当前位置:首页>文档>2025年中考数学几何模型综合训练(通用版)专题21全等与相似模型之半角模型解读与提分精练(教师版)_2数学总复习_2025中考复习资料_2025年中考数学几何模型综合训练(通用版)

2025年中考数学几何模型综合训练(通用版)专题21全等与相似模型之半角模型解读与提分精练(教师版)_2数学总复习_2025中考复习资料_2025年中考数学几何模型综合训练(通用版)

  • 2026-04-08 13:22:28 2026-02-05 19:29:23

文档预览

2025年中考数学几何模型综合训练(通用版)专题21全等与相似模型之半角模型解读与提分精练(教师版)_2数学总复习_2025中考复习资料_2025年中考数学几何模型综合训练(通用版)
2025年中考数学几何模型综合训练(通用版)专题21全等与相似模型之半角模型解读与提分精练(教师版)_2数学总复习_2025中考复习资料_2025年中考数学几何模型综合训练(通用版)
2025年中考数学几何模型综合训练(通用版)专题21全等与相似模型之半角模型解读与提分精练(教师版)_2数学总复习_2025中考复习资料_2025年中考数学几何模型综合训练(通用版)
2025年中考数学几何模型综合训练(通用版)专题21全等与相似模型之半角模型解读与提分精练(教师版)_2数学总复习_2025中考复习资料_2025年中考数学几何模型综合训练(通用版)
2025年中考数学几何模型综合训练(通用版)专题21全等与相似模型之半角模型解读与提分精练(教师版)_2数学总复习_2025中考复习资料_2025年中考数学几何模型综合训练(通用版)
2025年中考数学几何模型综合训练(通用版)专题21全等与相似模型之半角模型解读与提分精练(教师版)_2数学总复习_2025中考复习资料_2025年中考数学几何模型综合训练(通用版)
2025年中考数学几何模型综合训练(通用版)专题21全等与相似模型之半角模型解读与提分精练(教师版)_2数学总复习_2025中考复习资料_2025年中考数学几何模型综合训练(通用版)
2025年中考数学几何模型综合训练(通用版)专题21全等与相似模型之半角模型解读与提分精练(教师版)_2数学总复习_2025中考复习资料_2025年中考数学几何模型综合训练(通用版)
2025年中考数学几何模型综合训练(通用版)专题21全等与相似模型之半角模型解读与提分精练(教师版)_2数学总复习_2025中考复习资料_2025年中考数学几何模型综合训练(通用版)
2025年中考数学几何模型综合训练(通用版)专题21全等与相似模型之半角模型解读与提分精练(教师版)_2数学总复习_2025中考复习资料_2025年中考数学几何模型综合训练(通用版)
2025年中考数学几何模型综合训练(通用版)专题21全等与相似模型之半角模型解读与提分精练(教师版)_2数学总复习_2025中考复习资料_2025年中考数学几何模型综合训练(通用版)
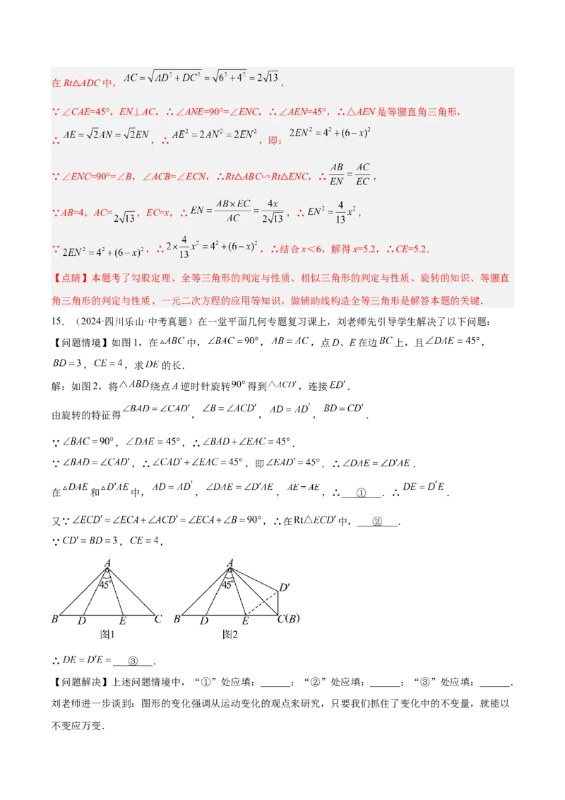
2025年中考数学几何模型综合训练(通用版)专题21全等与相似模型之半角模型解读与提分精练(教师版)_2数学总复习_2025中考复习资料_2025年中考数学几何模型综合训练(通用版)
2025年中考数学几何模型综合训练(通用版)专题21全等与相似模型之半角模型解读与提分精练(教师版)_2数学总复习_2025中考复习资料_2025年中考数学几何模型综合训练(通用版)
2025年中考数学几何模型综合训练(通用版)专题21全等与相似模型之半角模型解读与提分精练(教师版)_2数学总复习_2025中考复习资料_2025年中考数学几何模型综合训练(通用版)
2025年中考数学几何模型综合训练(通用版)专题21全等与相似模型之半角模型解读与提分精练(教师版)_2数学总复习_2025中考复习资料_2025年中考数学几何模型综合训练(通用版)
2025年中考数学几何模型综合训练(通用版)专题21全等与相似模型之半角模型解读与提分精练(教师版)_2数学总复习_2025中考复习资料_2025年中考数学几何模型综合训练(通用版)
2025年中考数学几何模型综合训练(通用版)专题21全等与相似模型之半角模型解读与提分精练(教师版)_2数学总复习_2025中考复习资料_2025年中考数学几何模型综合训练(通用版)
2025年中考数学几何模型综合训练(通用版)专题21全等与相似模型之半角模型解读与提分精练(教师版)_2数学总复习_2025中考复习资料_2025年中考数学几何模型综合训练(通用版)
2025年中考数学几何模型综合训练(通用版)专题21全等与相似模型之半角模型解读与提分精练(教师版)_2数学总复习_2025中考复习资料_2025年中考数学几何模型综合训练(通用版)
2025年中考数学几何模型综合训练(通用版)专题21全等与相似模型之半角模型解读与提分精练(教师版)_2数学总复习_2025中考复习资料_2025年中考数学几何模型综合训练(通用版)
2025年中考数学几何模型综合训练(通用版)专题21全等与相似模型之半角模型解读与提分精练(教师版)_2数学总复习_2025中考复习资料_2025年中考数学几何模型综合训练(通用版)
2025年中考数学几何模型综合训练(通用版)专题21全等与相似模型之半角模型解读与提分精练(教师版)_2数学总复习_2025中考复习资料_2025年中考数学几何模型综合训练(通用版)
2025年中考数学几何模型综合训练(通用版)专题21全等与相似模型之半角模型解读与提分精练(教师版)_2数学总复习_2025中考复习资料_2025年中考数学几何模型综合训练(通用版)
2025年中考数学几何模型综合训练(通用版)专题21全等与相似模型之半角模型解读与提分精练(教师版)_2数学总复习_2025中考复习资料_2025年中考数学几何模型综合训练(通用版)
2025年中考数学几何模型综合训练(通用版)专题21全等与相似模型之半角模型解读与提分精练(教师版)_2数学总复习_2025中考复习资料_2025年中考数学几何模型综合训练(通用版)
2025年中考数学几何模型综合训练(通用版)专题21全等与相似模型之半角模型解读与提分精练(教师版)_2数学总复习_2025中考复习资料_2025年中考数学几何模型综合训练(通用版)
2025年中考数学几何模型综合训练(通用版)专题21全等与相似模型之半角模型解读与提分精练(教师版)_2数学总复习_2025中考复习资料_2025年中考数学几何模型综合训练(通用版)
2025年中考数学几何模型综合训练(通用版)专题21全等与相似模型之半角模型解读与提分精练(教师版)_2数学总复习_2025中考复习资料_2025年中考数学几何模型综合训练(通用版)
2025年中考数学几何模型综合训练(通用版)专题21全等与相似模型之半角模型解读与提分精练(教师版)_2数学总复习_2025中考复习资料_2025年中考数学几何模型综合训练(通用版)
2025年中考数学几何模型综合训练(通用版)专题21全等与相似模型之半角模型解读与提分精练(教师版)_2数学总复习_2025中考复习资料_2025年中考数学几何模型综合训练(通用版)
2025年中考数学几何模型综合训练(通用版)专题21全等与相似模型之半角模型解读与提分精练(教师版)_2数学总复习_2025中考复习资料_2025年中考数学几何模型综合训练(通用版)
2025年中考数学几何模型综合训练(通用版)专题21全等与相似模型之半角模型解读与提分精练(教师版)_2数学总复习_2025中考复习资料_2025年中考数学几何模型综合训练(通用版)
2025年中考数学几何模型综合训练(通用版)专题21全等与相似模型之半角模型解读与提分精练(教师版)_2数学总复习_2025中考复习资料_2025年中考数学几何模型综合训练(通用版)
2025年中考数学几何模型综合训练(通用版)专题21全等与相似模型之半角模型解读与提分精练(教师版)_2数学总复习_2025中考复习资料_2025年中考数学几何模型综合训练(通用版)
2025年中考数学几何模型综合训练(通用版)专题21全等与相似模型之半角模型解读与提分精练(教师版)_2数学总复习_2025中考复习资料_2025年中考数学几何模型综合训练(通用版)
2025年中考数学几何模型综合训练(通用版)专题21全等与相似模型之半角模型解读与提分精练(教师版)_2数学总复习_2025中考复习资料_2025年中考数学几何模型综合训练(通用版)
2025年中考数学几何模型综合训练(通用版)专题21全等与相似模型之半角模型解读与提分精练(教师版)_2数学总复习_2025中考复习资料_2025年中考数学几何模型综合训练(通用版)
2025年中考数学几何模型综合训练(通用版)专题21全等与相似模型之半角模型解读与提分精练(教师版)_2数学总复习_2025中考复习资料_2025年中考数学几何模型综合训练(通用版)
2025年中考数学几何模型综合训练(通用版)专题21全等与相似模型之半角模型解读与提分精练(教师版)_2数学总复习_2025中考复习资料_2025年中考数学几何模型综合训练(通用版)
2025年中考数学几何模型综合训练(通用版)专题21全等与相似模型之半角模型解读与提分精练(教师版)_2数学总复习_2025中考复习资料_2025年中考数学几何模型综合训练(通用版)
2025年中考数学几何模型综合训练(通用版)专题21全等与相似模型之半角模型解读与提分精练(教师版)_2数学总复习_2025中考复习资料_2025年中考数学几何模型综合训练(通用版)
2025年中考数学几何模型综合训练(通用版)专题21全等与相似模型之半角模型解读与提分精练(教师版)_2数学总复习_2025中考复习资料_2025年中考数学几何模型综合训练(通用版)
