当前位置:首页>文档>2025年中考数学几何模型综合训练(通用版)专题20全等与相似模型之手拉手模型解读与提分精练(教师版)_2数学总复习_2025中考复习资料_2025年中考数学几何模型综合训练(通用版)

2025年中考数学几何模型综合训练(通用版)专题20全等与相似模型之手拉手模型解读与提分精练(教师版)_2数学总复习_2025中考复习资料_2025年中考数学几何模型综合训练(通用版)

  • 2026-03-29 16:06:26 2026-02-05 19:26:52

文档预览

2025年中考数学几何模型综合训练(通用版)专题20全等与相似模型之手拉手模型解读与提分精练(教师版)_2数学总复习_2025中考复习资料_2025年中考数学几何模型综合训练(通用版)
2025年中考数学几何模型综合训练(通用版)专题20全等与相似模型之手拉手模型解读与提分精练(教师版)_2数学总复习_2025中考复习资料_2025年中考数学几何模型综合训练(通用版)
2025年中考数学几何模型综合训练(通用版)专题20全等与相似模型之手拉手模型解读与提分精练(教师版)_2数学总复习_2025中考复习资料_2025年中考数学几何模型综合训练(通用版)
2025年中考数学几何模型综合训练(通用版)专题20全等与相似模型之手拉手模型解读与提分精练(教师版)_2数学总复习_2025中考复习资料_2025年中考数学几何模型综合训练(通用版)
2025年中考数学几何模型综合训练(通用版)专题20全等与相似模型之手拉手模型解读与提分精练(教师版)_2数学总复习_2025中考复习资料_2025年中考数学几何模型综合训练(通用版)
2025年中考数学几何模型综合训练(通用版)专题20全等与相似模型之手拉手模型解读与提分精练(教师版)_2数学总复习_2025中考复习资料_2025年中考数学几何模型综合训练(通用版)
2025年中考数学几何模型综合训练(通用版)专题20全等与相似模型之手拉手模型解读与提分精练(教师版)_2数学总复习_2025中考复习资料_2025年中考数学几何模型综合训练(通用版)
2025年中考数学几何模型综合训练(通用版)专题20全等与相似模型之手拉手模型解读与提分精练(教师版)_2数学总复习_2025中考复习资料_2025年中考数学几何模型综合训练(通用版)
2025年中考数学几何模型综合训练(通用版)专题20全等与相似模型之手拉手模型解读与提分精练(教师版)_2数学总复习_2025中考复习资料_2025年中考数学几何模型综合训练(通用版)
2025年中考数学几何模型综合训练(通用版)专题20全等与相似模型之手拉手模型解读与提分精练(教师版)_2数学总复习_2025中考复习资料_2025年中考数学几何模型综合训练(通用版)
2025年中考数学几何模型综合训练(通用版)专题20全等与相似模型之手拉手模型解读与提分精练(教师版)_2数学总复习_2025中考复习资料_2025年中考数学几何模型综合训练(通用版)
2025年中考数学几何模型综合训练(通用版)专题20全等与相似模型之手拉手模型解读与提分精练(教师版)_2数学总复习_2025中考复习资料_2025年中考数学几何模型综合训练(通用版)
2025年中考数学几何模型综合训练(通用版)专题20全等与相似模型之手拉手模型解读与提分精练(教师版)_2数学总复习_2025中考复习资料_2025年中考数学几何模型综合训练(通用版)
2025年中考数学几何模型综合训练(通用版)专题20全等与相似模型之手拉手模型解读与提分精练(教师版)_2数学总复习_2025中考复习资料_2025年中考数学几何模型综合训练(通用版)
2025年中考数学几何模型综合训练(通用版)专题20全等与相似模型之手拉手模型解读与提分精练(教师版)_2数学总复习_2025中考复习资料_2025年中考数学几何模型综合训练(通用版)
2025年中考数学几何模型综合训练(通用版)专题20全等与相似模型之手拉手模型解读与提分精练(教师版)_2数学总复习_2025中考复习资料_2025年中考数学几何模型综合训练(通用版)
2025年中考数学几何模型综合训练(通用版)专题20全等与相似模型之手拉手模型解读与提分精练(教师版)_2数学总复习_2025中考复习资料_2025年中考数学几何模型综合训练(通用版)
2025年中考数学几何模型综合训练(通用版)专题20全等与相似模型之手拉手模型解读与提分精练(教师版)_2数学总复习_2025中考复习资料_2025年中考数学几何模型综合训练(通用版)
2025年中考数学几何模型综合训练(通用版)专题20全等与相似模型之手拉手模型解读与提分精练(教师版)_2数学总复习_2025中考复习资料_2025年中考数学几何模型综合训练(通用版)
2025年中考数学几何模型综合训练(通用版)专题20全等与相似模型之手拉手模型解读与提分精练(教师版)_2数学总复习_2025中考复习资料_2025年中考数学几何模型综合训练(通用版)
2025年中考数学几何模型综合训练(通用版)专题20全等与相似模型之手拉手模型解读与提分精练(教师版)_2数学总复习_2025中考复习资料_2025年中考数学几何模型综合训练(通用版)
2025年中考数学几何模型综合训练(通用版)专题20全等与相似模型之手拉手模型解读与提分精练(教师版)_2数学总复习_2025中考复习资料_2025年中考数学几何模型综合训练(通用版)
2025年中考数学几何模型综合训练(通用版)专题20全等与相似模型之手拉手模型解读与提分精练(教师版)_2数学总复习_2025中考复习资料_2025年中考数学几何模型综合训练(通用版)
2025年中考数学几何模型综合训练(通用版)专题20全等与相似模型之手拉手模型解读与提分精练(教师版)_2数学总复习_2025中考复习资料_2025年中考数学几何模型综合训练(通用版)
2025年中考数学几何模型综合训练(通用版)专题20全等与相似模型之手拉手模型解读与提分精练(教师版)_2数学总复习_2025中考复习资料_2025年中考数学几何模型综合训练(通用版)
2025年中考数学几何模型综合训练(通用版)专题20全等与相似模型之手拉手模型解读与提分精练(教师版)_2数学总复习_2025中考复习资料_2025年中考数学几何模型综合训练(通用版)
2025年中考数学几何模型综合训练(通用版)专题20全等与相似模型之手拉手模型解读与提分精练(教师版)_2数学总复习_2025中考复习资料_2025年中考数学几何模型综合训练(通用版)
2025年中考数学几何模型综合训练(通用版)专题20全等与相似模型之手拉手模型解读与提分精练(教师版)_2数学总复习_2025中考复习资料_2025年中考数学几何模型综合训练(通用版)
2025年中考数学几何模型综合训练(通用版)专题20全等与相似模型之手拉手模型解读与提分精练(教师版)_2数学总复习_2025中考复习资料_2025年中考数学几何模型综合训练(通用版)
2025年中考数学几何模型综合训练(通用版)专题20全等与相似模型之手拉手模型解读与提分精练(教师版)_2数学总复习_2025中考复习资料_2025年中考数学几何模型综合训练(通用版)
2025年中考数学几何模型综合训练(通用版)专题20全等与相似模型之手拉手模型解读与提分精练(教师版)_2数学总复习_2025中考复习资料_2025年中考数学几何模型综合训练(通用版)
2025年中考数学几何模型综合训练(通用版)专题20全等与相似模型之手拉手模型解读与提分精练(教师版)_2数学总复习_2025中考复习资料_2025年中考数学几何模型综合训练(通用版)
2025年中考数学几何模型综合训练(通用版)专题20全等与相似模型之手拉手模型解读与提分精练(教师版)_2数学总复习_2025中考复习资料_2025年中考数学几何模型综合训练(通用版)
2025年中考数学几何模型综合训练(通用版)专题20全等与相似模型之手拉手模型解读与提分精练(教师版)_2数学总复习_2025中考复习资料_2025年中考数学几何模型综合训练(通用版)
2025年中考数学几何模型综合训练(通用版)专题20全等与相似模型之手拉手模型解读与提分精练(教师版)_2数学总复习_2025中考复习资料_2025年中考数学几何模型综合训练(通用版)
2025年中考数学几何模型综合训练(通用版)专题20全等与相似模型之手拉手模型解读与提分精练(教师版)_2数学总复习_2025中考复习资料_2025年中考数学几何模型综合训练(通用版)
2025年中考数学几何模型综合训练(通用版)专题20全等与相似模型之手拉手模型解读与提分精练(教师版)_2数学总复习_2025中考复习资料_2025年中考数学几何模型综合训练(通用版)
2025年中考数学几何模型综合训练(通用版)专题20全等与相似模型之手拉手模型解读与提分精练(教师版)_2数学总复习_2025中考复习资料_2025年中考数学几何模型综合训练(通用版)
2025年中考数学几何模型综合训练(通用版)专题20全等与相似模型之手拉手模型解读与提分精练(教师版)_2数学总复习_2025中考复习资料_2025年中考数学几何模型综合训练(通用版)
2025年中考数学几何模型综合训练(通用版)专题20全等与相似模型之手拉手模型解读与提分精练(教师版)_2数学总复习_2025中考复习资料_2025年中考数学几何模型综合训练(通用版)
