当前位置:首页>文档>2025年中考数学几何模型综合训练(通用版)专题05三角形中的倒角模型之双角平分线(三角形)模型解读与提分精练(教师版)_02中考总复习(2026版更新中)_02-数学-中考总复习

2025年中考数学几何模型综合训练(通用版)专题05三角形中的倒角模型之双角平分线(三角形)模型解读与提分精练(教师版)_02中考总复习(2026版更新中)_02-数学-中考总复习

  • 2026-03-01 07:50:27 2026-03-01 07:27:08

文档预览

2025年中考数学几何模型综合训练(通用版)专题05三角形中的倒角模型之双角平分线(三角形)模型解读与提分精练(教师版)_02中考总复习(2026版更新中)_02-数学-中考总复习
2025年中考数学几何模型综合训练(通用版)专题05三角形中的倒角模型之双角平分线(三角形)模型解读与提分精练(教师版)_02中考总复习(2026版更新中)_02-数学-中考总复习
2025年中考数学几何模型综合训练(通用版)专题05三角形中的倒角模型之双角平分线(三角形)模型解读与提分精练(教师版)_02中考总复习(2026版更新中)_02-数学-中考总复习
2025年中考数学几何模型综合训练(通用版)专题05三角形中的倒角模型之双角平分线(三角形)模型解读与提分精练(教师版)_02中考总复习(2026版更新中)_02-数学-中考总复习
2025年中考数学几何模型综合训练(通用版)专题05三角形中的倒角模型之双角平分线(三角形)模型解读与提分精练(教师版)_02中考总复习(2026版更新中)_02-数学-中考总复习
2025年中考数学几何模型综合训练(通用版)专题05三角形中的倒角模型之双角平分线(三角形)模型解读与提分精练(教师版)_02中考总复习(2026版更新中)_02-数学-中考总复习
2025年中考数学几何模型综合训练(通用版)专题05三角形中的倒角模型之双角平分线(三角形)模型解读与提分精练(教师版)_02中考总复习(2026版更新中)_02-数学-中考总复习
2025年中考数学几何模型综合训练(通用版)专题05三角形中的倒角模型之双角平分线(三角形)模型解读与提分精练(教师版)_02中考总复习(2026版更新中)_02-数学-中考总复习
2025年中考数学几何模型综合训练(通用版)专题05三角形中的倒角模型之双角平分线(三角形)模型解读与提分精练(教师版)_02中考总复习(2026版更新中)_02-数学-中考总复习
2025年中考数学几何模型综合训练(通用版)专题05三角形中的倒角模型之双角平分线(三角形)模型解读与提分精练(教师版)_02中考总复习(2026版更新中)_02-数学-中考总复习
2025年中考数学几何模型综合训练(通用版)专题05三角形中的倒角模型之双角平分线(三角形)模型解读与提分精练(教师版)_02中考总复习(2026版更新中)_02-数学-中考总复习
2025年中考数学几何模型综合训练(通用版)专题05三角形中的倒角模型之双角平分线(三角形)模型解读与提分精练(教师版)_02中考总复习(2026版更新中)_02-数学-中考总复习
2025年中考数学几何模型综合训练(通用版)专题05三角形中的倒角模型之双角平分线(三角形)模型解读与提分精练(教师版)_02中考总复习(2026版更新中)_02-数学-中考总复习
2025年中考数学几何模型综合训练(通用版)专题05三角形中的倒角模型之双角平分线(三角形)模型解读与提分精练(教师版)_02中考总复习(2026版更新中)_02-数学-中考总复习
2025年中考数学几何模型综合训练(通用版)专题05三角形中的倒角模型之双角平分线(三角形)模型解读与提分精练(教师版)_02中考总复习(2026版更新中)_02-数学-中考总复习
2025年中考数学几何模型综合训练(通用版)专题05三角形中的倒角模型之双角平分线(三角形)模型解读与提分精练(教师版)_02中考总复习(2026版更新中)_02-数学-中考总复习
2025年中考数学几何模型综合训练(通用版)专题05三角形中的倒角模型之双角平分线(三角形)模型解读与提分精练(教师版)_02中考总复习(2026版更新中)_02-数学-中考总复习
