当前位置:首页>文档>2024年中考押题预测卷01(成都卷)-数学(参考答案)_2数学总复习_赠送:2024中考模拟题数学_押题预测_2024年中考押题预测卷01(成都卷)-数学(含考试版、全解全析、参考答案、答题卡)

2024年中考押题预测卷01(成都卷)-数学(参考答案)_2数学总复习_赠送:2024中考模拟题数学_押题预测_2024年中考押题预测卷01(成都卷)-数学(含考试版、全解全析、参考答案、答题卡)

  • 2026-04-12 10:25:09 2026-02-05 15:48:30

文档预览

2024年中考押题预测卷01(成都卷)-数学(参考答案)_2数学总复习_赠送:2024中考模拟题数学_押题预测_2024年中考押题预测卷01(成都卷)-数学(含考试版、全解全析、参考答案、答题卡)
2024年中考押题预测卷01(成都卷)-数学(参考答案)_2数学总复习_赠送:2024中考模拟题数学_押题预测_2024年中考押题预测卷01(成都卷)-数学(含考试版、全解全析、参考答案、答题卡)
2024年中考押题预测卷01(成都卷)-数学(参考答案)_2数学总复习_赠送:2024中考模拟题数学_押题预测_2024年中考押题预测卷01(成都卷)-数学(含考试版、全解全析、参考答案、答题卡)
2024年中考押题预测卷01(成都卷)-数学(参考答案)_2数学总复习_赠送:2024中考模拟题数学_押题预测_2024年中考押题预测卷01(成都卷)-数学(含考试版、全解全析、参考答案、答题卡)
2024年中考押题预测卷01(成都卷)-数学(参考答案)_2数学总复习_赠送:2024中考模拟题数学_押题预测_2024年中考押题预测卷01(成都卷)-数学(含考试版、全解全析、参考答案、答题卡)
2024年中考押题预测卷01(成都卷)-数学(参考答案)_2数学总复习_赠送:2024中考模拟题数学_押题预测_2024年中考押题预测卷01(成都卷)-数学(含考试版、全解全析、参考答案、答题卡)
2024年中考押题预测卷01(成都卷)-数学(参考答案)_2数学总复习_赠送:2024中考模拟题数学_押题预测_2024年中考押题预测卷01(成都卷)-数学(含考试版、全解全析、参考答案、答题卡)
2024年中考押题预测卷01(成都卷)-数学(参考答案)_2数学总复习_赠送:2024中考模拟题数学_押题预测_2024年中考押题预测卷01(成都卷)-数学(含考试版、全解全析、参考答案、答题卡)
2024年中考押题预测卷01(成都卷)-数学(参考答案)_2数学总复习_赠送:2024中考模拟题数学_押题预测_2024年中考押题预测卷01(成都卷)-数学(含考试版、全解全析、参考答案、答题卡)
2024年中考押题预测卷01(成都卷)-数学(参考答案)_2数学总复习_赠送:2024中考模拟题数学_押题预测_2024年中考押题预测卷01(成都卷)-数学(含考试版、全解全析、参考答案、答题卡)
2024年中考押题预测卷01(成都卷)-数学(参考答案)_2数学总复习_赠送:2024中考模拟题数学_押题预测_2024年中考押题预测卷01(成都卷)-数学(含考试版、全解全析、参考答案、答题卡)
2024年中考押题预测卷01(成都卷)-数学(参考答案)_2数学总复习_赠送:2024中考模拟题数学_押题预测_2024年中考押题预测卷01(成都卷)-数学(含考试版、全解全析、参考答案、答题卡)
2024年中考押题预测卷01(成都卷)-数学(参考答案)_2数学总复习_赠送:2024中考模拟题数学_押题预测_2024年中考押题预测卷01(成都卷)-数学(含考试版、全解全析、参考答案、答题卡)
2024年中考押题预测卷01(成都卷)-数学(参考答案)_2数学总复习_赠送:2024中考模拟题数学_押题预测_2024年中考押题预测卷01(成都卷)-数学(含考试版、全解全析、参考答案、答题卡)

