当前位置:首页>文档>2025年中考数学几何模型综合训练(通用版)专题24相似模型之(双)A字型与(双)8字型模型解读与提分精练(教师版)_2数学总复习_2025中考复习资料

2025年中考数学几何模型综合训练(通用版)专题24相似模型之(双)A字型与(双)8字型模型解读与提分精练(教师版)_2数学总复习_2025中考复习资料

  • 2026-04-16 15:20:22 2026-02-05 19:36:24

文档预览

2025年中考数学几何模型综合训练(通用版)专题24相似模型之(双)A字型与(双)8字型模型解读与提分精练(教师版)_2数学总复习_2025中考复习资料
2025年中考数学几何模型综合训练(通用版)专题24相似模型之(双)A字型与(双)8字型模型解读与提分精练(教师版)_2数学总复习_2025中考复习资料
2025年中考数学几何模型综合训练(通用版)专题24相似模型之(双)A字型与(双)8字型模型解读与提分精练(教师版)_2数学总复习_2025中考复习资料
2025年中考数学几何模型综合训练(通用版)专题24相似模型之(双)A字型与(双)8字型模型解读与提分精练(教师版)_2数学总复习_2025中考复习资料
2025年中考数学几何模型综合训练(通用版)专题24相似模型之(双)A字型与(双)8字型模型解读与提分精练(教师版)_2数学总复习_2025中考复习资料
2025年中考数学几何模型综合训练(通用版)专题24相似模型之(双)A字型与(双)8字型模型解读与提分精练(教师版)_2数学总复习_2025中考复习资料
2025年中考数学几何模型综合训练(通用版)专题24相似模型之(双)A字型与(双)8字型模型解读与提分精练(教师版)_2数学总复习_2025中考复习资料
2025年中考数学几何模型综合训练(通用版)专题24相似模型之(双)A字型与(双)8字型模型解读与提分精练(教师版)_2数学总复习_2025中考复习资料
2025年中考数学几何模型综合训练(通用版)专题24相似模型之(双)A字型与(双)8字型模型解读与提分精练(教师版)_2数学总复习_2025中考复习资料
2025年中考数学几何模型综合训练(通用版)专题24相似模型之(双)A字型与(双)8字型模型解读与提分精练(教师版)_2数学总复习_2025中考复习资料
2025年中考数学几何模型综合训练(通用版)专题24相似模型之(双)A字型与(双)8字型模型解读与提分精练(教师版)_2数学总复习_2025中考复习资料
2025年中考数学几何模型综合训练(通用版)专题24相似模型之(双)A字型与(双)8字型模型解读与提分精练(教师版)_2数学总复习_2025中考复习资料
2025年中考数学几何模型综合训练(通用版)专题24相似模型之(双)A字型与(双)8字型模型解读与提分精练(教师版)_2数学总复习_2025中考复习资料
2025年中考数学几何模型综合训练(通用版)专题24相似模型之(双)A字型与(双)8字型模型解读与提分精练(教师版)_2数学总复习_2025中考复习资料
2025年中考数学几何模型综合训练(通用版)专题24相似模型之(双)A字型与(双)8字型模型解读与提分精练(教师版)_2数学总复习_2025中考复习资料
2025年中考数学几何模型综合训练(通用版)专题24相似模型之(双)A字型与(双)8字型模型解读与提分精练(教师版)_2数学总复习_2025中考复习资料
2025年中考数学几何模型综合训练(通用版)专题24相似模型之(双)A字型与(双)8字型模型解读与提分精练(教师版)_2数学总复习_2025中考复习资料
2025年中考数学几何模型综合训练(通用版)专题24相似模型之(双)A字型与(双)8字型模型解读与提分精练(教师版)_2数学总复习_2025中考复习资料
2025年中考数学几何模型综合训练(通用版)专题24相似模型之(双)A字型与(双)8字型模型解读与提分精练(教师版)_2数学总复习_2025中考复习资料
2025年中考数学几何模型综合训练(通用版)专题24相似模型之(双)A字型与(双)8字型模型解读与提分精练(教师版)_2数学总复习_2025中考复习资料
2025年中考数学几何模型综合训练(通用版)专题24相似模型之(双)A字型与(双)8字型模型解读与提分精练(教师版)_2数学总复习_2025中考复习资料
2025年中考数学几何模型综合训练(通用版)专题24相似模型之(双)A字型与(双)8字型模型解读与提分精练(教师版)_2数学总复习_2025中考复习资料
2025年中考数学几何模型综合训练(通用版)专题24相似模型之(双)A字型与(双)8字型模型解读与提分精练(教师版)_2数学总复习_2025中考复习资料
2025年中考数学几何模型综合训练(通用版)专题24相似模型之(双)A字型与(双)8字型模型解读与提分精练(教师版)_2数学总复习_2025中考复习资料
2025年中考数学几何模型综合训练(通用版)专题24相似模型之(双)A字型与(双)8字型模型解读与提分精练(教师版)_2数学总复习_2025中考复习资料
2025年中考数学几何模型综合训练(通用版)专题24相似模型之(双)A字型与(双)8字型模型解读与提分精练(教师版)_2数学总复习_2025中考复习资料
2025年中考数学几何模型综合训练(通用版)专题24相似模型之(双)A字型与(双)8字型模型解读与提分精练(教师版)_2数学总复习_2025中考复习资料
2025年中考数学几何模型综合训练(通用版)专题24相似模型之(双)A字型与(双)8字型模型解读与提分精练(教师版)_2数学总复习_2025中考复习资料
2025年中考数学几何模型综合训练(通用版)专题24相似模型之(双)A字型与(双)8字型模型解读与提分精练(教师版)_2数学总复习_2025中考复习资料
2025年中考数学几何模型综合训练(通用版)专题24相似模型之(双)A字型与(双)8字型模型解读与提分精练(教师版)_2数学总复习_2025中考复习资料