2025年中考数学几何模型综合训练(通用版)专题20全等与相似模型之手拉手模型解读与提分精练(教师版)_2数学总复习_2025中考复习资料_2025年中考数学几何模型综合训练(通用版)
2025年中考数学几何模型综合训练(通用版)专题20全等与相似模型之手拉手模型解读与提分精练(教师版)_2数学总复习_2025中考复习资料_2025年中考数学几何模型综合训练(通用版)
2025年中考数学几何模型综合训练(通用版)专题20全等与相似模型之手拉手模型解读与提分精练(教师版)_2数学总复习_2025中考复习资料_2025年中考数学几何模型综合训练(通用版)
2025年中考数学几何模型综合训练(通用版)专题20全等与相似模型之手拉手模型解读与提分精练(教师版)_2数学总复习_2025中考复习资料_2025年中考数学几何模型综合训练(通用版)
2025年中考数学几何模型综合训练(通用版)专题20全等与相似模型之手拉手模型解读与提分精练(教师版)_2数学总复习_2025中考复习资料_2025年中考数学几何模型综合训练(通用版)
2025年中考数学几何模型综合训练(通用版)专题20全等与相似模型之手拉手模型解读与提分精练(教师版)_2数学总复习_2025中考复习资料_2025年中考数学几何模型综合训练(通用版)
2025年中考数学几何模型综合训练(通用版)专题20全等与相似模型之手拉手模型解读与提分精练(教师版)_2数学总复习_2025中考复习资料_2025年中考数学几何模型综合训练(通用版)
2025年中考数学几何模型综合训练(通用版)专题20全等与相似模型之手拉手模型解读与提分精练(教师版)_2数学总复习_2025中考复习资料_2025年中考数学几何模型综合训练(通用版)
2025年中考数学几何模型综合训练(通用版)专题20全等与相似模型之手拉手模型解读与提分精练(教师版)_2数学总复习_2025中考复习资料_2025年中考数学几何模型综合训练(通用版)
2025年中考数学几何模型综合训练(通用版)专题20全等与相似模型之手拉手模型解读与提分精练(教师版)_2数学总复习_2025中考复习资料_2025年中考数学几何模型综合训练(通用版)
2025年中考数学几何模型综合训练(通用版)专题20全等与相似模型之手拉手模型解读与提分精练(教师版)_2数学总复习_2025中考复习资料_2025年中考数学几何模型综合训练(通用版)
2025年中考数学几何模型综合训练(通用版)专题20全等与相似模型之手拉手模型解读与提分精练(教师版)_2数学总复习_2025中考复习资料_2025年中考数学几何模型综合训练(通用版)
2025年中考数学几何模型综合训练(通用版)专题20全等与相似模型之手拉手模型解读与提分精练(教师版)_2数学总复习_2025中考复习资料_2025年中考数学几何模型综合训练(通用版)
2025年中考数学几何模型综合训练(通用版)专题20全等与相似模型之手拉手模型解读与提分精练(教师版)_2数学总复习_2025中考复习资料_2025年中考数学几何模型综合训练(通用版)
2025年中考数学几何模型综合训练(通用版)专题20全等与相似模型之手拉手模型解读与提分精练(教师版)_2数学总复习_2025中考复习资料_2025年中考数学几何模型综合训练(通用版)
2025年中考数学几何模型综合训练(通用版)专题20全等与相似模型之手拉手模型解读与提分精练(教师版)_2数学总复习_2025中考复习资料_2025年中考数学几何模型综合训练(通用版)
2025年中考数学几何模型综合训练(通用版)专题20全等与相似模型之手拉手模型解读与提分精练(教师版)_2数学总复习_2025中考复习资料_2025年中考数学几何模型综合训练(通用版)
2025年中考数学几何模型综合训练(通用版)专题20全等与相似模型之手拉手模型解读与提分精练(教师版)_2数学总复习_2025中考复习资料_2025年中考数学几何模型综合训练(通用版)
2025年中考数学几何模型综合训练(通用版)专题20全等与相似模型之手拉手模型解读与提分精练(教师版)_2数学总复习_2025中考复习资料_2025年中考数学几何模型综合训练(通用版)
2025年中考数学几何模型综合训练(通用版)专题20全等与相似模型之手拉手模型解读与提分精练(教师版)_2数学总复习_2025中考复习资料_2025年中考数学几何模型综合训练(通用版)
2025年中考数学几何模型综合训练(通用版)专题20全等与相似模型之手拉手模型解读与提分精练(教师版)_2数学总复习_2025中考复习资料_2025年中考数学几何模型综合训练(通用版)

文档信息

文档格式
docx
文档大小
5.434 MB
文档页数
57 页
上传时间
2026-02-05 19:26:52

文档内容

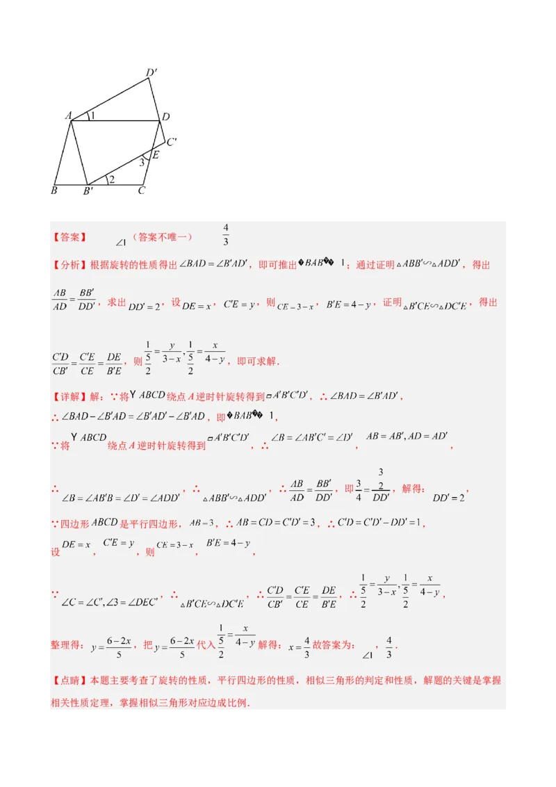
专题20 全等与相似模型之手拉手模型 全等三角形与相似三角形在中考数学几何模块中占据着重要地位。全等三角形、相似三角形与其它知 识点结合以综合题的形式呈现,其变化很多,难度大,是中考的常考题型。如果大家平时注重解题方法, 熟练掌握基本解题模型,再遇到该类问题就信心更足了。本专题就手拉手模型进行梳理及对应试题分析, 方便掌握。 .........................................................................................................................................................................................2 模型1.手拉手模型(全等模型)...................................................................................................................2 模型2.手拉手模型(相似模型).................................................................................................................12 ..................................................................................................................................................26 大家在掌握几何模型时,多数同学会注重模型结论,而忽视几何模型的证明思路及方法,导致本末倒 置。要知道数学题目的考察不是一成不变的,学数学更不能死记硬背,要在理解的基础之上再记忆,这样 才能做到对于所学知识的灵活运用,并且更多时候能够启发我们解决问题的关键就是基于已有知识、方法 的思路的适当延伸、拓展,所以学生在学习几何模型要能够做到的就是:①认识几何模型并能够从题目中 提炼识别几何模型;②记住结论,但更为关键的是记住证明思路及方法;③ 明白模型中常见的易错点, 因为多数题目考察的方面均源自于易错点。当然,以上三点均属于基础要求,因为题目的多变性,若想在 几何学习中突出,还需做到的是,在平时的学习过程中通过大题量的训练,深刻认识几何模型,认真理解 每一个题型,做到活学活用! 模型1.手拉手模型(全等模型)将两个三角形(或多边形)绕着公共顶点旋转某一角度后能完全重合,则这两个三角形构成手拉手全等, 也叫旋转型全等。其中:公共顶点A记为“头”,每个三角形另两个顶点逆时针顺序数的第一个顶点记为 “左手”,第二个顶点记为“右手”。 等线段,共顶点,旋转前后的图形大小,形状不发生变化,只是位置不同而已。解题是通过三角形全等进 行解决。SAS型全等(核心在于导角,即等角加(减)公共角)。 1)双等边三角形型 条件: ABC和 DCE均为等边三角形,C为公共点;连接BE,AD交于点F。 结论:①△ACD≌△BCE;②BE=AD;③∠AFM=∠BCM=60°;④CF平分∠BFD。 △ △ 证明: ∵ ABC和 DCE均为等边三角形,∴BC=AC,CE=CD,∠BCA=∠ECD=60° ∴∠BCA+∠△ACE=∠△ECD+∠ACE,即:∠BCE=∠ACD,∴△ACD≌△BCE(SAS), ∴BE=AD,∠CBE=∠CAD,又∵∠CMB=∠AMF,∴∠AFM=∠BCM=60°, 过点C作CP⊥AD,CQ⊥BE,则∠CQB=∠CPA=90°,又∵∠CBE=∠CAD,BC=AC,∴△BCQ≌△ACP (AAS) ∴CQ=CP,根据角平分线的判定可得:CF平分∠BFD。 2)双等腰直角三角形型条件: ABC和 DCE均为等腰直角三角形,C为公共点;连接BE,AD交于点N。 结论:△①△ACD△≌△BCE;②BE=AD;③∠ANM=∠BCM=90°;④CN平分∠BND。 证明: ∵ ABC和 DCE均为等腰直角三角形,∴BC=AC,CE=CD,∠BCA=∠ECD=90° ∴∠BCA+∠△ACE=∠△ECD+∠ACE,即∠BCE=∠ACD,∴△ACD≌△BCE(SAS), ∴BE=AD,∠CBE=∠CAD,又∵∠CMB=∠AMN,∴∠ANM=∠BCM=90°, 过点C作CP⊥AD,CQ⊥BE,则∠CQB=∠CPA=90°,又∵∠CBE=∠CAD,BC=AC,∴△BCQ≌△ACP (AAS) ∴CQ=CP,根据角平分线的判定可得:CN平分∠BND。 