2025年中考数学几何模型综合训练(通用版)专题21全等与相似模型之半角模型解读与提分精练(教师版)_2数学总复习_2025中考复习资料_2025年中考数学几何模型综合训练(通用版)
2025年中考数学几何模型综合训练(通用版)专题21全等与相似模型之半角模型解读与提分精练(教师版)_2数学总复习_2025中考复习资料_2025年中考数学几何模型综合训练(通用版)
2025年中考数学几何模型综合训练(通用版)专题21全等与相似模型之半角模型解读与提分精练(教师版)_2数学总复习_2025中考复习资料_2025年中考数学几何模型综合训练(通用版)
2025年中考数学几何模型综合训练(通用版)专题21全等与相似模型之半角模型解读与提分精练(教师版)_2数学总复习_2025中考复习资料_2025年中考数学几何模型综合训练(通用版)
2025年中考数学几何模型综合训练(通用版)专题21全等与相似模型之半角模型解读与提分精练(教师版)_2数学总复习_2025中考复习资料_2025年中考数学几何模型综合训练(通用版)
2025年中考数学几何模型综合训练(通用版)专题21全等与相似模型之半角模型解读与提分精练(教师版)_2数学总复习_2025中考复习资料_2025年中考数学几何模型综合训练(通用版)
2025年中考数学几何模型综合训练(通用版)专题21全等与相似模型之半角模型解读与提分精练(教师版)_2数学总复习_2025中考复习资料_2025年中考数学几何模型综合训练(通用版)
2025年中考数学几何模型综合训练(通用版)专题21全等与相似模型之半角模型解读与提分精练(教师版)_2数学总复习_2025中考复习资料_2025年中考数学几何模型综合训练(通用版)
2025年中考数学几何模型综合训练(通用版)专题21全等与相似模型之半角模型解读与提分精练(教师版)_2数学总复习_2025中考复习资料_2025年中考数学几何模型综合训练(通用版)
2025年中考数学几何模型综合训练(通用版)专题21全等与相似模型之半角模型解读与提分精练(教师版)_2数学总复习_2025中考复习资料_2025年中考数学几何模型综合训练(通用版)
2025年中考数学几何模型综合训练(通用版)专题21全等与相似模型之半角模型解读与提分精练(教师版)_2数学总复习_2025中考复习资料_2025年中考数学几何模型综合训练(通用版)
2025年中考数学几何模型综合训练(通用版)专题21全等与相似模型之半角模型解读与提分精练(教师版)_2数学总复习_2025中考复习资料_2025年中考数学几何模型综合训练(通用版)
2025年中考数学几何模型综合训练(通用版)专题21全等与相似模型之半角模型解读与提分精练(教师版)_2数学总复习_2025中考复习资料_2025年中考数学几何模型综合训练(通用版)
2025年中考数学几何模型综合训练(通用版)专题21全等与相似模型之半角模型解读与提分精练(教师版)_2数学总复习_2025中考复习资料_2025年中考数学几何模型综合训练(通用版)
2025年中考数学几何模型综合训练(通用版)专题21全等与相似模型之半角模型解读与提分精练(教师版)_2数学总复习_2025中考复习资料_2025年中考数学几何模型综合训练(通用版)
2025年中考数学几何模型综合训练(通用版)专题21全等与相似模型之半角模型解读与提分精练(教师版)_2数学总复习_2025中考复习资料_2025年中考数学几何模型综合训练(通用版)
2025年中考数学几何模型综合训练(通用版)专题21全等与相似模型之半角模型解读与提分精练(教师版)_2数学总复习_2025中考复习资料_2025年中考数学几何模型综合训练(通用版)
2025年中考数学几何模型综合训练(通用版)专题21全等与相似模型之半角模型解读与提分精练(教师版)_2数学总复习_2025中考复习资料_2025年中考数学几何模型综合训练(通用版)
2025年中考数学几何模型综合训练(通用版)专题21全等与相似模型之半角模型解读与提分精练(教师版)_2数学总复习_2025中考复习资料_2025年中考数学几何模型综合训练(通用版)
2025年中考数学几何模型综合训练(通用版)专题21全等与相似模型之半角模型解读与提分精练(教师版)_2数学总复习_2025中考复习资料_2025年中考数学几何模型综合训练(通用版)

文档信息

文档格式
docx
文档大小
5.418 MB
文档页数
58 页
上传时间
2026-02-05 19:29:23

文档内容

专题21 全等与相似模型之半角模型 全等三角形与相似三角形在中考数学几何模块中占据着重要地位。全等三角形、相似三角形与其它知 识点结合以综合题的形式呈现,其变化很多,难度大,是中考的常考题型。如果大家平时注重解题方法, 熟练掌握基本解题模型,再遇到该类问题就信心更足了。本专题就半角模型进行梳理及对应试题分析,方 便掌握。 .........................................................................................................................................................................................1 模型1.半角模型(全等模型).......................................................................................................................1 模型2.半角模型(相似模型).....................................................................................................................13 ..................................................................................................................................................15 大家在掌握几何模型时,多数同学会注重模型结论,而忽视几何模型的证明思路及方法,导致本末倒 置。要知道数学题目的考察不是一成不变的,学数学更不能死记硬背,要在理解的基础之上再记忆,这样 才能做到对于所学知识的灵活运用,并且更多时候能够启发我们解决问题的关键就是基于已有知识、方法 的思路的适当延伸、拓展,所以学生在学习几何模型要能够做到的就是:①认识几何模型并能够从题目中 提炼识别几何模型;②记住结论,但更为关键的是记住证明思路及方法;③ 明白模型中常见的易错点, 因为多数题目考察的方面均源自于易错点。当然,以上三点均属于基础要求,因为题目的多变性,若想在 几何学习中突出,还需做到的是,在平时的学习过程中通过大题量的训练,深刻认识几何模型,认真理解 每一个题型,做到活学活用! 模型1.半角模型(全等模型) 半角模型概念:半角模型是指是指有公共顶点,较小角等于较大角的一半,较大的角的两边相等,通过旋 转,可将角进行等量转化,构造全等三角形的几何模型。 1)正方形半角模型条件:四边形ABCD是正方形,∠ECF=45°;结论:①△BCE≌△DCG;②△CEF≌△CGF;③EF=BE+ DF;④ AEF的周长=2AB;⑤CE、CF分别平分∠BEF和∠EFD。 证明:将△CBE绕点C逆时针旋转90°至△CDG,即△CBE≌△CDG, ∴∠ECB=∠GCD,∠B=∠CDG=90°,BE=DG,CE=CG; ∵ABCD是正方形,∴∠B=∠CDF=∠BCD=90°,BA=DA;∴∠CDG+∠CDF=180°,故F、D、G共线。 ∵∠ECF=45°,∴∠BCE+∠DCF=45°,∴∠GCD+∠DCF=∠GCF=45°,∴∠ECF=∠GCF=45°, ∵CF=CF,∴△CEF≌△CGF,∴EF=GF,∵GF=DG+DF,∴GF=BE+DF,∴EF=BE+DF, ∴ AEF的周长=EF+AE+AF=BE+DF+AE+AF=AB+AD=2AB,过点C作CH⊥EF,则∠CHE=90°, ∵△CEF≌△CGF,∴CD=CH(全等三角形对应边上的高相等),再利用HL证得:△CBE≌△CHE, ∴∠HEC=∠CBE,同理可证:∠HFC=∠DFC,即CE、CF分别平分∠BEF和∠EFD。 2)等腰直角三角形半角模型 条件: ABC是等腰直角三角形(∠BAC=90°,AB=AC),∠DAE=45°; 结论:①△BAD≌△CAG;②△DAE≌△GAE;③∠ECG==90°;④DE2=BD2+EC2; 证明:将△ABD绕点A逆时针旋转90°至△ACG,即△BAD≌△CAG, ∴∠BAD=∠CAG,∠B=∠GCA=45°,AD=AG,BD=CG; ∵∠DAE=45°,∴∠BAD+∠EAC=45°,∴∠CAG+∠EAC=∠GAE=45°,∴∠DAE=∠GAE=45°, ∵AE=AE,∴△DAE≌△GAE,∴ED=EG,∵ ABC是等腰直角三角形,∴∠ACB=45°, ∴∠ECG=90°,∴GE2=GC2+EC2,∴DE2=BD2+EC2; 3)等边三角形半角模型(120°-60°型)条件: ABC是等边三角形, BDC是等腰三角形,且BD=CD,∠BDC=120°,∠EDF=60°; 结论:①△BDE≌△CDG;②△EDF≌△GDF;③EF=BE+CF;④ AEF的周长=2AB; ⑤DE、DF分别平分∠BEF和∠EFC。 