当前位置:首页>文档>专题33圆锥曲线中的探索性问题-2024年新高考数学之圆锥曲线专项重难点突破练(新高考专用)(解析版)_02高考数学_2024年新高考资料_3.2024专项复习

专题33圆锥曲线中的探索性问题-2024年新高考数学之圆锥曲线专项重难点突破练(新高考专用)(解析版)_02高考数学_2024年新高考资料_3.2024专项复习

  • 2026-04-13 11:11:06 2026-04-13 11:11:06

文档预览

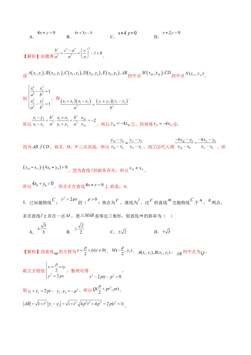
专题33圆锥曲线中的探索性问题-2024年新高考数学之圆锥曲线专项重难点突破练(新高考专用)(解析版)_02高考数学_2024年新高考资料_3.2024专项复习
专题33圆锥曲线中的探索性问题-2024年新高考数学之圆锥曲线专项重难点突破练(新高考专用)(解析版)_02高考数学_2024年新高考资料_3.2024专项复习
专题33圆锥曲线中的探索性问题-2024年新高考数学之圆锥曲线专项重难点突破练(新高考专用)(解析版)_02高考数学_2024年新高考资料_3.2024专项复习
专题33圆锥曲线中的探索性问题-2024年新高考数学之圆锥曲线专项重难点突破练(新高考专用)(解析版)_02高考数学_2024年新高考资料_3.2024专项复习
专题33圆锥曲线中的探索性问题-2024年新高考数学之圆锥曲线专项重难点突破练(新高考专用)(解析版)_02高考数学_2024年新高考资料_3.2024专项复习
专题33圆锥曲线中的探索性问题-2024年新高考数学之圆锥曲线专项重难点突破练(新高考专用)(解析版)_02高考数学_2024年新高考资料_3.2024专项复习
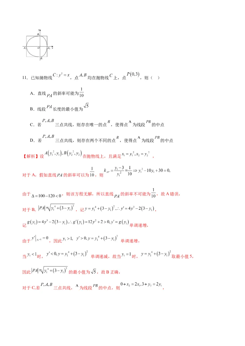
专题33圆锥曲线中的探索性问题-2024年新高考数学之圆锥曲线专项重难点突破练(新高考专用)(解析版)_02高考数学_2024年新高考资料_3.2024专项复习
专题33圆锥曲线中的探索性问题-2024年新高考数学之圆锥曲线专项重难点突破练(新高考专用)(解析版)_02高考数学_2024年新高考资料_3.2024专项复习
专题33圆锥曲线中的探索性问题-2024年新高考数学之圆锥曲线专项重难点突破练(新高考专用)(解析版)_02高考数学_2024年新高考资料_3.2024专项复习
专题33圆锥曲线中的探索性问题-2024年新高考数学之圆锥曲线专项重难点突破练(新高考专用)(解析版)_02高考数学_2024年新高考资料_3.2024专项复习
专题33圆锥曲线中的探索性问题-2024年新高考数学之圆锥曲线专项重难点突破练(新高考专用)(解析版)_02高考数学_2024年新高考资料_3.2024专项复习
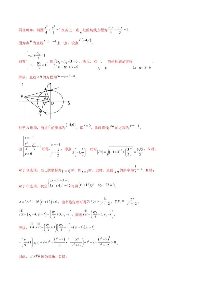