3)双等腰三角形型 条件:BC=AC,CE=CD,∠BCA=∠ECD,C为公共点;连接BE,AD交于点F。 结论:①△ACD≌△BCE;②BE=AD;③∠BCM=∠AFM;④CF平分∠BFD。 证明: ∵∠BCA=∠ECD,∴∠BCA+∠ACE=∠ECD+∠ACE,即∠BCE=∠ACD, 又∵BC=AC,CE=CD,∴△ACD≌△BCE(SAS),∴BE=AD,∠CBE=∠CAD, 又∵∠CMB=∠AMF,∴∠BCM=∠AFM,过点C作CP⊥AD,CQ⊥BE,则∠CQB=∠CPA=90°, 又∵∠CBE=∠CAD,BC=AC,∴△BCQ≌△ACP(AAS) ∴CQ=CP,根据角平分线的判定可得:CF平分∠BFD。 4)双正方形形型条件:四边形ABCD和四边形CEFG都是正方形,C为公共点;连接BG,ED交于点N。 结论:①△BCG≌△DCE;②BG=DE;③∠BCM=∠DNM=90°;④CN平分∠BNE。 证明: ∵四边形ABCD和四边形CEFG都是正方形,∴BC=AC,CE=CG,∠BCD=∠ECG=90° ∴∠BCD+∠DCG=∠ECG+∠DCG,即∠BCG=∠DCE,∴△BCG≌△DCE(SAS), ∴BG=DE,∠CBG=∠CDE,又∵∠CMB=∠DMN,∴∠BCM=∠DNM=90°, 过点C作CP⊥DE,CQ⊥BG,则∠CPD=∠CPB=90°,又∵∠CBG=∠CDE,BC=DC,∴△BCQ≌△DCP (AAS) ∴CQ=CP,根据角平分线的判定可得:CN平分∠BND。 例1.(23-24八年级下·辽宁丹东·期中)如图,点A,B,C在同一条直线上, , 均为等边三 角形,连接 和 , 分别交 、 于点M,P, 交 于点Q,连接 , ,下面结论:① ;② ;③ 为等边三角形;④ 平分 ;⑤ .其中结论 正确的有( ) A.1个 B.2个 C.3个 D.4个 【答案】D 【分析】根据等边三角形的性质即可证得 故①正确;根据 结合三角形外角性 质即可得出 ,故②正确;根据等边三角形的性质易证 ,得到 结合 即可得到 为等边三角形,故③正确;根据全等三角形性质,得到点 到 , 的距离相等,,从而可得点 在 的角平分线上,故④正确;已有的 条件无法求 的度数,故⑤错误;从而解题. 【详解】解: 、 为等边三角形, , , , , , 在 和 中, , ,故①正确; , , , ,故②正确; 在 和 中, , , , 为等边三角形,故③正确; , , 点 到 , 的距离相等,即 边上的高相等, 点 在 的角平分线上,即 平分 ;故④正确; 已有的条件无法求 的度数,故⑤错误;综上所述:正确的结论有4个;故选:D. 【点睛】本题考查了等边三角形的性质与判定,全等三角形的性质与判定,四点共圆的性质,三角形外角 性质,角度的运算,解题的关键是熟练掌握并运用相关知识. 例2.(2024·山东泰安·中考真题)如图1,在等腰 中, , ,点 , 分别 在 , 上, ,连接 , ,取 中点 ,连接 . (1)求证: , ;(2)将 绕点 顺时针旋转到图2的位置. ①请直接写出 与 的位置关系:___________________;②求证: . 【答案】(1)见解析(2)① ;②见解析【分析】(1)先证明 得到 , ,根据直角三角形斜边中线性质得到 ,根据等边对等角证明 ,进而可证明 ; (2)①延长 到点 ,使 ,连结 ,延长 到 ,使 ,连接 并延长交 于 点 .同(1)证明 得到 ,然后利用三角形的中位线性质得到 , 则 ,进而证明 即可得到结论; ②延长 到点 ,使 ,连接 .先证明 ,得到 , ,进 而 , .证明 得到 即可得到结论. 【详解】(1)证明:在 和 中, , , , , , . 是 斜边 的中点, , , , . , , . ; (2)解:① ;理由如下:延长 到点 ,使 ,连结 ,延长 到 ,使 , 连接 并延长交 于点 .证明 (具体证法过程跟②一样). , 是 中点, 是 中点, 是 中位线, , , , , , .故答案为: ; ②证明:延长 到点 ,使 ,连接 . , , , , , , , , , , . , .在 和 中,, , , , , , . 【点睛】本题考查全等三角形的判定与性质、直角三角形斜边中线性质、等腰三角形的判定与性质、三角 形的中位线性质、平行线的判定与性质等知识,涉及知识点较多,综合性强,熟练掌握相关知识的联系与 运用,灵活添加辅助线构造全等三角形是解答的关键. 例3.(2023·山东·九年级专题练习)已知, 为等边三角形,点 在边 上. 【基本图形】如图1,以 为一边作等边三角形 ,连结 .可得 (不需证明). 【迁移运用】如图2,点 是 边上一点,以 为一边作等边三角 .求证: . 【类比探究】如图3,点 是 边的延长线上一点,以 为一边作等边三角 .试探究线段 , , 三条线段之间存在怎样的数量关系,请写出你的结论并说明理由. 【答案】【基本图形】见解析;【迁移运用】见解析;【类比探究】见解析. 【分析】基本图形:只需要证明 得到 ,即可证明; 迁移运用:过点 作 ,交 于点 ,然后证明 得到 ,即可推出 ;类比探究:过点 作 ,交 于点 ,然后证明 ,得 到 ,再由 ,即可得到 . 【详解】基本图形:证明:∵ 与 都是等边三角形, ∴ , , , , ∴ , ,∴ , 在 与 中, ,∴ , ∴ ,∴ ,∵ ,∴ ; 迁移运用:证明:过点 作 ,交 于点 ,∵ 是等边三角形,∴ , ∵ ,∴ , , 又∵ ,∴ 为等边三角形,∴ , ∵ 为等边三角形,∴ , , ∵ , ,∴ , 在 与 中 ,∴ ,∴ ,∴ ; 类比探究:解: ,理由如下:过点 作 ,交 于点 , ∵ 是等边三角形,∴ , ∵ ,∴ , , 又∵ ,∴ 为等边三角形,∴ , ∵ 为等边三角形,∴ , , ∵ , ,∴ , 在 与 中 ,∴ ,∴ , ∵ ,∴ . 【点睛】本题主要考查了全等三角形的性质与判定,等边三角形的性质与判定,熟知全等三角形的性质与 判定条件是解题的关键. 例4.(23-24九年级上·浙江台州·期末)如图,将 绕点A顺时针旋转得到 ,并使C点的对应点D点落在直线 上.(1)如图1,证明: 平分 ;(2)如图2, 与 交于点F,若 ,求 的度数;(3)如图3,连接 ,若 ,则 的 长为 . 【答案】(1)证明见解析;(2) ;(3) . 【分析】本题主要考查旋转的性质,等腰三角形的判定与性质,勾股定理及逆定理的应用等知识,解答本 题的关键是掌握旋转的性质.(1)根据 绕点A顺时针旋转得到 ,可得 ,即得 ,故 , 平分 ;(2)设 ,根据旋转的性质和三角形外角的性质可得 ,即可解得 ;(3)过A作 于H,由已知可得 ,即可得 ,从 而 ,可得 , 是等腰直角三角形,故 . 【详解】(1)证明:∵ 绕点A顺时针旋转得到 , ∴ ,∴ ,∴ ,∴ 平分 ; (2)解:设 ,∵ ∴ , ∵ ,∴ , ∵ ,∴ ,解得 ,∴ ; (3)解:过A作 于H,如图: ∵ 绕点A顺时针旋转得到 ,∴ ,∵ ,∴ ,∵ , ∴ ,∴ ,∵ ,∴ , , ∴ ,∴ 是等腰直角三角形,∴ ,故答案为: . 例5.(2022·浙江湖州·统考中考真题)已知在Rt ABC中,∠ACB=90°,a,b分别表示∠A,∠B的对边, .记△ABC的面积为S. △ (1)如图1,分别以AC,CB为边向形外作正方形ACDE和正方形BGFC.记正方形ACDE的面积为 ,正 方形BGFC的面积为 .①若 , ,求S的值;②延长EA交GB的延长线于点N,连结FN, 交BC于点M,交AB于点H.若FH⊥AB(如图2所示),求证: . (2)如图3,分别以AC,CB为边向形外作等边三角形ACD和等边三角形CBE,记等边三角形ACD的面积 为 ,等边三角形CBE的面积为 .以AB为边向上作等边三角形ABF(点C在△ABF内),连结EF, CF.若EF⊥CF,试探索 与S之间的等量关系,并说明理由. 【答案】(1)①6;②见解析(2) ,理由见解析 【分析】(1)①将面积用a,b的代数式表示出来,计算,即可 ②利用AN公共边,发现 △FAN∽△ANB,利用 ,得到a,b的关系式,化简,变形,即可得结论 (2)等边 与等 边 共顶点B,形成手拉手模型,△ABC≌△FBE,利用全等的对应边,对应角,得到:AC=FE=b,∠FEB=∠ACB=90°,从而得到∠FEC=30°,再利用 , ,得到a与b 的关系,从而得到结论 【详解】(1)∵ , ∴b=3,a=4 ∵∠ACB=90°∴ ②由题意得:∠FAN=∠ANB=90°,∵FH⊥AB∴∠AFN=90°-∠FAH=∠NAB∴△FAN∽△ANB ∴ ∴ ,得: ∴ .即 (2) ,理由如下:∵△ABF和△BEC都是等边三角形 ∴AB=FB,∠ABC=60°-∠FBC=∠FBE,CB=EB ∴△ABC≌△FBE(SAS)∴AC=FE=b ∠FEB=∠ACB=90° ∴∠FEC=30° ∵EF⊥CF,CE=BC=a∴ ∴ ∴ 由题意得: , ∴ ∴ 【点睛】本题考查勾股定理,相似,手拉手模型,代数运算,本题难点是图二中的相似和图三中的手拉手 全等。 例6.(2024·黑龙江·九年级期中)已知Rt ABC中,AC=BC,∠ACB=90°,F为AB边的中点,且 DF=EF,∠DFE=90°,D是BC上一个动点△.