2025年中考数学几何模型综合训练(通用版)专题05三角形中的倒角模型之双角平分线(三角形)模型解读与提分精练(教师版)_02中考总复习(2026版更新中)_02-数学-中考总复习
2025年中考数学几何模型综合训练(通用版)专题05三角形中的倒角模型之双角平分线(三角形)模型解读与提分精练(教师版)_02中考总复习(2026版更新中)_02-数学-中考总复习
2025年中考数学几何模型综合训练(通用版)专题05三角形中的倒角模型之双角平分线(三角形)模型解读与提分精练(教师版)_02中考总复习(2026版更新中)_02-数学-中考总复习
2025年中考数学几何模型综合训练(通用版)专题05三角形中的倒角模型之双角平分线(三角形)模型解读与提分精练(教师版)_02中考总复习(2026版更新中)_02-数学-中考总复习
2025年中考数学几何模型综合训练(通用版)专题05三角形中的倒角模型之双角平分线(三角形)模型解读与提分精练(教师版)_02中考总复习(2026版更新中)_02-数学-中考总复习
2025年中考数学几何模型综合训练(通用版)专题05三角形中的倒角模型之双角平分线(三角形)模型解读与提分精练(教师版)_02中考总复习(2026版更新中)_02-数学-中考总复习
2025年中考数学几何模型综合训练(通用版)专题05三角形中的倒角模型之双角平分线(三角形)模型解读与提分精练(教师版)_02中考总复习(2026版更新中)_02-数学-中考总复习
2025年中考数学几何模型综合训练(通用版)专题05三角形中的倒角模型之双角平分线(三角形)模型解读与提分精练(教师版)_02中考总复习(2026版更新中)_02-数学-中考总复习
2025年中考数学几何模型综合训练(通用版)专题05三角形中的倒角模型之双角平分线(三角形)模型解读与提分精练(教师版)_02中考总复习(2026版更新中)_02-数学-中考总复习
2025年中考数学几何模型综合训练(通用版)专题05三角形中的倒角模型之双角平分线(三角形)模型解读与提分精练(教师版)_02中考总复习(2026版更新中)_02-数学-中考总复习
2025年中考数学几何模型综合训练(通用版)专题05三角形中的倒角模型之双角平分线(三角形)模型解读与提分精练(教师版)_02中考总复习(2026版更新中)_02-数学-中考总复习
2025年中考数学几何模型综合训练(通用版)专题05三角形中的倒角模型之双角平分线(三角形)模型解读与提分精练(教师版)_02中考总复习(2026版更新中)_02-数学-中考总复习
2025年中考数学几何模型综合训练(通用版)专题05三角形中的倒角模型之双角平分线(三角形)模型解读与提分精练(教师版)_02中考总复习(2026版更新中)_02-数学-中考总复习
2025年中考数学几何模型综合训练(通用版)专题05三角形中的倒角模型之双角平分线(三角形)模型解读与提分精练(教师版)_02中考总复习(2026版更新中)_02-数学-中考总复习
2025年中考数学几何模型综合训练(通用版)专题05三角形中的倒角模型之双角平分线(三角形)模型解读与提分精练(教师版)_02中考总复习(2026版更新中)_02-数学-中考总复习
2025年中考数学几何模型综合训练(通用版)专题05三角形中的倒角模型之双角平分线(三角形)模型解读与提分精练(教师版)_02中考总复习(2026版更新中)_02-数学-中考总复习
2025年中考数学几何模型综合训练(通用版)专题05三角形中的倒角模型之双角平分线(三角形)模型解读与提分精练(教师版)_02中考总复习(2026版更新中)_02-数学-中考总复习
2025年中考数学几何模型综合训练(通用版)专题05三角形中的倒角模型之双角平分线(三角形)模型解读与提分精练(教师版)_02中考总复习(2026版更新中)_02-数学-中考总复习
2025年中考数学几何模型综合训练(通用版)专题05三角形中的倒角模型之双角平分线(三角形)模型解读与提分精练(教师版)_02中考总复习(2026版更新中)_02-数学-中考总复习
2025年中考数学几何模型综合训练(通用版)专题05三角形中的倒角模型之双角平分线(三角形)模型解读与提分精练(教师版)_02中考总复习(2026版更新中)_02-数学-中考总复习