2025年中考数学几何模型综合训练(通用版)专题24相似模型之(双)A字型与(双)8字型模型解读与提分精练(教师版)_2数学总复习_2025中考复习资料
2025年中考数学几何模型综合训练(通用版)专题24相似模型之(双)A字型与(双)8字型模型解读与提分精练(教师版)_2数学总复习_2025中考复习资料
2025年中考数学几何模型综合训练(通用版)专题24相似模型之(双)A字型与(双)8字型模型解读与提分精练(教师版)_2数学总复习_2025中考复习资料
2025年中考数学几何模型综合训练(通用版)专题24相似模型之(双)A字型与(双)8字型模型解读与提分精练(教师版)_2数学总复习_2025中考复习资料
2025年中考数学几何模型综合训练(通用版)专题24相似模型之(双)A字型与(双)8字型模型解读与提分精练(教师版)_2数学总复习_2025中考复习资料
2025年中考数学几何模型综合训练(通用版)专题24相似模型之(双)A字型与(双)8字型模型解读与提分精练(教师版)_2数学总复习_2025中考复习资料
2025年中考数学几何模型综合训练(通用版)专题24相似模型之(双)A字型与(双)8字型模型解读与提分精练(教师版)_2数学总复习_2025中考复习资料
2025年中考数学几何模型综合训练(通用版)专题24相似模型之(双)A字型与(双)8字型模型解读与提分精练(教师版)_2数学总复习_2025中考复习资料
2025年中考数学几何模型综合训练(通用版)专题24相似模型之(双)A字型与(双)8字型模型解读与提分精练(教师版)_2数学总复习_2025中考复习资料
2025年中考数学几何模型综合训练(通用版)专题24相似模型之(双)A字型与(双)8字型模型解读与提分精练(教师版)_2数学总复习_2025中考复习资料
2025年中考数学几何模型综合训练(通用版)专题24相似模型之(双)A字型与(双)8字型模型解读与提分精练(教师版)_2数学总复习_2025中考复习资料
2025年中考数学几何模型综合训练(通用版)专题24相似模型之(双)A字型与(双)8字型模型解读与提分精练(教师版)_2数学总复习_2025中考复习资料
2025年中考数学几何模型综合训练(通用版)专题24相似模型之(双)A字型与(双)8字型模型解读与提分精练(教师版)_2数学总复习_2025中考复习资料
2025年中考数学几何模型综合训练(通用版)专题24相似模型之(双)A字型与(双)8字型模型解读与提分精练(教师版)_2数学总复习_2025中考复习资料

文档信息

文档格式
docx
文档大小
3.611 MB
文档页数
40 页
上传时间
2026-02-05 19:36:24

文档内容

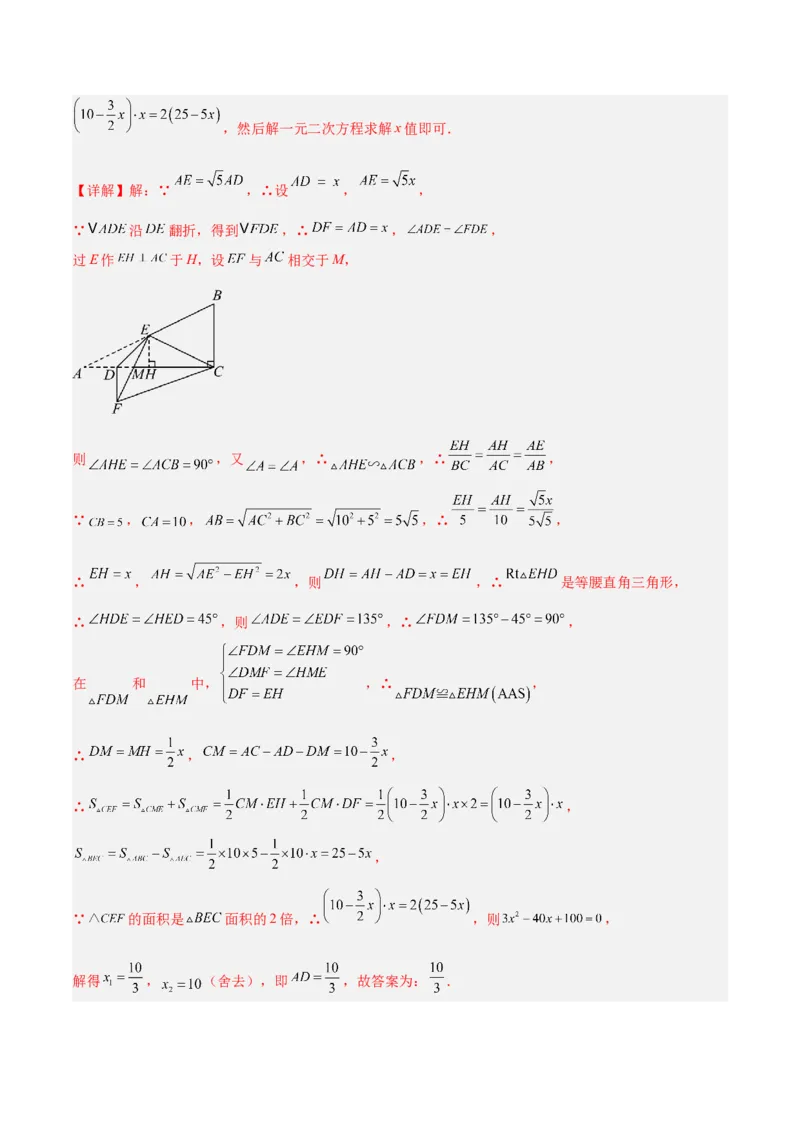
专题24 相似模型之(双)A字型与(双)8字型模型 相似三角形是几何中重要的证明模型之一,是全等三角形的推广,分析图形间的关系离不开数量的计 算。相似和勾股是产生等式的主要依据(其他依据还有面积法,三角函数等),因此要掌握相似三角形的 基本图形,体会其各种演变和联系。相似三角形是初中几何中的重要的内容,常常与其它知识点结合以综 合题的形式呈现,其变化很多,是中考的常考题型。本专题重点讲解相似三角形的(双)A字模型和 (双)8(X)字模型. .........................................................................................................................................................................................1 模型1.“A”字模型............................................................................................................................................1 模型2.“X”字模型(“8”字模型)................................................................................................................6 模型3.“AX”字模型(“A8”字模型).........................................................................................................10 ..................................................................................................................................................16 【知识储备】A字型和8(X)字型的应用难点在于过分割点(将线段分割的点)作平行线构造模型,有的 是直接作平行线,有的是间接作平行线(倍长中线就可以理解为一种间接作平行线),这一点在模考中无 论小题还是大题都是屡见不鲜的。 模型1.“A”字模型 “A”字模型图形(通常只有一个公共顶点)的两个三角形有一个“公共角”(是对应角),再有一个角相 等或夹这个公共角的两边对应成比例,就可以判定这两个三角形相似。①“A”字模型 ②反“A”字模型 ③同向双“A”字模型 ④内接矩形模型 图1 图2 图3 图4 ①“A”字模型 条件:如图1,DE∥BC;结论:△ADE∽△ABC ==。 证明:∵DE∥BC,∴∠ADE=∠ABC,∠AED=∠ACB,∴△ADE∽△⇔ABC,∴==。 ②反“A”字模型 条件:如图2,∠AED=∠B;结论:△ADE∽△ACB ==。 证明:∵∠AED=∠B,∴∠A=∠A,(公共角) ∴△ADE∽△ACB,∴=⇔=。 ③同向双“A”字模型 条件:如图3,EF∥BC; 结论:△AEF∽△ABC,△AEG∽△ABD,△AGF∽△ADC 。 证明:∵EF∥BC,∴∠AEF=∠ABC,∠AFE=∠ACB,∴△A⇔EF∽△ABC, 同理可证:△AEG∽△ABD,△AGF∽△ADC,∴==。 ④内接矩形模型 条件:如图4,△ABC的内接矩形DEFG的边EF在BC边上,D、G分别在AB、AC边 上,且AM⊥BC;结论:△ADG∽△ABC,△ADN∽△ABM,△AGN∽△ACM 。 证明:∵DEFG是矩形 ∴DG∥EF,∴∠ADG=∠ABC,∠AGD=∠ACB,∴△A⇔DG∽△ABC, 同理可证:△ADN∽△ABM,△AGN∽△ACM,∴ 。 例1.(2024·吉林长春·三模)如图,在 中,点 、 为边 的三等分点,点 、 在边 上, , 交 于点 .若 ,则 的长为 . 【答案】【分析】本题主要考查了平行线的性质,平行线分线段成比例定理,相似三角形的判定与性质,熟练掌握 平行线分线段成比例定理和相似三角形的性质是解题的关键.利用平行线的性质得到 ,利 用相似三角形的性质求得 的长度,利用平行线分线段成比例定理求得 ,再利用相似三角形的 判定与性质解答即可得出结论. 【详解】 点 , 为边 的三等分点, , , , , , 点 , 为边 的三等分点, , 点 , 为边 的三等分点, , , , , .故答案为: 例2.(2023·广东广州·模拟预测)如图,正方形 内接于 ,点 , 在 上,点 , 分 别在 和 边上,且 边上的高 , ,则正方形 的面积为 . 【答案】 【分析】本题考查相似三角形的判定和性质,正方形的性质,线段的和与差等知识.解题的关键是根据比 例表示出相应线段列方程.根据三角形相似,找到对应线段成比例列方程求解即可. 【详解】解:设正方形 的边长为 ,则 , ∵四边形 是正方形, , , , , , , , , 解得: ,正方形 的面积为 故答案为: 例3.(2024·湖南永州·模拟预测)如图: 中, , , ,把边长分别为 , , ,… 的n个正方形依次放在 中;第一个正方形 的顶点分别放在 的各边上;第二个正方形 的顶点分别放在 的各边上,其他正方形依次放入,则第2024个正方形的 边长 为 . 【答案】 / 【分析】本题主要考查了正方形的性质,相似三角形的性质与判定,图形类的规律型问题.先由正方形的 性质得到 , ,则 , ,即可推出 ,即 ,从而求出 ,同理可证 , 得到 ,即 ,推出 ,即可得到规律可推出第n个正方形的边长 ,由 此即可得到答案. 【详解】解:∵四边形 是正方形, ∴ , ,∴ , ∴ ,即 ,∴ ,∴ , 同理可证 , ∴ ,即 ,∴ ,同理可求得 ,∴可以推出第n个正方形的边长为 ,∴第2024个正方形的边长 为 ,故答案为: . 例4.(2024·山东·中考真题)如图,点 为 的对角线 上一点, , ,连接 并 延长至点 ,使得 ,连接 ,则 为( ) A. B.3 C. D.4 【答案】B 【分析】本题考查了平行四边形的性质,平行线分线段成比例定理,平行证明相似等知识点,正确作辅助 线是解题关键. 作辅助线如图,由平行正相似先证 ,再证 ,即可求得结果. 【详解】解:延长 和 ,交于 点, ∵四边形 是平行四边形,∴ , 即 ,∴ ∴ ,∵ , ,∴ ,∴ , 又∵ , ,∴ , ∵ , ,∴ ,∴ , ∴ ∴ ,∴ ,∴ ;∵ ,∴ .故选:B. 例5.(23-24九年级上·广西南宁·阶段练习)如图, ,垂足为 , ,垂足为 , 与 相交于点 ,(1)判断 与 是相似三角形吗?请说明理由;(2)连接 ,求证: ; (3)若 , , ,求 的长.【答案】(1) ,理由见解析;(2)证明见解析;(3) . 【分析】( )由垂直的定义得到 ,再利用两角对应相等的两个三角形相似即可求解; ( )根据相似三角形的性质和判定定理即可得到求证;( )利用等腰三角形的“三线合一”定理可得 ,根据直角三角形斜边上的中线等于斜边的一半即可求出 长,最后代入 , 解方程即可;本题考查了等腰三角形的性质,直角三角形斜边上的中线等于斜边的一半和相似三角形的判 定和性质的应用,能熟练地运用定理进行推理是解题的关键. 【详解】(1) ,理由如下, ∵ , ,∴ , ∵ , ,∴ ; (2)由( )得 ,∴ ,∴ , ∵ ,∴ ,∴ ,∴ ; (3)∵ , ,∴ ,∴ ,∴ ,由( )得 , ∵ ,∴ ,∵ ,∴ ,∴ . 模型2.“X”字模型(“8”字模型) “8”字模型图形的两个三角形有“对顶角”,再有一个角相等或夹对顶角的两边对应成比例就可以判定这两 个三角形相似. ①“8”字模型 ②反“8”字模型 ③平行双“8”字模型 ④斜双“8”字模型图1 图2 图3 图4 ①“8”字模型 条件:如图1,AB∥CD;结论:△AOB∽△COD ==。 证明:∵AB∥CD,∴∠A=∠C,∠B=∠D,∴△AO⇔B∽△COD,∴==。 ②反“8”字模型 条件:如图2,∠A=∠D;结论:△AOB∽△DOC ==。 证明:∵∠A=∠D,∴∠AOB=∠DOC,(对顶角)⇔ ∴△AOB∽△DOC,∴==。 ③平行双“8”字模型 条件:如图3,AB∥CD;结论: 。 证明:∵AB∥CD,∴∠A=∠D,∠AEO=∠DFO,∴△AEO∽△DFO, 同理可证:△BEO∽△CFO,△ABO∽△DCO,∴ 。 ④斜双“8”字模型 条件:如图4,∠1=∠2;结论:△AOD∽△BOC,△AOB∽△DOC 3=∠4。 证明:∵∠1=∠2,∠AOD=∠BOC(对顶角), ∴△AOD⇔∽∠△BOC,∴AO:BO=DO:CO,即 AO:DO=BO:CO; ∵∠AOB=∠DOC(对顶角),∴△AOB∽△DOC,∴∠3=∠4。 例1.(2024·吉林·中考真题)如图,正方形 的对角线 相交于点O,点E是 的中点,点 F是 上一点.连接 .若 ,则 的值为 .【答案】 【分析】本题考查相似三角形的性质与判定,正方形的性质,先由正方形的性质得到 , ,再证明 ,进而可证明 ,由相似三角形的性质可得 ,即 . 