二维井眼轨道辅助设计绘图软件-简单模式
http://www.petroleumcloud.cn/pages/362.html
http://www.petroleumcloud.cn/pages/363.html
http://www.petroleumcloud.cn/pages/364.html
http://www.petroleumcloud.cn/pages/365.html

轨道类型包括三段式、多靶三段式、五段式和双增式。可根据用户输入的数据进行井眼轨道的绘制来辅助轨道设计。输入完整轨道数据,通过数学几何关系计算出关键参数,进行限制条件对比,判断是否符合工程要求。在可行条件下进行二维绘图并展示井眼轨道,供对比选择和辅助井眼轨道设计。
1.三段式
当所需的钻达目的位置是以靶点形式存在时(即已知目的坐标的水平位移和垂直深度),可以采用三段式的轨道类型进行设计。三段式是典型的直-增-直形式所组成的轨道,是最简单的轨道形式,工程难度最小,结构安全性能最高。目的靶点、靶段的井斜角有较大的适用范围,当井斜角不断增加时三段式井眼轨道会趋近于水平井的特殊形式,水平井的井斜角会接近90°,在特殊情况或需要下甚至可以超过90°,适用于厚度较小的油气储层和裂缝性油气储层。同时也可作为注水井增加能量,提高产能。但其设计存在一定局限性,绕障能力较差,只能通过一次增斜来规避地下限制条件,并且由于没有稳斜段来进行井斜调整,其目标储层的层顶和层底深度数据,以及工具造斜率等需十分确定。详细使用步骤如下:
① 数据输入,图形中各参数意义示意图如下

②按确定开始计算与绘图结果,网页中操作方法示意图如下

③ 计算结果和井眼轨道图形展示

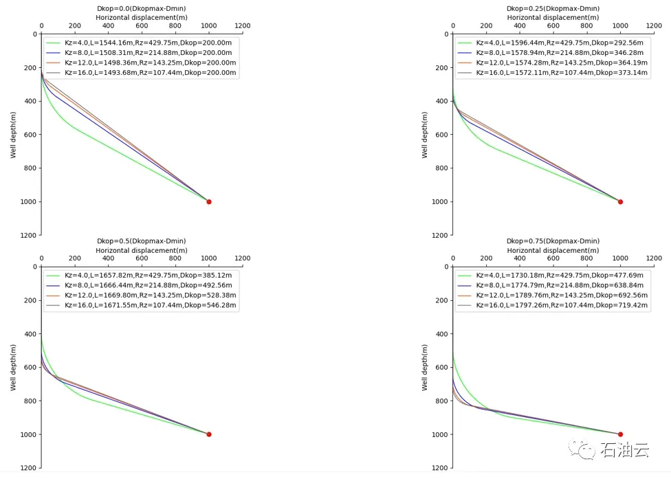
井眼轨道图中横轴为水平位移(Horizontal displacement),纵轴为垂直深度(Well depth)。从井口至目标靶点,井眼轨道由黑色曲线表示,红点位置为输入的靶点位置。右上方图例中显示造斜点深度Dkop,曲线下方显示井眼轨道总长度(length overall)。程序会基于用户给定的数据和预设值进行图像绘制,共四幅图像,每个图中存在四条井眼轨道,每条轨道的造斜率不同,默认值分别为4、8、12、16°/30m。程序会计算各自的总轨道长度;造斜段曲率半径;造斜深度的信息,分别对应不同的狗腿严重度,在图例中展示。四幅图像的分组依据是造斜深度,分别对应最低造斜深度、0.25倍、0.5倍、0.75倍的最大许用深度(最深造斜深度-最低造斜深度)。用户可根据地层信息和工程要求对比选择合适的井眼轨道。
④如果用户输入的数据在该工程条件下无法绘制,会弹出错误提示并不会显示图像。每幅图中的每一条井眼轨道单独判断,如果部分轨道满足要求,依然会显示图像,但不符合要求的轨道曲线不会显示。


2.多靶三段式



轨迹设计
一个完整的轨迹工程及数据管理系统
轨迹设计模块提供了全面的功能,可在交互式且直观的用户界面中规划和建模良好的轨迹,并在运营期间及之后进行调查管理。按照 ISCWSA 最新修订版中描述的所有行业标准,模拟并管理您的防碰撞风险。
通过 Oliasoft API 进行自动油井轨迹设计和误差建模,并连接到实时数据以对油井路径进行实时监控。





自动规划能力
我们先进的平台技术使用户能够探索自动规划能力,具备将应用程序内传统上由人工执行的任何任务自动化的能力。
通过简单的井眼轨迹规则来标准化垫井
自动减压井生成器,能够生成精确的减压井模型,用于我们的井喷和关井模块。
探索我们的自动槽/垫设计功能,它使得能够将地下目标定义为任意数量的槽,并根据轨迹参数限制自动计算到所有目标的轨迹。
通过迭代扫描,我们的热图方法系统地探索表面区域,使用复杂的优化算法来识别最优垫井位置。
对坐标系的全面支持
该平台通过 IOGP EPSG CRS 地球大地参数数据集为坐标系和大地测量学提供了全面支持,所有内容均以交互式地图形式呈现。能够将不同坐标参考系中的位置进行转换和转换。
明确各种形状和方向的地下地质目标以及您将要钻探穿透的岩层。

按目标构建
从众多参数化的构建选项中进行选择,以便在您所定义的地层层段中构建良好的井眼轨迹,并实现您所设定的地质目标。根据规划的井眼轨迹以及与之相关的井眼路径不确定性来管理司钻的目标。

交互式 3D 查看器
以一个完整的交互式 Web-GL 3D 查看器的形式呈现,该查看器允许用户在三维空间中导航和研究地层、目标和井眼路径,并提供使用行业标准图表(如平面图、剖面图、梯形图、流动圆柱图等)的结果展示。

不确定性及防碰撞计算
只需一键操作,即可针对任何靠近的偏移井或站点/油田进行所有不确定性及防碰撞计算。可指定并上传诸如随钻测量(MWD)、固定式和连续式陀螺模型等任何误差工具代码。所有不确定性及防碰撞计算均遵循 ISCWSA 所描述的最新修订标准。

调查管理
具备注册调查运行、定义调查计划以及存储最终调查结果的调查管理能力。通过行业标准的调查管理图表对调查数据进行质量保证/质量控制,并能够实时查看您的调查数据以对照原始设计进行对比。如果您希望提前跟踪项目进度,可以使用规划方法,并通过 3D 视图轻松定义一个能够重回计划轨道的交汇点。

https://oliasoft.com/oliasoft-welldesign/trajectory-design
【手把手教程】
请在微信客户端打开
夜雨聆风