如图1,当D与C重合时,易证:CD2+DB2=2DF2; (1)当D不与C、B重合时,如图2,CD、DB、DF有怎样的数量关系,请直接写出你的猜想,不需证明. (2)当D在BC的延长线上时,如图3,CD、DB、DF有怎样的数量关系,请写出你的猜想,并加以证明. 【答案】(1)CD2+DB2=2DF2 ;(2)CD2+DB2=2DF2,证明见解析 【分析】(1)由已知得 ,连接CF,BE,证明 得CD=BE,再证明 为直 角三角形,由勾股定理可得结论;(2)连接CF,BE,证明 得CD=BE,再证明 为直角三角形,由勾股定理可得结论. 【详解】解:(1)CD2+DB2=2DF2 证明:∵DF=EF,∠DFE=90°,∴ ∴ 连接CF,BE,如图 ∵△ABC是等腰直角三角形,F为斜边AB的中点 ∴ ,即 ∴ , 又 ∴ 在 和 中 ∴ ∴ , ∴ ∴ ∵ , ∴CD2+DB2=2DF2 ; (2)CD2+DB2=2DF2 证明:连接CF、BE ∵CF=BF,DF=EF又∵∠DFC+∠CFE=∠EFB+∠CFB=90° ∴∠DFC=∠EFB∴△DFC≌△EFB ∴CD=BE,∠DCF=∠EBF=135° ∵∠EBD=∠EBF-∠FBD=135°-45°=90° 在Rt DBE中,BE2+DB2=DE2 ∵ DE2=2DF2 ∴ CD2+DB2=2DF2 【点睛】本题考查了全等三角形的判定与性质、△等腰直角三角形的性质、证明三角形全等是解决问题的关 键,学会添加常用辅助线,构造全等三角形解决问题. 模型2.手拉手模型(相似模型) “手拉手”旋转型定义:如果将一个三角形绕着它的项点旋转并放大或缩小(这个顶点不变),我们称这样 的图形变换为旋转相似变换,这个顶点称为旋转相似中心,所得的三角形称为原三角形的旋转相似三角形。 手拉手模型有以下特点:1)两个三角形相似;2)这两个三角形有公共顶点,且绕顶点旋转并缩放后2个三角形可以重合;3)图形是任意三角形(只要这两个三角形是相似的)。 1)手拉手相似模型(任意三角形) 条件:如图,∠BAC=∠DAE= , ; 结论:△ADE∽△ABC,△ABD∽△ACE; ;∠BFC=∠BAC. 证明:∵ ,∴ ,∵∠BAC=∠DAE= ,∴△ADE∽△ABC, ∵∠BAC=∠DAE= ,∴∠BAC-∠DAC=∠DAE-∠DAC,∴∠BAD=∠CAE, ∵ ,∴△ABD∽△ACE,∴ ,∠ABD=∠ACE,∴∠BFC=∠BAC=∠DAE= , 2)手拉手相似模型(直角三角形) 条件:如图, , ; 结论:△AOC∽△BOD; ,AC⊥BD, . 证明:∵ ,∴∠AOB-∠BOC=∠COD-∠BOC,∴∠AOC=∠BOD, ∵ ,∴△AOC∽△BOD,∴ ,∠OAB=∠OBD, ∴∠AEB=∠AOB=90°,∴AC⊥BD,∴ . 3)手拉手相似模型(特殊的等边三角形与等腰直角三角形)M为等边三角形ABC和DEF的边AC和DF的中点; 结论:△BME∽△CMF; . 条件: 证明:∵M为等边三角形ABC和DEF的边AC和DF的中点,∴ ,∠BMC=∠EMF=90°, ∴∠BMC-∠EMC=∠EMF-∠EMC,∴∠BME=∠CMF,∴△BME∽△CMF,∴ , 条件: ABC和ADE是等腰直角三角形; 结论:△ABD∽△ACE;∠ACE=90°; . △ 证明:∵△ABC和ADE是等腰直角三角形,∴ ,∠BAC=∠DAE=45°, ∴∠BAC-∠DAC=∠DAE-∠DAC,∴∠BAD=∠CAE,∴△ABD∽△ACE, ∴ ,∠ACE=∠ABD=90° 例1.(2023·江西·一模)图形的旋转变换是研究数学相关问题的重要手段之一,小丽和小亮对等腰只角形 的旋转变换进行研究. (1)[观察猜想]如图1,△ABC是以AB、AC为腰的等腰三角形,点D、点E分别在AB、AC上.且 DE∥BC,将△ADE绕点A逆时针旋转a(0°≤a≤360°).请直接写出旋转后BD与CE的数量关系 ; (2)[探究证明]如图2,△ACB是以∠C为直角顶点的等腰直角三角形,DE∥BC分别交AC与AB两边于点E、点D.将△ADE绕点A逆时针旋转至图中所示的位置时,(1)中结论是否仍然成立.若成立,请给出 证明;若不成立,请说明理由; (3)[拓展延伸]如图3,BD是等边△ABC底边AC的中线,AE⊥BE,AE∥BC.将△ABE绕点B逆时针旋转 到△FBE,点A落在点F的位置,若等边三角形的边长为4,当AB⊥BE时,求出DF2的值. 【答案】(1)结论BD=CE.证明见解析; (2)结论不成立.BD与CE的数量关系:BD= CE.证明见解析;(3)28 【分析】(1)结论BD=CE.证明△ABD≌△ACE( );(2)结论不成立.BD与CE的数量关系: BD= CE.证明△DAB∽△EAC,可得结论;(3)根据条件可得当AB⊥BE时, ,结合等边三角形的性质,可得 ,勾股定理即可求得 . 【详解】(1)结论BD=CE.理由:如图1中,∵∠BAC=∠DAE,∴∠BAD=∠CAE, ∵AB=AC,AD=AE,∴△ABD≌△ACE( ),∴BD=EC.故答案为:BD=CE. (2)结论不成立.BD与CE的数量关系:BD= CE. 理由:∵△ABC,△AED都是等腰直角三角形,∴∠CAB=∠EAD=45°, , ∵∠DAB=∠EAC,∴△DAB∽△EAC,∴ ,∴BD= CE (3)如图3,BD是等边△ABC底边AC的中线,AE⊥BE,AE∥BC. , 将△ABE绕点B逆时针旋转到△FBE,点A落在点F的位置, 当AB⊥BE时, ABC是等边△,等边三角形的边长为4, ,【点睛】本题属于几何变换综合题,考查了全等三角形的判定和性质,相似三角形的判定和性质,勾股定 理等知识,解题的关键是正确寻找全等三角形或相似三角形解决问题. 例2.(2024·山东枣庄·二模)综合实践 问题背景:借助三角形的中位线可构造一组相似三角形,若将它们绕公共顶点旋转,对应顶点连线的长度 存在特殊的数量关系,数学小组对此进行了研究,如图1,在 中, , ,分别取 , 的中点D,E,作 .如图2所示,将 绕点A逆时针旋转,连接 , . (1)探究发现:旋转过程中,线段 和 的长度存在怎样的数量关系?写出你的猜想,并证明. (2)性质应用:如图3,当 所在直线首次经过点B时,求 的长. 【答案】(1) ,证明见解析;(2) 【分析】本题考查了相似三角形的判定和性质,旋转的性质,解直角三角形,解题的关键是熟练掌握旋转 前后对应角相等,对应边相等;相似三角形对应角相等,对应边成比例,以及解直角三角形的方法和步骤. (1)根据中点的定义得出 , 进而得出 ,易得 ,通过证明 ,即可得出结论;(2)根据题意推出 当所在直线经过点B时, ,根据勾股定理 可得 ,根据(1)可得 ,即可求解; 【详解】(1)解:猜想 ,证明如下: 在 中, , , , 的中点分别为D,E, ∴ , , ,则 ,, , , , , 将 绕点A逆时针旋转,连接 , ,根据旋转的性质可得: , , , , ; (2)解: ,分别取 , 的中点D,E, , , , , ∴当 所在直线经过点B时, , , 在 中,根据勾股定理可得: ,由(1)可得: , ,解得: ; 例3.(2024·四川成都·中考真题)数学活动课上,同学们将两个全等的三角形纸片完全重合放置,固定一 个顶点,然后将其中一个纸片绕这个顶点旋转,来探究图形旋转的性质.已知三角形纸片 和 中, , , . 【初步感知】(1)如图1,连接 , ,在纸片 绕点 旋转过程中,试探究 的值. 【深入探究】(2)如图2,在纸片 绕点 旋转过程中,当点 恰好落在 的中线 的延长线上 时,延长 交 于点 ,求 的长. 【拓展延伸】(3)在纸片 绕点 旋转过程中,试探究 , , 三点能否构成直角三角形.若能, 直接写出所有直角三角形 的面积;若不能,请说明理由. 【答案】(1) 的值为 ;(2) ;(3)直角三角形 的面积分别为4,16,12, 【分析】(1)根据 , , .证明 ,,继而得到 , 即 ,再证明 ,得到 . (2)连接 ,延长 交 于点Q,根据(1)得 ,得到 ,根据中线 得到 ,继而得到 ,结合 ,得到 即 ,得到 ,再证明 ,得证矩形 ,再利用勾 股定理,三角形相似的判定和性质计算即可.(3)运用分类思想解答即可. 【详解】(1)∵ , , .∴ , ∴ , , ∴ 即 ,∵ ∴ ,∴ . (2)连接 ,延长 交 于点Q,根据(1)得 ,∴ , ∵ 是中线∴ ,∴ , ∵ ,∴ 即 , ∴ ,∴ , ∵ ,∴ ,∴ ,∴四边形 是平行四边形, ∵ ∴四边形 矩形,∴ , ∴ ,∴ ,∴ ,设 ,则 ,∵ ,∴ ,∴ , ∵ ,∴ ,解得 ;∴ , , ∵ ,∴ ,∴ , ∴ ,∴ ,解得 . (3)如图,当 与 重合时,此时 ,此时 是直角三角形, 故 ; 如图,当 在 的延长线上时,此时 ,此时 是直角三角形, 故 ; 如图,当 时,此时 是直角三角形,过点A作 于点Q, ∵ ,∴ ,∵ , , , ∴四边形 是矩形,∴ ,∴ ,故 ; 如图,当 时,此时 是直角三角形,过点A作 于点Q,交 于点N, ∴ , ,∴ ,∴ , , ∵ ,∴ ,∴ ,∴ ,∴ ,∴ , ∵ ,∴ ,∴ ,解得 ; 故 . 【点睛】本题考查了旋转的性质,三角形相似的判定和性质,三角形中位线定理的判定和应用,三角形全 等的判定和性质,三角函数的应用,勾股定理,熟练掌握三角函数的应用,三角形相似的判定和性质,矩 形的判定和性质,中位线定理是解题的关键. 例4.(2023·黑龙江齐齐哈尔·统考中考真题)综合与实践 数学模型可以用来解决一类问题,是数学应用的基本途径.