专题33圆锥曲线中的探索性问题-2024年新高考数学之圆锥曲线专项重难点突破练(新高考专用)(解析版)_02高考数学_2024年新高考资料_3.2024专项复习
专题33圆锥曲线中的探索性问题-2024年新高考数学之圆锥曲线专项重难点突破练(新高考专用)(解析版)_02高考数学_2024年新高考资料_3.2024专项复习
专题33圆锥曲线中的探索性问题-2024年新高考数学之圆锥曲线专项重难点突破练(新高考专用)(解析版)_02高考数学_2024年新高考资料_3.2024专项复习
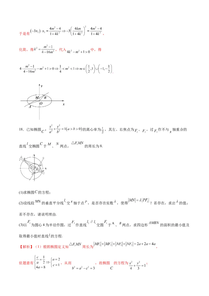
专题33圆锥曲线中的探索性问题-2024年新高考数学之圆锥曲线专项重难点突破练(新高考专用)(解析版)_02高考数学_2024年新高考资料_3.2024专项复习
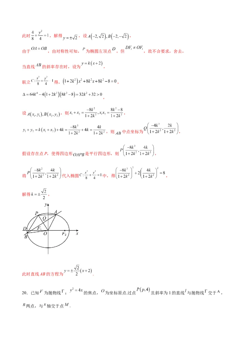
专题33圆锥曲线中的探索性问题-2024年新高考数学之圆锥曲线专项重难点突破练(新高考专用)(解析版)_02高考数学_2024年新高考资料_3.2024专项复习
专题33圆锥曲线中的探索性问题-2024年新高考数学之圆锥曲线专项重难点突破练(新高考专用)(解析版)_02高考数学_2024年新高考资料_3.2024专项复习
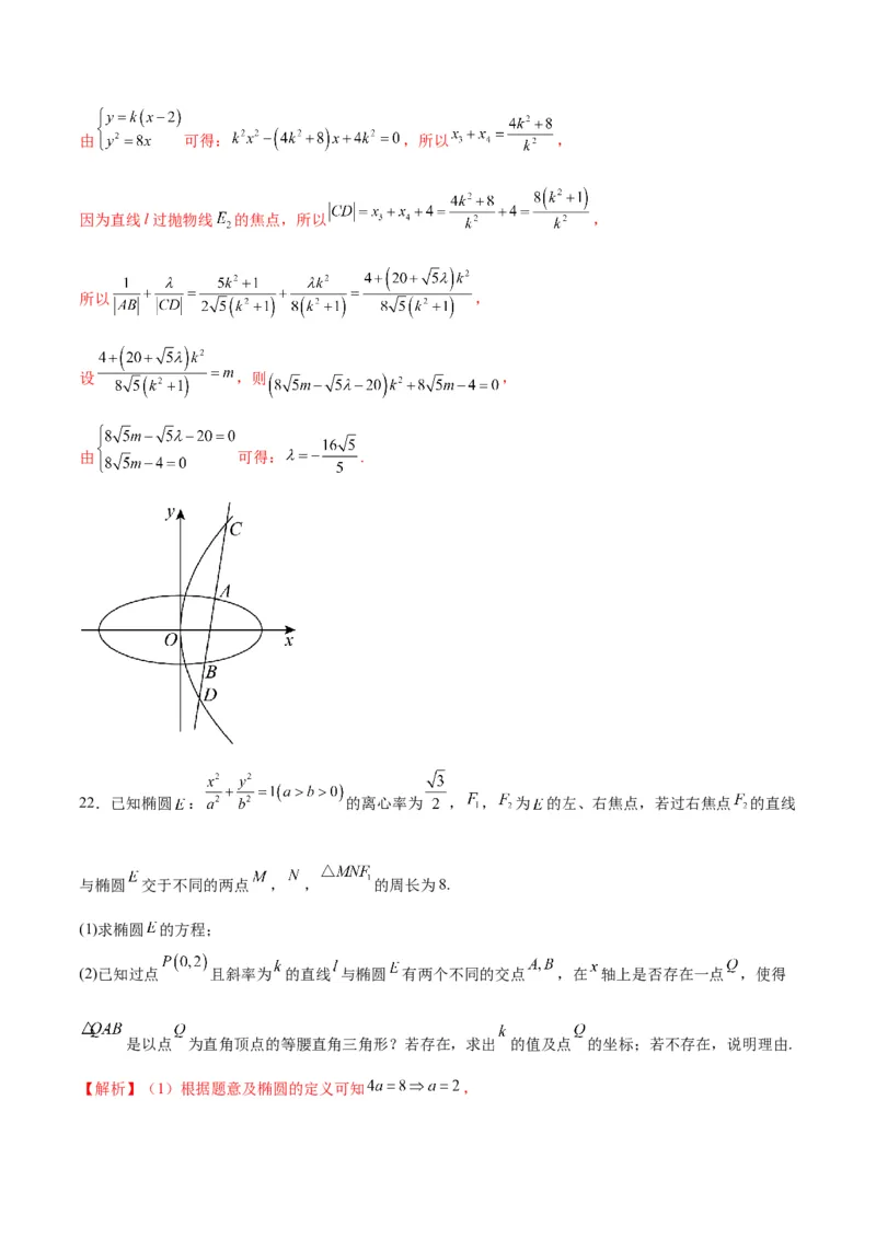
专题33圆锥曲线中的探索性问题-2024年新高考数学之圆锥曲线专项重难点突破练(新高考专用)(解析版)_02高考数学_2024年新高考资料_3.2024专项复习
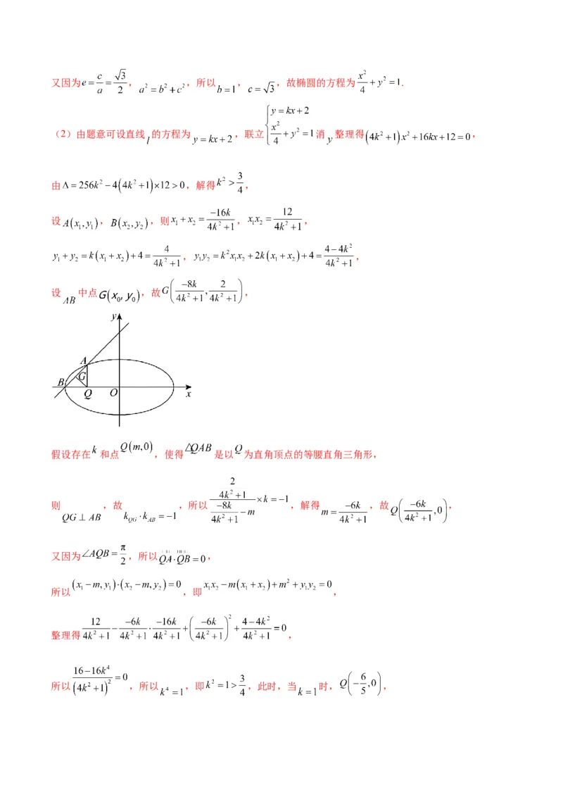
专题33圆锥曲线中的探索性问题-2024年新高考数学之圆锥曲线专项重难点突破练(新高考专用)(解析版)_02高考数学_2024年新高考资料_3.2024专项复习
专题33圆锥曲线中的探索性问题-2024年新高考数学之圆锥曲线专项重难点突破练(新高考专用)(解析版)_02高考数学_2024年新高考资料_3.2024专项复习
专题33圆锥曲线中的探索性问题-2024年新高考数学之圆锥曲线专项重难点突破练(新高考专用)(解析版)_02高考数学_2024年新高考资料_3.2024专项复习
专题33圆锥曲线中的探索性问题-2024年新高考数学之圆锥曲线专项重难点突破练(新高考专用)(解析版)_02高考数学_2024年新高考资料_3.2024专项复习
专题33圆锥曲线中的探索性问题-2024年新高考数学之圆锥曲线专项重难点突破练(新高考专用)(解析版)_02高考数学_2024年新高考资料_3.2024专项复习
专题33圆锥曲线中的探索性问题-2024年新高考数学之圆锥曲线专项重难点突破练(新高考专用)(解析版)_02高考数学_2024年新高考资料_3.2024专项复习
