当前位置:首页>文档>2025年中考数学几何模型综合训练(通用版)专题10三角形中的重要模型之特殊三角形中的分类讨论模型解读与提分精练(教师版)_2数学总复习_2025中考复习资料

2025年中考数学几何模型综合训练(通用版)专题10三角形中的重要模型之特殊三角形中的分类讨论模型解读与提分精练(教师版)_2数学总复习_2025中考复习资料

  • 2026-04-12 15:27:52 2026-02-05 19:04:48

文档预览

2025年中考数学几何模型综合训练(通用版)专题10三角形中的重要模型之特殊三角形中的分类讨论模型解读与提分精练(教师版)_2数学总复习_2025中考复习资料
2025年中考数学几何模型综合训练(通用版)专题10三角形中的重要模型之特殊三角形中的分类讨论模型解读与提分精练(教师版)_2数学总复习_2025中考复习资料
2025年中考数学几何模型综合训练(通用版)专题10三角形中的重要模型之特殊三角形中的分类讨论模型解读与提分精练(教师版)_2数学总复习_2025中考复习资料
2025年中考数学几何模型综合训练(通用版)专题10三角形中的重要模型之特殊三角形中的分类讨论模型解读与提分精练(教师版)_2数学总复习_2025中考复习资料
2025年中考数学几何模型综合训练(通用版)专题10三角形中的重要模型之特殊三角形中的分类讨论模型解读与提分精练(教师版)_2数学总复习_2025中考复习资料
2025年中考数学几何模型综合训练(通用版)专题10三角形中的重要模型之特殊三角形中的分类讨论模型解读与提分精练(教师版)_2数学总复习_2025中考复习资料
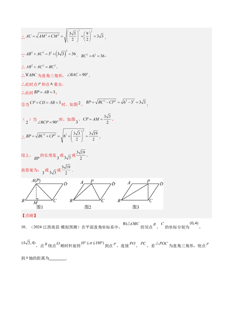
2025年中考数学几何模型综合训练(通用版)专题10三角形中的重要模型之特殊三角形中的分类讨论模型解读与提分精练(教师版)_2数学总复习_2025中考复习资料
2025年中考数学几何模型综合训练(通用版)专题10三角形中的重要模型之特殊三角形中的分类讨论模型解读与提分精练(教师版)_2数学总复习_2025中考复习资料
2025年中考数学几何模型综合训练(通用版)专题10三角形中的重要模型之特殊三角形中的分类讨论模型解读与提分精练(教师版)_2数学总复习_2025中考复习资料
2025年中考数学几何模型综合训练(通用版)专题10三角形中的重要模型之特殊三角形中的分类讨论模型解读与提分精练(教师版)_2数学总复习_2025中考复习资料
2025年中考数学几何模型综合训练(通用版)专题10三角形中的重要模型之特殊三角形中的分类讨论模型解读与提分精练(教师版)_2数学总复习_2025中考复习资料
2025年中考数学几何模型综合训练(通用版)专题10三角形中的重要模型之特殊三角形中的分类讨论模型解读与提分精练(教师版)_2数学总复习_2025中考复习资料
2025年中考数学几何模型综合训练(通用版)专题10三角形中的重要模型之特殊三角形中的分类讨论模型解读与提分精练(教师版)_2数学总复习_2025中考复习资料
2025年中考数学几何模型综合训练(通用版)专题10三角形中的重要模型之特殊三角形中的分类讨论模型解读与提分精练(教师版)_2数学总复习_2025中考复习资料
2025年中考数学几何模型综合训练(通用版)专题10三角形中的重要模型之特殊三角形中的分类讨论模型解读与提分精练(教师版)_2数学总复习_2025中考复习资料
2025年中考数学几何模型综合训练(通用版)专题10三角形中的重要模型之特殊三角形中的分类讨论模型解读与提分精练(教师版)_2数学总复习_2025中考复习资料
2025年中考数学几何模型综合训练(通用版)专题10三角形中的重要模型之特殊三角形中的分类讨论模型解读与提分精练(教师版)_2数学总复习_2025中考复习资料
2025年中考数学几何模型综合训练(通用版)专题10三角形中的重要模型之特殊三角形中的分类讨论模型解读与提分精练(教师版)_2数学总复习_2025中考复习资料
2025年中考数学几何模型综合训练(通用版)专题10三角形中的重要模型之特殊三角形中的分类讨论模型解读与提分精练(教师版)_2数学总复习_2025中考复习资料
2025年中考数学几何模型综合训练(通用版)专题10三角形中的重要模型之特殊三角形中的分类讨论模型解读与提分精练(教师版)_2数学总复习_2025中考复习资料
2025年中考数学几何模型综合训练(通用版)专题10三角形中的重要模型之特殊三角形中的分类讨论模型解读与提分精练(教师版)_2数学总复习_2025中考复习资料
2025年中考数学几何模型综合训练(通用版)专题10三角形中的重要模型之特殊三角形中的分类讨论模型解读与提分精练(教师版)_2数学总复习_2025中考复习资料
2025年中考数学几何模型综合训练(通用版)专题10三角形中的重要模型之特殊三角形中的分类讨论模型解读与提分精练(教师版)_2数学总复习_2025中考复习资料
2025年中考数学几何模型综合训练(通用版)专题10三角形中的重要模型之特殊三角形中的分类讨论模型解读与提分精练(教师版)_2数学总复习_2025中考复习资料
2025年中考数学几何模型综合训练(通用版)专题10三角形中的重要模型之特殊三角形中的分类讨论模型解读与提分精练(教师版)_2数学总复习_2025中考复习资料
2025年中考数学几何模型综合训练(通用版)专题10三角形中的重要模型之特殊三角形中的分类讨论模型解读与提分精练(教师版)_2数学总复习_2025中考复习资料
2025年中考数学几何模型综合训练(通用版)专题10三角形中的重要模型之特殊三角形中的分类讨论模型解读与提分精练(教师版)_2数学总复习_2025中考复习资料
2025年中考数学几何模型综合训练(通用版)专题10三角形中的重要模型之特殊三角形中的分类讨论模型解读与提分精练(教师版)_2数学总复习_2025中考复习资料
2025年中考数学几何模型综合训练(通用版)专题10三角形中的重要模型之特殊三角形中的分类讨论模型解读与提分精练(教师版)_2数学总复习_2025中考复习资料
2025年中考数学几何模型综合训练(通用版)专题10三角形中的重要模型之特殊三角形中的分类讨论模型解读与提分精练(教师版)_2数学总复习_2025中考复习资料
2025年中考数学几何模型综合训练(通用版)专题10三角形中的重要模型之特殊三角形中的分类讨论模型解读与提分精练(教师版)_2数学总复习_2025中考复习资料
2025年中考数学几何模型综合训练(通用版)专题10三角形中的重要模型之特殊三角形中的分类讨论模型解读与提分精练(教师版)_2数学总复习_2025中考复习资料
2025年中考数学几何模型综合训练(通用版)专题10三角形中的重要模型之特殊三角形中的分类讨论模型解读与提分精练(教师版)_2数学总复习_2025中考复习资料
2025年中考数学几何模型综合训练(通用版)专题10三角形中的重要模型之特殊三角形中的分类讨论模型解读与提分精练(教师版)_2数学总复习_2025中考复习资料
2025年中考数学几何模型综合训练(通用版)专题10三角形中的重要模型之特殊三角形中的分类讨论模型解读与提分精练(教师版)_2数学总复习_2025中考复习资料
2025年中考数学几何模型综合训练(通用版)专题10三角形中的重要模型之特殊三角形中的分类讨论模型解读与提分精练(教师版)_2数学总复习_2025中考复习资料
2025年中考数学几何模型综合训练(通用版)专题10三角形中的重要模型之特殊三角形中的分类讨论模型解读与提分精练(教师版)_2数学总复习_2025中考复习资料
2025年中考数学几何模型综合训练(通用版)专题10三角形中的重要模型之特殊三角形中的分类讨论模型解读与提分精练(教师版)_2数学总复习_2025中考复习资料
2025年中考数学几何模型综合训练(通用版)专题10三角形中的重要模型之特殊三角形中的分类讨论模型解读与提分精练(教师版)_2数学总复习_2025中考复习资料
2025年中考数学几何模型综合训练(通用版)专题10三角形中的重要模型之特殊三角形中的分类讨论模型解读与提分精练(教师版)_2数学总复习_2025中考复习资料