证明:将△DBE绕点D顺时针旋转120°至△DCG,即△BDE≌△CDG, ∴∠EDB=∠GDC,∠DBE=∠DCG,BE=GC,DE=DG; ∵∠BDC=120°,∠EDF=60°,∴∠BDE+∠CDF=60°,∴∠GDC+∠CDF=∠GDF=60°,故 ∠GDF=∠EDF, ∵DF=DF,∴△EDF≌△GDF,∴EF=GF,∵GF=CG+CF,∴GF=BE+CF,∴EF=BE+CF, ∴ AEF的周长=EF+AE+AF=BE+CF+AE+AF=AB+AC=2AB, 过点D作DH⊥EF,DM⊥GF,则∠DHF=∠DMF=90°, ∵△EDF≌△GDF,∴DM=DH(全等三角形对应边上的高相等),再利用HL证得:△DHF≌△DMF, ∴∠HFD=∠MFD,同理可证:∠BFD=∠FED,即DE、DF分别平分∠BEF和∠EFC。 4)等边三角形半角模型(60°-30°型) 条件: ABC是等边三角形,∠EAD=30°; 结论:①△BDA≌△CFA;②△DAE≌△FAE;③∠ECF=120°;④DE2=( BD+EC)2+ ; 证明:将△ABD绕点A逆时针旋转60°至△ACF,即△BAD≌△CAF, ∴∠BAD=∠CAF,∠B=∠FCA=60°,AD=AF,BD=CF; ∵∠DAE=30°,∴∠BAD+∠EAC=30°,∴∠CAF+∠EAC=∠FAE=30°,∴∠DAE=∠FAE=30°,∵AE=AE,∴△DAE≌△FAE,∴ED=EF,∵ ABC是等边三角形,∴∠ACB=60°,∴∠ECF=120°, 过点F作FH⊥BC,∴∠FCH=60°,∠CFH=30°,∴CH= CF= BD,FH= CF= BD, ∵在直角三角形中:FE2=FH2+EH2,∴DE2=( BD+EC)2+( BD)2; 5)任意角度的半角模型( - 型) 条件:∠BAC= ,AB=AC,∠DAE= ; 结论:①△BAD≌△CAF;②△EAD≌△EAF;③∠ECF=180°- 。 证明:将△ABD绕点A逆时针 °至△ACF,即△BAD≌△CAF, ∴∠BAD=∠CAF,∠B=∠BCA=∠FCA=90°- ,AD=AF,BD=CF;∴∠ECF=∠BCA+∠FCA=180°- 。 ∵∠BAC= ,∠DAE= ,∴∠BAD+∠EAC= ,∴∠CAF+∠EAC=∠FAE= ,∴∠DAE=∠FAE= , ∵AE=AE,∴△DAE≌△FAE。 例1.(2023·广东广州·二模)在正方形 中,点E、F分别在边 上,且 ,连接 . (1)如图1,若 , ,求 的长度;(2)如图2,连接 , 与 、 分别相交于点M、 N,若正方形 的边长为6, ,求 的长;(3)判断线段 三者之间的数量关系并 证明你的结论﹒ 【答案】(1) (2) (3)【分析】(1)延长 ,使 ,证明 和 ,求得 .(2)设 ,则 ,在 中,根据勾股定理可得, ,解得: .(3) 三者之间的数量关系: ,证 明 和 ,根据勾股定理即可证明. 【详解】(1)解:延长 ,使 ,如图所示: ∵四边形 为正方形,∴ , , 在 和 中, ,∴ ,∴ , , ∵ ,∴ ,∴ ,∴ , 在 和 中, ,∴ ,∴ . (2)解:设 ,则 ,由(1)可知, , 在 中,根据勾股定理可得, ,解得: ,∴ . (3) 三者之间的数量关系: . 证明:截取 ,在 和 中, ,∴ , ∴ , ,又∵ ,∴ ,在 和 中, ,∴ , ∴ ,∴ .即 . 【点睛】此题考查了三角形全等、勾股定理,解题的关键是构造辅助线,熟悉三角形全等的证明. 例2.(23-24八年级下·四川达州·阶段练习)倡导研究性学习方式,着力教材研究,习题研究,是学生跳 出题海,提高学习能力和创新能力的有效途径. (1)【问题背景】已知:如图1,点E、F分别在正方形 的边 上, ,连接 ,则 之间存在怎样的数量关系呢? (分析:我们把 绕点A顺时针旋转 至 ,点G、B、C在一条直线上.) 于是易证得: 和 ,所以 . 直接应用:正方形 的边长为6, ,则 的值为 . (2)【变式练习】已知:如图2,在 中, ,D、E是斜边 上两点,且 ,请 写出 之间的数量关系,并说明理由. (3)【拓展延伸】在(2)的条件下,当 绕着点A逆时针一定角度后,点D落在线段BC上,点E落 在线段BC的延长线上,如图3,此时(2)的结论是否仍然成立,并证明你的结论. 【答案】(1) (2) ,见解析(3)成立,见解析 【分析】(1)根据分析过程及图形分析即可;(2) ,把 顺时针旋转到 的 位置此时 与 重合,连接 ,证 ,得 ,再证 是直 角三角形,然后由勾股定理即可解决问题;(3)根据第(2)问的辅助线画出图形即可证明. 【详解】(1)∵四边形 是正方形,∴ , 把 绕点A顺时针旋转 至 ,则 与 重合, ∴ ∴ , ∴点G、B、C在一条直线上∵ ,∴ ,∴ ,∴ , ∵ ,∴ ,∴ , ∵ ,∴ ;∵正方形 的边长为6, , ∴ ,∴ , , 在 中, ,∴ ,解得 , ∴ 故答案为: ; (2) ,理由如下:把 顺时针旋转到 的位置此时 与 重合,连接 , 则 ,∴ ,∴ , ∵ ,∴ ,∴ , ∴ ,∴ ,∵ ,∴ , ∴ ,∴ ,∴ 是直角三角形, ∴ ,∴ . (3) 依然成立,理由如下: 把 顺时针旋转到 的位置此时 与 重合,连接 , 则 ,∴ ,∴ , ∵ ,∴ ,∴ , ∴ ,∴ ,∵ ,∴ , ∴ ,∴ , ∴ 是直角三角形,∴ ,∴ . 【点睛】本题是四边形综合题目,考查了正方形的性质、旋转的性质、全等三角形的判定与性质、直角三 角形的性质、勾股定理等知识;本题综合性比较强,正确作出辅助线构造全等三角形是解题的关键,属于 中考常考题型.例3.(23-24九年级上·浙江台州·期中)如图,在 中,AB=AC,∠BAC=120°,点D、E都在边BC 上,∠BAD=15°,∠DAE=60°.若DE=3,则AB的长为 . 【答案】 【分析】如图(见解析),先根据等腰三角形的定义可得 ,再根据角的和差可得 , ,从而可得 ,设 ,然后利用直 角三角形的性质、勾股定理可得 ,最后根据线段的和差建立方程,解方程即可得. 【详解】如图,过点A作 于点F, 在 中, , , , , , , , , , , ,设 , 在 中, , , , , 又 , ,解得 ,则 ,故答案为: . 【点睛】本题考查了等腰三角形的判定与性质、直角三角形的性质、勾股定理等知识点,通过作辅助线, 构造等腰直角三角形是解题关键. 例4.(23-24九年级上·江西南昌·期中)(1)如图①,在直角 中, , ,点D 为 边上一动点(与点B不重合),连接 ,将 绕点A逆时针旋转 ,得到 ,那么之间的位置关系为__________,数量关系为__________;(2)如图②,在 中, , ,D,E(点D,E不与点B,C重合)为 上两动点,且 .求证: .(3)如图③,在 中, , , , , D,E(点D,E不与点B,C重合)为 上两动点,若以 为边长的三角形是以 为斜边的直 角三角形时,求 的长. 【答案】(1)CE⊥BD;CE=BD;(2)见解析;(3) . 【分析】(1)根据 ,AD=AE,运用SAS证明 ,根据全等三角形性质得出对 应边相等,对应角相等,即可得到线段CE、BD之间的关系; (2)把 绕点A顺时针旋转 ,得到 ,连接DG,由SAS得到 ,可得 DE=DG,即可把EF、BE、FC放到一个直角三角形中,从而根据勾股定理即可证明; (3)把 绕点A顺时针旋转 ,得到 ,可得AF=AE, ,EC=BF, ,由SAS可证 ,可得DF=DE,由以BD、DE、EC为边的三角形是直角三角 形,分两种情况讨论,由直角三角形的性质可求解. 【详解】解:(1)CE与BD位置关系是CE⊥BD,数量关系是CE=BD ∵ 绕点A逆时针旋转 ,得到 ∴ ∴ , ∴ ∵BA=CA,AD=AE∴ ∴ 且CE=BD ∵ ∴ ,即CE⊥BD 故答案为:CE⊥BD;CE=BD; (2)如图②,把 绕点A顺时针旋转 ,得到 ,连接DG,则 ∴AG=AE,BG=CE, ∵ , ∴ 在 和 中, ∴ ∴ED=GD ∵ ∴ 即 (3)如图③,把 绕点A顺时针旋转 ,得到 , ∴ ∴AF=AE, ,EC=BF, ∵ ,AB=AC∴ ∴ ∵ , ∴ ,且AF=AE,AD=AD∴ ∴DF=DE ∵以BD、DE、EC为边的三角形是直角三角形 ∴以BD、DF、BF为边的三角形是直角三角形 ∴ 是直角三角形 若 ,且 ∴BF=2BD=EC, ∵ ∴ ∴ ∴ 若 ,且 ∴BD=2BF=2EC, ∵ ∴ ∴BD=2, ∴ 【点睛】此题是几何变换综合题,考查了等腰三角形的性质、全等三角形的判定和性质、旋转的性质、勾 股定理,添加恰当辅助线构造全等三角形是本题的关键. 例5.(2024·江西·九年级期中)(1)【特例探究】如图1,在四边形 中, ,, , ,猜想并写出线段 , , 之间的数量关系,证明 你的猜想; (2)【迁移推广】如图2,在四边形 中, , , .请 写出线段 , , 之间的数量关系,并证明; (3)【拓展应用】如图3,在海上军事演习时,舰艇在指挥中心( 处)北偏东20°的 处.舰艇乙在指 挥中心南偏西50°的 处,并且两舰艇在指挥中心的距离相等,接到行动指令后,舰艇甲向正西方向以80 海里/时的速度前进,同时舰艇乙沿北偏西60°的方向以90海里/时的速度前进,半小时后,指挥中心观测 到甲、乙两舰艇分别到达 , 处,且指挥中心观测两舰艇视线之间的夹角为75°.请直接写出此时两舰 艇之间的距离. 【答案】(1)EF=BE+DF,理由见解析;(2)EF=BE+DF,理由见解析;(3)85海里 【分析】(1)延长CD至点G,使DG=BE,连接AG,可证得△ABE≌△ADG,可得到AE=AG, ∠BAE=∠DAG,再由 , ,可证得△AEF≌△AGF,从而得到EF=FG,即可求解; (2)延长CD至点H,使DH=BE,连接AH,可证得△ABE≌△ADH,可得到AE=AH,∠BAE=∠DAH, 再由 ,可证得△AEF≌△AHF,从而得到EF=FH,即可求解; (3)连接CD,延长 AC、BD交于点M,根据题意可得∠AOB=2∠COD,∠OAM+∠OBM=70°+110°=180°,再由(2)【迁移推 广】得:CD=AC+BD,即可求解. 