专题33圆锥曲线中的探索性问题-2024年新高考数学之圆锥曲线专项重难点突破练(新高考专用)(解析版)_02高考数学_2024年新高考资料_3.2024专项复习
专题33圆锥曲线中的探索性问题-2024年新高考数学之圆锥曲线专项重难点突破练(新高考专用)(解析版)_02高考数学_2024年新高考资料_3.2024专项复习
专题33圆锥曲线中的探索性问题-2024年新高考数学之圆锥曲线专项重难点突破练(新高考专用)(解析版)_02高考数学_2024年新高考资料_3.2024专项复习
专题33圆锥曲线中的探索性问题-2024年新高考数学之圆锥曲线专项重难点突破练(新高考专用)(解析版)_02高考数学_2024年新高考资料_3.2024专项复习
专题33圆锥曲线中的探索性问题-2024年新高考数学之圆锥曲线专项重难点突破练(新高考专用)(解析版)_02高考数学_2024年新高考资料_3.2024专项复习

文档信息

文档格式
docx
文档大小
1.463 MB
文档页数
25 页
上传时间
2026-04-13 11:11:06

文档内容

专题33 圆锥曲线中的探索性问题 一、单选题 1.已知两点 及直线l:① ;② ;③ ;④ , 在直线l上存在点P满足 的所有直线方程是( ) A.①② B.①③ C.②③ D.②④ 【解析】 即 ,故点P满足的方程为以 为焦点, 的双曲 线的右支,则 , ,即 . 其渐近线为 ,故① 不满足,③ 满足; ② 过 ,在焦点 右侧,故满足; ④ 过 ,且斜率为 ,故不满足. 综上有②③直线与 相交,即直线上存在点P满足 .故选:C 2.若椭圆 上存在点 ,满足 ( 为坐标原点),则 的离心率的取值 范围为( ) A. B. C. D. 【解析】设椭圆 的长半轴长、短半轴长、半焦距分别为 , , , 由题意知 , , , 由椭圆 上存在点 满足 ,等价于以 为原点,以 为半径的圆与椭圆有交点, 得 ,所以 ,解得 ,所以 .又 ,所以 的离心率的取值范围为 .故选:D. 3.已知双曲线 的左顶点为A,若在双曲线的右支上存在两点M,N,使△AMN为等 边三角形,且右焦点为△AMN的重心,则该双曲线的离心率为( ) A. B.2 C. D. 【解析】设双曲线的右焦点为 ,左焦点为 ,如图,连接MF, . 由△AMN为等边三角形,F为△AMN的重心,得 . 由图形的对称性可知, . 又因为△AMF是等腰三角形,所以 . 在 中,由余弦定理得 , 即 , 整理得 ,即 ,由于 , , 则 ,所以 ,故双曲线的离心率 ,故选:C. 4.已知双曲线 的离心率为3,斜率为 的直线 分别交F的左右两支于A,B两 点,直线 分别交F的左、右两支于C,D两点, , 交 于点E,点E恒在直线l上,若直线l 的斜率存在,则直线的方程为( )x+4 y=0 A. B. C. D. 