当前位置:首页>文档>专题32圆锥曲线中的轨迹问题(解析版)_02高考数学_2024年新高考资料_3.2024专项复习_2024年新高考数学之圆锥曲线专项重难点突破练(新高考专用)

专题32圆锥曲线中的轨迹问题(解析版)_02高考数学_2024年新高考资料_3.2024专项复习_2024年新高考数学之圆锥曲线专项重难点突破练(新高考专用)

  • 2026-04-13 10:12:50 2026-04-13 10:12:50

文档预览

专题32圆锥曲线中的轨迹问题(解析版)_02高考数学_2024年新高考资料_3.2024专项复习_2024年新高考数学之圆锥曲线专项重难点突破练(新高考专用)
专题32圆锥曲线中的轨迹问题(解析版)_02高考数学_2024年新高考资料_3.2024专项复习_2024年新高考数学之圆锥曲线专项重难点突破练(新高考专用)
专题32圆锥曲线中的轨迹问题(解析版)_02高考数学_2024年新高考资料_3.2024专项复习_2024年新高考数学之圆锥曲线专项重难点突破练(新高考专用)
专题32圆锥曲线中的轨迹问题(解析版)_02高考数学_2024年新高考资料_3.2024专项复习_2024年新高考数学之圆锥曲线专项重难点突破练(新高考专用)
专题32圆锥曲线中的轨迹问题(解析版)_02高考数学_2024年新高考资料_3.2024专项复习_2024年新高考数学之圆锥曲线专项重难点突破练(新高考专用)
专题32圆锥曲线中的轨迹问题(解析版)_02高考数学_2024年新高考资料_3.2024专项复习_2024年新高考数学之圆锥曲线专项重难点突破练(新高考专用)
专题32圆锥曲线中的轨迹问题(解析版)_02高考数学_2024年新高考资料_3.2024专项复习_2024年新高考数学之圆锥曲线专项重难点突破练(新高考专用)
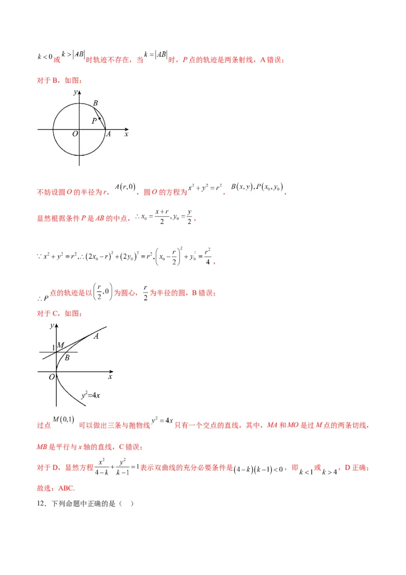
专题32圆锥曲线中的轨迹问题(解析版)_02高考数学_2024年新高考资料_3.2024专项复习_2024年新高考数学之圆锥曲线专项重难点突破练(新高考专用)
专题32圆锥曲线中的轨迹问题(解析版)_02高考数学_2024年新高考资料_3.2024专项复习_2024年新高考数学之圆锥曲线专项重难点突破练(新高考专用)
专题32圆锥曲线中的轨迹问题(解析版)_02高考数学_2024年新高考资料_3.2024专项复习_2024年新高考数学之圆锥曲线专项重难点突破练(新高考专用)
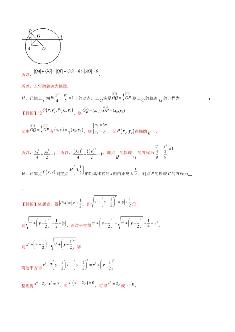
专题32圆锥曲线中的轨迹问题(解析版)_02高考数学_2024年新高考资料_3.2024专项复习_2024年新高考数学之圆锥曲线专项重难点突破练(新高考专用)
专题32圆锥曲线中的轨迹问题(解析版)_02高考数学_2024年新高考资料_3.2024专项复习_2024年新高考数学之圆锥曲线专项重难点突破练(新高考专用)
专题32圆锥曲线中的轨迹问题(解析版)_02高考数学_2024年新高考资料_3.2024专项复习_2024年新高考数学之圆锥曲线专项重难点突破练(新高考专用)
专题32圆锥曲线中的轨迹问题(解析版)_02高考数学_2024年新高考资料_3.2024专项复习_2024年新高考数学之圆锥曲线专项重难点突破练(新高考专用)
专题32圆锥曲线中的轨迹问题(解析版)_02高考数学_2024年新高考资料_3.2024专项复习_2024年新高考数学之圆锥曲线专项重难点突破练(新高考专用)