【详解】解:(1)EF=BE+DF,理由如下:如图,延长CD至点G,使DG=BE,连接AG, ∵ ,∴∠ADG=∠ABC=90°, ∵AB=AD,∴△ABE≌△ADG,∴AE=AG,∠BAE=∠DAG,∵ , ,∴∠BAE+∠DAF=50°,∴∠FAG=∠EAF=50°, ∵AF=AF,∴△AEF≌△AGF,∴EF=FG,∵FG=DG+DF,∴EF=DG+DF=BE+DF; (2)EF=BE+DF,理由如下:如图,延长CD至点H,使DH=BE,连接AH, ∵ ,∠ADC+∠ADH=180°,∴∠ADH=∠ABC, ∵AB=AD,∴△ABE≌△ADH,∴AE=AH,∠BAE=∠DAH, ∵ ∴∠EAF=∠BAE+∠DAF=∠DAF+∠DAH,∴∠EAF=∠HAF, ∵AF=AF,∴△AEF≌△AHF,∴EF=FH,∵FH=DH+DF,∴EF=DH+DF=BE+DF; (3)如图,连接CD,延长AC、BD交于点M, 根据题意得: ∠AOB=20°+90°+40°=150°,∠OBD=60°+50°=110°,∠COD=75°,∠OAM=90°-20°=70°, OA=OB, ∴∠AOB=2∠COD,∠OAM+∠OBM=70°+110°=180°, ∵OA=OB,∴由(2)【迁移推广】得:CD=AC+BD, ∵AC=80×0.5=40,BD=90×0.5=45,∴CD=40+45=85海里.即此时两舰艇之间的距离85海里. 【点睛】此题是三角形综合题,主要考查了全等三角形的判定和性质、勾股定理的运用、等腰直角三角形 的性质,题目的综合性较强,难度较大,解题的关键是正确的作出辅助线构造全等三角形,解答时,注意 类比思想的应用. 例6.(2022·湖北十堰·中考真题)【阅读材料】如图①,四边形 中, , , 点 , 分别在 , 上,若 ,则 . 【解决问题】如图②,在某公园的同一水平面上,四条道路围成四边形 .已知 , , , ,道路 , 上分别有景点 , ,且 , ,若在 , 之间修一条直路,则路线 的长比路线 的长少 _________ (结果取整数,参考数据: ). 【答案】370【分析】延长 交于点 ,根据已知条件求得 ,进而根据含30度角的直角三角形的性质,求 得 , ,从而求得 的长,根据材料可得 ,即可求解. 【详解】解:如图,延长 交于点 ,连接 , , , , , , 是等边三角形, , , 在 中, , , , , , 中, , , , , , 中, 是等腰直角三角形 由阅读材料可得 , 路线 的长比路线 的长少 .答案: 370. 【点睛】本题考查了含30度角的直角三角形的性质,勾股定理,理解题意是解题的关键.模型2.半角模型(相似模型) 半角模型特征:①共端点的等线段; ②共顶点的倍半角; 半角模型辅助线的作法:由旋转(或翻折)构造两对全等,从而将边转化,找到边与边的关系(将分散的 条件集中,隐蔽的关系显现)。 常见的考法包括:90°与45°(正方形、直角三角形);120°与60°(等边三角形)等。 1)半角模型(正方形(或等腰直角三角形)中的半角相似模型) 条件:已知,如图,在正方形ABCD中,∠EAF的两边分别交BC、CD边于M、N两点,且∠EAF=45° 结论:如图1,△MDA∽△MAN∽△ABN; 图1 图2 证明:∵ABCD是正方形,∴∠ADM=45°,∵∠EAF=45°,∴∠ADM=∠EAF, ∵∠AMD=∠NMA,∴△MDA∽△MAN,同理:△MAN∽△ABN,∴△MDA∽△MAN∽△ABN; 结论:如图2,△BME∽△AMN∽△DFN. 证明:∵ABCD是正方形,∴∠NDF=45°,∵∠EAF=45°,∴∠NDF=∠EAF, ∵∠DNF=∠ANM,∴△AMN∽△DFN,同理:△BME∽△AMN,∴△BME∽△AMN∽△DFN; 结论:如图3,连接AC,则△AMB∽△AFC,△AND∽△AEC.且 ;A D A D 45° 45° N N F F M M B E C B E C 图3 图4 证明:∵ABCD是正方形,∴∠BAC=∠ABC=∠ACF=45°, ,∴∠BAM+∠MAC=45°, ∵∠EAF=45°,∴∠FAC+∠MAC=45°,∴∠BAM=∠FAC,∴△AMB∽△AFC,∴ 。 同理:△AND∽△AEC, ;即 。 结论:如图4,△AMN∽△AFE且 . 证明:∵ABCD 是正方形,∴AB∥CD,∴∠DFA=∠BAN;∵∠AFE=∠AFD,∠BAN=∠AMD, ∴∠AFE=∠AMN; 又∠MAN=∠FAE,∴△AMN∽△AFE,由图3证明知: ,∴ 。 2)半角模型(含120-60°半角模型) 图5 条件:如图5,已知∠BAC=120°, ; 结论:①△ABD∽△CAE∽△CBA;② ;③ ( )。 证明:∵ ,∴∠ADE=60°,∴∠ADB=120°,∵∠BAC=120°,∴∠ADB=∠BAC, ∵∠ABD=∠CBA,∴△ABD∽△CBA;∴ ,即: , 同理:△CAE∽△CBA,∴ ,即: ,即:△ABD∽△CAE∽△CBA; , ∴ ,∵AD=AE=DE,∴例1.(23-24九年级上·广东深圳·期中)如图,在正方形ABCD中,E、F分别是BC、CD上的点,且 ∠EAF=45°,AE、AF分别交BD于M、N,连按EN、EF,有以下结论:①△ABM∽△NEM;②△AEN是 等腰直角三角形;③当AE=AF时, ;④BE+DF=EF;⑤若点F是DC的中点,则CE CB. 其中正确的个数是( ) A.2 B.3 C.4 D.5 【答案】C 【分析】①如图,证明△AMN∽△BME和△AMB∽△NME, ②利用相似三角形的性质可得∠NAE=∠AEN=45°,则△AEN是等腰直角三角形可作判断; ③先证明CE=CF,假设正方形边长为1,设CE=x,则BE=1-x,表示AC的长为AO+OC可作判断; ④如图3,将△ADF绕点A顺时针旋转90°得到△ABH,证明△AEF≌△AEH(SAS),则 EF=EH=BE+BH=BE+DF,可作判断;⑤如图4中,设正方形的边长为2a,则DF=CF=a,AF= a,想办 法求出BE,EC即可判断. 【详解】如图,∵四边形ABCD是正方形,∴∠EBM=∠ADM=∠FDN=∠ABD=45°. ∵∠MAN=∠EBM=45°,∠AMN=∠BME,∴△AMN∽△BME, ∴ ,∴ ,∵∠AMB=∠EMN,∴△AMB∽△NME,故①正确, ∴∠AEN=∠ABD=45°,∴∠NAE=∠AEN=45°,∴△AEN是等腰直角三角形,故②正确, 在 ABE和 ADF中,∵ ,∴Rt ABE≌Rt ADF(HL),∴BE=DF. △ △ △ △ ∵BC=CD,∴CE=CF,假设正方形边长为1,设CE=x,则BE=1﹣x,如图2,连接AC,交EF于H,∵AE=AF,CE=CF,∴AC是EF的垂直平分线,∴AC⊥EF,OE=OF, Rt CEF中,OC EF x,在 EAF中,∠EAO=∠FAO=22.5°=∠BAE=22.5°,∴OE=BE. △ △ ∵AE=AE,∴Rt ABE≌Rt AOE(HL),∴AO=AB=1,∴AC AO+OC, △ △ ∴1 x ,∴x=2 ,∴ ,故③不正确, ③如图3,∴将 ADF绕点A顺时针旋转90°得到 ABH,则AF=AH,∠DAF=∠BAH. ∵∠EAF=45°=∠△DAF+∠BAE=∠HAE.∵∠ABE△=∠ABH=90°,∴H、B、E三点共线, 在 AEF和 AEH中, ,∴ AEF≌△AEH(SAS),∴EF=EH=BE+BH=BE+DF,故④正确, △ △ △ 如图4中,设正方形的边长为2a,则DF=CF=a,AF a, ∵DF∥AB,∴ ,∴AN=NE AF a,∴AE AN a,∴BE a,∴EC a BC,故⑤正确.故选:C. 【点睛】本题考查相似三角形的判定和性质、正方形的性质、全等三角形的判定和性质,等腰直角三角形 的判定和性质、线段垂直平分线的性质和判定等知识,解题的关键是灵活应用所学知识解决问题,学会添 加常用辅助线构造全等三角形,属于中考压轴题. 例2.(23-24九年级上·河北唐山·阶段练习)在同一平面内,将两个全等的等腰直角三角形摆放在一起, 如图1所示,点A为公共顶点,点D在 的延长线上, , .若将 固定不动,把 绕点A逆时针旋转a( ),此时线段 ,射线 分别与射线 交于点M,N. (1)当 旋转到如图2所示的位置时,①求证: ; ②在图2中除 外还有哪些相似三角形,直接写出;③如图2,若 ,求 的长; (2)在旋转过程中,若 ,请直接写出 的长_________(用含d的式子表示). 【答案】(1)①见详解;② , ;③ ;(2) 或 . 【分析】(1)①本题考查三角形相似的判定,旋转的性质与等腰三角形的性质,根据两角相等的两个三 角形相似证明;②本题考查三角形相似的判定,旋转的性质与等腰三角形的性质,根据等腰直角三角形的 性质得到 ,可证明 ;③本题考查三角形相似的判定, 旋转的性质与等腰三角形的性质,根据勾股定理求出 ,证明 ,根据相似三角形的性质 计算即可;(2)本题考查三角形相似的判定,旋转的性质与等腰三角形的性质,分点 在线段 上、点 在线段 的延长线上两种情况,根据相似三角形的性质计算,得到答案. 【详解】(1)①证明:∵② , ,∵ ,∴ , ∵ 、 都是等腰直角三角形,∴ , , ∴ , ; ③在 中, , ,则 , , , , , , , ,即 ,解得: ; (2)如图2,当点 在线段 上时, 由②可知: , ,即 ,解得: , ; 如图3,当点 在线段 的延长线上时, , 综上所述: 的长为 或 . 