【详解】解:∵正方形 的对角线 相交于点O,∴ , , ∵点E是 的中点,∴ ,∵ ,∴ ,∴ , ∴ ,即 ,故答案为: . 例2.(23-24九年级上·浙江杭州·期中)如图, 与 交于点O, 过点O,交 于点E,交 于点 , .(1)求证: .(2)若 ,求 . 【答案】(1)见解析;(2) 【分析】(1)证明△OAB∽△ODC,可得出结论;(2) 证得AB//CD,可得 ,则可得结果 . 【详解】证明:(1) . ,. (2) 【点睛】本题考查了相似三角形的判定和性质,平行线分线段成比例定理,熟悉并灵活运用以上性质是解 题的关键. 例3.(2024·四川眉山·中考真题)如图,菱形 的边长为6, ,过点 作 ,交 的延长线于点 ,连结 分别交 , 于点 , ,则 的长为 . 【答案】 / 【分析】此题考查菱形的性质,相似三角形的性质和判定,勾股定理等知识,解题的关键是掌握以上知识 点.首先根据菱形的性质得到 , , ,然后勾股定理求出 , ,然后证明出 ,得到 , 求出 ,然后证明出 ,得到 ,求出 ,进而求解即可. 【详解】解: 菱形 的边长为6, , , , , , , ,在 中, , , , , , ,在 中, , , , , , , , , ,.故答案为: . 例4.(23-24九年级上·安徽蚌埠·期中)阅读材料:三角形的三条中线必交于一点,这个交点称为三角形 的重心.(1)特例感知:如图 一 ,已知边长为3的等边 的重心为点O,求 与 的面积; (2)性质探究:如图 二 ,已知 的重心为点O,请判断 、 是否都为定值?如果是,分别求 出这两个定值;如果不是,请说明理由; (3)性质应用:如图 三 ,在正方形ABCD中,点E是CD的中点,连接BE交对角线AC于点M. 若正方形ABCD的边长为4,求EM的长度; 若 ,求正方形ABCD的面积 【答案】(1) (2)是定值;是定值;详见解析(3)① ;② 【分析】(1)连接 ,可证 ,可推出 ,即可求解;(2)由(1)中结论 即可求解;(3)①证 即可求解;②根据 求出 即可求解. 【详解】(1)解:如图,连接 由题意可知: 为 的中位线∴ ∴ ∴ 由题意得: ∴ ∴, ; (2)解:由(1)同理可得 ,是定值;∵ ∴ 故点 到 的距离和点 到 的距离之比也为 的底 相等 故 ,是定值; (3)解: 四边形ABCD是正方形, , , , , 为CD的中点, , , , ,即 ; ,且 , , , , , , 正方形ABCD的面积为: . 【点睛】本题以三角形重心为背景,考查了相似三角形的判定与性质、勾股定理等知识点.掌握相关结论 是解题关键. 模型3.“AX”字模型(“A8”字模型) ①一“A”+“8”模型 ②两“A”+“8”模型(反向双“A”字模型) ③四“A”+“8”模型 图1 图2 图3 ①一“A”+“8”模型 条件:如图1,DE∥BC;结论:△ADE∽△ABC,△DEF∽△CBF,⇔ 。 证明:∵DE∥BC,∴∠ADE=∠ABC,∠AED=∠ACB,∴△ADE∽△ABC,∴==。 ∵DE∥BC,∴∠FDE=∠FCB,∠DEF=∠CBF,∴△DEF∽△CBF,∴ 。 ∴ 。 ②两“A”+“8”模型 条件:如图2,DE∥AF∥BC; 结论:△DAF∽△DBC,△CAF∽△CED,⇔ 。 证明:∵AF∥BC,∴∠DAF=∠B,∠DFA=∠DCB,∴△DAF∽△DBC,∴ 。 ∵DE∥AF,∴∠CAF=∠E,∠CFA=∠CDE,∴△CAF∽△CED,∴ 。 ,即 ,故 。 两式相加得到: ③四“A”+“8”模型3 条件:如图3,DE∥GF∥BC;结论:AF=AG, 。 证明:同②中的证法,易证: , , ∴ ,即AF=AG,故 。 例1.(2022·山东东营·中考真题)如图,点D为 边 上任一点, 交 于点E,连接 相交于点F,则下列等式中不成立的是( )A. B. C. D. 【答案】C 【分析】根据平行线分线段成比例定理即可判断A,根据相似三角形的性质即可判断B、C、D. 【详解】解:∵ ,∴ ,△DEF∽△CBF,△ADE∽△ABC,故A不符合题意; ∴ , ,故B不符合题意,C符合题意;∴ ,故D不符合题意;故选 C. 【点睛】本题主要考查了相似三角形的性质与判定,平行线分线段成比例定理,熟知相似三角形的性质与 判定,平行线分线段成比例定理是解题的关键. 例2.(2023·安徽·三模)如图,已知 、 , 与 相交于点 ,作 于点 , 点 是 的中点, 于点 ,交 于点 ,若 , ,则 值为( ) A. B. C. D. 【答案】A 【分析】证明 , , , ,求出 ,求出 , ,得出 即可得出答案. 【详解】解: 、 , ,∴ , , , ∴ , ,∴ , ,∴ , ,∴ , 点 是 的中点, , , , ∴ , ,∴ ,∴ ,故选: . 【点睛】本题主要考查了相似三角形的判定和性质,平行线的判定,解题的关键是熟练掌握相似三角形的判定,求出 . 例3.(2024·湖北·模拟预测)(1)【问题背景】如图1, , 与 相交于点E,点F在 上.求证: ; 小雅同学的想法是将结论转化为 来证明,请你按照小雅的思路完成原题的证明过程. (2)【类比探究】如图2, , , , 与 相交于点G,点H在 上, .求证: . (3)【拓展运用】如图3,在 四边形 中, ,连接, 交于点M,过点M作 , 交 于点E,交 于点F,连接 交于点N,过点N作 ,交 于点G,交 于点 H,若 , ,直接写出 的长. 【答案】(1)见解析;(2)见解析;(3) 【分析】(1)由 ,可证 ,则 ,同理可得: ,则 ,两边同时除以 ,可得 . (2)由 , , , ,可得 , ,证明 ,则 ,同理, ,则 ,两 边同时除以 得, ,进而可得 ;(3)由(1)可知,, ,则 ,解得, ,则 ,计算求解即可. 【详解】(1)证明:∵ ,∴ ,∴ .同理可得: , ∴ ,两边同时除以 ,得 . (2)证明:∵ , , , ,∴ , , ∵ ,∴ ,∴ ,同理, , ∴ ,∴ , 两边同时除以 得, ,∴ ; (3)解:由(1)可知, , , ∴ ,解得, ,∴ ,解得, ,∴ . 