专题32圆锥曲线中的轨迹问题(解析版)_02高考数学_2024年新高考资料_3.2024专项复习_2024年新高考数学之圆锥曲线专项重难点突破练(新高考专用)
专题32圆锥曲线中的轨迹问题(解析版)_02高考数学_2024年新高考资料_3.2024专项复习_2024年新高考数学之圆锥曲线专项重难点突破练(新高考专用)
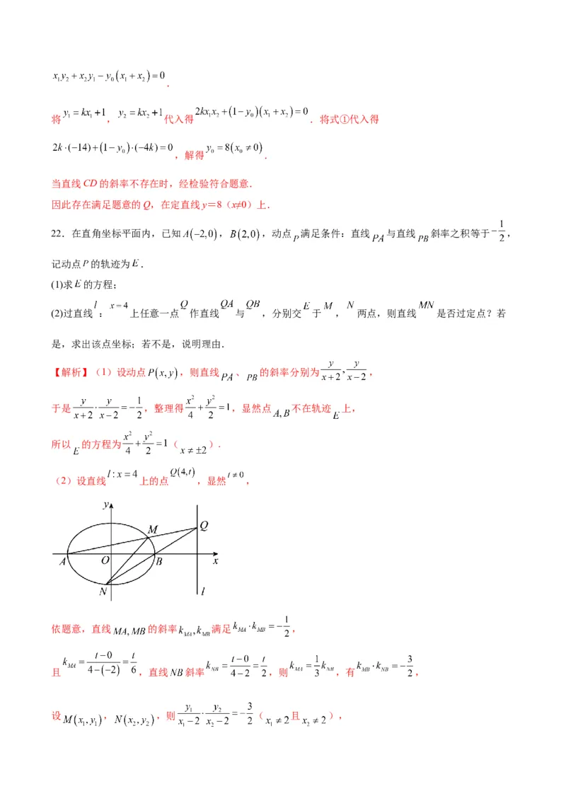
专题32圆锥曲线中的轨迹问题(解析版)_02高考数学_2024年新高考资料_3.2024专项复习_2024年新高考数学之圆锥曲线专项重难点突破练(新高考专用)
专题32圆锥曲线中的轨迹问题(解析版)_02高考数学_2024年新高考资料_3.2024专项复习_2024年新高考数学之圆锥曲线专项重难点突破练(新高考专用)
专题32圆锥曲线中的轨迹问题(解析版)_02高考数学_2024年新高考资料_3.2024专项复习_2024年新高考数学之圆锥曲线专项重难点突破练(新高考专用)
专题32圆锥曲线中的轨迹问题(解析版)_02高考数学_2024年新高考资料_3.2024专项复习_2024年新高考数学之圆锥曲线专项重难点突破练(新高考专用)

文档信息

文档格式
docx
文档大小
1.011 MB
文档页数
17 页
上传时间
2026-04-13 10:12:50

文档内容

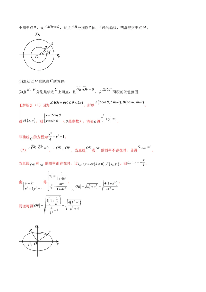
专题32 圆锥曲线中的轨迹问题 考试时间:120分钟 满分:150分 一、单选题:本大题共8小题,每个小题5分,共40分.在每小题给出的选项中,只有一项是符合题目要 求的. 1.设 满足: ,则 点的轨迹为( ) A.圆 B.椭圆 C.线段 D.不存在 【解析】∵ 表示为 到定点 的距离之和为5,即 ,∴ 点的轨迹为椭圆.故选:B. 2.已知点F( ,0),F(5,0),动点P满足|PF|-|PF|=2a,当a为3和5时,点P的轨迹分别是 1 2 1 2 ( ) A.双曲线的右支 B.双曲线和一条射线C.双曲线的一支和一条直线 D.双曲线的一支和一条射 线 【解析】依题意得 , 当 时, ,且 ,点P的轨迹为双曲线的右支; 当 时, ,故点P的轨迹为一条射线.故选:D. 3.若动点P到定点 的距离与到直线 的距离相等,则点P的轨迹是( ) A.抛物线 B.线段 C.直线 D.射线 【解析】动点 满足抛物线定义,则其轨迹为抛物线.故选:A. 4.已知 , , 为坐标原点,动点 满足 ,其中 、 ,且 , 则动点 的轨迹是( ) A.焦距为 的椭圆 B.焦距为 的椭圆 C.焦距为 的双曲线 D.焦距为 的双曲线【解析】设动点 ,因为点 满足 ,其中 、 , 且 ,所以 ,所以 , , 所以 , ,所以 , 即 ,表示焦距为 的双曲线.故选:D 5.已知A,B为平面内两定点,过该平面内动点M作直线AB的垂线,垂足为N.若 ,则 动点M的轨迹是( ) A.圆 B.椭圆 C.抛物线 D.双曲线 【解析】解:建立以 所在的直线为x轴,以线段 的中垂线为y轴的直角坐标系, 设 , , ,设M的坐标为 ,由题意可得 , 则 , , , 所以 , , 由 ,可得 , 整理可得: ,所以 , ,故动点M的轨迹是双曲线. 故选:D. 6.已知圆 与圆 ,圆 与圆 均相切,则圆 的圆心 的轨迹中 包含了哪条曲线( ) A.圆 B.椭圆 C.双曲线 D.抛物线【解析】由圆 可得,圆心 ,半径 ; 由圆 可得,圆心 ,半径 . 又 ,且 , 所以两圆内含,又 . 