【点睛】本题考查的是旋转的性质、相似三角形的判定和性质、等腰直角三角形的性质及勾股定理,掌握 相似三角形的判定定理是解题的关键. 例3.(2024·辽宁·模拟预测)(1)如图,等腰 中, , , 、 在线段上,且 , , ,求 的长. (2)如图,在 中, ,如果 , 在直线 上, 在 上, 在 的右侧, ,若 , ,求 的长.(3)如图,在 中,若 , 、 是线段 上的两点, ,若 , ,探究 与 的数量关系. 【答案】(1) ;(2) 或 ;(3) 【分析】(1)过点 作 ,且使得 ,连接 , ,证明 ,得到 , ,证明 ,得到 ,设 ,则 ,在 中,根据勾股定理求解即可;(2)分两种情况:①当点 在点 的左侧时,作 , ,连接 ,作 交 于点 ,②当点 在点 的右侧时,作 , ,连接 ,作 交 的延长线于点 ,根全等三角形的判定与性质和勾股定理求解 即可;(3)作 ,且令 ,连接 , ,证明 ,得到 , ,推出 ,证明 ,得到 ,证明 ,即可求解. 【详解】(1)如图,过点 作 ,且使得 ,连接 , , , , , , , 在 和 中, , , , , , , , 在 和 中, , , , 设 ,则 , 在 中, , ,解得: , ;(2)①当点 在点 的左侧时,作 , ,连接 ,作 交 于点 , , , , 在 和 中, , , , , , , , 在 和 中, , , , 设 ,则 , , , , , , , 在 中, ,即 ,解得: , ; ②当点 在点 的右侧时,作 , ,连接 ,作 交 的延长线于点 , , , , , , 在 和 中, , , , , , , , 在 和 中, , , , 设 ,则 ,, , , , , ,在 中, ,即 , 解得: , ;综上所述, 或 ; (3)作 ,且令 ,连接 , , , , , , , , , , , , , , , , , , , , , , , . 【点睛】本题考查了全等三角形的判定与性质,相似三角形的判定与性质,勾股定理,等腰三角形的性质 等知识,解题的关键是灵活运用这些知识并正确作出辅助线. 例4.(2023·辽宁沈阳·统考二模)在菱形 中, .点 , 分别在边 , 上,且 .连接 , .(1)如图1,连接 ,求证: 是等边三角形;(2) 平分 交 于点 . ①如图2, 交 于点 ,点 是 的中点,当 时,求 的长. ②如图3, 是 的中点,点 是线段 上一动点(点 与点 ,点 不重合).当 , 时,是否存在直线 将 分成三角形和四边形两部分,其中三角形的面积与四边形的面积比为1∶3.若存在,请直接写出 的值;若不存在,请说明理由. 【答案】(1)见解析;(2)① ;② 或 【分析】(1)证 ,根据有一个角是60°的等腰三角形是等边三角形证明即可; (2)①连接 ,证 ,列出比例式,根据相似比即可求解;②分点H为AG中点和点N 为EC中点两种情况,根据相似比,求出比值即可. 【详解】解:(1) 四边形 是菱形, , ∵ ,∴△ABC是等边三角形,∴ , , , ; , , , 是等边三角形; (2)①连接 , 点 是 的中点, , , , , 由(1)知, 是等边三角形, , 平分 , , , ,即 , , , ②如图,当点H为AG中点时,即 ;∵ 是 的中点,∴OH∥EC,∴△AMO∽△AEC,∵ ,∴ ,即 ; 同理,如图所示,当点N为EC中点时, ON∥AE, ; 连接FG,作FP⊥BC,交BC延长线与点P,∵ , ,∴ , ∵CD∥AB,∴∠B=∠DCP=60°,∴∠CFP=30°,∴CP=2, , ∵AE=AF,AG=AG,∠EAG=∠FAG,∴△EAG≌△FAG,∴EG=FG, 设EG=x,CG=8-x,PG=10-x, ,解得, , ∵EN=CN=4, ;综上, 的值为: 或 . 【点睛】本题考查了菱形的性质,等边三角形的判定与性质,解直角三角形,相似三角形的判定与性质, 解题关键是熟练运用相关几何知识,构建几何模型证明相似或全等. 例5.(2024·山东烟台·一模)如图①,在正方形 中,点N、M分别在边 、 上,连结 、 、 . ,将 绕点A顺时针旋转90°,点D与点B重合,得到 .易证: ,从而得 . 【实践探究】(1)在图①条件下,若 , ,则正方形 的边长是_________. (2)如图②,点M、N分别在边 、 上,且 .点E、F分别在 、 上, , 连接 ,猜想三条线段 、 、 之间满足的数量关系,并说明理由. 【拓展应用】(3)如图③,在矩形 中, , ,点M、N分别在边 、 上,连结 , ,已知 , ,求 的长. 【答案】(1)12;(2) ,见解析;(3)4 【分析】本题是四边形综合题,考查了正方形的性质,全等三角形的判定与性质,勾股定理,相似三角形 的判定与性质等知识;证明三角形全等和由勾股定理得出方程是解题的关键. (1)由旋转的性质可得 , , , ,证出 ,得出 ,可证 ,得出 .证出 .在 中,由 勾股定理得出 ,则 ,设正方形 的边长为 ,则 , ,得出方程 ,解方程即可; (2)将 绕点 顺时针旋转 ,得到 ,连接 ,由旋转的性质可得 , , , ,由“ ”可证 ,可得 ,由直角三角 形的性质和平行四边形的性质可求 ,由勾股定理可求解; (3)延长 至 ,使 ,过 作 的平行线交 的延长线于 ,延长 交 于 ,连接 ,则四边形 是正方形,得出 ,设 ,则 ,由平行 线得出 ,求出 ,得出 ,由(1)得: ,在 中,由勾股定理得出方程,解方程即可. 【详解】(1)解法提示:∵四边形 是正方形, ∴ , .由旋转得 , ∴ , , , , ∴ ,∴E,B,N在同一条直线上. ∵ , ,∴ , ∴ ,∴ ,∴ . 在 与 中, ∴ ,∴ . ∵ ,∴ ,∴ . 在 中,由勾股定理得 ∴ .∴ ; (2)三条线段 , , 之间满足的数量关系为 ,理由如下:图(1) 如图(1),过点D作 ,且 ,连接 , , 则 ,∴ .∵四边形 是正方形,∴ , ∵ ,∴四边形 是平行四边形,∴ ,∴ . 在 与 中, ∴ ,∴ , . ∵ , ,∴ 在 和 中, ∴ ,∴ , 在 中,由勾股定理得 ,∴ ; (3)如图(2),把矩形 补成正方形 ,延长 交 于G,连接 ,则 . ∵四边形 是矩形,∴ ,∴ ,∴ , ∴ ,∴ , 设 ,则 . ∵四边形 是正方形, ,∴由(1)中证明知, . 在 中,由勾股定理得 , 即 ,解得 ,∴ 的长为4.1.(2024·福建南平·二模)已知正方形 的边长为6,E,F分别是 , 边上的点,且 ,将 绕点D逆时针旋转 ,得到 .若 ,则 的长为( ) A.4 B.5 C.6 D.6.5 【答案】B 【分析】本题主要考查了图形的旋转,正方形的性质,勾股定理,全等三角形的判定和性质,熟练掌握图 形的旋转的性质,正方形的性质,勾股定理,全等三角形的判定和性质是解题的关键.由旋转性质可证明 ,从而 ;设 ,则可得 ,由勾股定理建立方程即可求得x. 【详解】由旋转的性质可得: , , , , 四边形 是正方形, , , , ,即 , , 在 和 中, , , 设 ,则 , , 在 中,由勾股定理得: 解得: 故选B. 2.(2024·重庆·一模)如图,正方形 中, 是 上一点, 是 延长线上一点, ,连 接 为 中点,连接 .若 ,则 ( )A. B. C. D. 【答案】D 【分析】取 中点 ,连接 ,根据 , ,以及直角三角形,可证 ≌ , 从而得到 , ,可证得 为等腰直角三角形,则有 ,根据三角 形的外角定理有 , ,接着证 为等腰直角 三角形;设 , ,则 ,在 中, 为中位线,有 , , ,有 ,又 ,故 为等腰直角三角形, ,则 ,而 ,则 可得 ,即可求解. 【详解】解:取 中点 ,连接 , ∵四边形 是正方形,∴ , , 在 和 中, ∴ ≌ ,∴ ,∴ , ∴ 为等腰直角三角形,∴ , ∵ 分别是 和 的外角,∴ , , 设 , ,则 ,在 中, 、 分别为 、 中点, ∴ 为中位线,∴ , , , ,∴ P, 又∴ ,∴ ,∴ 为等腰直角三角形,∴ , ∴ ,而 ,∴ .故选:D. 【点睛】本题考查了正方形的性质,全等三角形的判定和性质,等腰直角三角形的性质,三角形的外角定 理等知识,作出辅助线,找到等腰直角三角形是求解的关键. 3.(2023·江苏宿迁·三模)如图,平面直角坐标系中,长方形 ,点A,C分别在y轴,x轴的正半轴 上, , , , 、 分别交 , 于点D、E,且 ,则 的长为 ( ) A.1 B. C.2 D. 【答案】C 【分析】如图,过点E作 交 延长线于点F,过点F作 交 延长线于点G,作 于H,由“AAS”可证 ,可得 , ,通过证明 , 可得 ,即可求解. 【详解】解:如图,过点E作 交 延长线于点F,过点F作 交 延长线于点G,作 于H, , , , ,, , , 在 和 中, , , , , , , ,∴四边形 是矩形, , , , , , ,∴ ,∴ , ,故选:C. 【点睛】本题考查了矩形的性质,坐标与图形性质,全等三角形的判定和性质,相似三角形的判定和性质, 添加恰当辅助线是本题的关键. 4.(23-24九年级下·湖北襄阳·期中)如图所示,边长为4的正方形 中,对角线 , 交于点 O,E在线段 上,连接 ,作 交 于点F,连接 交 于点H,则下列结论:① ;② ;③ ;④若 ,则 ,正确的是( ) A.①②④ B.①③④ C.①②③ D.①②③④ 【答案】D 【分析】 由“ ”可证 ,可得 , ,由四边形的内角和定理 可证 ,可得 ; 通过证明 ,可得 ;通过证明 ,可得 ,通过证明 ,可得 ,可得结论; 通过证明 ,可得 ,即可求解. 