通过探究图形的变化规律,再结合其他数学知 识的内在联系,最终可以获得宝贵的数学经验,并将其运用到更广阔的数学天地. (1)发现问题:如图1,在 和 中, , , ,连接 , , 延长 交 于点 .则 与 的数量关系:______, ______ ; (2)类比探究:如图2,在 和 中, , , ,连接 , ,延长 , 交于点 .请猜想 与 的数量关系及 的度数,并说明理由; (3)拓展延伸:如图3, 和 均为等腰直角三角形, ,连接 , ,且点 , , 在一条直线上,过点 作 ,垂足为点 .则 , , 之间的数量关系: ______; (4)实践应用:正方形 中, ,若平面内存在点 满足 , ,则 ______. 【答案】(1) , (2) , ,证明见解析(3) (4) 或 【分析】(1)根据已知得出 ,即可证明 ,得出 , , 进而根据三角形的外角的性质即可求解;(2)同(1)的方法即可得证;(3)同(1)的方法证明 ,根据等腰直角三角形的性质得出 ,即可得出结论; (4)根据题意画出图形,连接 ,以 为直径, 的中点为圆心作圆,以 点为圆心, 为半径作圆,两圆交于点 ,延长 至 ,使得 ,证明 ,得出 ,勾股定理 求得 ,进而求得 ,根据相似三角形的性质即可得出 ,勾股定理求得 ,进而根据三角形的面积公式即可求解. 【详解】(1)解:∵ ,∴ , 又∵ , ,∴ ,∴ , 设 交于点 , ∵ ∴ ,故答案为: , . (2)结论: , ; 证明:∵ ,∴ ,即 , 又∵ , ,∴ ∴ , ∵ , ,∴ ,∴ , (3) , 理由如下,∵ ,∴ ,即 , 又∵ 和 均为等腰直角三角形∴ ,∴ ,∴ , 在 中, ,∴ ,∴ ; (4)解:如图所示,连接 ,以 为直径, 的中点为圆心作圆,以 点为圆心, 为半径作圆,两圆交于点 ,延长 至 ,使得 ,则 是等腰直角三角形, ∵ ,∴ , ∵ ,∴ ∴ ,∴ , ∵ ,在 中, , ∴ ∴ 过点 作 于点 ,设 ,则 , 在 中, ,在 中, ∴ ∴ 解得: ,则 , 设 交于点 ,则 是等腰直角三角形,∴ 在 中, ∴ ∴ 又 , ∴ ∴ ∴ ,∴ ∴ , 在 中, ∴ , 综上所述, 或 故答案为: 或 . 【点睛】本题考查了全等三角形的性质与判定,相似三角形的性质与判定,正方形的性质,勾股定理,直 径所对的圆周角是直角,熟练运用已知模型是解题的关键. 例5.(2024·山西·模拟预测)综合与实践 问题背景:在数学活动课上,老师带领同学们进行三角形旋转的探究,已知 和 均为等边三角形,O是 和 的中点,将 绕点O顺时针旋转. 猜想证明:(1)如图①,在 旋转的过程中,当点E恰好在 的延长线上时, 交 于点H,试判 断 的形状,并说明理由;(2)如图②,在 旋转的过程中,当点E恰好落在边 上时,连接 ,试猜想线段 与线段 的数量关系,并加以证明;(3)如图③,若 ,连接 ,设 所在直线与 所在直线交于点M,在 旋转的过程中,当点B,F,E在同一直线上时,在M,O 两点中的其中一点恰好是另一点与点C构成的线段的中点,请直接写出此时 的长. 【答案】(1) 为等腰三角形,理由见详解(2) ,证明见详解(3)1或2 【分析】(1)根据等边三角形的性质以及外角定理得到 ,则 ,即可求证; (2)连接 ,证明 ,则 ,即 ;(3)如图①,当点 在同一直线上,连接 ,先证明 ,继而得到 ,则 ,则 ,可得 ,故 ,即可求解 ;如图②,当点O为 中点时, ,在 中,由勾股定理得 ,则 ,而此时 三点共 线,故点B和点E重合,由点M是直线 与直线 的交点,得到 三点重合,故此时 的长为 的长. 【详解】(1)解: 为等腰三角形,理由:∵ 为等边三角形,∴ , , ∵O是 的中点∴ ,∵ 是等边三角形,∴ , ∵ ,∴ ,∴ ,∴ 为等腰三角形;(2)解: , 证明如下:连接 ,∵ 均是等边三角形,∴ , ∵点O为 的中点,∴ ,∴ , ∵ ,∴ ,∴ ,∴ ,∴ ; (3)解:情况一,如图①,当点 在同一直线上,连接 , ∵点O为 中点,∴ ,∵ ,∴ , ∴ ,∴ ,∴ ,∴ , ∵点M为 的中点,点O为 中点,∴ ,∴ ,即 ,解得: ; 情况二:∵ 为等边三角形,∴ ,∵点O为 中点, ,∴ , , 如图②,当点O为 中点时, , ∵等边 边长为2,∴在 中, ,∴ , ∵此时 三点共线,∴点B和点E重合,又∵点M是直线 与直线 的交点,∴ 三点重合, ∴此时 的长为 的长,即 ,综上所述,此时 的长为1或2. 【点睛】本题考查了等边三角形的性质,解直角三角形,勾股定理,全等三角形的判定与性质,相似三角形的判定与性质等知识点,正确添加辅助线,熟练掌握知识点是解题的关键. 例6.(2024·山东济南·模拟预测) (1)问题发现:如图1,矩形 与矩形 相似,且矩形 的两边分别在矩形 的边 和 上, ,连接 .线段 F与 的数量关系为 ; (2)拓展探究:如图2,将矩形 绕点A逆时针旋转,其它条件不变.在旋转的过程中,(1)中的结论 是否仍然成立,请利用图2进行说理. (3)解决问题:当矩形 的边 时,点E为直线 上异于D,C的一点,以 为边作正方形 ,点H为正方形 的中心,连接 ,若 , ,直接写出 的长. 【答案】(1) (2)(1)中的结论仍然成立,理由见解析.(3) 的长为 或 【分析】本题考查了相似多边形的性质,勾股定理,相似三角形的判定与性质等知识,解题的关键是: (1)延长 ,交 于H,连接 ,利用矩形的性质与判定可证明四边形 是矩形,得出 , ,利用相似多边形的性质得出 ,进而得出 ,在 中,由勾股定理得: ,即可求解;(2)如图2,连接 、 ,利用相似多边形的性 质、旋转的性质可证明 ,得出 ,利用矩形的性质,勾股定理可求出 , 即可得出结论; (3)分点E在线段 上,点E在线段 延长线上,利用相似三角形的判定与性质求解即可. 【详解】(1)解:如图1,延长 ,交 于H,连接 , ∵四边形 和四边形 都是矩形,∴ , ∴ ,∴四边形 是矩形,∴ , , ∵矩形 与矩形 相似, ,∴ , ∴ ,即 ,在 中,由勾股定理得: , ∴ ,故答案为: . (2)解:(1)中的结论仍然成立 理由如下:如图2,连接 、 , ∵矩形 与矩形 相似,∴ ,由旋转可得: , ∴ ,∴ , ∵ ,∴ ,∴ ,∴ ,∴ ; (3)解:①如图3,当点E在线段 上时,连接 、 , ∵四边形 ,四边形 为正方形,∴ , , ∴ ,∴ ,∴ , ∵ , ,∴ ,∴ ; ②如图4,当点E在线段 延长线上时,连接 、 , ∵四边形 ,四边形 为正方形,∴ , , ∴ ,∴ ,∴ , ∵ , ,∴ ,∴ ,综上所述, 的长为 或 . 例7.(2024·广东深圳·二模)如图,在等腰直角 中, ,D为 上一点,E为 延长 线上一点,且 , ,则 .【答案】 【分析】本题主要考查了相似三角形的判定与性质,等腰直角三角形的判定与性质,勾股定理,添加辅助 线,构造相似三角形是解题的关键.过点E作 ,交 的延长线于点H,先证明 , 得到 , ,同时计算 ,因此得到 ,再证明 ,即 可得到答案. 【详解】过点E作 ,交 的延长线于点H, , , , , , , , , , , , , , , , , .故答案为: .1.(23-24九年级下·辽宁盘锦·开学考试)如图,在 中, ,过点C作 于点D, 过点B作 于点M,连接 ,过点D作 ,交 于点N. 与 相交于点E,若点E 是 的中点,则下列结论:① ;② ;③ ;④ .其中正确的有 ( )个. A.4 B.3 C.2 D.1 【答案】A 【分析】本题考查的是全等三角形的性质和判定,等腰直角三角形的性质,相似三角形的判定和性质;证 明 是等腰直角三角形,从而证明 , ,根据全等三角形的性质即可证明 结论,证明 是等腰直角三角形,可得 , ,可得 ,即可证明结论. 【详解】解:∵ ,∴ , ∵ ,∴ , ∵ , ,∴ 是等腰直角三角形,∴ , ∵ ,∴ ,∴ ,∵ ,∴ , ∵ ,∴ ,∴ , ∵ ,∴ 是等腰直角三角形,∴ ,∴ ,故①②③正确, 过点 作 于点 ,则 , ∵ , ,∴ ,∵点E是 的中点,∴ , ∵ ,∴ ,∴ , ∴ ,∴ ,故④正确,故选:A. 2.(2022·湖南·中考真题)如图,点 是等边三角形 内一点, , , ,则 与 的面积之和为( ) A. B. C. D. 【答案】C 【分析】将 绕点B顺时针旋转 得 ,连接 ,得到 是等边三角形,再利用勾股定理 的逆定理可得 ,从而求解. 【详解】解:将 绕点 顺时针旋转 得 ,连接 , , , , 是等边三角形, ,∵ , , , , 与 的面积之和为 .故选:C. 【点睛】本题主要考查了等边三角形的判定与性质,勾股定理的逆定理,旋转的性质等知识,利用旋转将 与 的面积之和转化为 ,是解题的关键. 3.(23-24九年级上·辽宁大连·期中)如图,在 中, ,点D是边 上的一个动点,连接 ,过点C作 ,使 ,连接 ,点F是 的中点,连接 并延 长,交 边所在直线于点G,若 ,则 的长为 . 【答案】 或 【分析】分点G在 上,和在 延长线上,两种情况讨论,当点G在 上,连接 ,证明 ,可得 ,再由等腰三角形的性质可得 ,设 ,则 ,由勾股定理可得 ,即可求解;当点G在 延长线上,连接 ,同 理可证 ,得 , ,由 是等腰直角三角形, 点是 的中点,得 到 是 的垂直平分线,推出 ,设 ,则 , ,利用勾股定理即可 求解. 