2025年中考数学几何模型综合训练(通用版)专题10三角形中的重要模型之特殊三角形中的分类讨论模型解读与提分精练(教师版)_2数学总复习_2025中考复习资料
2025年中考数学几何模型综合训练(通用版)专题10三角形中的重要模型之特殊三角形中的分类讨论模型解读与提分精练(教师版)_2数学总复习_2025中考复习资料
2025年中考数学几何模型综合训练(通用版)专题10三角形中的重要模型之特殊三角形中的分类讨论模型解读与提分精练(教师版)_2数学总复习_2025中考复习资料
2025年中考数学几何模型综合训练(通用版)专题10三角形中的重要模型之特殊三角形中的分类讨论模型解读与提分精练(教师版)_2数学总复习_2025中考复习资料
2025年中考数学几何模型综合训练(通用版)专题10三角形中的重要模型之特殊三角形中的分类讨论模型解读与提分精练(教师版)_2数学总复习_2025中考复习资料
2025年中考数学几何模型综合训练(通用版)专题10三角形中的重要模型之特殊三角形中的分类讨论模型解读与提分精练(教师版)_2数学总复习_2025中考复习资料
2025年中考数学几何模型综合训练(通用版)专题10三角形中的重要模型之特殊三角形中的分类讨论模型解读与提分精练(教师版)_2数学总复习_2025中考复习资料
2025年中考数学几何模型综合训练(通用版)专题10三角形中的重要模型之特殊三角形中的分类讨论模型解读与提分精练(教师版)_2数学总复习_2025中考复习资料
2025年中考数学几何模型综合训练(通用版)专题10三角形中的重要模型之特殊三角形中的分类讨论模型解读与提分精练(教师版)_2数学总复习_2025中考复习资料
2025年中考数学几何模型综合训练(通用版)专题10三角形中的重要模型之特殊三角形中的分类讨论模型解读与提分精练(教师版)_2数学总复习_2025中考复习资料
2025年中考数学几何模型综合训练(通用版)专题10三角形中的重要模型之特殊三角形中的分类讨论模型解读与提分精练(教师版)_2数学总复习_2025中考复习资料
2025年中考数学几何模型综合训练(通用版)专题10三角形中的重要模型之特殊三角形中的分类讨论模型解读与提分精练(教师版)_2数学总复习_2025中考复习资料
2025年中考数学几何模型综合训练(通用版)专题10三角形中的重要模型之特殊三角形中的分类讨论模型解读与提分精练(教师版)_2数学总复习_2025中考复习资料
2025年中考数学几何模型综合训练(通用版)专题10三角形中的重要模型之特殊三角形中的分类讨论模型解读与提分精练(教师版)_2数学总复习_2025中考复习资料
2025年中考数学几何模型综合训练(通用版)专题10三角形中的重要模型之特殊三角形中的分类讨论模型解读与提分精练(教师版)_2数学总复习_2025中考复习资料
2025年中考数学几何模型综合训练(通用版)专题10三角形中的重要模型之特殊三角形中的分类讨论模型解读与提分精练(教师版)_2数学总复习_2025中考复习资料
2025年中考数学几何模型综合训练(通用版)专题10三角形中的重要模型之特殊三角形中的分类讨论模型解读与提分精练(教师版)_2数学总复习_2025中考复习资料
2025年中考数学几何模型综合训练(通用版)专题10三角形中的重要模型之特殊三角形中的分类讨论模型解读与提分精练(教师版)_2数学总复习_2025中考复习资料
2025年中考数学几何模型综合训练(通用版)专题10三角形中的重要模型之特殊三角形中的分类讨论模型解读与提分精练(教师版)_2数学总复习_2025中考复习资料
2025年中考数学几何模型综合训练(通用版)专题10三角形中的重要模型之特殊三角形中的分类讨论模型解读与提分精练(教师版)_2数学总复习_2025中考复习资料
2025年中考数学几何模型综合训练(通用版)专题10三角形中的重要模型之特殊三角形中的分类讨论模型解读与提分精练(教师版)_2数学总复习_2025中考复习资料
2025年中考数学几何模型综合训练(通用版)专题10三角形中的重要模型之特殊三角形中的分类讨论模型解读与提分精练(教师版)_2数学总复习_2025中考复习资料
2025年中考数学几何模型综合训练(通用版)专题10三角形中的重要模型之特殊三角形中的分类讨论模型解读与提分精练(教师版)_2数学总复习_2025中考复习资料
2025年中考数学几何模型综合训练(通用版)专题10三角形中的重要模型之特殊三角形中的分类讨论模型解读与提分精练(教师版)_2数学总复习_2025中考复习资料
2025年中考数学几何模型综合训练(通用版)专题10三角形中的重要模型之特殊三角形中的分类讨论模型解读与提分精练(教师版)_2数学总复习_2025中考复习资料
2025年中考数学几何模型综合训练(通用版)专题10三角形中的重要模型之特殊三角形中的分类讨论模型解读与提分精练(教师版)_2数学总复习_2025中考复习资料
2025年中考数学几何模型综合训练(通用版)专题10三角形中的重要模型之特殊三角形中的分类讨论模型解读与提分精练(教师版)_2数学总复习_2025中考复习资料
2025年中考数学几何模型综合训练(通用版)专题10三角形中的重要模型之特殊三角形中的分类讨论模型解读与提分精练(教师版)_2数学总复习_2025中考复习资料
2025年中考数学几何模型综合训练(通用版)专题10三角形中的重要模型之特殊三角形中的分类讨论模型解读与提分精练(教师版)_2数学总复习_2025中考复习资料

文档信息

文档格式
docx
文档大小
4.610 MB
文档页数
65 页
上传时间
2026-02-05 19:04:48

文档内容

专题10 三角形中的重要模型之特殊三角形中的分类讨论模型 特殊三角形(等腰三角形和直角三角形)的分类讨论模型,是初中各类考试中几何压轴题的常客,并 且形式多样,内容新颖,能较好地考查同学们的应用意识和思维能力。在历年中考当中,很多考生因为在 处理等腰三角形和直角三角形有关的多解问题时,常常考虑不全面,导致漏解丢分。在学习等腰或直角三 角形的性质和判定时,分类讨论的思想尤为重要,希望大家要认真对待。本专题将把特殊三角形分类讨论 情形作系统的归纳与介绍,方便大家对它有个全面的了解与掌握。 .........................................................................................................................................................................................2 模型1.等腰三角形中的分类讨论模型-对角(边)与高的分类讨论模型..................................................2 模型2.等腰三角形中的分类讨论模型-对边的分类讨论模型......................................................................5 模型3.直角三角形中的分类讨论模型-斜边(或直角)不确定的直角三角形模型................................13 模型4.直角三角形中的分类讨论模型-直角三角形存在性模型................................................................15 ..................................................................................................................................................26模型1.等腰三角形中的分类讨论模型-对角(边)与高的分类讨论模型 1)若等腰三角形没有明确角的种类,要分类讨论;从锐角等腰三角形和钝角等腰三角形的角度入手分顶 角与底角两种情况进行分类讨论。当然有时候已知条件是以边的形式给出,我们讨论顶角和底角与讨论底 和腰的原理相同。 2)若等腰三角形没有明确高的位置,要分类讨论;从锐角等腰三角形和钝角等腰三角形的角度入手分腰 上高与底边高、界内高与界外高两种情况进行分类讨论。 例1.