2025年中考数学几何模型综合训练(通用版)专题05三角形中的倒角模型之双角平分线(三角形)模型解读与提分精练(教师版)_02中考总复习(2026版更新中)_02-数学-中考总复习
2025年中考数学几何模型综合训练(通用版)专题05三角形中的倒角模型之双角平分线(三角形)模型解读与提分精练(教师版)_02中考总复习(2026版更新中)_02-数学-中考总复习
2025年中考数学几何模型综合训练(通用版)专题05三角形中的倒角模型之双角平分线(三角形)模型解读与提分精练(教师版)_02中考总复习(2026版更新中)_02-数学-中考总复习
2025年中考数学几何模型综合训练(通用版)专题05三角形中的倒角模型之双角平分线(三角形)模型解读与提分精练(教师版)_02中考总复习(2026版更新中)_02-数学-中考总复习
2025年中考数学几何模型综合训练(通用版)专题05三角形中的倒角模型之双角平分线(三角形)模型解读与提分精练(教师版)_02中考总复习(2026版更新中)_02-数学-中考总复习
2025年中考数学几何模型综合训练(通用版)专题05三角形中的倒角模型之双角平分线(三角形)模型解读与提分精练(教师版)_02中考总复习(2026版更新中)_02-数学-中考总复习
2025年中考数学几何模型综合训练(通用版)专题05三角形中的倒角模型之双角平分线(三角形)模型解读与提分精练(教师版)_02中考总复习(2026版更新中)_02-数学-中考总复习
2025年中考数学几何模型综合训练(通用版)专题05三角形中的倒角模型之双角平分线(三角形)模型解读与提分精练(教师版)_02中考总复习(2026版更新中)_02-数学-中考总复习

文档信息

文档格式
docx
文档大小
3.054 MB
文档页数
45 页
上传时间
2026-03-01 07:27:08

文档内容

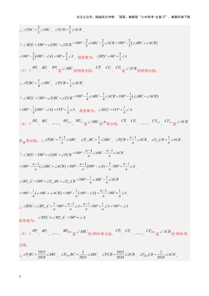
关注公众号:陆陆高分冲刺 ~领取:最新版“小中高考-总复习”、最新试卷下载 专题05 三角形中的倒角模型之双角平分线(三角形)模型 近年来各地考试中常出现一些几何倒角模型,该模型主要涉及高线、角平分线及角度的计算(内角和 定理、外角定理等)。熟悉这些模型可以快速得到角的关系,求出所需的角。本专题就三类双角平分线模 型进行梳理及对应试题分析,方便掌握。 大家在掌握几何模型时,多数同学会注重模型结论,而忽视几何模型的证明思路及方法,导致本末倒 置。要知道数学题目的考察不是一成不变的,学数学更不能死记硬背,要在理解的基础之上再记忆,这样 才能做到对于所学知识的灵活运用,并且更多时候能够启发我们解决问题的关键就是基于已有知识、方法 的思路的适当延伸、拓展,所以学生在学习几何模型要能够做到的就是:①认识几何模型并能够从题目中 提炼识别几何模型;②记住结论,但更为关键的是记住证明思路及方法;③ 明白模型中常见的易错点, 因为多数题目考察的方面均源自于易错点。当然,以上三点均属于基础要求,因为题目的多变性,若想在 几何学习中突出,还需做到的是,在平时的学习过程中通过大题量的训练,深刻认识几何模型,认真理解 每一个题型,做到活学活用! .........................................................................................................................................................................................2 模型1双角平分线模型(双内角)...............................................................................................................2 模型2.双角平分线模型(一内角一外角)...................................................................................................8 模型3.