【解析】由题得 , 设 的中点 的中点 , 则 ,得 , 所以 ,所以 ①,同理得 ②, 因为 ,则E,M,N三点共线,所以 ,将①②代入得 ,即 ,因为直线l的斜率存在,所以 , 所以 ,即点E在直线 上.故选:A. 5.已知抛物线 : 的( )焦点为 ,准线为 ,过 的直线 交抛物线 于 , 两点, 若在直线 上存在一点 ,使 是等边三角形,则直线 的斜率为( ) A. B. C. D. 【解析】设直线 的方程为 , , , 的中点为 , 联立方程组 ,整理可得 , 则 , ,所以 , ,要使 是等边三角形,则 且 , 即 , 所以 ,将②式代入①式整理,可得 , 所以 ,所以 ,所以 ,所以直线 的斜率为 ,故选: . 6.已知椭圆 ,若椭圆上存在两点 、 关于直线 对称,则 的取值范围是( ) A. B. C. D. 【解析】椭圆 ,即: , 设椭圆上两点 关于直线 对称, 中点为 , 则 , , 所以 ,∴ , ∴ ,代入直线方程 得 ,即 , 因为 在椭圆内部,∴ ,解得 , 即 的取值范围是 .故选:A. 7.已知直线 和椭圆 若对任意实数 ,直线 与椭圆 恒有公 共点,且存在实数 使得直线 与椭圆 仅有一个公共点, 的离心率的取值范围为 ,则椭圆的长轴长的取值范围是( ) A. B. C. D. 【解析】由题意知直线 经过定点 ,对任意实数 ,直线 与椭圆 恒有公共点,且存在实数 使 得直线 与椭圆 仅有一个公共点,则点 在椭圆 上, 所以 ,即 ,所以 为半焦距 , 因为 ,即 ,所以 ,所以 , 因为 ,所以 ,所以 ,所以 , 所以 ,即 的长轴长的取值范围是 故选:C. 8.已知 、 是双曲线或椭圆的左、右焦点,若椭圆或双曲线上存在点 ,使得点 ,且存在 ,则称此椭圆或双曲线存在“阿圆点”,下列曲线中存在“阿圆点”的是( ) A. B. C. D. 【解析】对于A选项, , 、 , , 所以 , , 到焦点距离的最小值为 ,最大值为 , 假设存在点 ,满足 ,则 ,解得 ,不合乎题意, 所以A选项中的椭圆不存在“阿圆点”; 对于B选项, , 、 , , 所以 , , 到焦点距离的最小值为 ,最大值为 , 假设存在点 ,满足 ,则 ,解得 ,不合乎题意,所以B选项中的椭圆不存在“阿圆点”; 对于C选项,双曲线的方程为 , 则双曲线的两个焦点为, 、 , . 到焦点距离的最小值为 , 若双曲线上存在点 ,使得点 到两个焦点 、 的距离之比为 , 可得 所以C选项中的双曲线存在“阿圆点”; 对于D选项,双曲线的标准方程为 , 则 , , 、 ,所以 , , 到焦点距离的最小值为 , 若双曲线上存在点 ,使得点 到两个焦点 、 的距离之比为 , 则 ,解得 , 所以D选项中的双曲线不存在“阿圆点”.故选:C. 二、多选题 9.已知双曲线 : ,点 为双曲线右支上的一个动点,过点 分别作两条渐近线的垂线,垂 足分别为 , 两点,则下列说法正确的是( ) A.双曲线的离心率为 B.