(24-25九年级上·山东·期末)若等腰 内接于 , , ,则 底角 的度数为( ) A. B. C. 或 D. 或 【答案】C 【分析】画出相应图形,分 为锐角三角形和钝角三角形2种情况解答即可.本题考查的是三角形外 接圆和外心,三角形圆周角定理及等腰三角形的性质,分情况探讨是解决本题的易错点;用到的知识点为: 同弧所对的圆周角等于圆心角的一半;圆内接四边形的对角互补. 【详解】解:(1)圆心 在 外部, 在优弧 上任选一点 ,连接 , . ∵ , , ; , ; (2)圆心 在 内部.∵ ,∴ ,, .综上所述, 底角的度数为 或 ,故选:C. 例2.(2023·四川广元·八年级校联考期中)已知等腰三角形一腰上的高与另一腰的夹角为 ,那么这个 等腰三角形的顶角等于( ) A. B. 或 C. 或 D. 【答案】B 【分析】分三角形是锐角三角形时,利用直角三角形两锐角互余求解;三角形是钝角三角形时,利用三角 形的一个外角等于与它不相邻的两个内角的和列式计算即可得解. 【详解】如图1,三角形是锐角三角时, , 顶角 ; 如图 ,三角形是钝角时, , 顶角 , 综上所述,顶角等于 或 .故选:B. 【点睛】本题考查了等腰三角形的性质,直角三角形的两个锐角互余,难点在于分情况讨论,作出图形更 形象直观. 例3.(2023春·山东枣庄·八年级校考期中)已知x,y满足 ,则以 , 的值为两边长的 等腰三角形的周长是( ) A.20或16 B.20 C.16 D.以上答案均不对 【答案】B 【分析】利用非负数的性质,求出 , 的值,利用分类讨论的思想思考问题即可. 【详解】解: ,又 , , , , 当等腰三角形的边长为4,4,8时,不符合三角形的三边关系; 当等腰三角形的三边为8,8,4时,周长为20,故选:B.【点睛】本题考查等腰三角形的概念、非负数的性质、三角形的三边关系等知识,解题的关键是熟练掌握 基本知识,属于中考常考题型. 例4.(2024八年级上·湖北·专题练习)等腰三角形三边长分别为 , , ,则等腰三角形的周 长为( ) A.10 B.7或10 C.7或4 D.10或7或4 【答案】B 【分析】本题考查了等腰三角形的定义、一元一次方程的应用、三角形三边关系,根据等腰三角形的定义, 分三种情况,分别得出一元一次方程,解方程结合三角形三边关系判断即可得解. 【详解】解:①当 为底边长时,腰长为 , , ∵三角形为等腰三角形, ,解得 ,∴ , ,∵ ,∴构不成三角形; ②当 为底边长时,腰长为 , ,∵三角形为等腰三角形, ,解得 , ∴ , ,符合三角形三边关系, 等腰三角形的周长为 ; ③当 为底边长时,腰长为 , ,∵三角形为等腰三角形, ,解得 , ∴ , ,符合三角形三边关系, 等腰三角形的周长为 . 综上,等腰三角形的周长为7或10,故选:B. 例5.(24-25八年级上·浙江嘉兴·阶段练习)等腰三角形一腰上的中线将这个等腰三角形的周长分为 和 两部分,那么这个等腰三角形的底边长是 . 【答案】 / 厘米 【分析】本题考查了等腰三角形的定义(至少有两边等长或相等的三角形)、二元一次方程组的几何应用、 三角形的三边关系定理;依据题意,正确分两种情况讨论是解题关键.如图(见解析),分① ;② 两种情况,再分别根据等腰三角形 的定义建立二元一次方程组,解方程组可得等腰三角形的三边长,然后利用三角形的三边关系定理进行检 验即可得. 【详解】解:如图, 是等腰三角形, 是腰 上的中线, 设 ,则 ,由题意,分以下两种情况:①当 时,则 ,解得 , 此时等腰三角形的三边长分别为 ,不满足三角形的三边关系定理,舍去; ②当 时,则 ,解得 , 此时等腰三角形的三边长分别为 ,满足三角形的三边关系定理, 因此,这个等腰三角形的底边长为 .故答案为: . 模型2.等腰三角形中的分类讨论模型-对边的分类讨论模型 1)等腰三角形没有明确边的种类,要分类讨论;结合三角形三边关系分腰与底边两种情况进行分类讨论。 2)坐标系中的等腰三角形的分类讨论。 等腰三角形的两种分类讨论方法 方法1. “两圆一线”;(一般符合“两个定点一个动点”的等腰三角形)。 如图:已知A, O 两点是定点,在坐标轴上找一点P构成等腰△OAP 。 OA ①以已知线段 为底作它的垂直平分线,与坐标轴的交点即为点P(有2个); OA O ②以已知线段 为腰:用线段的两个端点为圆心,线段长为半径,分别作圆。(以 为圆心的有4个, 以A为圆心的有2个)。具体题目要通过计算这些点的坐标来考虑是否出现重叠现象。方法2. “三边两两相等分三种情况”讨论,先列出三种情况,再首先选最简单的那种情况先解答。 若是“两个动点一个定点”,多采用第二种方法分类讨论。但就算是用第二种方法分类讨论,也可以先用 “两圆一线”确定符合等腰三角形的点可能有几个及这些点的大致位置。 例1.(2024·山东·统考二模)在平面直角坐标系中, 为坐标原点,点 的坐标为 ,若 为 轴 上一点,且使得 为等腰三角形,则满足条件的点 有( ) A.2个 B.3个 C.4个 D.5个 【答案】A 【分析】分别以O、A为圆心,以OA长为半径作圆,与x轴交点即为所求点M,再作线段OA的垂直平分 线,与坐标轴的交点也是所求的点M,作出图形,利用数形结合求解即可. 【详解】解:如图, 满足条件的点M的个数为2.故选A.【点睛】本题考查了坐标与图形的性质及等腰三角形的判定;对于底和腰不等的等腰三角形,若条件中没 有明确哪边是底哪边是腰时,应在符合三角形三边关系的前提下分类讨论. 例2.(2023·福建南平·八年级校考期中)已知△ABC中,如果过顶点B的一条直线把这个三角形分割成 两个三角形,其中一个为等腰三角形,另一个为直角三角形,则称这条直线为△ABC的关于点B的二分割 线.如图1,Rt ABC中,显然直线BD是△ABC的关于点B的二分割线.在图2的△ABC中,∠ABC= 110°,若直线B△D是△ABC的关于点B的二分割线,则∠CDB的度数是 . 【答案】40°或90°或140° 【分析】分三种情况讨论,由等腰三角形的性质和直角三角形的性质可求解. 【详解】解:①如图,当∠DBC=90°,AD=BD时,直线BD是△ABC的关于点B的二分割线, ∵∠ABC=110°,∠DBC=90°,∴∠ABD=20°, ∵AD=BD,∴∠A=∠ABD=20°,∴∠CDB=∠A+∠ABD=40°; ②如图,当∠BDC=90°,AD=BD时,直线BD是△ABC的关于点B的二分割线,或当∠BDC=90°, CD=BD时,直线BD是△ABC的关于点B的二分割线,; ③如图,当∠ABD=90°,CD=BD时,直线BD是△ABC的关于点B的二分割线, ∵∠ABC=110°,∠ABD=90°,∴∠DBC=20°,∵CD=BD,∴∠C=∠DBC=20°,∴∠BDC=140°. 综上所述:当∠BDC的度数是40°或90°或140°时,直线BD是△ABC的关于点B的二分割线. 【点睛】本题是三角形综合题,考查了等腰三角形的性质,直角三角形的性质,理解二分割线是本题关键. 例3.(2023·江苏泰州·统考中考真题)如图, 中, , ,射线 从射线 开始 绕点C逆时针旋转 角 ,与射线 相交于点D,将 沿射线 翻折至 处,射 线 与射线 相交于点E.若 是等腰三角形,则 的度数为 .【答案】 或 或 【分析】分情况讨论,利用折叠的性质知 , ,再画出图形,利用三角形 的外角性质列式计算即可求解. 【详解】解:由折叠的性质知 , , 当 时, , 由三角形的外角性质得 ,即 ,此情况不存在; 当 时, , , 由三角形的外角性质得 ,解得 ; 当 时, ,∴ , 由三角形的外角性质得 ,解得 ; 当 时, ,∴ , ∴ ; 综上, 的度数为 或 或 .故答案为: 或 或 . 【点睛】本题考查折叠的性质,三角形的外角性质,等腰三角形的性质,画出图形,数形结合是解题关键. 例4.(2023春·四川达州·八年级校考期中)在直角坐标系中,O 为坐标原点,已知点 A(1,2),点 P 是 y 轴正半轴上的一点,且 AOP 为等腰三角形,则点 P 的坐标为 . △【答案】 【分析】有三种情况:①以O为圆心,以OA为半径画弧交y轴于D,求出OA即可;②以A为圆心,以 OA为半径画弧交y轴于P,求出OP即可;③作OA的垂直平分线交y轴于C,则AC=OC,根据勾股定 理求出OC即可. 