【详解】解:如图,当点G在 上,连接 , ∵ ,∴ ,∴ ,∵ , ,∴ , , ∴ ,∴ , ∵点F是 的中点,∴ ,即 , 是等腰直角三角形, 点是 的中点, 是 的垂直平分线, ,设 ,∵ , ,∴ , ∵ ,∴ ,解得: ,即 ; 如图,当点G在 延长线上,连接 ,同理可得: , , ∴ ,∴ , 是等腰直角三角形, 点是 的中点, 是 的垂直平分线, , 设 ,则 , , , , , ,即 ,解得: , , 综上, 的长为 或 故答案为: 或 . 【点睛】本题主要考查了全等三角形的判定和性质,勾股定理,等腰三角形的判定和性质,证明 , 是解题的关键. 4.(23-24九年级上·广东深圳·期中)如图,等腰直角 中, , ,过点 作 , ,连接 ,过点 作 ,垂足为 ,连接 ,则 长为 . 【答案】 / 【分析】利用勾股定理及等面积法求得 , , ,过点 作 交 于 ,由等腰直角三角形的性质及三角形内角和定理可证得 , , ,易知 ,可得 , ,则 ,进而由等腰三角形的性 质可得 .【详解】解:∵ , , ,∴ , ∵ ,则 ,∴ , 则 ,过点 作 交 于 ,则 , ∵ 是等腰直角三角形,∴ , ∵ , ,则 ,∴ , 又∵ ,则 ,则由三角形内角和可知: , ∴ ,∴ ,∴ , ,则 , ∵ ,则 ,∴ ,故答案为: . 【点睛】本题考查勾股定理,等腰直角三角形的判定及性质,全等三角形的判定及性质等知识,添加辅助 线构造全等三角形是解决问题的关键. 5.(2024·河南周口·模拟预测)如图, 是等边三角形, ,点E是 的平分线 上的一 动点,连接 ,将点E绕点C顺时针旋转 得到点F,连接 , .若 是直角三角形,则线 段 的长为 【答案】 或 【分析】根据等边三角形的性质和角平分线的定义可得 , ,再根据旋转的性质可得, ,利用等量代换可得 ,证得 ,可得 , , ,由 是直角三角形,分类讨论: 或 进行求解即可. 【详解】解:∵ 是等边三角形, 平分 ,∴ , , ∵将点E绕点C顺时针旋转 得到点F,∴ , , ∴ , ,∴ , ∴ ,∴ , , , ∵ 是直角三角形,当 ,在 中, ,∴ , 当 时,在 中, ,即 ,∴ , 故答案为: 或 . 【点睛】本题考查等边三角形的性质、角平分线的定义、全等三角形的判定与性质、直角三角形的性质、 勾股定理、锐角三角函数及旋转的性质,熟练掌握相关定理证得 ,进行分类讨论是解题的 关键。 6.(2024·山东泰安·三模)将矩形ABCD绕点B顺时针旋转得到矩形 ,点A、C、D的对应点分别 为 、 、 .如图,当 过点C时,若 , ,则 的长为 .【答案】 / 【分析】本题考查的是矩形的性质、相似三角形的判定和性质、旋转变换的性质.连接 ,根据勾股定 理求出 ,根据相似三角形的性质列出比例式,计算即可. 【详解】解:如图,连接 , 由题意得, , ,由勾股定理得, , , 由勾股定理得, , , , , , ,即 ,解得, .故答案为: . 7.(2023·湖北黄石·统考中考真题)如图,将 绕点A逆时针旋转到 的位置,使点 落 在 上, 与 交于点E若 ,则 (从“ ”中选择 一个符合要求的填空); .【答案】 (答案不唯一) 【分析】根据旋转的性质得出 ,即可推出 ;通过证明 ,得出 ,求出 ,设 , ,则 , ,证明 ,得出 ,则 ,即可求解. 【详解】解:∵将 绕点A逆时针旋转得到 ,∴ , ∴ ,即 , ∵将 绕点A逆时针旋转得到 ,∴ , , ∴ ,∴ ,∴ ,即 ,解得: , ∵四边形 是平行四边形, ,∴ ,∴ , 设 , ,则 , , ∵ ,∴ ,∴ ,∴ , 整理得: ,把 代入 解得: 故答案为: , . 【点睛】本题主要考查了旋转的性质,平行四边形的性质,相似三角形的判定和性质,解题的关键是掌握 相关性质定理,掌握相似三角形对应边成比例.8.(2024·上海徐汇·九年级统考期末)如图,在Rt ABC中,∠CAB=90°,AB=AC,点D为斜边BC上一 点,且BD=3CD,将△ABD沿直线AD翻折,点B的△对应点为B′,则sin∠CB′D= . 【答案】 / 【分析】先证明A、B′、C、D四点共圆,推出∠CB′D=∠CAD,过点D作DE⊥AC于点E,利用平行线分 线段成比例定理得到AE=3CE,由勾股定理得到AD= ,再由正弦函数即可求解. 【详解】解:∵∠CAB=90°,AB=AC,∴∠ACB=∠B=45°, 由折叠的性质得∠AB′D=∠B=45°,∴∠AB′D=∠ACD=45°,∴A、B′、C、D四点共圆, ∴∠CB′D=∠CAD, 过点D作DE⊥AC于点E,∵∠CAB=90°,∴DE∥AB,∵BD=3CD,∴AE=3CE, ∵∠ACB=45°,∴△DEC是等腰直角三角形,∴DE=CE,设DE=CE=a,则AE=3CE=3a, 在Rt ADE中,AD= , △ ∴sin∠CB′D= sin∠CAD= . 故答案为: . 【点睛】本题考查了圆内接四边形的知识,正弦函数,折叠的性质以及勾股定理,解答本题的关键是明确 题意,找出所求问题需要的条件. 9.(23-24九年级上·辽宁大连·期末)【问题初探】(1)在数学活动课上,王老师给出下面问题:如图 1, 和 是等边三角形,点B、C、E不在同一条直线上,请找出图中的全等三角形并直接写出结论________________;(写出一对即可) 上面几何模型被称为“手拉手”模型,面对题目时我们也会“寻模而入,破模而出”. 【类比分析】(2)如下图,已知四边形 中, , , 是 的 平分线,且 .将线段 绕点E顺时针旋转 得到线段 .当 时,连接 ,试判断线 段 和线段 的数量关系,并说明理由;①小明同学从结论出发给出如下解题思路:可以先猜测线段 和线段 的数量关系,然后通过逆用“手拉手”模型,合理添加辅助线,借助“全等”来解决问题; ②小玲同学从条件入手给出另一种解题思路:可以根据条件 ,则 ,再通过“手拉手” 模型,合理添加辅助线,构造与 全等的三角形来解决问题. 请你选择一名同学的解题思路(也可另辟蹊径)来解决问题,并说明理由. 【拓展延伸】(3)如下图, 中,当 时,点D、E为 、 上的点, , ,若 , ,求线段 的长. 【答案】(1) ;(2) ,理由见解析;(3) 【分析】(1)利用 证明 即可;(2)过点 作 平分 交 于 ,先证明四 边形 是平行四边形,可得 ,再证明 是等边三角形,推出 ,再证得 即可;(3)设 ,以 、 为边作 ,连接 ,将 绕点 逆时 针旋转 得 ,连接 ,可得 是等边三角形, , ,再得出 ,利用勾股定理建立方程求解即可得出答案. 【详解】解:(1) .理由如下:如图1,和 是等边三角形, , , , ,即 , 在 和 中, , ; (2)如图2,过点 作 平分 交 于 , 四边形 中, , , , , , 平分 , , , , , 四边形 是平行四边形, , 平分 , , , 是等边三角形, , , , ,即 ,由旋转得: , , , , ; (3)如图3,以 、 为边作平行四边形 ,连接 , 则 , , , , 设 ,则 , , , 又 , 是等边三角形,将 绕点 逆时针旋转 得 ,连接 , 是等边三角形, , , , , ,即 , ,即 的长为 . 【点睛】本题是几何综合题,考查了等边三角形的性质,平行四边形的性质,旋转变换的性质,全等三角 形的判定和性质,勾股定理,正确添加辅助线是解题关键. 10.(23-24九年级下·四川达州·开学考试)已知, 与 都是等腰直角三角形, , ,连接 , .(1)如图 ,求证 ;(2)如图 ,点 在 内, , , 三点在同一直线上,过点 作 的高 ,证明: ;(3)如图 ,点 在 内, 平分 , 的延长线与 交 于点 ,点 恰好为 中点,若 ,求线段 的长. 【答案】(1)见详解(2)见详解(3) 【分析】本题是三角形的综合问题,考查了等腰直角三角形的性质,全等三角形的判定与性质,等腰三角 形的性质和直角三角形斜边中线的性质等知识点,灵活运用这些性质解决问题是解题的关键. (1)由“ ”可证 ,可得 ;(2)同理知: ,先根据等腰三角形三线 合一的性质得 ,再由直角三角形斜边中线的性质得 ,最后由线段的和可得结论; (3)连接 ,设 ,则 , , ,由(1)知 ,得 ,证明 ,得 ,计算 ,列方程即可解 答. 【详解】(1)证明: 与 都是等腰直角三角形, , , , , , , ; (2)证明: , , , , , ,由(1)可知: , 点 在 内, , , 三点在同一直线上, (3)解:如图 ,连接 , 平分 , , , , , , 设 ,则 , , ,由(1)知 , ,, , , , 是 的中点, , , , , , , , , , , , , , ; 11.(2023·河南新乡·模拟预测)问题发现:如图1,在△ABC中,AB=AC, ,D为BC边 上一点(不与点B,C重合),将线段AD绕点A逆时针旋转60°得到AE,则: (1)①∠ACE的度数是 ;②线段AC,CD,CE之间的数量关系是 . 拓展探究:(2)如图2,在△ABC中,AB=AC, D为BC边上一点(不与点B,C重合),将 线段AD绕点A逆时针旋转90°得到AE,连接EC,请写出∠ACE的度数及线段AD,BD,CD之间得数量 关系,并说明理由; 解决问题:(3)如图3,在Rt DBC中,DB=3,DC=5,∠BDC=90°,若点A满足AB=AC,∠BAC= 90°,请直接写出线段AD的△长度. 