【详解】解:如图,连接 , 四边形 是正方形, , , 又 , , , , , , , 又 , , , ,故 正确; , , , , 又 , , , ,故 正确; ., , , , , , , , , , , ,故 正确; , , , , , , 又 , , , , ,故 正确,故选:D. 【点睛】本题是四边形综合题,考查了全等三角形的判定和性质,正方形的性质,相似三角形的判定和性 质,灵活运用这些性质解决问题是本题的关键. 5.(2024·山东淄博·二模)如图, 正方形 的边长为4, 点 M 在 CB 延长线上, 作交 延长线于点 N,则 的长为 . 【答案】 【分析】在 上取一点F使得 ,连接 ,先证明 得到 , ,进而可以证明 得到 ,设 ,则 , ,在 中利用勾股定理求解即可. 【详解】解:如图所示,在 上取一点F使得 ,连接 , ∵四边形 是正方形,∴ , , ∴ ,∴ , , ∴ ,∴ , 又∵ ,∴ ,又∵ ,∴ ,∴ , 设 ,∵ , ,∴ , , ∴ ,在 中, ,∴ , 解得 ,∴ ,故答案为: . 【点睛】本题主要考查了正方形的性质、全等三角形的性质与判定、勾股定理和解一元二次方程,正确作 出辅助线构造全等三角形是解题的关键.6.(2024·吉林·二模)已知: 正方形 中, ,它的两边分别交CB, 于点 , , 于点 , 连结 , 则下列结论 ① ; ② ; ③ ; ④ 当 时, ,其中结论一定正确的序号是 . 【答案】①③④ 【分析】本题考查了正方形的性质,全等三角形的性质与判定,勾股定理;延长 至 ,使 . 证明 , ,根据全等三角形的性质进而即可判断①,根据 不一定成立,即可判断②;证明 ,进而得出 , ,得出 ,根据等角的余角相等即可判断③,进而根据等腰直角三角形的性质以及勾股定理,即可判断 ④,即可求解. 【详解】解:延长 至 ,使 . ∵四边形 是正方形, , , 在 和 中, ,∴ , , , , , , , 在 和 中, , ,∴∴ ,故①正确; ∵ 不一定成立,∴ 不一定成立,故②不正确; ∵ ∴ ,又∵ , ∴ ∴ , ∴ ∴ 又∵ ,∴ ,故③正确; 当 时,∴ ,∴ 是等腰直角三角形 ∴ 由①可得 ,∴ ,故④正确故答案为:①③④. 7.(2023·山西晋城·校联考模拟预测)如图,在矩形 中, , , , 分别为, 边 上的点.若 , ,则 的长为 . 【答案】3 【分析】先做辅助线,作出相似三角形,再用等腰直角三角形的性质,相似的判定和性质即可求得 的 长. 【详解】在 上作点G,使 ,在 上作点H,使 , ∵ ∴ 又∵ ∴ , ∴ 设 ,则 同理可得 , ∴ ∴ ∵ ∴∵ , ∴ ∴ ∴ ∴ ∴ 故填: 3 【点睛】本题考查了矩形的性质,等腰直角三角形的性质,相似的判定与性质,严格的逻辑思维时解题的 关键,做辅助线时解题的难点. 8.(2023·上海宝山·校考一模)如图,在△ABC中,AB=AC ,点D、E在边BC上,∠DAE=∠B=30°, 且 ,那么 的值是 . 【答案】 . 【分析】由已知可得 ,从而可知 , , 设AB=3x,则BE=2x,再利用勾股定理和等腰三角形性质用x表示DE和BC,从而解答 【详解】解:∵∠BAE=∠DAE+∠BAD,∠ADE=∠B+∠BAD, 又∵∠DAE=∠B=30°,∴∠BAE=∠ADE,∴ ,∴ , , 过A点作AH⊥BC,垂足为H,设AB=3x,则BE=2x, ∵∠B=30°,∴ , ,∴ , 在 中, ,又∵ ,∴ ,∴ , ∵AB=AC,AH⊥BC,∴ ,∴ , 故答案为: . 【点睛】本题考查了相似三角形的判定和性质、等腰三角形的性质以及勾股定理,利用三角形相似得到 AB与BE的关系是解题的关键. 9.(23-24九年级上·黑龙江绥化·期中)已知四边形 中, , , , , , 绕B点旋转,它的两边分别交 , (或它们的延长线)于E, F.当 绕B点旋转到 时,如图1,易证 .(不用证明)(1)当 绕B点旋 转到 时,如图2,(1)中结论是否成立?若成立,请给予证明; (2)当 绕B点旋转到 时,如图3,(1)中结论是否成立?若不成立,线段 , , 又有怎样的数量关系?请给 予证明. 【答案】(1)图2成立, ,证明见解析 (2)图3不成立, 、 、 的关系是 ,证明见解析 【分析】本题考查了全等三角形的判定与性质,本题中求证 是关键. (1)将 顺时针旋转 ,可得 ,证 ,即可求解; (2)将 顺时针旋转 ,可得 ,证 ,即可求解. 【详解】(1)解:将 顺时针旋转 ,如图,∵ , ,∴A与点C重合,∴ , ∵ , ,∴ , ∵ ,∴ ,∴ ,∴ ; (2)解:不成立,新结论为 , 将 顺时针旋转 ,如图, ∵ , ,∴A与点C重合, ,∴ , , ∵ ,∴ , ∵ ,∴ ,∵ ,∴ ,∴ ,∴ . 10.(2024·广西·模拟预测) 实践与探究:小明在课后研究正方形与等腰直角三角形叠放后各个线段间的 数量关系.已知正方形 的边长为6,等腰 的锐角顶点A与正方形 的顶点A重合,将 此三角形绕A点旋转, , 两边分别交直线 , 于M,N,旋转过程中,等腰 的边 与正方形没有交点.(1)如图1,当M,N分别在边 , 上时,小明通过测量发现 ,他 给出了如下的证明:过A作 交 延长线于G,连接 ,如图2,易证 ,则有 .请你帮助小明后续证明; (2)如图3,当M,N分别在 , 的延长线上时,请直接写出 , , 之间的数量关系; (3) 在旋转过程中,等腰直角三角形的一边正好经过正方形 边上的 中点P,求出此时 的长. 【答案】(1)见解析(2) (3) 或10 【分析】(1)根据全等三角形的性质可得 , ,进而证得 ,可得,即可得证;(2)在 上截取 ,连接 ,根据正方形的性质可得 , ,可证 ,可得 , ,利用等量代换可得 ,证得 ,可得 ,即可得出结论; (3)分类讨论:若等腰直角三角形的腰经过 边上的中点,此时P与M重合, 中,利用勾股 定理列方程求解即可;若等腰直角三角形的底经过 边上的中点, 则M,N分别在 , 的延长线上,过A作 交 于G,连接 ,证得 , 可得,则 , ,在 中,利用勾股定理列方程求解即可. 【详解】(1)证明:∵ ,∴ , , ∵ , ,∴ ,即 , 又∵ ,∴ ,∴ ,即 ; (2)解: ,理由如下:在 上截取 ,连接 , ∵四边形 是正方形,∴ , , 又∵ ,∴ ,∴ , , ∵ ,∴ ,∵ ,∴ , 又∵ ,∴ ,∴ ,∵ ,∴ ; (3)解:若等腰直角三角形的腰经过 边上的中点,此时P与M重合,如图, ∵ ,∴ ,则 ,∴ , 在 中, ,即 ,解得 ; 若等腰直角三角形的底经过 边上的中点,则M,N分别在 , 的延长线上,如图,过A作 交 于G,连接 ,易证 , 与(1)类似,可证 ,得 ,设 ,则 , ∵P是 中点,即 ,又 , , ∴ ,则 , , 在 中, ,即 ,解得 ,∴ , 综上所述, 或10. 【点睛】本题考查正方形的性质、全等三角形的性质与判定、等腰直角三角形的性质、勾股定理、解一元 一次方程,熟练掌握全等三角形的性质与判定,正确添加辅助线构造全等三角形是解题的关键. 11.(2024·重庆市育才中学二模)回答问题 (1)【初步探索】如图1:在四边形ABCD中,AB=AD,∠B=∠ADC=90°,E、F分别是BC、CD上的点, 且EF=BE+FD,探究图中∠BAE、∠FAD、∠EAF之间的数量关系. 小王同学探究此问题的方法是:延长FD到点G,使DG=BE.连接AG,先证明 ABE≌△ADG,再证明 AEF≌△AGF,可得出结论,他的结论应是_______________; △ △(2)【灵活运用】如图2,若在四边形ABCD中,AB=AD,∠B+∠D=180°.E、F分别是BC、CD上的点, 且EF=BE+FD,上述结论是否仍然成立,并说明理由; (3)【拓展延伸】知在四边形ABCD中,∠ABC+∠ADC=180°,AB=AD,若点E在CB的延长线上,点F 在CD的延长线上,如图3所示,仍然满足EF=BE+FD,请直接写出∠EAF与∠DAB的数量关系. 【答案】(1)∠BAE+∠FAD=∠EAF;(2)仍成立,理由见解析;(3)∠EAF=180°- ∠DAB 【分析】(1)延长FD到点G,使DG=BE,连接AG,可判定 ABE≌△ADG,进而得出∠BAE=∠DAG, AE=AG,再判定 AEF≌△AGF,可得出∠EAF=∠GAF=∠DAG△+∠DAF=∠BAE+∠DAF,据此得出结论; (2)延长FD到△点G,使DG=BE,连接AG,先判定 ABE≌△ADG,进而得出∠BAE=∠DAG,AE=AG, 再判定 AEF≌△AGF,可得出∠EAF=∠GAF=∠DAG△+∠DAF=∠BAE+∠DAF; (3)在△DC延长线上取一点G,使得DG=BE,连接AG,先判定 ADG≌△ABE,再判定 △AEF≌△AGF,得出∠FAE=∠FAG,最后根据∠FAE+∠FAG+∠GAE=360°,推导得到 △2∠FAE+∠DAB=360°,即可得出结论. 【详解】解:(1)∠BAE+∠FAD=∠EAF.理由: 如图1,延长FD到点G,使DG=BE,连接AG, ∵∠B=∠ADF=90°,∠ADG=∠ADF=90°,∴∠B=∠ADG=90°, 又∵AB=AD,∴△ABE≌△ADG(SAS),∴∠BAE=∠DAG,AE=AG, ∵EF=BE+FD=DG+FD=GF,AF=AF,∴△AEF≌△AGF(SSS), ∴∠EAF=∠GAF=∠DAG+∠DAF=∠BAE+∠DAF;故答案为:∠BAE+∠FAD=∠EAF; (2)仍成立,理由:如图2,延长FD到点G,使DG=BE,连接AG, ∵∠B+∠ADF=180°,∠ADG+∠ADF=180°,∴∠B=∠ADG, 又∵AB=AD,∴△ABE≌△ADG(SAS),∴∠BAE=∠DAG,AE=AG, ∵EF=BE+FD=DG+FD=GF,AF=AF,∴△AEF≌△AGF(SSS), ∴∠EAF=∠GAF=∠DAG+∠DAF=∠BAE+∠DAF; (3)∠EAF=180°- ∠DAB.