【详解】有三种情况: ①以O为圆心,以OA为半径画弧交y轴于D,则OA=OD= ;∴D(0, ); ②以A为圆心,以OA为半径画弧交y轴于P,OP=2×y =4,∴P(0,4); A ③作OA的垂直平分线交y轴于C,则AC=OC,由勾股定理得:OC=AC= , ∴OC= ,∴C(0, );故答案为: . 【点睛】本题主要考查对线段的垂直平分线,等腰三角形的性质和判定,勾股定理,坐标与图形性质等知 识点的理解和掌握,能求出符合条件的所有情况是解此题的关键. 例5.(2024·江苏泰州·八年级校联考阶段练习)如图1, 中, 于D,且 ,(1)试说明 是等腰三角形;(2)已知 ,如图2,动点M从点B出发以每秒 的速度沿线 段 向点A运动,同时动点N从点A出发以相同速度沿线段 向点C运动,当其中一点到达终点时整 个运动都停止.设点M运动的时间为t(秒),①若 的边与 平行,求t的值;②若点E是边 的中点,问在点M运动的过程中, 能否成为等腰三角形?若能,求出t的值;若不能,请说明理由. 【答案】(1)见解析(2)①5或6;②9或10或 【分析】(1)设 ,则 ,由勾股定理求出 ,即可得出结论; (2)由 的面积求出 ;①当 时, ;当 时, ;得出方程,解方程即可; ②由直角三角形的性质得出 ,根据题意得出当点M在 上,即 时, 为等腰三角 形,有3种可能: ; ; ;分别得出方程,解方程即可. 【详解】(1)证明:设 ,则 , 在 中, ,∴ ,∴ 是等腰三角形; (2)解:设 ,则 , ,而 ,∴ 则 , 由题意可知当点M到达点A时点N刚好到达点C,此时 . ①当 时, ,即 ,∴ ; 当 时, ,得: ; ∴若 的边与 平行,t值为5或6.②∵点E是边 的中点, ,∴ cm, 当点M在 上,即 时, 为钝角三角形,但 ; 当 时,点M运动到点D,不构成三角形 当点M在 上,即 时, 为等腰三角形,有3种可能. 如果 ,则 ,∴ ; 如果 ,则点M运动到点A,∴ ; 如果 cm,过点E作 于F,如图3所示: 此时 cm,∵ ,∴ cm ∵ ,∴ cm, ∵ cm,则在 中, ,∴ . 综上所述,符合要求的t值为9或10或 . 【点睛】本题考查了勾股定理、等腰三角形的判定与性质、平行线的性质、解方程等知识;本题有一定难 度,需要进行分类讨论才能得出结果.例6.(2024·四川成都·八年级校考期中)如图,在平面直角坐标系内,点O为坐标原点,经过 的 直线交x轴正半轴于点B,交y轴于点 ,直线 交x轴负半轴于点D,若 的面积为 (1)求直线 的表达式和点D的坐标;(2)横坐标为m的点P在线段 上(不与点 重合),过点P作 x轴的平行线交 于点E,设 的长为 ,求y与m之间的函数关系式并直接写出相应的m取值 范围;(3)在(2)的条件下,在x轴上是否存在点F,使 为等腰直角三角形?若存在求出点F的坐标; 若不存在,请说明理由. 【答案】(1) (2) (3)存在,点F的坐标为 或 或 【分析】(1)据直线 交 轴正半轴于点 ,交 轴于点 , ,设直线 解析式为 , 把 的坐标代入求得 的值,从而求得 的坐标,再根据三角形的面积建立方程求出 的值,求出 的 值,从而求出 点的坐标; (2)直接根据待定系数法求出 的解析式,先根据 的坐标求出直线 的解析式,将 点的横坐标代入直线 的解析式,求出 的纵坐标,将 的纵坐标代入直线 的解 析式就可以求出 的横坐标,根据线段的和差关系就可以求出结论;(3)要使 为等腰直角三角形, 分三种情况分别以点 为直角顶点,据等腰直角三角形的性质求出(2)中 的值,就可以求出 点的坐标. 【详解】(1)解: ,∴设直线 的解析式为 , ∵直线 经过 , , , ∴直线 的解析式为 , , ,的面积为 , , , , , 直线 的解析式为 (2)解:设直线 的解析式为 , , ∴ ,解得 .∴直线 的解析式为 ; ∵点P在 上,且横坐标为m, , 轴,∴E的纵坐标为 , 代入 得, ,解得 , , 的长 ;即 , ; (3)解:在x轴上存在点F,使 为等腰直角三角形, ①当 时,如图①,有 , , , ,解得 ,此时 ; ②当 时,如图②,有 , 的长等于点E的纵坐标, , ,解得: , ∴点E的横坐标为 ,∴ ; ③当 时,如图③,有 , . , .作 ,点R为垂足, , , .同理 , . ∵点R与点E的纵坐标相同, ,∴ ,解得: , ,∴点F的横坐标为 , .综上,在x轴上存在点F使 为等腰直角三角形,点F的坐标为 或 或 . 【点睛】本题考查了等腰直角三角形的性质,三角形的面积公式的运用,待定系数法求一次函数的解析式 的运用,解答本题时求出函数的解析式是关键. 模型3.直角三角形中的分类讨论模型-斜边(或直角)不确定的直角三角形模型 若直角三角形没有明确谁直角(斜边),要分类讨论;从直角(斜边)入手分三种情况进行讨论。 例1.(2024·浙江嘉兴·三模)已知直角三角形两边长为3,4,则该直角三角形斜边上的中线长为( ) A.2或2.5 B.5或 C.2.5或 D.2.5或 【答案】A 【分析】本题考查了勾股定理,直角三角形斜边上的中线性质,合理分类讨论斜边的长是解题的关键.分 类讨论斜边的情况,根据斜边上的中线等于斜边的一半求解即可. 【详解】解:当 和 为直角边时,则斜边 ,中线 , 当斜边为 时,中线 ,∴斜边的长为 或 ,故选:A. 例2.(2023春·河南郑州·八年级校考期中)如图, 是 的角平分线, 是 的高, , ,点F为边 上一点,当 为直角三角形时,则 的度数为 .【答案】 或 【分析】分情况讨论:①当 时,②当 时,根据角平分线和三角形高线的定义分别 求解即可. 【详解】解:如图所示,当 时, ∵ 是 的角平分线, , ∴ ,∴ 中, ; 如图,当 时,同理可得 , ∵ ,∴ , ∴ , 综上所述: 的度数为 或 .故答案为: 或 . 【点睛】本题考查角平分线和高线的定义,三角形外角的性质,三角形内角和定理,掌握分类讨论的思想 是解题的关键. 例3.(2023·辽宁葫芦岛·二模)如图,在 中, , , ,点D是 的中 点,点E是斜边 上一动点,沿 所在直线把 翻折到 的位置, 交 于点F,若 为直角三角形,则 的长为 . 【答案】1或【分析】本题考查翻折变换、勾股定理、解直角三角形、全等三角形的判定和性质等知识,分 , 两种情形分别画出图形,结合三角函数及勾股定理求解即可得到答案; 【详解】解:如图,当 时. 在 中,∵ , ,∴ , , ∵ ,∴ ,∵ ,∴ ,∴ , ∴ ,∴ , ,∴ , , , 如图,当 时,作 交 的延长线于H.设 , ∵ , ,∴ ,∴ , ∵ ,∴ ,在 中, , , , 在 中,∵ ,∴ ,解得 , 综上所述,满足条件的 的值为1或 ,故答案为:1或 . 模型4.直角三角形中的分类讨论模型-直角三角形存在性模型 直角三角形存在性的问题,首先需要观察图形,判断直角顶点是否确定。若不确定,则需要进行分类讨论, 如下面模型构建。直角三角形存在性的问题常考背景有翻折(折叠)、动点、旋转等。 “两定一动”直角三角形存在性问题:(常见与坐标系综合、或结合翻折(折叠)、动点、旋转等)。问题:已知点A,B和直线l,在l上求点P,使△PAB为直角三角形. 分三种情况,如图: ①以A为直角顶点,即∠BAP=90°:过点A作AB的垂线,与已知直线l的交点P 即为所求; 1 ②以B为直角顶点,即∠ABP=90°:过点B作AB的垂线,与已知直线l的交点P 即为所求; 2 ③以P为直角顶点,即∠APB=90°:以AB的中点Q为圆心,QA的长为半径画圆,与已知直线l的交点 P,P 即为所求. 3 4 代数法计算:分别表示出点A,B,P的坐标,再分别表示出AB,AP和BP的长,由①BP2=AB2+AP2;② AP2=AB2+BP2;③AB2=AP2+BP2分别列方程求解.若方程有解,则此情况存在;若方程无解,则此情况 不存在。 几何法计算:找相似,利用相似三角形求解,如果图中没有相似三角形,可通过添加辅助线构造相似三角 形。特殊地,若有30°,45°或60°角可考虑用勾股定理或锐角三角函数求解. 例1.