设圆 的半径为 .由题意结合图象可得,圆 应与圆 外切,与圆 内切. 则有 ,所以 , 根据椭圆的定义可得,圆 的圆心 的轨迹为椭圆.故选:B. 7.正方体 中, 是棱 的中点, 是底面 内一动点,且 、 与底面 所成角相等,则动点 的轨迹为( ) A.圆的一部分 B.直线的一部分 C.椭圆的一部分 D.双曲线的一部分 【解析】正方体如图所示,连接 , , 由 底面 , 底面 , 可得 、 分别为直线 、 与底面 所成的角, 由 ,可得 ,由 , .在平面 内,以 为原点, 为 轴, 为 轴,建立如图所示的平面直角坐标系, 设正方体棱长为 ,则 , ,设 , 由 ,则 , 化简得 ,动点 的轨迹是以 为圆心, 为半径的圆位于正方形内的部 分. 故选:A 8.如图,直三棱柱 的所有棱长均相等,P是侧面 内一点,若点P到平面 的距 离 ,则点P的轨迹是( ) A.圆的一部分 B.椭圆的一部分 C.双曲线的一部分 D.抛物线的一部分 【解析】如图,作 ,做 ,连接 . 因几何体为直三棱柱,则 平面 ,又 平面 , 则 ,又 平面 , 平面 , ,则 平面 .又由题可得 平面 ,则 .因 , ,则 .又 平面EPD, 平面EPD, , 平面 , 平面 , , 则平面EPD 平面 .因平面 平面EPD ,平面 平面 ,则 . 故 ,结合 平面 , 平面 ,可得 ,则 .又 ,则 . 由题又有 ,结合 ,则 ,即 为点P到直线 距离.故点P到定点 距 离等于点P到直线 距离,则点P轨迹为抛物线的一部分.故选:D 二、多选题:本大题共4小题,每个小题5分,共20分.在每小题给出的选项中,只有一项或者多项是符 合题目要求的. 9.已知平面直角坐标系中,点 、 ,点 为平面内一动点,且 ,则下 列说法准确的是( ) A.当 时,点 的轨迹为一直线 B.当 时,点 的轨迹为一射线 C.当 时,点 的轨迹不存在 D.当 时,点 的轨迹是双曲线 【解析】对于A选项,当 时, ,则点 的轨迹为线段 的垂直平分线,A对;对于B选项,当 时, ,则点 的轨迹是一条射线, 且射线的端点为 ,方向为 轴的正方向,B对; 对于C选项,当 时, ,则点 的轨迹是一条射线, 且射线的端点为 ,方向为 轴的负方向,C错; 对于D选项,当 时, ,且 , 所以,点 的轨迹是以点 、 为左、右焦点的双曲线的右支,D错. 故选:AB. 10.关于 、 的方程 表示的轨迹可以是( ) A.椭圆 B.双曲线 C.直线 D.抛物线 【解析】当 时,该方程表示的轨迹是直线 ; 当 时,该方程表示的轨迹是直线 ; 当 且 时,原方程可化为 . 当 或 时, ,该方程表示的轨迹是双曲线; 当 ,又 ,则 ,此时方程为 ,该方程表示圆; 综上所述,方程所表示的曲线不可能是椭圆或抛物线.故选:BC. 11.以下关于圆锥曲线的说法,不正确的是( ) A.设A,B为两个定点,k为非零常数, ,则动点P的轨迹为双曲线 B.过定圆O上一定点A作圆的动弦AB,O为坐标原点,若 ,则动点P的轨迹为椭 圆 C.过点 作直线,使它与抛物线 有且仅有一个公共点,这样的直线有2条 D.若曲线C: 为双曲线,则 或 【解析】对于A,根据双曲线的定义,当 时, ,则动点P的轨迹是双曲线,当或 时轨迹不存在,当 时,P点的轨迹是两条射线,A错误; 对于B,如图: 不妨设圆O的半径为r, ,圆O的方程为 , , 显然根据条件P是AB的中点, , , 点的轨迹是以 为圆心, 为半径的圆,B错误; 对于C,如图: 过点 可以做出三条与抛物线 只有一个交点的直线,其中,MA和MO是过M点的两条切线, MB是平行与x轴的直线,C错误; 对于D,显然方程 表示双曲线的充分必要条件是 ,即 或 ,D正确; 故选:ABC. 12.