【答案】(1)60°,AC=DC+EC(2)∠ACE=45°,BD2+CD2=2AD2,见解析(3)AD= 或AD=4 【分析】(1)证明 BAD≌△CAE,根据全等三角形的性质解答;(2)根据全等三角形的性质得到 BD=CE,∠ACE=∠△B,得到∠DCE=90°,根据勾股定理计算即可;(3)如图3,作AE⊥CD于E,连接AD,根据勾股定理得到BC= = ,推出点B,C,A,D四点共圆,根据圆周角定理得到 ∠ADE=45°,求得 ADE是等腰直角三角形,得到AE=DE,根据勾股定理即可得到结论. (1)解:∵在△A△BC中,AB=AC,∠BAC=60°, ∴AC=AB=BC,根据旋转性质得:∠B=∠BAC=∠DAE=60°,AD=AE, ∴∠BAC﹣∠DAC=∠DAE﹣∠DAC,即∠BAD=∠CAE, 在△BAD和△CAE中, ,∴△BAD≌△CAE(SAS), ∴∠ACE=∠B=60°,BD=CE,∴BC=BD+CD=EC+CD,∴AC=BC=EC+CD; 故答案为:60°,AC=DC+EC; (2)解:BD2+CD2=2AD2,理由如下:由(1)得,△BAD≌△CAE, ∴BD=CE,∠ACE=∠B=45°,∴∠DCE=90°,∴CE2+CD2=ED2, 在Rt ADE中,AD2+AE2=ED2,又AD=AE,∴BD2+CD2=2AD2; (3)△解:作AE⊥CD于E,连接AD,∵在Rt DBC中,DB=3,DC=5,∠BDC=90°,∴BC= △ , ∵∠BAC=90°,AB=AC,∴AB=AC= ,∠ABC=∠ACB=45°, ∵∠BDC=∠BAC=90°,∴点B,C,A,D四点共圆,∴∠ADE=∠ABC=45°, ∴△ADE是等腰直角三角形,∴AE=DE,∴CE=5﹣DE, ∵AE2+CE2=AC2,∴AE2+(5﹣AE)2=17,∴AE=1,或AE=4,∴AD= 或AD=4 . 【点睛】本题考查的是全等三角形的判定和性质、勾股定理、以及旋转变换的性质,掌握全等三角形的判 定定理和性质定理是解题的关键. 12.(2024·河南新乡·模拟预测)问题发现:如图1,在△ABC中,AB=AC, ,D为BC边上一点(不与点B,C重合),将线段AD绕点A逆时针旋转60°得到AE,则: (1)①∠ACE的度数是 ;②线段AC,CD,CE之间的数量关系是 . 拓展探究:(2)如图2,在△ABC中,AB=AC, D为BC边上一点(不与点B,C重合),将 线段AD绕点A逆时针旋转90°得到AE,连接EC,请写出∠ACE的度数及线段AD,BD,CD之间得数量 关系,并说明理由; 解决问题:(3)如图3,在Rt DBC中,DB=3,DC=5,∠BDC=90°,若点A满足AB=AC,∠BAC= 90°,请直接写出线段AD的△长度. 【答案】(1)60°,AC=DC+EC(2)∠ACE=45°,BD2+CD2=2AD2,见解析(3)AD= 或AD=4 【分析】(1)证明 BAD≌△CAE,根据全等三角形的性质解答;(2)根据全等三角形的性质得到 BD=CE,∠ACE=∠△B,得到∠DCE=90°,根据勾股定理计算即可;(3)如图3,作AE⊥CD于E,连接 AD,根据勾股定理得到BC= = ,推出点B,C,A,D四点共圆,根据圆周角定理得到 ∠ADE=45°,求得 ADE是等腰直角三角形,得到AE=DE,根据勾股定理即可得到结论. (1)解:∵在△A△BC中,AB=AC,∠BAC=60°, ∴AC=AB=BC,根据旋转性质得:∠B=∠BAC=∠DAE=60°,AD=AE, ∴∠BAC﹣∠DAC=∠DAE﹣∠DAC,即∠BAD=∠CAE, 在△BAD和△CAE中, ,∴△BAD≌△CAE(SAS), ∴∠ACE=∠B=60°,BD=CE,∴BC=BD+CD=EC+CD, ∴AC=BC=EC+CD;故答案为:60°,AC=DC+EC; (2)解:BD2+CD2=2AD2,理由如下:由(1)得,△BAD≌△CAE, ∴BD=CE,∠ACE=∠B=45°,∴∠DCE=90°,∴CE2+CD2=ED2, 在Rt ADE中,AD2+AE2=ED2,又AD=AE,∴BD2+CD2=2AD2; △(3)解:作AE⊥CD于E,连接AD, ∵在Rt DBC中,DB=3,DC=5,∠BDC=90°,∴BC= , △ ∵∠BAC=90°,AB=AC ∴AB=AC= ,∠ABC=∠ACB=45°, ∵∠BDC=∠BAC=90°,∴点B,C,A,D四点共圆, ∴∠ADE=∠ABC=45°,∴△ADE是等腰直角三角形,∴AE=DE,∴CE=5﹣DE, ∵AE2+CE2=AC2,∴AE2+(5﹣AE)2=17,∴AE=1,或AE=4,∴AD= 或AD=4 . 【点睛】本题考查的是全等三角形的判定和性质、勾股定理、以及旋转变换的性质,掌握全等三角形的判 定定理和性质定理是解题的关键. 13.(2024·浙江绍兴·校考一模)【问题探究】(1)如图1,锐角△ABC中,分别以AB、AC为边向外作 等腰直角△ABE和等腰直角△ACD,使AE=AB,AD=AC,∠BAE=∠CAD=90°,连接BD,CE,试猜想 BD与CE的大小关系,不需要证明. 【深入探究】(2)如图2,四边形ABCD中,AB=5,BC=2,∠ABC=∠ACD=∠ADC=45°,求BD2的 值;甲同学受到第一问的启发构造了如图所示的一个和△ABD全等的三角形,将BD进行转化再计算,请 你准确的叙述辅助线的作法,再计算; 【变式思考】(3)如图3,四边形ABCD中,AB=BC,∠ABC=60°,∠ADC=30°,AD=6,BD=10, 则CD= . 【答案】(1)BD=CE;(2)BD2=54;(3)8【分析】(1)首先根据等式的性质证明∠EAC=∠BAD,则根据SAS即可证明△EAC≌△BAD,根据全等 三角形的性质即可证明;(2)在△ABC的外部,以A为直角顶点作等腰直角△BAE,使∠BAE=90°, AE=AB,连接EA、EB、EC,证明△EAC≌△BAD,证明BD=CE,然后在直角三角形BCE中利用勾股定理 即可求解; (3)先证明△ABC是等边三角形,再把△ACD绕点C逆时针旋转60°得到△BCE,连接DE,则可得 △CDE是等边三角形,再证△BDE是直角三角形,运用勾股定理求出DE的长,从而可得CD的长. 【详解】解:(1)BD=CE.理由是: ∵∠BAE=∠CAD, ∴∠BAE+∠BAC=∠CAD+∠BAC,即∠EAC=∠BAD, 在△EAC和△BAD中, , ∴△EAC≌△BAD, ∴BD=CE; (2)如图2,在△ABC的外部,以A为直角顶点作等腰直角△BAE,使∠BAE=90°,AE=AB,连接EA、 EB、EC. ∵∠ACD=∠ADC=45°, ∴AC=AD,∠CAD=90°,∴∠BAE+∠BAC=∠CAD+∠BAC,即∠EAC= ∠BAD, 在△EAC和△BAD中, ,∴△EAC≌△BAD,∴BD=CE. ∵AE=AB=5, ∴BE= ,∠ABE=∠AEB=45°, 又∵∠ABC=45°, ∴∠ABC+∠ABE=45°+45°=90°, ∴ ,∴ . (3)如图,∵AB=BC,∠ABC=60°,∴△ABC是等边三角形,把△ACD绕点C逆时针旋转60°得到△BCE,连接DE,则BE=AD,△CDE是等边三角形, ∴DE=CD,∠CED=60°,∵∠ADC=30°, ∴∠BED=30°+60°=90°, 在Rt BDE中,DE= = =8, ∴CD=DE=8. △ 【点睛】本题考查全等三角形的判定与性质,正确理解题目之间的联系,构造全等三角形是解决本题关键. 14.(2024·江西·中考真题)综合与实践:如图,在 中,点D是斜边 上的动点(点D与点A 不重合),连接 ,以 为直角边在 的右侧构造 , ,连接 , . 特例感知(1)如图1,当 时, 与 之间的位置关系是______,数量关系是______; 类比迁移(2)如图2,当 时,猜想 与 之间的位置关系和数量关系,并证明猜想. 拓展应用(3)在(1)的条件下,点F与点C关于 对称,连接 , , ,如图3.已知 , 设 ,四边形 的面积为y.①求y与x的函数表达式,并求出y的最小值;②当 时,请 直接写出 的长度. 【答案】(1) , (2) 与 之间的位置关系是 ,数量关系是 ; (3)①y与x的函数表达式 ,当 时, 的最小值为 ;②当 时, 为 或 . 【分析】(1)先证明 , , ,可得 ;再结合全等三角形的 性质可得结论;(2)先证明 , ,结合 ,可得 ;再结合相似三角形的性质可得结论;(3)①先证明四边形 为正方形,如图,过 作 于 ,可得 , ,再分情况结合勾股定理可得函数解析式,结合函数性质可得最小值;②如图,连接 , , ,证明 , 可得 在 上,且 为直径,则 ,过 作 于 ,过 作 于 , 求解正方形面积为 ,结合 ,再解方程可得答案. 【详解】解:(1)∵ ,∴ , , ∵ ,∴ , ,∴ ; ∴ , ,∴ , ∴ ,∴ 与 之间的位置关系是 ,数量关系是 ; (2) 与 之间的位置关系是 ,数量关系是 ;理由如下: ∵ ,∴ , , ∵ ,∴ ;∴ , , ∴ ,∴ , ∴ 与 之间的位置关系是 ,数量关系是 ; (3)由(1)得: , , ,∴ , 都为等腰直角三角形; ∵点F与点C关于 对称,∴ 为等腰直角三角形; , ∴四边形 为正方形,如图,过 作 于 , ∵ , ,∴ , , 当 时,∴ ,∴ ,如图,当 时,此时 ,同理可得: , ∴y与x的函数表达式为 ,当 时, 的最小值为 ; ②如图,∵ ,正方形 ,记正方形的中心为 ,∴ , 连接 , , ,∴ ,∴ 在 上,且 为直径,∴ , 过 作 于 ,过 作 于 ,∴ , , ∴ ,∴ ,∴正方形面积为 , ∴ ,解得: , ,经检验都符合题意,如图, 综上:当 时, 为 或 . 