(2023九年级·广东·专题练习)如图,已知 ,C为坐标轴上一点,且 是直角 三角形,则满足条件的C点有( )个. A.6 B.7 C.8 D.9 【答案】B【分析】过点 作AB的垂线,交 轴于点 ,交 轴于点 ;过点 作AB的垂线,交 轴于点 ,交 轴于点 ;根据直径所对的圆周角为直角,以AB为直径作圆,根据 和 的坐标求出AB的长度,即为圆 的直径,可得出半径的长,进而判断得出圆与 轴相切,可得出圆与 轴有 个交点,与 轴交于 点.所 以满足条件的点共有 个. 【详解】解:分三种情况考虑: ①当 为直角顶点时,过 作 ,交 轴于点 ,交 轴于点 ,此时满足题意的点为 , ; ②当 为直角顶点时,过 作 ,交 轴于点 ,交 轴于点 ,此时满足题意的点为 , ; ③当 为直角顶点时,以AB为直径作圆,由 、 ,可得此圆与 轴相切, 则此圆与 轴有 个交点,与 轴有 个交点,分别为 . 综上,所有满足题意的 有 个.故选:B. 【点睛】此题考查了圆周角定理,直角三角形以及坐标与图形性质,利用了分类讨论及数形结合的思想. 注意:若 是直角三角形,则它的任意一个顶点都有可能为直角顶点. 例2.(2023·江苏·九年级假期作业)如图,在平面直角坐标系中,已知 ,以 为一边在 外部作等腰直角 .则点 的坐标为 .【答案】 或 或 【分析】分三种情形讨论求解即可.当 时,作 轴于 ,由 ,推出 ,可得 点坐标,同法可得,当 , , ,当 是等腰直角三角形的斜边时, 是 的中点, . 【详解】解:如图,当 时,作 轴于 , ∵ ,∴ ,∴ , ∵ ,∴ ,∴ ,∴ , 同法可得,当 , 当 是等腰直角三角形的斜边时, 是 的中点, , 综上所述,满足条件的点 的坐标为 或 或 .故答案为: 或 或 . 【点睛】本题考查等腰直角三角形的性质、全等三角形的判定和性质、中点坐标公式等知识,解题的关键 是灵活运用所学知识解决问题. 例3.(22-23八年级下·安徽阜阳·期末)如图所示,在 中, ,点 是射线 上的一个动点.(1)当 为直角三角形时, 的长为 . (2)若点 在边 的下方,当 为直角三角形时, 的长为 .【答案】 或 【分析】本题主要考查了勾股定理,含 直角三角形的性质和直角三角形斜边的中线的综合应用. (1)画出图形,在 中得到 ,再用勾股定理计算即可; (2)分两种情况讨论:①当 时,② 时,分别画出图形,然后根据含 直角三角 形的性质、直角三角形斜边的中线的性质或勾股定理,进行计算求解即可. 【详解】(1)∵ ∴ , 当 为直角三角形时,即 , ∵ ,∴ , , 故答案为: . (2)如图1所示,当 时, , 为等边三角形,∴ ; 如图2所示,当 时, , ∴ , , , 又 . .故答案为: 或 . 例4.(23-24九年级上·江西景德镇·期末)如图,等边 的边长为 ,点Q是 的中点,若动点P以 的速度从点A出发沿 方向运动,设运动时间为t秒,连接 ,当 是直角三角 形时,则t的值为 秒. 【答案】 或2或 【分析】此题考查了等边三角形的性质,等腰三角形的判定和性质.此题属于动点问题,难度适中,注意 掌握分类讨论思想与数形结合思想的应用.由等边 的边长为 ,点Q是 的中点,可求得 的长,然后根据 ,得出另外的一个锐角为 ,根据直角三角形的性质即可得出答案. 【详解】解:连接 ,如图所示:∵等边 的边长为 ,点Q是 的中点, ∴ , , ,∴ , 当 时, ,∴ ; ∴当P从 时, ,当P从 时, ; 当 时,点P运动到点B, . 综上分析可知,t的值为 或2或 .故答案为: 或2或 . 例5.(23-24九年级上·湖北武汉·阶段练习)在平面直角坐标系中,已知点A的坐标为(0,2), ABO为 等边三角形,P是x轴上的一个动点(不与O点重合),将线段AP绕A点按逆时针旋转60°,P△点的对应 点为点Q,连接OQ,BQ。(1)点B的坐标为 ;(2)①如图①,当点P在x轴负半轴运动时,求证:∠ABQ=90°; ②当点P在x轴正半轴运动时,①中的结论是否仍然成立?请补全图②,并作出判断(不需要说明理由); (3)在点P运动的过程中,若 OBQ是直角三角形,直接写出点P的坐标. △ 【答案】(1)( ,1)(2)①见解析;②补全图②见解析,成立(3)( ,0)或( ,0) 【分析】(1)过点B作 轴,由等边三角形的性质可知 , ,从而可求出 ,再由含30度角的直角三角形的性质结合勾股定理可求出 , ,从而得出B( , 1);(2)①由旋转的性质可知AP=AQ, ,根据等边三角形的性质可知AO=AB, ,从而可求出 ,进而可求出 ,即易证 ,得出 ;②由题意画图即可,由①同理可证 ,即得出 ; (3)先求出 ,再分类讨论:①当 时,此时点P在x轴负半轴和②当 时,此时点P在x轴负半轴,结合含30度角的直角三角形的性质,勾股定理和全等三角形的性质即可求出 答案. 【详解】(1)解:如图,过点B作 轴,∵点A的坐标为(0,2), ABO为等边三角形,∴ , ,∴ , △ ∴ ,∴ ,∴B( ,1);故答案为:( ,1); (2)①由旋转的性质可知AP=AQ, . ∵ 为等边三角形,∴AO=AB, ,∴ , ∴ ,∴ ,∴ .∵ ,∴ ; ②补全图②如图,①中的结论仍然成立. 由①同理可证 ,∴ ; (3)当点P在x轴负半轴运动时,∵ , ,∴ . 当点P在x轴正半轴运动时,∵ , ,∴ . 综上可知 ,故可分类讨论:①当 时,如图,此时点P在x轴负半轴, ∵ , ,∴ . ∵ ,∴ ,解得: 或 (舍). ∵ ,∴ ,∴P( ,0); ②当 时,如图,此时点P在x轴负半轴, ∵ , ,∴ ,∴ . ∵ ,∴ ,∴P( ,0).综上可知当△OBQ是直角三角形时,点P坐标为( ,0)或( ,0). 【点睛】本题考查坐标与图形,等边三角形的性质,旋转的性质,三角形全等的判定和性质,含30度角的 直角三角形的性质以及勾股定理等知识.利用数形结合和分类讨论的思想是解题关键. 例6.(2023秋·辽宁锦州·八年级统考期末)【模型构建】 如图,将含有 的三角板的直角顶点放在直线l上,过两个锐角顶点分别向直线l作垂线,这样就得到了 两个全等的直角三角形.由于三个直角的顶点都在同一条直线上,因此我们将其称为“一线三直角”,这 模型在数学解题中被广泛使用. 【模型应用】(1)如图1,在平面直角坐标系中,直线 与x轴,y轴分别交于A,B两点,①则 _________;②C,D是正比例函数 图像上的两个动点,连接AD,BC,若 ,则AD的最小值是_______;(2)如图2,一次函数 的图像与y轴,x轴分别交 于A,B两点.将直线 绕点A逆时针旋转 得到直线l,求直线l对应的函数表达式; 【模型拓展】(3)如图3,点A在x轴负半轴上, ,过点A作 轴交直线 于点B,P 是直线 上的动点,Q是y轴上的动点,若 是以其中一个动点为直角顶点的等腰直角三角 形,请直接写出所有符合条件的点P的坐标. 【答案】(1)① ;② (2) (3) 或 或 或 【分析】(1)①先根据函数解析式确定 ,进而得到 ,然后根据等腰直角三 角形的性质即可解答;②根据点到直线的距离垂线段最短,可得当 时,AD有最小值,然后判定可得 ,最后根据勾股定理求解即可;(2)先证 可得 ,进而得到 ,最后根据待定系数法即可解答;(3)分 ,点P 在x轴上方或下方和 点P在x轴上方或下方,四种情况,分别运用全等三角形的判定与性质和 二元一次方程组解答即可 【详解】(1)解:①∵ 与x轴,y轴交于A,B两点,∴ ,∴ , 又∵ ,∴ 为等腰直角三角形,∴ ;故答案为 ; ②∵A是定点,∴如图:当 时, 有最小值; ∵ ,∴ , ∵ ,∴ , 在 和 中, ∴ ,∴ 在 中,由勾股定理得: , ∴ ,∴ 的最小值为 .故答案为 . (2)解:如图,过点B作 交直线l于点C,过点C作 轴.∴ . ∵ ,∴ .∴ .∴ . ∵ ,∴ .∴ . ∵ ,∴ .∴ . 当 时, ,∴ .当 时, ,∴ .∴ . 设直线l对应的函数表达式为 ,将 和 代入,得 解得 ∴ . (3)解:①当 , ,P在x轴的上方, 如图1:过P作 轴,交 于M,交y轴于N,∵ ,∴ , 又∵ ,∴ ,∴ ; ∵直线l: ,∴设 ,∴ ,∴ , ∴ ,∴ ,即 , ①②联立解得: ,∴ ; ②当 , ,P在x轴的下方, 如图2:同①易证: ,∴ ; ∵直线l: ,∴设 ,∴ ,∴ , ∴ ,∴ ,即 , ①②联立解得: ,∴ ; ③当 , ,P在x轴的上方,如图3:易证 ,∴ ;∵直线l: ,∴设 ,∴ ,∴ , ∵ ,∴ ,①②联立解得: ,∴ ; ④当 , ,P在x轴的下方, 如图:易证 ,∴ ; ∵直线l: ,∴设 , ∴ ,∴ ,∵ ,∴ , ①②联立解得: ,∴ . 