【点睛】本题考查了相似三角形的判定与性质,等式的性质,平行线的判定.解题的关键在于明确相似三 角形的判定条件. 例4.(2024·江苏泰州·三模)综合与实践 在初中物理学中,凸透镜成像原理与相似三角形有密切的联系.请耐心阅读以下材料: 【光学模型】如图1,通过凸透镜光心 的光线 ,其传播方向不变,经过焦点 的光线 经凸透镜 折射后平行于主光轴 沿 射出,与光线 交于点 ,过点 作主光轴 的垂线段 ,垂足为 ,即可得出物体 所成的像 .【模型验证】设焦点 到光心的距离 称为焦距,记为 ;物体 到光心的距离 称为物距,记为 ; 像 到光心的距离 称为像距,记为 . 已知 , ,当 时,求证: . 证明:∵ , ,∴ 又∵ ,∴ , ∴ ,即 ,同理可得 , ∴ ,即 ① ,∴ ② , ∴ ,∴ ,即 . 请结合上述材料,解决以下问题: (1)请补充上述证明过程中①②所缺的内容(用含 的代数式表示);(2)若该凸透镜 的焦距为20 ,物 体距凸透镜 的距离为30 ,物高为10 ,则物体 所成的像 的高度为__________ ; (3)如图2,由物理学知识知“经过点 且平行于主光轴 的光线 经凸透镜 折射后经过点 ”,小 明在做凸透镜成像实验时,不断改变物距发现光线 始终经过主光轴 上一定点.若该凸透镜 的焦 距为20 ,物高为10 ,试说明这一物理现象. 【答案】(1)① ② (2)20(3)见解析 【分析】本题主要考查了相似三角形的应用,理解题意,熟练掌握相似三角形的判定与性质是解题关键. (1)分别证明 , ,由相似三角形的性质可得 ,整理可得 ,等号两边同时除以 ,即可获得答案; (2)结合(1),首先解得 ,结合 ,代入数值求解即可; (3)设 与 交于点 ,证明四边形 为矩形,易得 ,再证明 ,由相似三角形的性质可得 ,结合(1)可得 ,等号两边同时加1,整理可得 ,结合 可得出 ,即可说明这一物理现象. 【详解】(1)证明:∵ , ,∴ 又∵ ,∴ ,∴ ,即 , 同理可得 ,∴ ,即 ,∴ , ∴ ,∴ ,即 .故答案为:① ;② ; (2)由(1)可知, , , 当 , , 时,可得 ,解得 , ∴可有 ,解得 ,即物体 所成的像 的高度为 .故答案为:20; (3)如下图,设 与 交于点 ,根据题意, , ∵ ,∴ , ∴四边形 为矩形,∴ , ∵ , ,∴ , ∴ ,即 ,由(1)可知, ,∴ , ∴ ,∴ ,即 ,∴ ,∵ ,∴ , ∴小明在做凸透镜成像实验时,不断改变物距,光线 始终经过主光轴 上一定点,该定点透镜为焦 点. 1.(2024·浙江温州·三模)如图,在 中, 平分 分别交 , , 延长线于点 , , ,记 与 的面积分别为 , ,若 ,则 的值是( ) A. B. C. D. 【答案】C 【分析】由平行四边形的性质结合角平分线的定义得出 ,推出 ,设 , ,则 , , ,证明 ,得出 ,证 明 ,得出 ,推出 , ,从而得出 , ,求出 得到 ,即可得出答案. 【详解】解:∵四边形 是平行四边形,∴ , ,∴ , ∵ 平分 ,∴ ,∴ ,∴ , ∵ ,∴设 , ,则 , ,∴ ,∵ ,∴ ,∴ ,∴ , ∵ ,∴ ,∴ ,∴ , , ∴ , ,∴ , ∴ ,∴ ,即 ,故选:C. 【点睛】本题考查了平行四边形的性质、角平分线的定义、等腰三角形的判定与性质、相似三角形的判定 与性质,熟练掌握以上知识点并灵活运用,正确表示出三角形之间的面积关系是解此题的关键. 2.(2024·安徽合肥·三模)如图,已知四边形 是平行四边形,点 是AD的中点,连接 , 相 交于点 ,过 作AD的平行线交AB于点 ,若 ,则 的值是( ) A.6 B.5 C.8 D.4 【答案】A 【分析】本题考查了平行四边形的性质,形似三角形的判定及性质,熟练掌握相似三角形的判定及性质即 可得解,由四边形 是平行四边形,得 ,在证明 , ,利用相似三角形的性质即可得解. 【详解】解:∵ 是AD的中点,∴ , ∵四边形 是平行四边形,∴ , ∵ ,∴ ,∴ , , ∴ , ,∴ ,解得 ,故选: . 3.(2024·四川成都·中考真题)如图,在 中,按以下步骤作图:①以点 为圆心,以适当长为半 径作弧,分别交 , 于点 , ;②分别以 , 为圆心,以大于 的长为半径作弧,两弧在 内交于点 ;③作射线 ,交 于点 ,交 延长线于点 .若 , ,下列结论错误的是( ) A. B. C. D. 【答案】D 【分析】本题考查角平分线的尺规作图、平行四边形的性质、等腰三角形的判定以及相似性质与判定的综 合.先由作图得到 为 的角平分,利用平行线证明 ,从而得到 , 再利用平行四边形的性质得到 ,再证明 ,分别求出 , ,则各选项可以判定. 【详解】解:由作图可知, 为 的角平分,∴ ,故A正确; ∵四边形 为平行四边形,∴ , ∵ ∴ ,∴ , ∴ ,∴ ,故B正确; ∵ ,∴ ,∵ ,∴ , ∴ ,∴ ,∴ , ,故D错误; ∵ ,∴ ,故C正确,故选:D. 4.(2024九年级下·广东·专题练习)如图,在 中, ,高 ,正方形 一边在 上,点E,F分别在 , 上, 交 于点N,则 的长为( ) A.15 B.20 C.25 D.30 【答案】B 【分析】本题考查了相似三角形的判定和性质,矩形的性质,证明相似三角形是解题的关键.设正方形 的边长 ,先证明四边形 是矩形,则 ,根据正方形的性质得出 ,推出 ,根据相似三角形的性质计算即可得解. 【详解】解:设正方形 的边长 , ∵四边形 是正方形, , , , ∵ 是 的高, ,∴四边形 是矩形, , , (相似三角形对应边上的高的比等于相似比), , , ,解得: , .故选: B. 5.(2024·云南楚雄·模拟预测)如图,在 中,E线段 上一点,且 ,过点C作 ,交 的延长线于点D.若 的面积为 ,则 的面积为( ) A. B. C. D. 【答案】C 【分析】本题考查相似三角形判定与性质.