存在点 ,使得四边形 为正方形 C.直线 , 的斜率之积为2 D.存在点 ,使得【解析】对于A,由双曲线 : ,得 , 故 ,A正确; 对于B,双曲线 : 的渐近线为 ,则四边形 为矩形, 又双曲线右顶点为 , 到直线 的距离均为 ,故矩形 为正方形, 即存在点 ,即M为双曲线右顶点时,使得四边形 为正方形,B正确; 对于C,设 ,不妨设A在第一象限,B在第四象限, 由于 ,故可得 的方程为 , 联立 ,可得 ,则 , 同理 ,可得 的方程为 , 联立 ,可得 ,则 , 故 ,而 ,故 ,C错误; 对于D,由以上解析可知 , 同理 , 故 , 根据双曲线的对称性,不妨假设M在第一象限,则 ,故 ,令 , 将 代入 ,即有 ,显然不可能, 即双曲线上不存在点 ,使得 ,D错误, 故选:AB 10.将曲线 和曲线 合成曲线 .斜率为 的直线 与 交于 两 点, 为线段 的中点,则( ) A.曲线 所围成图形的面积小于36 B.曲线 与其对称轴仅有两个交点 C.存在 ,使得点 的轨迹总在某个椭圆上 D.存在 ,使得点 的轨迹总在某条直线上 【解析】过曲线 与坐标轴的交点作相应坐标轴的垂线(如图所示),以四条线的交点为顶点的四边形为 边长是6的正方形,曲线 在该正方形内,故 及其内部区域的面积小于正方形的面积36,故A正确; 曲线 的对称轴仅有 轴,且 与 轴仅有2个公共点,故B正确; 若 ,此时可设 的方程为 ,易求 的坐标分别为 , ,故 中点坐 标为 ,设 ,故 ,消去 得 ,即 的轨迹在椭圆 上,若 ,设 的方程为 ,若 均在 上,利用点差法,易求 ,同理 若 均在 上,易求 ,显然 ,故此时点 不可能总落在某条直线上,故C正确, D错误. 故选:ABC.11.已知拋物线 ,点 均在抛物线 上,点 ,则( ) A.直线 的斜率可能为 B.线段 长度的最小值为 C.若 三点共线,则存在唯一的点 ,使得点 为线段 的中点 D.若 三点共线,则存在两个不同的点 ,使得点 为线段 的中点 【解析】设 在抛物线上,且满足 , 对于A,假如直线 的斜率可以为 ,则 由于 ,则该方程无解,所以直线 的斜率不可能为 ,故A错误, 对于B, ,记 , 记 单调递增, 由于 ,因此 单调递增, 当 时, 单调递减,故当 时, 取最小值5, 因此 的最小值为 ,故B正确, 对于C,若 三点共线, 为线段 的中点,则 ,将 代入抛物线方程中得 , 故 有两个不相等的实数根,所以满足条件的点 不唯一,故C错误,D正确, 故选:BD 12.在平面直角坐标系 中,由直线 上任一点 向椭圆 作切线,切点分别为 、 , 点 在 轴的上方,则( ) A.当点 的坐标为 时, B.当点 的坐标为 时,直线 的斜率为 C.存在点 ,使得 为钝角 D.