证明:如图3,在DC延长线上取一点G,使得DG=BE,连接AG, ∵∠ABC+∠ADC=180°,∠ABC+∠ABE=180°,∴∠ADC=∠ABE, 又∵AB=AD,∴△ADG≌△ABE(SAS),∴AG=AE,∠DAG=∠BAE, ∵EF=BE+FD=DG+FD=GF,AF=AF,∴△AEF≌△AGF(SSS),∴∠FAE=∠FAG, ∵∠FAE+∠FAG+∠GAE=360°,∴2∠FAE+(∠GAB+∠BAE)=360°, ∴2∠FAE+(∠GAB+∠DAG)=360°,即2∠FAE+∠DAB=360°,∴∠EAF=180°- ∠DAB. 【点睛】本题属于三角形综合题,主要考查了全等三角形的判定以及全等三角形的性质的综合应用,解决 问题的关键是作辅助线构造全等三角形,根据全等三角形的对应角相等进行推导变形.解题时注意:同角 的补角相等. 12.(2024·山西吕梁·九年级校考期中)在练习课上,慧慧同学遇到了这样一道数学题:如图,把两个全等的直角三角板的斜边重合,组成一个四边形ACBD,∠ACD=30°,以D为顶点作∠MDN,交边AC,BC 于点M,N,∠MDN=60°,连接MN. 探究AM,MN,BN三条线段之间的数量关系. 慧慧分析:可先利用旋转,把其中的两条线段“接起来”,再通过证明两三角形全等,从而探究出AM, MN,BN三条线段之间的数量关系. 慧慧编题:在编题演练环节,慧慧编题如下: 如图(1),把两个全等的直角三角板的斜边重合,组成一个四边形ACBD,∠ACD=45°,以D为顶点作 ∠MDN,交边AC,BC于点M,N, ,连接MN. (1)先猜想AM,MN,BN三条线段之间的数量关系,再证明. (2)∠MDN绕点D旋转,当M,N分别在CA,BC的延长线上,完成图(2),其余条件不变,直接写出 AM,MN,BN三条线段之间的数量关系. 请你解答:请对慧慧同学所编制的问题进行解答. 【答案】【探究】AM+BN=MN,证明见解析;(1)AM+BN=MN,证明见解析;(2)BN−AM=MN, 证明见解析 【分析】探究:延长CB到E,使BE=AM,证△DAM≌△DBE,推出∠BDE=∠MDA,DM=DE,证 △MDN≌△EDN,推出MN=NE即可; (1)延长CB到E,使BE=AM,证△DAM≌△DBE,推出∠BDE=∠MDA,DM=DE,证 △MDN≌△EDN,推出MN=NE即可;(2)在CB截取BE=AM,连接DE,证△DAM≌△DBE,推出 ∠BDE=∠MDA,DM=DE,证△MDN≌△EDN,推出MN=NE即可. 【详解】探究:AM+BN=MN,证明:延长CB到E,使BE=AM, ∵∠A=∠CBD=90°,∴∠A=∠EBD=90°,在△DAM和△DBE中 ∴△DAM≌△DBE,∴∠BDE=∠MDA,DM=DE. ∵∠MDN=∠ADC=60°,∴∠ADM=∠NDC,∴∠BDE=∠NDC,∴∠MDN=∠NDE. 在△MDN和△EDN中, ∴△MDN≌△EDN,∴MN=NE. ∵NE=BE+BN=AM+BN,∴AM+BN=MN. 解:(1)AM+BN=MN.证明:延长CB到E,使BE=AM,连接DE, ∠ACD=45°, , 。 ∠MDN+∠ACD=90°, ∵∠A=∠CBD=90°,∴∠A=∠DBE=90°. ∵∠CDA+∠ACD=90°,∠MDN+∠ACD=90°,∴∠MDN=∠CDA. ∵∠MDN=∠BDC,∴∠MDA=∠CDN,∠CDM=∠NDB. 在△DAM和△DBE中, ∴△DAM≌△DBE, ∴∠BDE=∠MDA=∠CDN,DM=DE.∵∠MDN+∠ACD=90°,∠ACD+∠ADC=90°, ∴∠NDM=∠ADC=∠CDB,∴∠ADM=∠CDN=∠BDE. ∵∠CDM=∠NDB ∴∠MDN=∠NDE. 在△MDN和△EDN中, ∴△MDN≌△EDN,∴MN=NE.∵NE=BE+BN=AM+BN,∴AM+BN=MN. 解:(2)BN−AM=MN,证明:在CB截取BE=AM,连接DE, ∠ACD=45°, , ∠MDN+∠ACD=90°. ∵∠CDA+∠ACD=90°,∠MDN+∠ACD=90°,∴∠MDN=∠CDA. ∵∠ADN=∠ADN,∴∠MDA=∠CDN.∵∠B=∠CAD=90°,∴∠B=∠DAM=90°. 在△DAM和△DBE中 ∴△DAM≌△DBE,∴∠BDE=∠ADM=∠CDN,DM=DE. ∵∠ADC=∠BDC=∠MDN,∴∠MDN=∠EDN. 在△MDN和△EDN中, ∴△MDN≌△EDN,∴MN=NE. ∵NE=BN−BE=BN−AM,∴BN−AM=MN. 【点睛】本题考查了全等三角形的性质和判定的应用,主要考查学生运用性质进行推理的能力,可先利用 旋转,把其中的两条线段“接起来”,再通过证明两三角形全等是解题的关键. 13.(2024·贵州·模拟预测)如图,在正方形 中, ,E、F分别是 上的点,且 , 分别交 于点M,N,连接 .(1)如图①,试探究 和 的数量关系和位 置关系;(2)如图②,若点G是 的中点,连接 ,求证: ;(3)在(2)的条件下,若 ,求 的面积. 【答案】(1) ,且 (2)见解析(3) 【分析】(1)证明 得 ,再证明 得 ,进而 可求出 和 的数量关系和位置关系;(2)把 绕点A逆时针旋转 ,得到 ,根据 证明 得 ,由直角三角形斜边中线的性质得 ,然后证明 即可证明结论成立;(3)过点N作 于点P,过点G作 于点Q,证明四 边形 为平行四边形得 , ,再证明四边形 为平行四 边形得 ,设 ,根据 求出x的值,然后根据 求解即可. 【详解】(1) ,且 ∵ , , ,∴ . ∵ ,∴ ,∴ ∴ ∴ ,且 (2)如图,把 绕点A逆时针旋转 ,得到 ∴ , . ∵ ,∴ ,∴ ,即 , ∵ , ,∴B、D两点重合.∵ ,∴F,D,H三点共线, ∴ ,∴ .由(1) 得: , ∵G是 的中点, ,∴ ,∴ ,∴ ; (3)过点N作 于点P,过点G作 于点Q, ∴ .又∵ ,∴四边形 为平行四边形, ∴ , ,∴ 是等腰直角三角形, ∴ ,∴ ,又∵ ,∴四边形 为平行四边形,∴ . 设 ,则 , , ,∴ 解得 , ∴ .由(2)得: , . 【点睛】本题考查了正方形的性质,平行四边形的判定与性质,相似三角形的判定与性质,全等三角形的 判定与性质,直角三角形的性质,旋转的性质,正确作出辅助线是解答本题的关键. 14.(2024·江西南昌·模拟预测)【模型建立】(1)如图1,在正方形 中, , 分别是边 , 上的点,且 ,探究图中线段 , , 之间的数量关系. 小明的探究思路如下:延长 到点 ,使 ,连接 ,先证明 ,再证明 .① , , 之间的数量关系为________; ②小亮发现这里 可以由 经过一种图形变换得到,请你写出这种图形变换的过程________.像 上面这样有公共顶点,锐角等于较大角的一半,且组成这个较大角的两边相等的几何模型称为半角模型. 【类比探究】(2)如图2,在四边形 中, , 与 互补, , 分别是边 , 上的点,且 ,试问线段 , , 之间具有怎样的数量关系?判断并说明理由. 【模型应用】(3)如图3,在矩形 中,点 在边 上, , , ,求 的长. 【答案】(1)①BE+DF=EF,②将△ADF绕A点顺时针旋转90°(2)EF=DF+BE,理由见详解(3)5.2 【分析】(1)①沿着小明的思路,先证△ADF≌△ABG,再证△AEF≌△AEG,即可得出结论;②在①的 基础上,证明∠GAF=90°即可得解;(2)延长CB至点M,使得BM=DF,连接AM,先证 △ABM≌△ADF,再证△MAE≌△FAE,即可得出结论;(3)过E点作EN⊥AC于N点,设EC=x,则有x <6,即BE=6-x,分别在Rt ABE和Rt ADC中,表示出 和求出AC,再证△AEN是等腰直角三角形, △ △即可得 ,则有 ,再证Rt ABC∽Rt ENC,即有 ,进而有 △ △ ,则可得一元二次方程 ,解方程就可求出CE. 【详解】(1)①BE+DF=EF,理由如下: 沿着小明的思路进行证明,在正方形ABCD中,有AD=AB,∠D=∠ABC=90°,即有∠ABG=90°, ∵BG=DF,AD=AB,∠D=∠ABG=90°,∴△ADF≌△ABG,∴AF=AG,∠DAF=∠BAG, ∵∠BAD=90°,∠EAF=45°,∴∠BAE+∠DAF=45°,∴∠BAE+∠BAG=45°=∠EAF, ∵AF=AG,AE=AE,∴△AEF≌△AEG,∴EG=EF,∵EG=BG+BE,BG=DF,∴EF=BE+DF,结论得证; ②将△ADF绕A点顺时针旋转90°即可得到△ABG. 理由如下:在①已经证得△ADF≌△ABG,并得到∠BAE+∠BAG=45°=∠EAF, ∴∠GAF=∠EAG+∠EAF=45°+45°=90°,∴将△ADF绕A点顺时针旋转90°即可得到△ABG; 故答案为:①BE+DF=EF,②将△ADF绕A点顺时针旋转90°; (2)EF=DF+BE,理由如下:延长CB至点M,使得BM=DF,连接AM,如图, ∵∠ABC与∠D互补,∴∠D+∠ABC=180°,∵∠ABC+∠ABM=180°,∴∠ABM=∠D, ∵AB=AD,BM=DF,∴△ABM≌△ADF,∴∠DAF=∠BAM,AM=AF, ∵∠EAF= ∠BAD,∴∠BAE+∠FAD= ∠BAD,∴∠BAE+∠FAD=∠EAF, ∵∠DAF=∠BAM,∴∠BAM+∠BAE=∠EAF,∴∠MAE=∠EAF, ∵AM=AF,AE=AE,∴△MAE≌△FAE,∴ME=EF, ∵ME=BE+MB,MB=DF,∴EF=DF+BE,结论得证; (3)过E点作EN⊥AC于N点,如图, ∵AD=6,AB=4,∴在矩形ABCD中,AD=BC=6,AB=DC=4,∠D=∠B=90°, ∴设EC=x,则有x<6,∴BE=BC-EC=6-x,在Rt ABE中, , △在Rt ADC中, , △ ∵∠CAE=45°,EN⊥AC,∴∠ANE=90°=∠ENC,∴∠AEN=45°,∴△AEN是等腰直角三角形, ∴ ,∴ ,即: ∵∠ENC=90°=∠B,∠ACB=∠ECN,∴Rt ABC∽Rt ENC,∴ , △ △ ∵AB=4,AC= ,EC=x,∴ ,∴ , ∵ ,∴ ,∴结合x<6,解得x=5.2,∴CE=5.2. 