文档信息

文档格式
docx
文档大小
0.793 MB
文档页数
10 页
上传时间
2026-02-05 15:48:30

文档内容

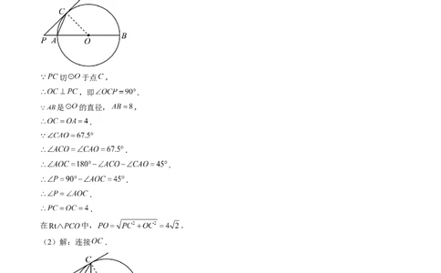
绝密★启用前 2024 年中考押题预测卷 01【成都卷】 数 学 一、选择题(本大题共8个小题,每小题4分,共32分) 1 2 3 4 5 6 7 8 A B A B D A A B 二、填空题(本大题共5个小题,每小题4分,共20分) 9. 10. 或 11. 12. 13. 三、解答题(本大题共5个小题,共48分) 14.(本小题满分12分,每题6分) (1)【答案】 【详解】解:原式 . (2)【答案】解集为 ,整数解有 ,0 【详解】解: , 由①得: ;由②得: 不等式组的解集为 ;∴整数解有 ,0. 15.(本小题满分8分) 【答案】(1)150;补全条形统计图见详解;(2)36;(3)680;(4)为了节约和保护环境请同学们尽量不要乘坐 私家车(答案不唯一) 【详解】(1)解:(1)本次抽样调查的人数为 (人 , 方式人数未 (人 补全图形如下: 故答案为:150;(2)扇形统计图中“ 步行”上学方式所对的圆心角是 ,故答案为:36; (3)估计该校“ 骑车”上学的人数约是 (人 ,故答案为:680; (4)为了节约和保护环境请同学们尽量不要乘坐私家车(答案不唯一). 16.(本小题满分8分) 【答案】(1)点D到水平线 的距离为 ;(2) 【详解】(1)解:如图1,作 于 ,则 , 斜坡 的坡比 , , 设 ,则 , 由题意得: , , ,解得: , , 点 到水平线 的距离为 ; (2)解:如图2,作 于 , 则 , 四边形 为矩形, , , 设 ,则 , , , ,,解得: , , 砖塔 的高度为 . 17.(本小题满分10分) 【答案】(1) , ;(2) 【详解】(1)解:连接 . 切 于点 , ,即 . 是 的直径, , . . . . . . 在 中, . (2)解:连接 . , , 是等边三角形. . 同(1)可得 ,, . , .即 , 又 是 的直径, . 是等边三角形, , . 在 中, . . 18.(本小题满分10分) 【答案】(1) , ;(2) 或 ;(3) 【详解】(1)解:把 代入一次函数 得, ,解得 ,∴一次函数解析式为 ; 把 代入 得到 ,解得 , ∴点C的坐标是 , 把点C 代入 得到 ,解得 , ∴反比例函数解析式为 ; (2)解:当 时, ,∴点B的坐标是 , 设点M的坐标为 ,则 , ∵ ∴ ,解得 或 ,∴点M的坐标为 或 (3)解:如图,直线 与x轴交于M,过M作 于N,过C作 于H,设 ,则 ,设直线 的解析式为 ,将M、C的坐标代入得: , 解得 , ∴ , 在 中, ∵ , , ∴ ,即 ∴ , ∵ , ∴ , ∵ , 整理得: , 解得 或 , ∵P在第二象限, ∴当 时, ,应舍去, ∴ , 当 时,设直线 的解析式为: , 则 ;解得 直线 的解析式为: ,∴ , 解得 , ∵ 与 重合,∴点P的坐标为 . B 卷(共50分) 一、填空题(本大题共5个小题,每小题4分,共20分) 19. 20.32 +96 21. 22.6 23. 9871 4761 二、解答题(本大题共3个小题,共30分) 24.(本小题满分8分) 【答案】(1)甲、乙坚果每盒的进价分别为 元和 元;(2)总利润的最大值为 元;(3) 或 【详解】(1)解:设甲坚果每盒的进价为 元,则:乙坚果每盒的进价为 元,由题意,得: , 解得: (舍去)或 , 经检验: 是原方程的根; ∴ ; 答:甲、乙坚果每盒的进价分别为 元和 元; (2)设购进甲坚果的数量为 盒,则购进乙坚果的数量为 盒, 由题意,得: ,解得: , ∴ 的最大整数解为:35, 设总利润为 ,则: , ∴当 时, 有最大值: ; 故总利润的最大值为 元. (3)设第二次购进的甲坚果与乙坚果的数量分别为 和 , 由题意,得: ,解得: , ∵第二次两种坚果全部售完后获得的总利润为3600元, ∴ , 整理,得: , ∵ 均为正整数, ∴ 或 ,∴ 或 . 25.(本小题满分10分) 【答案】(1) ;(2)存在, ;(3) 点的坐标为 或 或 【详解】(1)解:∵抛物线 与x轴交于点 和 , ∴交点式为 , ∴抛物线的表示式为 ; (2)解:在射线 上存在一点H,使 的周长最小, 如图,延长 到 ,使 ,连接 , 与 交点即为满足条件的点H, ∵ 时, , ∴ , ∴ , ∴ ,直线 解析式为 , ∵射线 绕点A顺时针旋转 得射线 , ∴ , ∴ , ∴直线 解析式为 , ∵ , ∴ , 垂直平分 , ∴ , ∴当 、H、B在同一直线上时, 最小, 设直线 解析式为 ,∴ ,解得: , ∴直线 : , ∵ ,解得: , ∴点H坐标为 ; (3)解:设 ,则 , ∴ , , ①当 时, , ∴ 或 , 解得 (舍去)或 (舍去), ∴Q点的坐标为 或 ; ②当 时,如图, ∵ 轴, ∴ , ∴ , ∴ (舍去), ∴Q点的坐标为 . 综上所述,当 是以 为腰的等腰三角形时,Q点的坐标为 或 或 . 26.(本小题满分12分)【答案】(1) ,2;(2) ,理由见详解;(3) 【详解】(1)解:(1) , , , , 由翻折的性质可知, , , , 又 , , 又 , , , 由翻折的性质可知, , , , , 四边形 为正方形, , , , , , , , ,即 , 故答案为: ,2; (2) ,理由如下: 由(1)可知, , , , ; (3)过 作 ,交 延长线于 ,作 的平分线,交 于 ,如图, , , , ,, 又 , , , , , , , , , , , , , 设 , 四边形 为菱形, , , , , , , , 由勾股定理可得: , ,解得: ,即 的长为 .