存在点 ,使得 【解析】设点 、 ,先证明出椭圆 在其上一点 处的切线方程为 , 由题意可得 , 联立 可得 ,即 , 即方程组 只有唯一解, 因此,椭圆 在其上一点 处的切线方程为 ,同理可知,椭圆 在其上一点 处的切线方程为 , 因为点 为直线 上一点,设点 , 则有 ,即 ,所以,点 、 的坐标满足方程 , 所以,直线 的方程为 , 对于A选项,当点 的坐标为 ,即 ,此时直线 的方程为 , 由 可得 ,即点 ,此时 ,A对; 对于B选项,当 的坐标为 时,即 时,此时,直线 的斜率为 ,B错; 对于C选项,联立 可得 , ,由韦达定理可得 , , ,同理 , 所以, , 因此, 恒为锐角,C错;对于D选项,若点 为椭圆的上顶点,则 轴,此时 , 所以,点 不是椭圆的上顶点,线段 的中点为 , 所以, , , 存在点 ,使得 ,则 ,则 , 化简可得 ,因为 , , 所以, ,即 , 因为 ,解得 ,因此,存在点 ,使得 ,D对. 故选:AD. 三、填空题 13.已知点 , 关于坐标原点 对称, , 过点 , 且与直线 相切,若存在定点 , 使得当 运动时, 为定值,则点 的坐标为 . 【解析】 为圆 的一条弦, 是弦 的中点,所以圆心 在线段 的中垂线上, 设 ,因为 与直线 相切,所以 的半径为 , 因为 ,所以 ,因为 ,即 , 化简得 的轨迹方程为 . 因为曲线 : 是以点 为焦点,以直线 为准线的抛物线, 若 为焦点 ,则 .因为 , 所以存在满足条件的定点 ,其坐标为 .14.已知抛物线 的焦点为 ,直线 ,点 ,点 分别是抛物线 、直线 上的动点,若 点 在某个位置时,仅存在唯一的点 使得 ,则满足条件的所有 的值为 . 【解析】设 , ,抛物线 的焦点为 ,由抛物线定义, , , , , , , 又 ,即 ,代入上式可得 , , ,①当 时,可得 ,解得 , 由 ,得 ,此时方程只有一个解,满足题意, , ②当 时,由 , 解得 ,代入 ,可得 , 求得 ,可得 , 综上所述, 的值为 或 . 15.不与 轴重合的直线 经过点 ,双曲线 : 上存在两点A,B关于 对称,AB中点M的横坐标为 ,若 ,则 的值为 . 【解析】设 ,则 ,两式相减得 , 即 ,即 ,所以 , 因为 是AB垂直平分线,有 ,所以 , 即 ,化简得 ,故 ,则 . 16.已知抛物线 , 为抛物线内一点,不经过P点的直线 与抛物线相交于 A、B两点,直线AP、BP分别交抛物线于C、D两点,若对任意直线l,总存在 ,使得 , 成立,则 . 【解析】由题意设 , 由 可得: , 可得: ,同理可得: , 则: (*)且 .则 . 将 两点代入抛物线方程得 , 作差可得: ,而直线 与抛物线相交于A、B两点, ,即, 同理可得, ,代入(*),可得 , 四、解答题 17.椭圆 的离心率为 ,过椭圆焦点并且垂直于长轴的弦长度为1. (1)求椭圆 的标准方程; (2)若直线 与椭圆 相交于 , 两点,与 轴相交于 点,若存在实数 ,使得 , 求 的取值范围. 