( , )的左、右焦点, 的右支上存在一点 满 足 , 与双曲线 左支的交点 满足 ,则双曲线 的渐近线方程为( ) A. B. C. D. 二、多选题9.已知抛物线 的焦点为F, , 是C上相异两点,则下列结论正确的 是( ) A.若 ,则 B.若 ,且 ,则 C.若 ,则 D.若 ,则 的最小值为 10.设 为双曲线 : 上一动点, , 为上、下焦点, 为原点,则下列结论正确的是 ( ) A.若点 ,则 最小值为7 B.若过点 的直线交 于 两点( 与 均不重合),则 C.若点 , 在双曲线 的上支,则 最小值为 D.过 的直线 交 于 、 不同两点,若 ,则 有4条 11.已知抛物线 的焦点为 ,点 为抛物线上两个位于第一象限的动点,且有 .直线 与准线分别交于 两点,则下列说法正确的是( ) A.当 时, B.当 时, C.当 时, D.当 时,延长 交准线于 12.已知椭圆 的左,右两焦点分别是 ,其中 .直线 与椭圆交于 两点,则下列说法中正确的有( ) A. 的周长为 B.若 的中点为 ,则C.若 ,则椭圆的离心率的取值范围是 D.若 时,则 的面积是 三、填空题 13.已知双曲线 的左、右焦点分别为 ,P是C右支上一点,线段 与C的 左支交于点M.若 ,且 ,则 的离心率为 . 14.已知 为坐标原点,点 在抛物线 上,过直线 上一点 作抛物线 的两 条切线,切点分别为 .则 的取值范围为 . 15.已知双曲线 的左焦点为 ,离心率为e,直线 分别与C的左、右两 支交于点M,N.若 的面积为 , ,则 的最小值为 16.已知点 在抛物线 上, 为抛物线 的焦点,圆 与直线 相交于 两点,与线段 相交于点 ,且 .若 是线段 上靠近 的四等分点, 则抛物线 的方程为 . 四、解答题 17.已知椭圆 的左、右焦点为 , ,离心率为 .点P是椭圆C上不同于顶点 的任意一点,射线 、 分别与椭圆C交于点A、B, 的周长为8. (1)求椭圆C的标准方程; (2)若 , ,求证: 为定值.18.在平面直角坐标系中,已知点 ,点 在直线 上运动,过点 与 垂直的直线和 的 中垂线相交于点 . (1)求动点 的轨迹 的方程; (2)设点 是轨迹 上的动点,点 在 轴上,圆 内切于 ,求 的面积的最 小值. 19.已知椭圆 : . (1)直线 : 交椭圆 于 , 两点,求线段 的长; (2) 为椭圆 的左顶点,记直线 , , 的斜率分别为 , , ,若 ,试问直线 是 否过定点,若是,求出定点坐标,若不是,请说明理由. 20.已知双曲线 的离心率为2,右焦点 到一条渐近线的距离为 . (1)求双曲线 的方程; (2)已知点 ,过点 作直线 与双曲线 相交于 两点,若 ,求直线 的方程.21.已知双曲线 的右焦点为 ,渐近线方程为 . (1)求双曲线 的方程; (2)过 的直线 与 交于 两点,过 的左顶点 作 的垂线,垂足为 ,求证: . 22.已知椭圆 : 的离心率为 ,其左、右焦点为 、 ,过 作不与 轴重合的 直线 交椭圆 于 、 两点, 的周长为8. (1)求椭圆 的方程; (2)设线段 的垂直平分线 交 轴于点 ,是否存在实数 ,使得 ?若存在,求出 的值; 若不存在,请说明理由. (3)以 为圆心4为半径作圆,过 作直线 交圆 于 、 两点,求四边形 的面积的最小值及 取得最小值时直线 的方程.