下列命题中正确的是( )A.若平面内两定点 ,则满足 的动点 的轨迹为椭圆 B.双曲线 与直线 有且只有一个公共点 C.若方程 表示焦点在 轴上的双曲线,则 D.过椭圆一焦点 作椭圆的动弦 ,则弦 的中点 的轨迹为椭圆 【解析】对于A,根据椭圆定义,若平面内两定点 ,则满足 且 的动点 的轨迹为椭圆,故A错误; 对于B,由 得 ,所以双曲线 与直线 有且只有一个公共点,故B 正确; 对于C,若方程 表示焦点在 轴上的双曲线,则 ,方程组无解,故C错误; 对于D,不妨设椭圆方程为 , , 则 ,弦 的中点为 ,当直线 与 轴不垂直时,设弦 方程为 , 与椭圆方程 联立可得 , 所以动弦 的中点横坐标为 ,中点纵坐标为 ,所以 ,可得 ,代入 可得 ,当直线 与 轴垂 直时,弦 的中点为 在 上,综上弦 的中点 的轨迹为椭圆,故D正确. 故选:BD. 三、填空题:本大题共4小题,每小题5分,共20分.把答案填在答题卡中的横线上. 13.已知点A ,B ,P是平面内的一个动点,直线PA与PB的斜率之积是 ,则动点P的 轨迹C的方程为 . 【解析】设 ,由 , 整理得 ,故动点P的轨迹C的方程为 , 14.折纸是很多人喜爱的游戏,通过自己动手折纸,可以激发和培养审美情趣,锻炼双手,开发智力,提 高实践技能.一张圆形纸片的半径为 ,圆心 到定点 的距离为 ,在圆周上任取一点 ,将圆形纸片折 起,使得 与 重合,折痕记为直线 ,直线 与直线 的交点为 .将此操作多次重复,则 点的轨迹 是 (填“圆”、“椭圆”、“双曲线”、“抛物线”) 【解析】在圆周上任取一点 ,将圆形纸片折起,使得 与 重合,折痕记为直线 , 直线 与直线 的交点为 ,则 , 由题意可知,圆 的半径为 ,且 ,所以, , 所以,点 的轨迹为椭圆. 15.已知点 为 上的动点,点 满足 .则点 的轨迹 的方程为 ; 【解析】设 ,则 又由 有 ,则 ,又 在椭圆 上, 所以, ,所以, ,即点 的轨迹 的方程为 16.已知点 到定点 的距离比它到x轴的距离大 .则点P的轨迹C的方程为 ; 【解析】依题意,得 ,即 ①, 则 ,两边平方得 , 则 ②, 两边平方得 , 整理得 ,即 ,可得 或 ,当 时,②转化为 ,所以 , 此时①转化为 ,所以 , 所以 点的轨迹 的方程为 或 . 四、解答题:本大题共6小题,共70分.解答应写出必要的文字说明、证明过程或演算步骤. 17.已知动点 到原点 的距离与它到点 的距离之比为 ,记动点M的轨迹为曲线 . (1)求曲线 的方程; (2)直线 与曲线 交于E,F两点,求 的取值范围(O为坐标原点) 【解析】(1)由已知 ,化简得 ,化为 . 所以曲线 的方程为: ; (2)设 , , 联立直线与圆的方程, ,消去 ,得 , ∴ , ,由 解得 , 则 , , ∴ , ∴ ,∴ , ∴ , . 18.如图所示,以原点 为圆心,分别以2和1为半径作两个同心圆,设 为大圆上任意一点,连接 交小圆于点 ,设 ,过点 分别作 轴, 轴的垂线,两垂线交于点 . (1)求动点 的轨迹 的方程; (2)点 分别是轨迹 上两点,且 ,求 面积的取值范围. 【解析】(1)因为 ,所以 , 设 ,则 ( 是参数),消去 得 , 即曲线 的方程为 ; (2) , ,当直线 或 的斜率不存在时,易得 , 当直线 和 的斜率都存在时,设 ,则 , 由 得 , , 同理可得,令 故 . 