熟练掌握相似三角形的判定与性质是解题关键.由 ,得 ,则 ,证明 ,则 ,即 ,计算求解即可. 【详解】解:∵ ,∴ , ∵ ,∴ ,∵ ,∴ , ,∴ , ∴ ,即 ,解得, ,∴ 的面积为 ,故选:C.6.(2024·浙江·模拟预测)如图,矩形 中, 是 上的点,连接 交对角线 于点 ,若 , ,则 的值为( ) A. B. C.2 D.1.5 【答案】A 【分析】本题主要考查了相似三角形的性质与判定,矩形的性质,解直角三角形,先由矩形的性质得到 , ,再解直角三角形得到 , ,证明 ,即可 得到 . 【详解】解:设 , 四边形 是矩形, , , ,∴ , , , , , ,∴ , ,故选: . 7.(2024·河南·中考真题)如图,在 中,对角线 , 相交于点O,点E为 的中点, 交 于点F.若 ,则 的长为( ) A. B.1 C. D.2 【答案】B 【分析】本题考查了相似三角形的判定与性质,平行四边形的性质等知识,利用平行四边形的性质、线段 中点定义可得出 ,证明 ,利用相似三角形的性质求解即可.【详解】解∶∵四边形 是平行四边形,∴ ,∵点E为 的中点,∴ , ∵ ,∴ ,∴ ,即 ,∴ ,故选:B. 8.(2024·山东威海·中考真题)如图,在 中,对角线 , 交于点 ,点 在 上,点 在 上,连接 , , , 交 于点 .下列结论错误的是( ) A.若 ,则 B.若 , , ,则 C.若 , ,则 D.若 , ,则 【答案】D 【分析】本题考查了相似三角形的性质与判定,菱形的性质与判定,垂直平分线的性质,全等三角形的性 质与判定;根据相似三角形的性质与判定即可判断A,根据题意可得四边形 是 的角平分线,进 而判断四边形 是菱形,证明 可得 则 垂直平分 ,即可判断B选项, 证明四边形 是菱形,即可判断C选项,D选项给的条件,若加上 ,则成立,据此,即可求 解. 【详解】解:∵四边形 是平行四边形,∴ A. 若 ,即 ,又 , ∴ ∴ ∴ ,故A选项正确, B. 若 , , ,∴ 是 的角平分线,∴ ∵ ∴ ∴ ∴ ∴四边形 是菱形,∴ 在 中, ∴ ∴ 又∵ ∴ ∴ ,故B选项正确, C. ∵ ,∴ ∵ ,∴ ∴ ∴ ∴四边形 是菱形,∴ ,又∵ ∴ ,∵ ,∴ 垂直平分 , ∴ ∴ ,故C选项正确; D. 若 ,则四边形 是菱形,由 ,且 时,可得 垂直平分 , ∵ ∴ ,故D选项不正确故选:D. 9.(2024·陕西西安·一模)如图,在 中,D,M是边 的三等分点,N,E是边 的三等分点. 连接 并延长与 的延长线相交于点P.若 ,则线段 的长为( ) A.5 B.7 C.6 D.8 【答案】D 【分析】本题考查了相似三角形的判定与性质,全等三角形的判定与性质,中位线.熟练掌握相似三角形 的判定与性质,全等三角形的判定与性质,中位线是解题的关键. 证明 ,则 ,证明 ,则 , 是 的中位线,根 据 ,求解作答即可. 【详解】解:由题意知, , , ∵ , ,∴ , ∴ ,∴ ,∴ , , 又∵ ,∴ ,∴ , ∴ 是 的中位线,∴ ,故选:D. 10.(2024·江苏南京·一模)如图, , 分别垂直 ,垂足分别为 , ,连接 , 交于点 , 作 ,垂足为 .设 , , ,若 ,则下列等式:① ;② ;③ ,其中一定成立的是( )A.①② B.①③ C.②③ D.①②③ 【答案】B 【分析】此题重点考查相似三角形的判定与性质、等式的性质、乘法公式等知识.由 , , , ,则 , ,所以 , ,则 ,所以 ,则 , ,由 ,得 ,所以 , 则 ,可判断①符合题意;由 得 ,因为 不一定等于 ,所以 与 不 一定相等,可判断②不符合题意;由 ,且 ,得 ,可判断③符合题意,于是得到 问题的答案. 【详解】解: , , , , , , ∴ , , , , , , , , , , , , ,故①符合题意; 由 得 , 与 不一定相等, 不一定等于 , 与 不一定相等,故②不符合题意; ,且 , ,故③符合题意,故选:B. 11.(2024·陕西·中考真题)如图,正方形 的顶点G在正方形 的边 上, 与 交于点 H,若 , ,则 的长为( )A.2 B.3 C. D. 【答案】B 【分析】本题考查了相似三角形的判定和性质,正方形的性质.证明 ,利用相似三角形 的性质列式计算即可求解. 【详解】解:∵正方形 , ,∴ , ∵正方形 , ,∴ ,∴ ,由题意得 , ∴ ,∴ ,即 ,解得 ,故选:B. 12.(2024·江苏苏州·中考真题)如图, , , , ,点D,E分别在 边上, ,连接 ,将 沿 翻折,得到 ,连接 , .若 的 面积是 面积的2倍,则 . 【答案】 / 【分析】本题考查了相似三角形的判定与性质、折叠性质、等腰直角三角形的判定与性质、全等三角形的 判定与性质、三角形的面积公式等知识,是综合性强的填空压轴题,熟练掌握相关知识的联系与运用是解 答的关键. 设 , ,根据折叠性质得 , ,过E作 于H,设 与 相交于M,证明 得到 ,进而得到 , ,证明 是 等腰直角三角形得到 ,可得 ,证明 得到 ,则 ,根据三角形的面积公式结合已知可得,然后解一元二次方程求解x值即可. 【详解】解:∵ ,∴设 , , ∵ 沿 翻折,得到 ,∴ , , 过E作 于H,设 与 相交于M, 则 ,又 ,∴ ,∴ , ∵ , , ,∴ , ∴ , ,则 ,∴ 是等腰直角三角形, ∴ ,则 ,∴ , 在 和 中, ,∴ , ∴ , , ∴ , , ∵ 的面积是 面积的2倍,∴ ,则 , 解得 , (舍去),即 ,故答案为: .13.(2024·云南·中考真题)如图, 与 交于点 ,且 .若 ,则 . 【答案】 /0.5 【分析】本题考查相似三角形的判定和性质,证明 ,根据相似三角形周长之比等于相似比, 即可解题. 【详解】解: , , ,故答案为: . 14.(2024·四川宜宾·中考真题)如图,在平行四边形 中, ,E、F分别是边 上的动点,且 .当 的值最小时,则 . 