双角平分线模型(双外角).............................................................................................................11 ..................................................................................................................................................17 模型1双角平分线模型(双内角) 1关注公众号:陆陆高分冲刺 ~领取:最新版“小中高考-总复习”、最新试卷下载 双角平分线模型1:当这两个角为内角时,这夹角等于90°与第三个角的一半的和。 1)两内角平分线的夹角模型 图1 图2 图3 条件:如图1,在△ABC中,∠ABC和∠ACB的平分线BP,CP交于点P;结论: 。 证明:∵∠ABC和∠ACB的平分线BP,CP交于点P,∴ , 。 ∴∠P=180°-(∠PBC+∠PCB)=180°- (∠ABC+∠ACB)=180°- (180°-∠A)=90°+ ∠A。 2)凸多边形双内角平分线的夹角模型1 条件:如图2,BP、CP平分∠ABC、∠DCB,两条角平分线相交于点P;结论:2∠P=∠A+∠D。 证明:∵BP、CP平分∠ABC、∠DCB,∴ , 。 ∴ ∠ P=180°- ( ∠ PBC+∠ PCB ) =180°- ( ∠ ABC+∠ DCB ) =180°- ( 360°-∠ A-∠ D ) = (∠A+∠D)。即:2∠P=∠A+∠D。 3)凸多边形双内角平分线的夹角模型2 条件:如图3,CP、DP平分∠BCD、∠CDE,两条角平分线相交于点P;结论: 。 证明:∵CP、DP平分∠BCD、∠CDE,∴ , 。 ∴ ∠ P=180°- ( ∠ PCD+∠ PDC ) =180°- ( ∠ BCD+∠ CDE ) =180°- ( 540°-∠ A-∠ D-∠ E ) =∠A+∠D+∠E-90°。即:2∠P=∠A+∠D+∠E-180°。 2关注公众号:陆陆高分冲刺 ~领取:最新版“小中高考-总复习”、最新试卷下载 例1.(2023秋·安徽阜阳·八年级统考期中)如图,在 中,点 是 内一点,且点 到 三 边的距离相等,若 ,则 . 【答案】 【分析】由条件可知 平分 和 ,利用三角形内角和可求得 . 【详解】解:∵点P到 三边的距离相等, ∴ 平分 , 平分 , ∴ , 故答案为: . 【点睛】本题考查角平分线的性质与判定,掌握角平分线的交点到三角形三边的距离相等是解题的关键. 例2.(2023秋·山西太原·八年级校考期末)已知:如图, 是 内一点,连接 , . (1)猜想: 与 、 、 存在怎样的等量关系?证明你的猜想.(2)若 , 、 分别是 、 的三等分线,直接利用(1)中结论,可得 的度数为 . 【答案】(1) ,证明见解析(2) 【分析】(1)根据三角形内角和定理得到 , ,再结 合 , 即可得到结论;(2)先根据三角形内角和定理和角三等分 线的定义得到 , , ,再代入(1)中结论求解即可. 【详解】(1)解:猜想: , 证明:由题意得: , , ∵ , ,∴ , ∴ ,∴ , 3关注公众号:陆陆高分冲刺 ~领取:最新版“小中高考-总复习”、最新试卷下载 ∴ ; (2)解:∵ , 、 分别是 、 的三等分线, ∴ , , , ∴ .故答案为: . 【点睛】本题主要考查了三角形内角和定理,角三等分线的定义,熟知三角形内角和为 度是解题的关 键. 例3.(2023秋·河南濮阳·八年级校考期末)模型认识:我们学过三角形的内角和等于 ,又知道角平 分线可以把一个角分成大小相等的两部分,接下来我们就利用上述知识进行下面的探究活动. 如图①,在 中, 、 分别是 和 的角平分线. 解决问题:(1)若 , ,则 ______;(直接写出答案) (2)若 ,求出 的度数; 拓展延伸:(3)如图②,在四边形 中, 、 分别是 和 的角平分线,直接写出 与 的数量关系. 【答案】(1) (2) (3) 【分析】(1)根据角平分线的定义和三角形内角和定理可得∠BPC的度数; (2)根据角平分线的定义和三角形内角和定理可得∠BPC的度数; (3)根据角平分线的定义和四边形内角和定理可得∠BPC与∠A+∠D的数量关系. 