19.在平面直角坐标系 中,点 到点 的距离比它到 轴的距离多1,记点 的轨迹为 . (1)求轨迹为 的方程 (2)设斜率为 的直线 过定点 ,求直线 与轨迹 恰好有一个公共点时 的相应取值范围. 【解析】(1)设 是轨迹 上的任意一点, 因为点 到点 的距离比它到 的距离多 ,可得 , 即 ,整理得 , 所以点 的轨迹 的方程为 . (2)在点轨迹 中,记 , 因为斜率 的直线 过定点 ,不妨设直线 的方程为 , 联立方程组 ,整理得 , 当 时, ,此时 ,可得直线 与轨迹 恰好有一个公共点 ; 当 时,可得 ,不妨设直线 与 轴的交点为 , 令 ,解得 , 若直线 与轨迹 恰好有一个公共点,则满足 ,解得 或 ,综上,当 时,直线 与轨迹 恰好有一个公共点. 20.已知圆 ,动点 在 轴的右侧, 到 轴的距离比它到的圆心 的距离小1. (1)求动点 的轨迹 的方程; (2)过圆心 作直线 与轨迹 和圆 交于四个点,自上而下依次为A,M,N,B,若 , 求 及直线 的方程. 【解析】(1) 化为 ,可得半径 ,圆心 , 因为动点 在 轴的右侧, 到 轴的距离比它到的圆心 的距离小1, 所以点 到定点 的距离与到定直线 的距离相等, 由抛物线的定义得 的轨迹 方程为 ; (2)如图所示: 由圆 的半径为1,可得 , 又 , , 当直线 的斜率为 时,直线 与抛物线只有1个交点,不合题意; 所以直线 的斜率不为 ,可设直线 ,联立 , 恒成立, ,因为 , 所以 ,解得 ,所以直线 的方程为 . 21.在平面直角坐标系中,已知两定点 , ,M是平面内一动点,自M作MN垂直于AB, 垂足N介于A和B之间,且 . (1)求动点M的轨迹 ; (2)设过 的直线交曲线 于C,D两点,Q为平面上一动点,直线QC,QD,QP的斜率分别为 , , ,且满足 .问:动点Q是否在某一定直线上?若在,求出该定直线的方程;若不在,请说明 理由. 【解析】(1)设 ,则 ,由题意知-4<x<4. ∵ ,∴ ,即 ,故动点M的轨迹 为 . (2)存在满足题意的Q,在定直线y=8(x≠0)上.理由如下: 当直线CD的斜率存在时,设直线CD的方程为y=kx+1. 设 , , ,则 , , ,由此知 . 将y=kx+1代入 ,得 ,于是 , .① 条件 即 ,也即 . 将 , 代入得 . 显然 不在直线y=kx+1上,∴ ,从而得 ,即. 将 , 代入得 .将式①代入得 ,解得 . 当直线CD的斜率不存在时,经检验符合题意. 因此存在满足题意的Q,在定直线y=8(x≠0)上. 22.在直角坐标平面内,已知 , ,动点 满足条件:直线 与直线 斜率之积等于 , 记动点 的轨迹为 . (1)求 的方程; (2)过直线 : 上任意一点 作直线 与 ,分别交 于 , 两点,则直线 是否过定点?若 是,求出该点坐标;若不是,说明理由. 【解析】(1)设动点 ,则直线 、 的斜率分别为 , 于是 ,整理得 ,显然点 不在轨迹 上, 所以 的方程为 ( ). (2)设直线 上的点 ,显然 , 依题意,直线 的斜率 满足 , 且 ,直线 斜率 ,则 ,有 , 设 , ,则 ( 且 ),当直线 不垂直于x轴时,设直线 的方程为 , 消去y得 , 则 , , 又 ,即 , 则 ,整理得 , 解得 或 ,此时方程 中的 , 当 时,直线 : 恒过点 , 当 时,直线 : ,由于 舍去, 当直线 时,则有 ,即有 ,而 ,解得 , 直线 : 过点 , 所以直线 恒过点 .