【点睛】本题考查的是全等三角形的判定与性质,正方形的判定与性质,勾股定理的应用,相似三角形的 判定与性质,直角三角形斜边上的中线的性质,二次函数的性质,圆的确定及圆周角定理的应用,本题难 度大,作出合适的辅助线是解本题的关键. 15.(2024·广东深圳·模拟预测)在平面内,将一个多边形先绕自身的顶点A旋转一个角度 ,再将旋转后的多边形以点A为位似中心放大或缩小,使所得多边形与原多边形对应线段 的比为k,称这种变换为自旋转位似变换.若顺时针旋转,记作 顺 ;若逆时针旋转,记作 逆 . 例如:如图①,先将 绕点B逆时针旋转 ,得到 ,再将 以点B为位似中心缩小到 原来的 ,得到 ,这个变换记作 逆 .(1)如图②, 经过 顺 得到 ,用尺规作出 .(保留作图痕迹) (2)如图③, 经过 逆 得到 , 经过 顺 得到 ,连接 . 求证:四边形AFDE是平行四边形.(3)如图④,在 中, , , .若 经 过(2)中的变换得到的四边形 是正方形,请直接写出 的长. 【答案】(1)见解析(2)见解析(3) 【分析】(1)旋转 ,可作等边三角形 , ,从而得出 点和点 对应点 , 进而作出图形; (2)根据 和 位似, 与 位似得出 , , ,进而 推出 ,从而 ,进而得出 ,同理可得: ,从而推出四边形 是平行四边形;(3)要使 是正方形,应使 , ,从而得出 ,从而得出 ,从而 ,于是作等边 , 保证 ,作直径 ,保证 ,这样得出作法.并求出 的长. 【详解】(1)解:如图1,1.以B为圆心, 为半径画弧,以C为圆心, 为半径画弧,两弧在 的上方交于点D,分别以A,C为圆心,以 为半径画弧,两弧交于点E, 2.延长 至 ,使 ,延长 至 ,使 ,连接 ,则 就是求作的三角形;(2)证明:∵ 和 位似, 与 位似,∴ , , , ∴ ,∴ ,∴ ,∴ ,∴ , 同理可得: ,∴四边形 是平行四边形; (3)解:如图2,证明:由上知: , , ∴ , , , , ∴ ,要使 是正方形,应使 , , ∴ , ,∴ , ∴ ,∴ , ∴作等边 ,保证 ,作直径 ,保证 ,这样得出作法; ∵ , , ,∴ . 【点睛】本题考查了等边三角形的性质,相似三角形的判定和性质,图形的位似,圆周角定理,确定圆的 条件,尺规作图,平行四边形的判定与性质,正方形的判定与性质,解直角三角形等知识,熟练掌握以上 知识点是解决问题的关键,需要较强的分析能力. 16.(2024·黑龙江齐齐哈尔·三模)天府新区某校数学活动小组在一次活动中,对一个数学问题作如下探 究: (1)问题发现:如图1, 在等边 中, 点P是边 上任意一点, 连接 , 以 为边作等边 , 连接 . 易证: (2)变式探究:如图2,在等腰 中, ,点P是边 上任 意一点, 以 为腰作等腰 , 使 ,连接 .判断 和 的数 量关系,并说明理由:(3)解决问题:如图3,在正方形 中,点P是边 上一点,以 边作正方形 ,Q是正方形 的中心, 连接 .若正方形 的边长为6, 则正方形的边长为 【答案】(1) (2) ,理由见解析(3) 【分析】(1)利用 定理证明 ,根据全等三角形的性质解答;(2)先证明 ,得到 ,再证明 ,根据相似三角形的性质解答即可;(3)连接 、 ,证明 ,由相似三角形的性质得出 ,可求出 ,根据勾股定理 列出方程,解方程得到答案. 【详解】(1)解: 与 都是等边三角形, , , , , , 在 和 中, , , ;故答案为: ; (2)解: 和 的数量关系为: ;理由如下: 在等腰 中, , , 在等腰 中, , , , , ,∴ , , , , , ; (3)解:连接 、 ,如图3所示: 四边形 是正方形, , ,是正方形 的中心, , , , , , , , , ,设 ,则 , 在 中, ,即 ,解得: (舍去), 正方形 的边长 ,故答案为: . 【点睛】本题是四边形综合题,主要考查了等边三角形的性质、等腰三角形的性质、全等三角形的判定与 性质、正方形的性质、相似三角形的判定与性质、勾股定理等知识;熟练掌握正方形的性质,证明三角形 相似是解题的关键. 17.(2024·湖北黄石·三模)(1)如图①, 和 为等腰直角三角形, , 求证: .(2)如图②, , ,试探究线段 与 线段 的关系,并加以证明.(3)如图③, , ,求 的最大 值. 【答案】(1)见解析;(2) ,见解析;(3) 【分析】(1)证明 ,则 ; (2)证明 ,则 , ,证明 ,则 , , 由 ,可得 ,即 ; (3)如图,过点C作 ,在 上取点E使 ,连接 .由(2)知:,则 , ,由勾股定理得, ,则 ,即 最大值为 ,进而可求 的最大值. 【详解】(1)证明:∵ ,∴ ,即 , 又∵ ,∴ ,∴ ; (2)解: ,证明如下: ∵ , ,∴ ,∴ ,∴ , ∵ ,∴ ,即 , 又∵ ,∴ ,∴ , ,∴ , ∴ ,∴ ,即 ; (3)解:如图,过点C作 ,在 上取点E使 ,连接 . 由(2)知: ,∴ ,∴ , ∵ ,∴ ,∴由勾股定理得, , ∵ ,∴ ,∴ 最大值为 ,∴ 的最大值为 . 【点睛】本题考查了等腰三角形的性质,全等三角形的判定与性质,相似三角形的判定与性质,勾股定理, 三角形三边关系等知识.熟练掌握了等腰三角形的性质,全等三角形的判定与性质,相似三角形的判定与 性质,勾股定理,三角形三边关系是解题的关键. 18.(2024·湖北武汉·模拟预测)在 中, , ,且 . (1)如图1,若F、G分别是 、 的中点,求证: . (2)如图2,若 , ,连接 ,求 的值.(3)如图3,若 , ,F、G分别是 和 上的动点,且始终满足 ,将 绕A点顺时针旋转一周,则 的最小值为______. 【答案】(1)见解析;(2) ;(3) . 【分析】(1)根据相似三角形的性质及判定,即可证明结论;(2)连接 , ,同(1)可得 ,继而证明 ,可得 ,设 ,计算得 ,即可证明 ,所以 ,求得 ,即可求得答案;(3)连接 , ,同 (2)可得: ,所以 ,当 时,求得 的最小值,当D点在 上时,求得 的最小值,即得答案. 【详解】(1) , , , 又 , , , ; (2)连接 , ,同(1)可得 , , , , , , ,设 ,则 , , , , , , , , , ;(3)连接 , ,同(2)可得: , , , , , , , , 当 时, 最小,最小值为 ,当D点在 上时, 最小为 , .故答案为: . 【点睛】本题考查了线段的最值问题,图形旋转的性质,相似三角形的判定与性质,三角函数,直角三角 形的性质,添加辅助线,构造相似三角形是解题的关键. 19.(2024·陕西西安·模拟预测)(1)问题发现:如图1,在菱形 中, ,点 是对角 线 上一动点,连接 ,将 绕点 顺时针旋转 得到 ,连接 , .求 的度数. (2)问题探究:如图2,在正方形 中, ,点 是对角线 上一动点,连接 ,将 绕点 逆时针旋转 得到 ,连接 ,当 时,求 的长度; (3)问题解决:某科技公司现有一块形如矩形 的研发基地,如图3,已知 米, 米,为了响应国家“科教兴国”战略,现需要扩大基地面积.扩建方案如下:点 是对角线 上一动点, 以 为边在 右侧作直角三角形 ,满足 , ,其中将 修建成新能源研 发区, 为试验区,为保证研发效果,要使研发区(即 的面积最大,求此时试验区(即 的面积.【答案】(1) ;(2) ;(3) 平方米 【分析】(1)根据菱形的性质推出 , ,根据旋转的性质得到 , 从而推出 ,即可判定 ,然后根据全等三角形的性质得到 ; (2)过点 作 于 ,根据正方形的性质推出 是等腰直角三角形,根据 与 之间的 数量关系求出 的长后求出 和 的长,然后根据勾股定理求出 的长,由旋转的性质可知 是等腰直角三角形,求出 的长后在 中根据勾股定理即可求出结果; (3)过 作 于 ,过点 作 ,交 延长线于 ,先判定 ,求出 的长后根据相似三角形的性质及 与 的关系求出 的长,设 为 ,用含 的代数式表示出 和 的长,用三角形面积公式列出 关于 的函数关系式,根据二次函数的最值即可求出 面积 最大时的 的值,再求出此时试验区(即 的面积. 【详解】解:(1) 四边形 是菱形, , , , 由旋转可知: , , , , ; (2)如图2,过点 作 于 , 四边形 是正方形, , 是对角线, , , , 又 , 是等腰直角三角形,, , , , , 在 中, , 绕点 逆时针旋转 得到 , 是等腰直角三角形, , 在 中, , , ; (3)如图3,过 作 于 ,过点 作 ,交 延长线于 , , 四边形 是矩形, 米, 米, , (米 , (米 , 米, (米 , 中, , , , , 又 , ,又 , , ,设 米,则 米, 米, 米, 米, , 当 时, 面积最大,此时 米, 米, (米 , (米 , (平方米), 即研发区的面积最大时试验区的面积为 平方米. 【点睛】本题是四边形综合题,主要考查菱形的性质,正方形的性质,矩形的性质,全等三角形的判定与 性质,相似三角形的判定与性质,旋转的性质,勾股定理以及二次函数的应用等知识点,深入理解题意是 解决问题的关键.