综上,点P的坐标为 或 或 或 . 【点睛】本题主要考查了一次函数与几何的综合、等腰直角三角形的性质、垂线段最短、全等三角形的判 定与性质等知识点,综合应用所学知识成为解答本题的关键.1.(2023秋·广东八年级课时练习)若 是等腰三角形, ,则 的度数是( ) A. 或 B. 或 C. 或 D. 或 或 【答案】D 【分析】根据等腰三角形性质分情况讨论即可得到答案. 【详解】解: 是等腰三角形, , 当 是顶角时, ; 当 是底角时,①当 时, 则 ;② ; 综上所述, 的度数是 或 或 ,故选:D. 【点睛】本题考查利用等腰三角形性质求角度,根据等腰三角形性质分类讨论是解决问题的关键. 2.(2024·安徽亳州·九年级校联考阶段练习)在平面直角坐标系 中,已知点 关于 轴的对称 点 ,点 是 轴上的一个动点,当 是等腰三角形时, 值个数是( ) A.1个 B.2个 C.3个 D.4个 【答案】D 【分析】首先根据关于y轴对称的点的坐标规律可得P′的坐标为(2,1),再根据 P′TO是等腰三角形分 △三种情况情况讨论:P′Q=P′O时;P′Q=QO时;OQ=P′O时分别求解即可. 【详解】∵点P(-4,3),∴关于y轴的对称点P′的坐标为(4,3), 则 ,对于 P′QO是等腰三角形分三种情况情况讨论: △ (1)当 是等腰三角形的底边时,点 就是 的垂直平分线与 轴的交点,根据三角形相似可得: ,则 的值是 ; (2)当 是等腰三角形的腰时,若点 是顶角顶点,则点 就是以点 为圆心,以 为半径的圆与 轴 的交点,其坐标分别是 ,则 的值是8; 若点 是顶角顶点,则点 就是以点 为圆心,以 为半径的圆与 轴有2个交点,其坐标分别为 、 ,则 的值是5或-5. 由(1)(2)可知t的值是 或8或5或-5.综上 值个数是4个.故选:D. 【点睛】此题主要考查了等腰三角形的判定,关键是掌握等腰三角形的判定. 3.(23-24九年级上·广东深圳·阶段练习)在平面直角坐标系 中,过原点 及点 、 作长 方形 , 的平分线交 于点 .点 从点 出发,以每秒 个单位长度的速度沿射线 方向 移动;同时点 从点 出发,以每秒2个单位长度的速度沿x轴正方向移动.设移动时间为 秒,当 为直角三角形时 为( ) A.2或 B.2或 C. 或 D.2或 或【答案】D 【分析】要使 为直角三角形,显然只有当∠PQB=90°或∠PBQ=90°,进而利用勾股定理分别分析得 出 , , ,再分别就∠PQB=90°或 ∠PBQ=90°讨论,求出符合题意的t值即可. 【详解】作PG⊥OC于点G,在Rt POG中, △ ∵∠POQ=45°,∴∠OPG=45°,∵OP= ,∴OG=PG=t,∴点P(t,t), ∵Q(2t,0),B(6,2),根据勾股定理得, , , , 当∠PQB=90°,则 ,即 , 整理得: ,解得t=0(舍)或t=2,∴t=2; 当∠PBQ=90°,则 ,即 , 整理得: ,解得 ; ∴当t=2或 或 时, 为直角三角形;故选:D. 【点睛】本题主要考查勾股定理,用到的知识点是动点问题、勾股定理的运用,矩形的性质,直角三角形 的性质,解答本题的关键是讨论P点的位置,由题意建立方程从而求出t的值,同时要注意数形结合. 4.(23-24八年级下·江西九江·期末)如图,在 中, ,将一块足够大的直角三角尺 ( , )按如图放置,顶点P在边AC上滑动,三角尺的直角边 始终经过点B,斜 边 交 于点D,若点P在滑动中恰能使 与 均为等腰三角形,则∠C的度数为 .【答案】 或 或 【分析】本题考查了三角形内角和定理,等边对等角等知识,根据①当 , 时,②当 , 时,③当 , 时,④当 , 时,四种情况讨论即可作 答. 【详解】①当 , 时,如图, ∵ , , ∴ , ∵ , ∴ , ∵ , ∴ , ∴ ; ②当 , 时,如图,同①可得: , ∵ , ∴ , ③当 , 时,如图, 同①可得: , ∵ , ∴ ; ④当 , 时,如图, ∵ , , ∴ , ∵ , ∴ , 综上:∠C的度数为 或 或故答案为: 或 或 . 5.(2023春·湖北襄阳·九年级校考期中)等腰三角形一腰上的高与另一腰的夹角为 ,则等腰三角形的 底角的度数是 . 【答案】 或 【分析】等腰三角形分锐角和钝角两种情况,求出每种情况的顶角的度数,再利用等边对等角的性质(两 底角相等)和三角形的内角和定理,即可求出底角的度数. 【详解】如图当 是锐角三角形时, 于D,则 , ∵ , ∴ . ∵ , ∴ ; 如图当 是钝角三角形时, 于H,则 , ∵ , ∴ , ∴ . ∵ , ∴ . 故答案为: 或 . 【点睛】此题考查了等腰三角形的性质,三角形内角和定理,分类思想的应用,解题的关键是熟练掌握以上知识点. 6.(23-24九年级上·江苏常州·阶段练习)如图,在 中, ,点 分 别是 的中点,在射线 上有一动点 ,若 是直角三角形,则 的长为 . 【答案】 或 【分析】此题考查了勾股定理、相似三角形的判定和性质等知识,先求出 , ,当 时,根据直角三角形的性质即可得到 ;当 ,证明 , 利用相似三角形的性质即可得到答案. 【详解】解:∵ , ∴ , ∴ , 当 时, ∵点 分别是 的中点, ; 当 时,如图, ∵点 分别是 的中点, ∴ , , , ∴ , ∴ ,∵ , ∴ ∴ ∴ , ∴ 故答案为: 或 7.(2024·河南郑州·三模)在矩形 中, , 为CD的中点,取 的中点 ,连接 , 当 为直角三角形时, 的长为 . 【答案】 或 【分析】本题考查了矩形的性质,全等三角形的判定和性质,勾股定理,等边三角形的判定和性质,直角 三角形的性质,先证明 ,可得 , ,再分 和 两种情况解答即可求解,运用分类讨论思想解答是解题的关键. 【详解】解:∵四边形 是矩形, ∴ , , , ∵点 为CD的中点, ∴ , ∴ , ∴ , , 当 时,如图,则 , ∴ 为等腰直角三角形, ∴ ;②当 时,如图,则 , ∵点 为 的中点, ∴ 垂直平分 , ∴ , ∵ , ∴ , ∴ 为等边三角形, ∴ , ∴ , ∴ , ∴ ; 综上, 的长为 或 , 故答案为: 或 . 8.(2024·浙江杭州·模拟预测)如图,在 中, , , ,点 是 的中 点,点 是边 上一动点,沿 所在直线把 翻折到 的位置, 交 于点 ,若 为直角三角形,则 的长为 .【答案】 或 【分析】本题考查了折叠的性质、相似三角形的判定和性质、勾股定理等知识,运用分类讨论思想是解题 关键.分两种情况讨论,画出图形分别进行解答即可. 【详解】解:在 中, , , , ∴ , ∴ ∵点 是 的中点, ∴ 由翻折性质得, 不可能为直角, 当 是直角时,如图 , 是直角, , ∴ , , , 由翻折可知 , , , , , ; 当 是直角时,如图 ,连接 、 、 ,由翻折可知 , , ∴ , , , , ∴ , ∵ , , ∴ , , , 又 , ∴ , , ,延长 交 于 ,可得 , ∵ , ∴ 垂直平分 , , 在直角三角形 中,由 , ,∴ 得到 , . 在直角三角形 中, , 将 , 代入①可得 . 故答案为: 或 . 9.(2024·江西南昌·模拟预测)在 中, , , ,点 为平行四边形 边 上的动点,且满足 是直角三角形,则 的长度是 . 【答案】 或 或 【分析】本题考查了平行四边形的性质,直角三角形的性质,勾股定理,分 和 两 种情况画出图形解答即可求解,运用分类讨论思想解答是解题的关键. 【详解】解:∵四边形 是平行四边形, ∴ , ∴ , , , ∵ , ∴ , ( )当 时, ①作 于 ,如图 所示,则 , ∵ , ∴ , ∴ , ∴ , ,∴ , ∵ , , ∴ , ∴ 为直角三角形, , ∴此时点 和点 重合, ∴此时 ; ②当 时,如图 , ; ( )当 时,如图 , , ∴ ; 综上, 的长度是 或 或 , 故答案为: 或 或 . 【点睛】 10.