【详解】(1)解:∵BP、CP分别是∠ABC和∠ACB的角平分线,∠ABC=40°,∠ACB=80°, ∴∠PBC= ∠ABC= ×40°=20°,∠PCB= ∠ACB= ×80°=40°. ∴∠BPC=180°-∠PBC-∠PCB=180°-20°-40°=120°; 故答案为:120°; (2)∵BP、CP分别是∠ABC和∠ACB的角平分线, ∴∠PBC= ∠ABC,∠PCB= ∠ACB. 4关注公众号:陆陆高分冲刺 ~领取:最新版“小中高考-总复习”、最新试卷下载 ∴∠BPC=180°-∠PBC-∠PCB=180°- (180°-∠BAC)=90°+ ∠BAC, ∵∠BAC=100°, ∴∠BPC=90°+ ∠BAC=90°+ ×100°=140°; (3)∵BP、CP分别是∠ABC和∠DCB的角平分线, ∴∠PBC= ∠ABC,∠PCB= ∠DCB. ∴∠BPC=180°-∠PBC-∠PCB=180°- (360°-∠A-∠D)= (∠A+∠D). 【点睛】本题考查了角平分线的定义,三角形的内角和定理,多边形的内角和公式,此类题目根据同一个 解答思路求解是解题的关键. 例4.(23-24八年级·山东青岛·期末)【基础探究1】(1)如图1, 中, 平分 , 平分 ,探求 与 之间的数量关系; 【基础探究2】(2)如图2, 中, 、 是 的三等分线, 、 是 的三等分线, 则 与 之间的数量关系是______; 【基础探究3】(3)如图3, 中, 、 、 是 的四等分线, 、 、 是 的四等分线,则 与 之间的数量关系是______; 【拓展与探究】(4)如图4, 中, 、 、……、 、 是 的 等分线, 、 、……、 、 是 的 等分线,请用一个等式表示 、 、 三者之间的 数量关系是______; 【探究与应用】(5) 中, 、 、……、 是 的2024等分线, 、 、……、 是 的2024等分线,若 与 的和是 的7倍,则 ______ . 5关注公众号:陆陆高分冲刺 ~领取:最新版“小中高考-总复习”、最新试卷下载 【答案】(1) (2) (3) (4) (5)105 【分析】本题考查三角形的内角和定理,n等分线的定义. (1)由三角形的内角和定理可得 ,由角平分线得到 , ,从而 ; (2)由三等分线可得 , ,从而 ; (3)同(2)思路即可求解; (4)同(2)(3)思路即可 , ,两式相加即可解答; (5)同(4)思路可得 ,又 ,即可求得 , 同理有 ,即可解答. 【详解】解:(1)∵ ,∴ , ∵ 平分 , 平分 ,∴ , , ∴ . (2)∵ 、 是 的三等分线, 、 是 的三等分线, 6关注公众号:陆陆高分冲刺 ~领取:最新版“小中高考-总复习”、最新试卷下载 ∴ , , ∴ .故答案为: (3)∵ 、 、 是 的四等分线, 、 、 是 的四等分线, ∴ , , ∴ .故答案为: (4)∵ 、 、……、 、 是 的 等分线, 、 、……、 、 是 的 等分线,∴ , , , , ∴ , , ∴ . 故答案为: (5)∵ 、 、……、 是 的2024等分线, 、 、……、 是 的2024等 分线, ∴ , , , , 7关注公众号:陆陆高分冲刺 ~领取:最新版“小中高考-总复习”、最新试卷下载 ∴ , , ∴ , ∵ ∴ ,∴ , 同理可得 .故答案为:105 模型2.双角平分线模型(一内角一外角) 双角平分线模型2:当这两个角为一个内角和一个外角时,这夹角等于第三个角的一半。 8关注公众号:陆陆高分冲刺 ~领取:最新版“小中高考-总复习”、最新试卷下载 图1 图2 1)一个内角一个外角平分线的夹角模型 条件:如图1,在△ABC中,BP平分∠ABC,CP平分∠ACB的外角,两条角平分线相交于点P;结论: . 证明:∵BP、CP平分∠ABC、∠ACD,∴ , 。 ∴∠P=∠PCD-∠PBC= (∠ACD-∠ABC)= ∠A。 2)一个内角一个外角平分线的夹角模型(累计平分线) 条件:如图2, ,∠ABC、∠ACD的平分线相交于点 , 的平分线相交于点 , , 的平分线相交于点 ……以此类推;结论: 的度数是 . 证明:∵BP、CP 平分∠ABC、∠ACD,∴ , 。 1 1 ∴∠P 1 =∠P 1 CD-∠P 1 BC= (∠ACD-∠ABC)= ∠A= 。