【解析】(1)因为该椭圆的离心率为 ,所以有 , 在方程 中,令 ,解得 , 因为过椭圆焦点并且垂直于长轴的弦长度为1, 所以有 ,由 可得: ,所以椭圆的方程为 ; (2)当直线 不存在斜率时,由题意可知直线与椭圆有两个交点,与纵轴也有两个交点不符合题意; 当直线 存在斜率时,设为 ,所以直线 的方程设为 , 于是有 , 因为该直线与椭圆有两个交点,所以一定有 , 化简,得 ,设 ,于是有 , 因为 ,所以 , 代入 中,得 ,于是有 , 化简,得 ,代入 中,得 . 18.已知椭圆 : 的离心率为 ,其左、右焦点为 、 ,过 作不与 轴重合的 直线 交椭圆 于 、 两点, 的周长为8. (1)求椭圆 的方程; (2)设线段 的垂直平分线 交 轴于点 ,是否存在实数 ,使得 ?若存在,求出 的值; 若不存在,请说明理由. (3)以 为圆心4为半径作圆,过 作直线 交圆 于 、 两点,求四边形 的面积的最小值及 取得最小值时直线 的方程. 【解析】(1)根据椭圆定义知 周长为 , 依题意有 ,从而 ,故椭圆 的方程为 ;(2)设 : , , , 由 ,因为 所以 , ,所以 , 设线段 中点坐标为 ,则 , , 即设线段 中点坐标为 , 所以线段 的垂直平分线 方程为: , 令 ,当 时, 与 轴重合,不合题意; 当 时,得 ,即点 ,所以 , 所以 ,即存在 满足题设; (3)直线 : ,即 , 圆心 到直线 的距离为 , 则弦 的长: , 所以 , 设 ,则 ,且 ,所以 ,易知 在 单调递增, 所以当 ,即 时, ,此时直线 : . 19.已知椭圆 的中心为O,左、右焦点分别为 , ,M为椭圆C上一点,线段 与圆 相切于该线段的中点N,且 的面积为4. (1)求椭圆C的方程; (2)椭圆C上是否存在三个点A,B,P,使得直线AB过椭圆C的左焦点 ,且四边形 是平行四边形? 若存在,求出直线AB的方程;若不存在.请说明理由. 【解析】(1)连接 ,则 , 因为 为 的中点, 为 的中点,所以 ,故 , , ,解得 , 由椭圆定义可知, ,解得 , 由勾股定理得 ,即 ,解得 , 故 ,故椭圆方程为 ; (2)由题意得 ,当直线 的斜率不存在时,即 ,此时 ,解得 ,设 , 由于 ,由对称性可知, 为椭圆左顶点 ,但 ,故不合要求,舍去, 当直线 的斜率存在时,设为 , 联立 得, , , 设 ,则 , ,则 中点坐标为 , 假设存在点P,使得四边形 是平行四边形,则 , 将 代入椭圆 中,得 , 解得 , 此时直线AB的方程为 . 20.已知 为抛物线 : 的焦点, 为坐标原点.过点 且斜率为1的直线 与抛物线 交于 , 两点,与 轴交于点 .(1)若点 在抛物线 上,求 ; (2)若 的面积为 ,求实数 的值; (3)是否存在以 为圆心、2为半径的圆,使得过曲线 上任意一点 作圆 的两条切线,与曲线 交于另 外两点 , 时,总有直线 也与圆 相切?