(2024·江西南昌·模拟预测)在平面直角坐标系中, 的顶点 , 的坐标分别为 , ,点 绕点 顺时针旋转 到点 ,连接 , ,若 为直角三角形,则点 到 轴的距离为 .【答案】4,2或 【分析】本题考查了旋转过程中点的坐标的变化,根据特殊角的三角函数值求出 与x轴的夹角是解题 的关键;通过分类讨论,分三种情况逐个求解即可; 【详解】解:当 ,即点P与点B重合时,则P到 轴的距离为4; 当点P与点B不重合,且 时,此时P在第四象限, , , , , , , 的坐标分别为 , , , , , , , 和 轴夹角为 , 到 轴的距离为 , 当 时, 和 轴夹角为 , 到 轴的距离为 , 综上所述, 到 轴的距离为4,2或 . 故答案为:4,2或 .11.(24-25九年级上·贵州贵阳·期中)如图,已知在矩形纸片 中, , ,点 是 的中点,点 是 边上的一个动点,将 沿 所在直线翻折,得到 ,连接 , ,则 当 是等腰三角形时, 的长是 . 【答案】 或1或 【分析】本题考查矩形中的翻折问题,涉及矩形的性质、等腰三角形的性质、正方形的判定和性质、勾股 定理、全等三角形的判定与性质,分类讨论思想的运用是解题的关键.分三种情况考虑,①当 时, 连接 ,则易得 三点共线,在 中,利用勾股定理建立方程即可求解;②当 时,则得四边形 是正方形,即可求解;③当 时,连接 ,则可得 三点共 线,再证明 ,则可得点F是 的中点,从而求解;最后综合上述三种情况即可. 【详解】解:∵四边形 是矩形, ∴ , , ; ∵点 是 的中点, ∴ ; 由折叠性质知: , , ; ①当 时,则 ; 连接 ,则由勾股定理得: ; ∵ , ∴ , ∴ 三点共线, ∴ , 中, , 由勾股定理得: ,解得: ; ②当 时,如图, 则点 在线段 的垂直平分线上, ∴点 在线段 的垂直平分线上, ∵E是 的中点, ∴ 是线段 的垂直平分线, ∴ , ∵ , , ∴四边形 是正方形, ∴ ; ③当 时,连接 ,如图; 则 ; ∵ , ∴ ; ∵ , ∴ 三点共线, ∴ ; ∴ , ∵ , ,∴ , ∴ , ∵ , ∴ ; 综上, 的长为 或1或 . 故答案为: 或1或 . 12.(2023春·河南开封·八年级校考期中)有一面积为 的等腰三角形,它的一个内角是 ,则以它 的腰长为边的正方形的面积为 . 【答案】20或 【分析】由题意知,分等腰三角形的顶角为 和等腰三角形的底角为 两种情况求解:①当等腰三角形 的顶角为 ,如图1,等腰 中 , ,过 作 于 ,设 ,则 ,由 , ,可得 ,求解 的值即可;②当等腰三角形的底 角为 ,如图2,等腰 中 , ,过 作 的延长线于 ,则 , ,设 ,则 ,由勾股定理得 ,由 , ,可得 ,求解 的值即可. 【详解】解:由题意知,分等腰三角形的顶角为 和等腰三角形的底角为 两种情况求解: ①当等腰三角形的顶角为 ,如图1,等腰 中 , ,过 作 于 ,设 ,则 , ∵ , , ∴ ,解得 , ∴以腰长为边的正方形的面积为 ; ②当等腰三角形的底角为 ,如图2,等腰 中 , ,过 作 的延长 线于 ,则 , ∴ , 设 ,则 , 由勾股定理得 , ∵ , , ∴ ,解得 , ∴以腰长为边的正方形的面积为20; 综上所述,以腰长为边的正方形的面积为20或 . 【点睛】本题考查了含 的直角三角形,勾股定理,等腰三角形的定义.解题的关键在于分类讨论. 13.(2023·安徽·九年级专题练习)在矩形 中, , ,点 , 分别为 , 上的两 个动点,将 沿 折叠,点 的对应点为 ,若点 落在射线 上,且 恰为直角三角形, 则线段 的长为 . 【答案】 或 【分析】分两种情况讨论,由勾股定理可得AC=5,通过证明△AFG∽△ABC,由相似三角形的性质可求CF的长. 【详解】解:当 为直角三角形时,按两种情况分析: 如图,当 为直角时,设 . 在 中, , , .由折叠的性质知 . , , , ,即 ,解得: ,故 的长为 . 如图,当 为直角时,设 . , , , . ,即 ,解得: ,故 的长为 , 综上所述, 的长为 或 . 【点睛】本题考查了翻折变换,勾股定理,矩形的性质,相似三角形的判定和性质,证明△AFG∽△ABC 是本题的关键. 14.(2023春·浙江绍兴·八年级校联考期中)如图, ,点 在边 上, ,点 为边 上一动点,连接 , 与 关于 所在的直线对称,点 , 分别为 , 的中点, 连接 并延长交 所在直线于点 ,连接 ,当 为直角三角形时, 的长为【答案】 或2 【分析】当 为直角三角形时,存在两种情况:①当 时,如图1,根据对称的性质和平行 线可得: ,根据直角三角形斜边中线的性质得: ,最后利用勾股定理可得 的 长;②当 时,如图2,证明 是等腰直角三角形,可得 . 【详解】解:当 为直角三角形时,存在两种情况: ①当 时,如图1, 与 关于 所在直线对称, , , 点 , 分别为 , 的中点, 、 是 的中位线, , , , , , , , 是等边三角形, , ; ②当 时,如图2, , , 与 关于 所在直线对称, , 是等腰直角三角形, ; 综上所述, 的长为 或2;故答案为: 或2. 【点睛】本题考查了三角形的中位线定理、勾股定理、轴对称的性质、等腰直角三角形的判定、直角三角 形斜边中线的性质,并利用分类讨论的思想解决问题. 15.(23-24八年级上·江苏南京·阶段练习)定义:如果1条线段将一个三角形分割成2个等腰三角形,我 们把这条线段叫做这个三角形的“双等腰线”.如果2条线段将一个三角形分成3个等腰三角形,我们把 这2条线段叫做这个三角形的“三等腰线”.如图1, 是 的“双等腰线”, 、 是 的“三等腰线”. (1)请在图2三个图中,分别画出 的“双等腰线”,并做必要的标注或说明. ① ;② , ;③ , (2)如果一个等腰三角形有“双等腰线”,那么它的底角度数是________. (3)如图3, 中, , .画出 所有可能的“三等腰线”,使得对 取值范 围内的任意值都成立,并做必要的标注或说明.(每种可能用一个图单独表示,如果图不够用可以自己补 充) 【答案】(1)见解析 (2) 或 或 (3)见解析【分析】本题主要考查三角形综合题和作图-应用与设计作图,解题的关键是掌握等腰三角形的判定和性质. (1)根据等腰三角形的性质和三角形内角和解答即可; (2)设底角度数为 ,分三种情况利用等腰三角形的性质和三角形内角和解答即可; (3)根据两种情况、利用等腰三角形的性质和三角形内角和解答即可. 【详解】(1)解:如图2,取 的中点 ,则 , ∴ 和 是等腰三角形; 如图3,取 ,则 , ∵ , ∴ , ∴ , ∴ , ∴ 和 是等腰三角形; 如图4,作 的垂直平分线 ,交 于 ,交 于 ,连接 , ∴ , ∴ , ∴ , ∵ , ∴ , ∴ , ∴ 和 是等腰三角形; (2)解:①设 是以 、 为腰的锐角三角形, 为“双等腰线”,如图5,当 , 时, 设 ,则 , ∴ , ∴ , ∵ , ∴ , ∴ , , ∴ , ②设 是以 、 为腰的钝角三角形, 为“双等腰线”,如图6, 当 , 时, 设 ,则 , ∵ , ∴ , ∴ , ∵ , ∴ , ∵ , ∴ , ∴ , ∴ , ③设 是以 、 为腰的直角三角形, 为“双等腰线”,如图7, 当 , 时, 为 的垂直平分线,设 ,则 , , ∴ , ∴ , ∴ , ∴ , 故答案为: 或 或 ; (3)解:∵要画出使得对 取值范围内的任意值都成立的“三等腰线”, ∴不能使 等于具体的数值, ∴只需要使分割后的三个等腰三角形的底角成比例即可, 第一种画法:如图8, ∵ ,、 设 , , 当 、 将 分成 , , 的三个等腰三角形时, 则有 , , ∵ , ∴ , ∴ , ∴“三等腰线”使得三个等腰三角形的底角比为 , 即可使得对 取值范围内的任意值都成立, 第二种画法: ∵ ,设 , , 当 、 将 分成 , , 的三个等腰三角形时, 则 , , ∵ , ∴ , 因此,“三等腰线”使得三个等腰三角形的底角比为 ,即可使得对 取值范围 内的任意值都成立,综上所述,如图所示的两种“三等腰线”可以使得对 取值范围内的任意值都成立. 16.