同理:∠P 2 = ∠P 1 = ,∠P n = 1.(2023·浙江·八年级假期作业)如图, 平分 ,点 是射线 , 上的点,连接 . 按以下步骤作图: 9关注公众号:陆陆高分冲刺 ~领取:最新版“小中高考-总复习”、最新试卷下载 ①以点 为圆心,任意长为半径作弧,交 于点 ,交 于点 ; ②分别以点 和点 为圆心,大于 长为半径作弧,两弧相交于点 ; ③作射线 ,交 于点 .若 , ,则 的度数为( ) A. B. C. D. 【答案】B 【分析】根据条件可知 平分 ,则可求出 ,根据 平分 求出 ,进而利用 即可求出答案. 【详解】由作法得 平分 ,∴ , ∵ 平分 ,∴ , ∵ ,∴ .故选B. 【点睛】本题主要考查角平分线的定义及作法,三角形的外角的性质,根据题目条件发现角平分线是解题 的关键. 例2.(2023·河北·九年级专题练习)问题情境:如图1,点D是△ABC外的一点,点E在BC边的延长线 上,BD平分∠ABC,CD平分∠ACE.试探究∠D与∠A的数量关系. (1)特例探究:如图2,若△ABC是等边三角形,其余条件不变,则∠D= ; 如图3,若△ABC是等腰三角形,顶角∠A=100°,其余条件不变,则∠D= ;这两个图中,与∠A 度数的比是 ;(2)猜想证明:如图1,△ABC为一般三角形,在(1)中获得的∠D与∠A的关系是 否还成立?若成立,利用图1证明你的结论;若不成立,说明理由. 【答案】(1)30°;50°;1:2(2)成立,见解析 【分析】(1)根据三角形的一个外角等于和它不相邻的两个内角的和用 和 表示出 ,再根 据角平分线的定义得到 , ,然后整理即可. (2)根据三角形的一个外角等于和它不相邻的两个内角的和用 和 表示出 ,再根据角平分 线的定义得到 , ,然后整理即可. 10关注公众号:陆陆高分冲刺 ~领取:最新版“小中高考-总复习”、最新试卷下载 【详解】(1)解:如图2, 是等边三角形, , , 平分 , 平分 . , , , ; 如图3, 是等腰三角形, , , , 平分 , 平分 . , , , ;故答案为 , , ; (2)解:成立,如图1,在 中, , 在 中, , (1) 平分 , 平分 , , , 又 , , (2) 由(1) (2), , . 【点睛】本题考查等边三角形的性质、等腰三角形的性质、利用三角形的外角性质和角平分线的定义解答 是关键. 例3.(2023春·浙江·七年级专题练习)∠ACD是 的外角, 的平分线与 的平分线交 △ 于点 , 的平分线与 的平分线交于点 ,…, 的平分线与 的平分线交于 点An. 设∠A= .则 = ,∠A = . 2021 【答案】 【分析】据角平分线的定义可得∠ABC= ∠ABC,∠ACD= ∠ACD,再根据三角形的一个外角等于与 1 1 它不相邻的两个内角的和可得∠ACD=∠A+∠ABC,∠ACD=∠ABC+∠A,整理即可求出∠A 的度数, 1 1 1 1 同理求出∠A,可以发现后一个角等于前一个角的 ,根据此规律即可得解. 2 11关注公众号:陆陆高分冲刺 ~领取:最新版“小中高考-总复习”、最新试卷下载 【详解】解:∵AB是∠ABC的平分线,AC是∠ACD的平分线, 1 1 ∴∠ABC= ∠ABC,∠ACD= ∠ACD, 1 1 又∵∠ACD=∠A+∠ABC,∠ACD=∠ABC+∠A, 1 1 1 ∴ (∠A+∠ABC)= ∠ABC+∠A,∴∠A= ∠A, 1 1 ∵∠A= ,∴∠A= ,同理可得:∠A= ,∴∠A = ,故答案为: , . 1 n 2021 【点睛】本题考查了三角形的内角和定理,三角形的一个外角等于与它不相邻的两个内角的和的性质,角 平分线的定义,熟记性质并准确识图然后求出后一个角是前一个角的 是解题的关键. 模型3.双角平分线模型(双外角) 双角平分线模型3:当这两个角为外角时,这夹角等于90°与第三个角的一半的差。 C D B A E 图1 图2 图3 1)两外角平分线的夹角模型 条件:如图1,在△ABC中,BO,CO是△ABC的外角平分线;结论: . 证明:∵BO、CO平分∠CBE、∠BCF,∴ , 。 ∴∠O=180°-(∠OBC+∠OCB)=180°- (∠EBC+∠BCF)=180°- (∠A+∠ACB+∠ABC+∠A) =180°- (180°+∠A)=90°+ ∠A。 