【点睛】本题考了勾股定理、全等三角形的判定与性质、相似三角形的判定与性质、旋转的知识、等腰直 角三角形的判定与性质、一元二次方程的应用等知识,做辅助线构造全等三角形是解答本题的关键. 15.(2024·四川乐山·中考真题)在一堂平面几何专题复习课上,刘老师先引导学生解决了以下问题: 【问题情境】如图1,在 中, , ,点D、E在边 上,且 , , ,求 的长. 解:如图2,将 绕点A逆时针旋转 得到 ,连接 . 由旋转的特征得 , , , . ∵ , ,∴ . ∵ ,∴ ,即 .∴ . 在 和 中, , , ,∴___①___.∴ . 又∵ ,∴在 中,___②___. ∵ , , ∴ ___③___. 【问题解决】上述问题情境中,“①”处应填:______;“②”处应填:______;“③”处应填:______. 刘老师进一步谈到:图形的变化强调从运动变化的观点来研究,只要我们抓住了变化中的不变量,就能以 不变应万变.【知识迁移】如图3,在正方形 中,点E、F分别在边 上,满足 的周长等于正方形 的周长的一半,连结 ,分别与对角线 交于M、N两点.探究 的数量关系 并证明. 【拓展应用】如图4,在矩形 中,点E、F分别在边 上,且 .探究 的数量关系:______(直接写出结论,不必证明). 【问题再探】如图5,在 中, , , ,点D、E在边 上,且 . 设 , ,求y与x的函数关系式. 【答案】【问题解决】① ;② ;③5;【知识迁移】 ,见解析;【拓展应用】 ;【问题再探】 【分析】【问题解决】根据题中思路解答即可; 【知识迁移】如图,将 绕点 逆时针旋转 ,得到 .过点 作 交边 于点 , 连接 .由旋转的特征得 .结合题意得 .证明 ,得出 .根据正方形性质得出 .结合 ,得出 .证明 ,得 出 .证明 .得出 .在 中,根据勾股定理即可求 解; 【拓展应用】如图所示,设直线 交 延长线于 点,交 延长线于 点,将 绕着点 顺时 针旋转 ,得到 ,连接 .则 .则 , ,根据 ,证明 ,得出 ,过点H作 交 于点 O,过点H作 交 于点M,则四边形 为矩形.得出 ,证明 是等腰直角三角形,得出 , ,在 中, 根据勾股定理即可证明;【问题再探】如图,将 绕点 逆时针旋转 ,得到 ,连接 .过点 作 ,垂足为 点 ,过点 作 ,垂足为 .过点 作 ,过点 作 交 于点 、 交于点 .由旋转的特征得 .根据 ,得出 ,证明 ,得出 ,根据勾股定理算出 ,根据 ,表示出 ,证明 ,根据相似三角形的性质表示出 , ,同理可得 . ,证明四边形 为矩形.得出 , ,在 中,根据勾股定 理即可求解; 【详解】【问题解决】解:如图2,将 绕点A逆时针旋转 得到 ,连接 . 由旋转的特征得 , , , . ∵ , ,∴ . ∵ ,∴ ,即 .∴ . 在 和 中, , , ,∴① .∴ . 又∵ ,∴在 中,② . ∵ , ,∴ ③. 【知识迁移】 . 证明:如图,将 绕点 逆时针旋转 ,得到 .过点 作 交边 于点 ,连接 . 由旋转的特征得 .由题意得 ,∴ . 在 和 中, ,∴ .∴ . 又∵ 为正方形 的对角线,∴ . ∵ ,∴ . 在 和 中, , ∴ ,∴ . 在 和 中, ,∴ .∴ . 在 中, ,∴ . 【拓展应用】 . 证明:如图所示,设直线 交 延长线于 点,交 延长线于 点, 将 绕着点 顺时针旋转 ,得到 ,连接 .则 . 则 , , , , 在 和 中 , ,∴ , 过点H作 交 于点O,过点H作 交 于点M,则四边形 为矩形. ∴ , , , 是等腰直角三角形, , , , , , 在 中, , ,∴ , 即 ,又∴ , ∴ ,即 , 【问题再探】如图,将 绕点 逆时针旋转 ,得到 ,连接 .过点 作 ,垂足 为点 ,过点 作 ,垂足为 .过点 作 ,过点 作 交 于点 、 交于点 .由旋转的特征得 ., , ,即 , 在 和 中, , , , , ,又 , , , , , ,即 , , 同理可得 . , , , 又∵ ,∴四边形 为矩形. , , 在 中, . ,解得 . 【点睛】本题是四边形的综合题,考查的是旋转变换的性质、矩形的性质和判定、正方形的性质和判定、 勾股定理、等腰直角三角形的性质和判定、全等三角形的判定和性质,相似三角形的判定和性质,灵活运 用旋转变换作图,掌握以上知识点是解题的关键. 16.(2024·吉林长春·一模)【问题提出】如图①,在正方形 中, 、 分别是边 和对角线 上的点, ,从而 , ______. 【思考探究】如图②,在矩形 中, , , 、 分别是边 和对角线 上的点,,若 ,求 的长. 【拓展延伸】如图③,在菱形 中, ,对角线 , 交 的延长线于点 , 、 分别是菱形高 和对角线 上的点, , ,直接写出 的长. 【答案】问题提出: 思考探究: 拓展延伸: 【分析】[问题提出]根据正方形的性质得出 ,进而根据相似三角形的性质得出 , 即可求解;[思考探究]证明 得出 ,根据含30度角的直角三角形的性质得出 ,根据已知条件得出 ,进而即可求解; [拓展延伸] 连接 ,设 交于点 ,根据菱形的性质,勾股定理求得 ,进而得出 ,结合题意可得 ,即可得出 ,进而根据 ,得 出 ,根据 ,得出 ,证明 ,即可证明 ,根据相似三角形的性质,即可求解. 【详解】解:[问题提出]∵四边形 是正方形, 是对角线,∴ ∵ ∴ ,故答案为: . [思考探究]解:如图②在矩形 中,∵ ∴ , , ∵ ∴ ,∴ ∴ ∴ 又∵ ,则 ∴ ∴ ∵ , ,则 ,∴ [拓展延伸]如图所示,连接 ,设 交于点 , ∵四边形 是菱形,∴ , , ∵ ∴ ,则 ,∴ , ∵ ∴ ,即 ∴ ∵ ∴ ∵ ∴ 又∵ ∴ ∴ ∴ ∴ ∵ ∴ 解得: . 【点睛】本题考查了正方形的性质,菱形的性质,勾股定理,相似三角形的性质与判定,熟练掌握相似三 角形的性质与判定是解题的关键. 17.(2024·江西新余·模拟预测)【问题提出】(1)如图①,在正方形 中,点 , 分别在边 和对角线 上, ,求证: . 【尝试应用】(2)如图②,在矩形 中, , ,点 , 分别在边 和对角线 上, , ,求 的长. 【拓展提高】(3)如图③,在菱形 中, , ,点 , 分别在边 和对角线 上, , , , 的延长线交于点 ,请直接写出 的长.【答案】(1)见解析;(2) ;(3) 【分析】(1)根据正方形的性质,得 , ,结合 ,得出 ,即可作答;(2)连接 交 于点 ,证出 ,根据 相似三角形的性质,列式代入数值,计算即可作答;(3)过点 作 交 延长线于点 ,交 于点 ,连接 ,交 于点 ,证明 ,再根据等面积法,得 ,运用勾股 定理得出 的值,根据 列式,得出 的值,由 计算即可作答. 【详解】证明:(1)如图1, ∵四边形 是正方形∴ ,∴ ∵ ∴ ∴ ,可得 ,即 ; 解:(2)如图2,连接 交 于点 ,∵四边形 是矩形∴ , ∴ , , ∵ ∴ ∴ ,则 则 ∴ ; 解:(3)如图3,过点 作 交 延长线于点 ,交 于点 ,连接 ,交 于点 . ∵四边形 是菱形,∴ , , , , ∵ ∴ 则 ∴ ∵ ∴ ∴ , 则 . , . , ∵四边形 是菱形∴ ∴ ∴ 得 , , . 【点睛】本题考查了相似三角形的判定与性质、正方形的性质、矩形的性质、菱形的性质,综合性强,难 度适中,正确掌握相关性质内容是解题的关键. 18.(2023·内蒙古赤峰·统考中考真题)数学兴趣小组探究了以下几何图形.如图①,把一个含有 角的 三角尺放在正方形 中,使 角的顶点始终与正方形的顶点 重合,绕点 旋转三角尺时, 角的 两边 , 始终与正方形的边 , 所在直线分别相交于点 , ,连接 ,可得 . 【探究一】如图②,把 绕点C逆时针旋转 得到 ,同时得到点 在直线 上.求证: ; 【探究二】在图②中,连接 ,分别交 , 于点 , .求证: ; 【探究三】把三角尺旋转到如图③所示位置,直线 与三角尺 角两边 , 分别交于点 , . 连接 交 于点 ,求 的值.【答案】[探究一]见解析;[探究二]见解析;[探究三] 【分析】[探究一]证明 ,即可得证; [探究二]根据正方形的性质证明 ,根据三角形内角和得出 ,加上公共角 ,进而即可证明 [探究三]先证明 ,得出 , , 将 绕点 顺时针旋转 得到 ,则点 在直线 上.得出 ,根据全等三角形 的性质得出 ,进而可得 ,证明 ,根据相似三角形的性质得 出 ,即可得出结论. 【详解】[探究一] ∵把 绕点C逆时针旋转 得到 ,同时得到点 在直线 上, ∴ ,∴ ,∴ , 在 与 中 ∴ ∴ [探究二]证明:如图所示, ∵四边形 是正方形,∴ ,又 ,∴ ,∵ ,∴ ,又∵ ,∴ , 又∵公共角 ,∴ ; [探究三] 证明:∵ 是正方形的对角线, ∴ , ,∴ , ∵ ,∴ , 即 ,∴ ,∴ , , 如图所示,将 绕点 顺时针旋转 得到 ,则点 在直线 上. ∴ , ,∴ , 又 ,∴ ,∴ ,∵ ,∴ , 又 ∴ ,∴ ,即 . 【点睛】本题考查了全等三角形的性质与判定,旋转的性质,正方形的性质,相似三角形的性质与判定, 熟练掌握相似三角形的性质与判定是解题的关键.