【答案】 【分析】本题主要考查了平行四边形的性质,三角形全等的判定和性质,相似三角形的判定和性质.延长 ,截取 ,连接 , ,证明 ,得出 ,说明当 最小时, 最小,根据两点之间线段最短,得出当A、E、G三点共线时, 最小,即 最小, 再证明 ,根据相似三角形的性质,求出结果即可. 【详解】解:延长 ,截取 ,连接 , ,如图所示:∵四边形 为平行四边形,∴ , , ,∴ , ∵ , ,∴ ,∴ ,∴ , ∴当 最小时, 最小,∵两点之间线段最短, ∴当A、E、G三点共线时, 最小,即 最小,且最小值为 的长, ∵ ,∴ ,∴ ,即 ,解得 .故答案为: . 15.(23-24九年级上·河南驻马店·期中)如图, ,点 在 上, 与 交于点 , 若 ,则 . 【答案】 /0.25 【分析】证明 ,据相似三角形的性质用 表示出 ,同理用 表示出 ,计算即可. 【详解】解: , , , , , , , , ,故答案为: . 【点睛】本题考查的是相似三角形的判定和性质,掌握相似三角形的判定定理是解题的关键. 16.(2023·吉林长春·统考三模)【阅读理解】构造“平行八字型”全等三角形模型是证明线段相等的一 种方法,我们常用这种方法证明线段的中点问题.例如:如图, 是 边 上一点, 是 的中点, 过点 作 ,交 的延长线于点 ,则易证 是线段 的中点. 【经验运用】请运用上述阅读材料中所积累的经验和方法解决下列问题. (1)如图1,在正方形 中,点 在 上,点 在 的延长线上,且满足 ,连接 交于点 .求证:① 是 的中点;②CG与BE之间的数量关系是:____________________________; 【拓展延伸】(2)如图2,在矩形 中, ,点 在 上,点 在 的延长线上,且满足 ,连接 交 于点 .探究 和 之间的数量关系是:____________________________; 【答案】(1)①见解析② (2) 【分析】(1)①过点 作 交 于点 ,证明 ,得出 即可; ②由等腰直角三角形的性质得出 ,由平行线得出 ,证出 ,由全等三角形 的性质得出 ,即可得出结论;(2)作 交 于点 ,由三角函数证出 ,得 出 ,证 ,得出 , ,设 ,则 ,求出 ,则 ,得出 ,即可得出结果. 【详解】解:证明:①过点 作 交 于点 ,如图1所示: 四边形 是正方形, , , , , , , , , , , 在 和 中, , , , 是 的中点; ②在 中, , , 是等腰直角三角形, , ,, , , , , ,即 . (2)解: 和 之间的数量关系为: ;理由如下: 过点 作 交 于点 ,如图2所示: 四边形 是矩形, , , , 在 和 中, , , , , , , , , , 在 和 中, , , , , 设 ,则 ,在 中, , , ,即 , , , , , , . 【点睛】本题是四边形综合题,主要考查了正方形的性质、矩形的性质、勾股定理、三角函数、全等三角 形的判定与性质、平行线的性质、相似三角形的判定与性质等知识;作辅助线构建全等三角形与相似三角 形是解题的关键. 17.(2024·辽宁大连·二模)【问题初探】(1)在数学活动课上,李老师给出如下问题: 如图1,在 中,点 是 的中点,点 是 的一个三等分点,且 ,连接 , 交于 点 ,求证: . ①如图2,小鹏同学利用“三角形中位线的性质”的解题经验,取 的中点 ,连接 ,再通过“全等 三角形的性质”解决问题;②如图3,小亮同学利用“三角形相似的性质”的解题经验,过点 作 ,交 的延长线于点 ,再通过“全等三角形的性质”解决问题.请你选择一名同学的解题思路,写出证明过程. 【类比分析】(2)李老师发现之前两名同学都运用了数学的转化思想,将证明三角形线段的关系转化为 我们熟悉的角度去理解.为了帮助同学们更好地感悟转化思想,李老师又提出了一个问题,请你解答:如 图4,在 中,点 是 的中点,点 , 是 的三等分点, , 与 分别交于点 , , 求 的值. 【学以致用】(3)如图5,在 中, ,在射线 上取点 ,使 ,连接 ,在 上取点 ,射线 , 相交于点 ,当 时,求 的值. 【答案】(1)详见解析(2) (3) 【分析】(1)选择小鹏同学的解题思路.如图1,取 的中点 ,连接 .得出 是 的中位线, 根据中位线性质定理得出 , ,根据平行线性质得出 , , 再结合 ,得出 ,证明 ,根据全等三角形的性质即可证明 . 选择小亮同学的解题思路.如图2,过点 作 ,交 的延长线于点 ,根据平行线性质得出 , ,证明 ,根据相似三角形的性质得出 .再结合 ,证出 ,根据 ,得出 .证明 ,根据全等三角形的 性质即可证明 .(2)如图3,连接 .根据点 , 是 的三等分点,得出 . 由(1)可知 ,即可得出 是 的中位线,根据中位线的性质得出 .再证 是 的中位线,根据中位线的性质得出 , ,证明 ,根据 相似三角形的性质即可得出 .(3)如图4,过点 作 于点 ,过点 作 于点 ,过点 作 的延长线于点 .根据等腰三角形的性质得出 , .设 ,得出 ,即可得 ,证明 ,得出,设 ,则 ,再证明 ,根据相似三角形的性质 得出 ,设 ,即可得出 ,再证明 ,即可得出 , 列方程即可得出 , , .根据 ,即可得出 . 【详解】(1)选择小鹏同学的解题思路. 证明:如图1,取 的中点 ,连接 .∵点 是 的中点,∴ 是 的中位线, ∴ , ,∴ , . ∵ ,∴ ,∴ ,∴ ,∴ . 选择小亮同学的解题思路. 证明:如图2,过点 作 ,交 的延长线于点 , ∴ , ,∴ ,∴ . ∵ ,∴ ,∴ .∵点 是 的中点,∴ ,∴ . 又∵ ,∴ ,∴ . (2)解:如图3,连接 .∵点 , 是 的三等分点,∴ . 由(1)可知 ,∴ 是 的中位线,∴ . ∵点 是 的中点,∴ ,∴ 是 的中位线,∴ , , ∴ , , ,∴ ,∴ . (3)解:如图4,过点 作 于点 ,过点 作 于点 ,过点 作 的延长线 于点 .∵ , ,∴ , . 设 ,∵ ,∴ ,∴ .∵ , ,∴ . 又∵ ,∴ ,∴ . 设 ,则 .