2)旁心模型 旁心:三角形的一条内角平分线与其他两个角的外角平分线交于一点 12关注公众号:陆陆高分冲刺 ~领取:最新版“小中高考-总复习”、最新试卷下载 条件:如图2,BD平分∠ABC,CD平分∠ACB的外角,两条角平分线相交于点 D;结论:AD平分 ∠CAD。 证明:如图3,过点D作DM⊥BA、DN⊥AC、DH⊥BC, ∵BD平分∠ABC,CD平分∠ACB的外角, ∴DH=DM,DH=DN,∴DM=DN,∴AD平分∠CAD。, 例1.(2023.广东八年级期中)如图,在△ABC中,∠B=46°,三角形的外角∠DAC和∠ACF的平分线交 于点E,则∠AEC= . 【答案】67°. 【分析】先根据三角形内角和定理计算出∠BAC+∠BCA=180°﹣∠B=134°,则利用邻补角定义计算出 ∠DAC+∠FCA=180°﹣∠BAC+180°﹣∠BCA=226°,再根据角平分线定义得到∠EAC= ∠DAC,∠ECA = ∠FCA,所以∠EAC+∠ECA= (∠DAC+∠FCA)=113°,后再用三角形内角和计算∠AEC的度数. 【详解】解:∵∠B=46°,∴∠BAC+∠BCA=180°﹣46°=134°, ∴∠DAC+∠FCA=180°﹣∠BAC+180°﹣∠BCA=360°﹣134°=226°, ∵AE和CE分别平分∠DAC和∠FCA,∴∠EAC= ∠DAC,∠ECA= ∠FCA, ∴∠EAC+∠ECA= (∠DAC+∠FCA)=113°, ∴∠AEC=180°﹣(∠EAC+∠ECA)=180°﹣113°=67°.故答案为:67°. 【点睛】本题考查角平分线的有关计算,三角形内角和定理,三角形外角的性质.在本题解题过程中,有 些角单独计算不出来,所以把两个角的和看作一个整体计算(如:∠BAC+∠BCA,∠DAC+∠FCA),故 掌握整体思想是解决此题的关键. 例2.(2023·安徽宿州·八年级校联考期末)(1)如图(a), 平分 , 平分 . 13关注公众号:陆陆高分冲刺 ~领取:最新版“小中高考-总复习”、最新试卷下载 ①当 时,求 的度数.②猜想 与 有什么数量关系?并证明你的结论. (2)如图(b), 平分外角 , 平分外角 ,(1)中②的猜想还正确吗?如果不正确, 请你直接写出正确的结论(不用写出证明过程). 【答案】(1)①120°;② ;证明见解析;(2)不正确; 【分析】(1)①根据角平分线的定义以及三角形的内角和定理计算即可; ②结论:∠D=90°+ ∠A.根据角平分线的定义以及三角形的内角和定理计算即可; (2)不正确.结论:∠D=90°- ∠A.根据角平分线的定义以及三角形的内角和定理三角形的外角的性质 计算即可. 【详解】解:(1)① , , , , , ; ②结论: .理由: , , ; (2)不正确.结论: .理由: , , , . 【点睛】本题考查三角形内角和定理,三角形外角的性质,角平分线的定义等知识,解题的关键是熟练掌 14关注公众号:陆陆高分冲刺 ~领取:最新版“小中高考-总复习”、最新试卷下载 握基本知识,属于中考常考题型. 例3.(2023秋·贵州遵义·八年级校考阶段练习)如图(1), , 是 的外角, 的 平分线所在直线与 的平分线 交于点D,与 的平分线 交于点E.(1)若 ,则 度;(2)若 ,求∠E的度数;(3)在图(1)的条件下,沿 作射线 ,连接 ,如图 (2).求证: 平分 . 【答案】(1) (2) (3)见解析 【分析】(1)由角平分线的定义得到 , ,然后根据三角形的内角和即 可得到结论;(2)根据角平分线的定义得到 , ,于是得到∠ ,由(1)知 ,根据三角形的内角和得到 ;(3)过点D作 于点H, 于点K, 于点I,由角平分线的性质可得, , ,则 ,即可得到结论. 【详解】(1)解:∵ 平分 , 平分 ,∴ , , ∵ ,∴ , ∵ ,∴ , ∴ ,∴ ;故答案为: (2)∵ 平分 , 平分 ,∴ , , ∴ ,∴ , 15关注公众号:陆陆高分冲刺 ~领取:最新版“小中高考-总复习”、最新试卷下载 ∵ ,∵ ,∴ ,∴ ; (3) 如图2,过点D作 于点H, 于点K, 于点I, ∵ 平分 , 平分 ,∴ , ,∴ , ∵ 于点K, 于点I,∴ 平分 . 