(2024·宁夏银川·校考二模)如图,在平面直角坐标系中有矩形 , , ,连接 , 点 从顶点 出发以1.5个单位/秒的速度在线段 上向 点运动,同时点 从顶点 出发以1个单位/秒 的速度在线段 上向 点运动,只要有一个点先到达终点,两个点就停止运动.过点 作 ,交 于点 ,连接 ,设运动时间为 秒. (1)当 时, ______. (2)设 的面积为 ,写出 关于 的函数表达式,并写出 的面积最大时点 的坐标; (3)直接写出运动过程中, 为等腰三角形时 的值. 【答案】(1) ;(2) , ;(3) , , 【分析】(1)延长 交 于点 ,由四边形AOBC为矩形,可得AC∥OB,AC=OB=8,由 , 可证四边形 为矩形,当 时,QB=2,由EF∥OA,可证 ,可求 .由 ,可求 即可; (2)由 ,与 ,可得 与 ,可求 ,利用三角形面积公式 ,利用二次函数性质可得当 时,S PCE最大,S PCE =4即可; 最大 △ △ (3)先分别求出 ,CE= , PE= ,根据 为等腰三角形时可分为三种情 况当 , , 时,分别列方程求解即可. 【详解】解:(1)延长 交 于点 , ∵四边形AOBC为矩形, ∴AC∥OB,AC=OB=8, ∵ , ∴ , ∴∠FQB=∠QBC=∠BCF=90°, ∴四边形 为矩形, 当 时,QB=2×1=2 ∴ . ∵EF∥OA, ∴∠EFC=∠OAF,∠FEC=∠AOC, ∴ , ∴ ,即 , ∴ . ∵ , ∴ , ∴ . 故答案为 ;(2)∵ , ∵ , ∴ ,即 , ∴ . ∵ , ∴ , ∴ ∵ , ∴当 时,S PCE最大,S PCE =4. 最大 △ △ ∴ ,QE=QF-EF=6-2=4, ∴OQ=OB-QB= ∴ ; (3)由(2)得 , , ,PF=8-AP-CF=8-1.5t-t=8-2.5t 在Rt ECF中,由勾股定理CE= , △在Rt PFE中由勾股定理PE= , △ ①如图,当 时,EF⊥PC, ∴PF=CF,即 解得 ; ②当 时,即 解得 ; ③当 时, 整理得 , ,t=0(舍).∴ 为等腰三角形时 的值为 或 或 . 【点睛】本题考查锐角三角函数,平面直角坐标系中图形动点问题,三角形面积,二次函数最值问题,矩 形性质,勾股定理,三角形相似判定与性质,等腰三角形,建构方程与解方程,掌握锐角三角函数,图形 动点的速度,时间与路程关系,三角形面积,二次函数最值问题,矩形性质,勾股定理应用,三角形相似 判定与性质应用,等腰三角形分类思想的运用,建构方程与解方程是解题关键. 17.(2023春·重庆渝中·八年级校考期末)如图, 中,以 , 为边,分别在各自的上方作等边 三角形 ,等腰三角形 , , ,连接 , ; (1)如图1,若 , ,求 的面积 (2)如图2,点 为 中点,求证: (3)如图3, , ,点 为直线 上的动点,连接 ,作 关于 所在直线 的对称图形,记作 ,连接 , ,当 直角三角形时,请直接写出 的度数. 【答案】(1) 的面积为36; (2)见解析 (3) 的度数为 或 或 或 . 【分析】(1)作 交 的延长线于点F,求得 ,利用含30度角的直角三角 形的性质以及三角形的面积公式即可求解;(2)延长 至点M,使 ,延长 交 于点N,连接 ,先后证明 和 ,推出 是等边三角形,据此即可证明结论成立; (3)由题意得点 在以D为圆心, 为半径的圆上,分四种情况讨论,画出图形,利用轴对称的性质 即可求解. 【详解】(1)解:作 交 的延长线于点F,如图, ∵ , , ∴ , ∵ , ∴ , ∵ , ∴ , ∴ 的面积 ; (2)解:延长 至点M,使 ,延长 交 于点N,连接 , ∵ , , , ∴ , ∴ , , ∴ , ∴ , ∵ ,∴ , ∵ ,即 , ∴ , ∴ , ∵ , , ∴ , ∴ , , ∴ , ∴ 是等边三角形, ∵ , ∴ , ∴ ; (3)解:分四种情况讨论, 由题意得点 在以D为圆心, 为半径的圆上, ①当 时,如图, ; ②当 时,如图,同理, ; ③当 时,如图, 同理, ; ④当 时,如图, 同理, ; 综上, 的度数为 或 或 或 . 【点睛】本题考查了等边三角形的判定和性质,轴对称的性质,全等三角形的判定和性质,含30度角的直 角三角形的性质,解答本题的关键是明确题意,找出所求问题需要的条件. 18.(2023·八年级重庆校考期中)如图,在平面直角坐标系中,直线 与 轴交于点 ,与 轴 交于点 .点 的坐标为 ,点 在 轴上, . (1)点 在 上,其横坐标为 ,点 、 分别是 轴、 轴上的动点,连接 ,将 沿 翻折得 ,点 是直线 上的一个动点,当 最大时,求 的最小值; (2)将 绕点 逆时针旋转90°得直线 ,点 、 分别是直线 与直线 上的动点,当是以 为直角边的等腰直角三角形时,直接写出点 的坐标. 【答案】(1) 的最小值为 ;(2)点M的坐标为 或 或 或 . 【分析】(1)如图1,过E点作EH⊥x轴与点H,连接AC交直线BD与点P,此时 最大,通过 “HL”证明Rt OCD≌Rt OAB,得到D点坐标,进而得到直线CD的解析式,然后求得ED的长,作P关 △ △ 于y轴的对称点 ,分别连接 , , ,过E作EM⊥ A于点M,则 ,当G, 都在 线段 上时, 最小,即 最小,且最小值为 ,先求得直线AC与BD的解析 式,得到P点坐标,再根据题意进行求解计算即可;(2)①若C点为直角顶点,则∠NCM=90°,且 CN=CM,如图2,延长CD交直线AB于点Q,利用勾股定理与全等三角形的判定与性质等进行求解即可; 若N为直角顶点,则∠CNM=90°,且CN=NM,如图3,过点M作MH⊥ 于点H,求解同①. 【详解】(1)如图1,过E点作EH⊥x轴与点H,连接AC交直线BD与点P,则此时 最大, ∵ 是直线BD上的任一点,则 ,∴当 与P重合时, 最大, 在 中,令x=0,得 ;令y=0,得 , ∴ , ,∴ , , ∵ ,∴OC=OA,∵ ∴Rt OCD≌Rt OAB(HL), △ △ ∴ ,∴ ,设直线CD的解析式为y=kx+b(k≠0), 将CD的坐标分别代入y=kx+b得: ,解得 , 即直线CD的解析式为 ,又∵点 在 上,其横坐标为 , ∴ , , ∴ ,∴ 为定长, ∴ 点在以E为圆心,ED长为半径的圆上运动, 作P关于y轴的对称点 ,分别连接 , , ,过E作EM⊥ A于点M,则 ,当G, 都在线段 上时, 最小,即 最小,且最小值为 , 设直线BD的解析式为y=kx+b,将B,D的坐标分别代入y=kx+b 得: 1 1 1 1 ,解得 ,∴直线BD的解析式为 , 设直线AC的解析为y=kx+b,将A,C的坐标代入y=kx+b 得: 2 2 2 2 ,解得 ,∴直线AC的解析式为 , 联立方程得 ,解得 ,∴ ,∴ , ∵ 与A的横坐标相同,∴ ⊥x轴,∴ , ∵EM⊥ ,EH⊥x轴,∴四边形EHAM是矩形,∴ , ,∵ , ∴ ,∴ 的最小值为 ; (2)①若C点为直角顶点,则∠NCM=90°,且CN=CM,如图2,延长CD交直线AB于点Q, 由(1)知Rt OCD≌Rt OAB,∴∠CDO=∠ABO, △ △∵∠DCO=∠QCB,∠DCO+∠CDO=90°,∴∠QCB+∠ABO=90°, ∴DQ⊥AB,∴∠QMC+∠QCM=90°,∵∠NCD+∠QCM=90°,∴∠NCD=∠QMC, ∵∠CDN=∠CQM=90°,∴△CDN≌△MQC(AAS),∴CD=QM, ∵ ,∴ , 联立方程得: ,解得 ,∴ , 设 ,则M,Q两点横坐标差的绝对值为 , 纵坐标差为 , 由勾股定理得: , ∴ ,解得: 或 , ∴ 或 ,∴ 或 ; ②若N为直角顶点,则∠CNM=90°,且CN=NM,如图3,过点M作MH⊥ 于点H,∵∠MHN=∠CNM=90°,∴∠MNH+∠NMH=∠MNH+∠CND=90°,∴∠CND=∠NMH, ∵∠CDN=∠MHN=90°,∴△CDN≌NHM(AAS),∴ ,MH=DN, 易证四边形DQMH为矩形,∴QM=DH,MH=DQ,∴MQ=DH=DN+NH=MH+CD=DQ+CD ∵ ,∴ , ∵ ,∴ ,解得: 或 , ∴ 或 ,∴ 或 , 综上,点M的坐标为 或 或 或 . 【点睛】本题主要考查一次函数的综合问题,勾股定理,全等三角形的判定与性质,最短路径问题等知识 点,综合性较强,属于压轴题,解此题的关键在于熟练掌握熟练掌握各个知识点并灵活运用.