∵ ,∴ . 又∵ ,∴ ,∴ . 设 ,∴ ,∴ . ∵ , ,∴ , ∴ ,∴ ,∴ ,∴ ,∴ ,∴ , . ∵ ,∴ ,∴ . 【点睛】本题主要考查了全等三角形的性质和判定,平行线的性质,三角形的中位线的判定与性质,相似 三角形的判定与性质,等腰三角形的性质,本题是阅读型题目,利用题干中的方法构造“A”型图或“8”字 形图解答是解题的关键. 18.(2023·湖北随州·模拟预测)[初步尝试](1)如图①,在三角形纸片 中, ,将 折叠,使点B与点C重合,折痕为 ,则 与 的数量关系为________; [思考说理](2)如图②,在三角形纸片 中, ,将 折叠,使点B与点C重 合,折痕为 ,求 的值; [拓展延伸](3)如图③,在三角形纸片 中, ,将 沿过顶点C的 直线折叠,使点B落在边 上的点 处,折痕为 .①求线段 的长;②若点O是边 的中点, 点P为线段 上的一个动点,将 沿 折叠得到 点A的对应点为点 与 交于点 F,求 的取值范围. 【答案】(1) ;(2) ;(3)① ;② 【分析】(1)利用平行线分线段成比例定理解决问题即可.(2)利用相似三角形的性质求出 ,即可.(3)①证明 ,推出 ,由此即可解决问题.②设 .证明 ,推出 ,因为 ,推出 ,判断出 的取值范围,即可解决 问题. 【详解】解:(1)如图①中, 折叠,使点 与点 重合,折痕为 , 垂直平分线段 , , , , , .故答案为 . (2)如图②中, , ,由题意 垂直平分线段 , , , , , , , , , , . (3)①如图③中,由折叠的性质可知, , , , , , , , , , , , . ②如图③ 中,设 . , , , , , , , , , , , , , . 当 时, .综上所述, . 【点睛】本题属于几何变换综合题,考查了相似三角形的判定和性质,解直角三角形,等腰三角形的判定 和性质,平行线分线段成比例定理等知识,解题的关键是正确寻找相似三角形解决问题,属于中考压轴题. 19.(2024·江苏泰州·二模)图算法是根据几何原理,将某一已知函数关系式中的各变量,分别编成有刻度的直线(或曲线),并把它们按一定的规律排列在一起的一种图形,可以用来解函数式中的未知量,这 样的图形叫诺模图.设有两只电阻, 千欧, 千欧,问并联后的总电阻值R是多少千欧? 我们可以利用公式求得R的值,也可以设计一种图算法(如图1)直接得出结果:我们先来画出一个 的角,再画一条角平分线,在角的两边及角平分线上用同样的单位长度进行刻度,这样就制好了一张算图. 我们只要把角的两边刻着6和4的两点连成一条直线,这条直线与角平分线的交点的刻度值就是并联后的 总电阻值R. (1)① 千欧, 千欧,计算 千欧;②如图1,已知 , 是 的角平 分线, , , .用你所学的几何知识说明: ; (2)如图2,已知 , 是 的角平分线, , , .此时关系式可以 写成 ,其中 的常数,求m的值; (3)如图3,若 ,(2)中其余条件不变,请探索 , ,R之间的关系.(用含 的代数式表 示) 【答案】(1)① ;②见解析(2) (3) 【分析】本题考查了相似三角形的判定和性质,等腰三角形的判定和性质,解直角三角形,作出正确的辅 助线是解题的关键.(1)①根据并联电路电阻公式,即可解答; ②过点 作 的平行线,交 于点 ,证明 为等边三角形,利用相似三角形的性质,即可解答; (2)过点 作 的平行线,交 于点 ,得到 与 的关系,利用相似三角形的性质,即可解答;(3)过点 作 的平行线,交 于点 ,过点 作 ,交 于点 ,得到求得 的长,利 用相似三角形的性质,即可解答. 【详解】(1)解:①根据并联电路电阻公式可得 ,即 千欧,故答案: 证明:②如图1,过点 作 的平行线,交 于点 , , 是 的角平分线, , , , 为等边三角形, , , , , ,即 ,可得 , ,故 ; (2)解:如图2,过点 作 的平行线,交 于点 , 同上述原理可得 , , , 可得 ,即 ,整理后可得 ,即 , ; (3)解:过点 作 的平行线,交 于点 ,过点 作 ,交 于点 , 同上述原理可得 , , , ,可得 ,即 ,整理后可得 ,即 . 20.(2024·湖北武汉·中考真题)问题背景:如图(1),在矩形 中,点 , 分别是 , 的 中点,连接 , ,求证: . 问题探究:如图(2),在四边形 中, , ,点 是 的中点,点 在边 上, , 与 交于点 ,求证: . 问题拓展:如图(3),在“问题探究”的条件下,连接 , , ,直接写出 的值. 【答案】问题背景:见解析;问题探究:见解析;问题拓展: 【分析】问题背景:根据矩形的性质可得 ,根据点 , 分别是 , 的 中点,可得 ,即可得证; 问题探究:取 的中点 ,连接 ,得 是 的中位线,根据已知条件可得 平行且等于 ,进而可得 是平行四边形,得 ,则 ,根据直角三角形中斜边上的中线 等于斜边的一半得出 ,进而可得 ,等量代换可得 ,等角对等边,即 可得证; 问题拓展:过点 作 ,则四边形 是矩形,连接 ,根据已知以及勾股定理得出 ;根据(2)的结论结合已知可得 ,证明 垂直平分 ,进而得出 , 证明 ,进而证明 , 进而根据相似三角形的性质,即可求解. 【详解】问题背景:∵四边形 是矩形,∴ , ∵ , 分别是 , 的中点∴ ,即 ,∴ ; 问题探究:如图所示,取 的中点 ,连接 ,∵ 是 的中点, 是 的中点,∴ , 又∵ ,∴ ,∵ ,∴ ∴四边形 是平行四边形,∴ ∴ 又∵ , 是 的中点,∴ ∴ ∴ ,∴ ; 问题拓展:如图所示,过点 作 ,则四边形 是矩形,连接 , ∵ , ∴ ,设 ,则 , 在 中, ,∵ ,由(2) ∴ , 又∵ 是 的中点,∴ 垂直平分 ∴ , , 在 中, ∴ 设 ,则 ∴ , 又∵ ∴ ∴ 又∵ ∴ ∴ . 【点睛】本题考查了矩形的性质,相似三角形的性质与判定,平行四边形的性质与判定,直角三角形中斜 边上的中线等于斜边的一半,全等三角形的性质与判定,熟练掌握相似三角形的性质与判定是解题的关键.