若存在,求出此时 的值;若不存在,请说明理由. 【解析】(1)抛物线 : 的焦点 ,由点 在抛物线 上,则 ,解得 所以 (2)设直线 的方程为 ,原点 到直线 的距离为 联立 ,设 , 整理得 ,其中 ,解得 由韦达定理得 , ,所以 所以 ,解得 (3)设直线 的方程为 ,则 ,设 则圆 的方程为 .设 , , , 直线 的斜率 所以直线 的方程为 , 整理得则直线 与圆 相切得 , 即 , 同理可得 , 易知 ,否则直线与抛物线只有一个交点, 所以 是方程 的两个根, 由韦达定理得 直线 的方程 与圆 相切得 , 两边平方得 , 即 , 化简得 上式对任意的 恒成立,所以 ,解得 或3 当 时, ,舍去; 当 时, ,符合,此时 综上,存在定圆 ,过曲线 上任意一点 作圆 的两条切线,与曲线 交于另外两点 , 时,总有直线 也与圆 相切. 21.已知椭圆 的左,右顶点分别为 ,上,下顶点分别为 ,四边形的内切圆的面积为 ,其离心率 ;抛物线 的焦点与椭圆 的右焦点 重合.斜率为k的直线l过抛物线 的焦点且与椭圆 交于A,B两点,与抛物线 交于C,D两点. (1)求椭圆 及抛物线 的方程; (2)是否存在常数 ,使得 为一个与k无关的常数?若存在,求出 的值;若不存在,请说明理 由. 【解析】(1)由椭圆 可知: , 所以直线 的方程为: ,即 , 因为四边形 的内切圆的面积为 ,所以原点O到直线 的距离为 , 即 ①,因为离心率 ,所以 ②,又 ③, 由①②③可得: ,所以椭圆 的方程为: , 因为抛物线 的焦点与椭圆 的右焦点重合, 所以 ,所以 ,从而抛物线 的方程为: . (2)由(1)知:抛物线 焦点为 .由题意,设直线l: , 设 , , , , 由 可得: ,所以 , 所以 ,由 可得: ,所以 , 因为直线l过抛物线 的焦点,所以 , 所以 , 设 ,则 , 由 可得: . 22.已知椭圆 : 的离心率为 , , 为 的左、右焦点,若过右焦点 的直线 与椭圆 交于不同的两点 , , 的周长为8. (1)求椭圆 的方程; (2)已知过点 且斜率为 的直线 与椭圆 有两个不同的交点 ,在 轴上是否存在一点 ,使得 是以点 为直角顶点的等腰直角三角形?若存在,求出 的值及点 的坐标;若不存在,说明理由. 【解析】(1)根据题意及椭圆的定义可知 ,又因为 , ,所以 , ,故椭圆的方程为 . (2)由题意可设直线 的方程为 ,联立 消 整理得 , 由 ,解得 , 设 , ,则 , , , , 设 中点 ,故 , 假设存在 和点 ,使得 是以 为直角顶点的等腰直角三角形, 则 ,故 ,所以 ,解得 ,故 , 又因为 ,所以 , 所以 ,即 , 整理得 , 所以 ,所以 ,即 ,此时,当 时, ,当 时, ,所以在 轴上存在点 ,使得 是以点 为直角顶点的等腰直角三角形, 当 时, ,当 时, .