【点睛】本题主要考查三角形的角平分线的性质与判定,三角形外角的性质,三角形内角和定理,灵活运 用三角形外角的性质是解题的关键. 例4.(2023·甘肃天水·七年级统考期末)已知在△ABC中,图1,图2,图3中的△ABC的内角平分线或 外角平分线交于点O, (1)如图1,点O是△ABC的两个内角平分线的交点,猜想∠O与∠A之间的数量关系,并加以证明. (2)请直接写出结果.如图2,若 ,△ABC的内角平分线与外角平分线交于点O,则∠O= ________; 如图3,若 ,△ABC的两个外角平分线交于点O,则∠O=_________. 【答案】(1) ,证明见解析;(2) ; . 【分析】(1)根据角平分线的性质可以得到 , ,再根据三角形的内角 和定理得到 和 的三个内角的和是 ,对角度进行等价代换即可; (2)图2中,根据角平分线的性质可以得到 , ,再根据三角形外角的 16关注公众号:陆陆高分冲刺 ~领取:最新版“小中高考-总复习”、最新试卷下载 性质得到 和 ,最后对角度进行等价代换即可;图3中,根据角 平分线的性质可以得到 , ,再根据三角形的内角和定理得到 和 的三个内角的和是 ,最后再结合平角的性质对角度进行等价代换即可. 【详解】解:(1) . 证明:∵ 平分 , 平分 ,∴ , , ∴ .即 . (2) ; .如图2所示: ∵ 平分 , 平分 ,∴ , , ∴ . ∵ ∴ .即 . 如图3所示:∵ 平分 , 平分 ,∴ , , ∴ . ∵ ∴ . 即 .故答案为: ; . 【点睛】本题考查了角平分线的性质,三角形的内角和定理和三角形外角的性质,熟练掌握这些知识点是 解题关键,特别注意等价代换的使用. 17关注公众号:陆陆高分冲刺 ~领取:最新版“小中高考-总复习”、最新试卷下载 1.(2023春·山东泰安·七年级统考期末)如图, 的外角 的平分线 与内角 的平分线 交与点P,若 ,则 ( ) A. B. C. D. 【答案】C 【分析】根据外角与内角性质得出 的度数,再利用角平分线的性质以及直角三角形全等的判定证明 ,得出 ,即可得出答案. 【详解】解:延长 ,作 , , ,设 , 平分 , , , 平分 , , , , 18关注公众号:陆陆高分冲刺 ~领取:最新版“小中高考-总复习”、最新试卷下载 , , , , 在 和 中, , , .故选:C. 【点睛】此题主要考查了角平分线的性质以及三角形外角的性质和直角三角全等的判定等知识,根据角平 分线的性质得出 是解决问题的关键. 2.(2023·江苏·八年级统考期末) 中,点 是 内一点,且点 到 三边的距离相等; ,则 A. B. C. D. 【解答】解: 到三角形三边距离相等, 是内心, 即三条角平分线交点, , , 都是角平分线, , , , , .故选: . 3.(2023秋·四川绵阳·八年级统考期末)如图,在△ABC中,∠A=30°,E为BC延长线上一点,∠ABC 与∠ACE的平分线相交于点D,则∠D等于( ) 19关注公众号:陆陆高分冲刺 ~领取:最新版“小中高考-总复习”、最新试卷下载 A.10° B.15° C.20° D.30° 【答案】B 【分析】先根据角平分线的定义得到 , ,再根据三角形外角性质得 , ,则 ,利用等式的性质得到 ,然后把 的度数代入计算即可. 【详解】解答:解:∵ 的平分线与 的平分线交于点D,∴ , , ∵ ,即 ,∴ , ∵ ,∴ .故选:B. 【点睛】本题考查了三角形内角和定理和三角形外角性质、角平分线的性质等,根据三角形内角和是180° 和三角形外角性质进行分析是解题关键. 4.(2023春·广东·七年级专题练习)如图,已知△ABC,O是△ABC内的一点,连接OB、OC,将 ∠ABO、∠ACO分别记为∠1、∠2,则∠1、∠2、∠A、∠O四个角之间的数量关系是( ) A.∠1+∠0=∠A+∠2 B.∠1+∠2+∠A+∠O=180° C.∠1+∠2+∠A+∠O=360° D.∠1+∠2+∠A=∠O 【答案】D 【分析】连接AO并延长,交BC于点D,由三角形外角的性质可知∠BOD=∠BAD+∠1, 20关注公众号:陆陆高分冲刺 ~领取:最新版“小中高考-总复习”、最新试卷下载 ∠COD=∠CAD+∠2,再把两式相加即可得出结论. 【详解】解:连接AO并延长,交BC于点D, ∵∠BOD是△AOB的外角,∠COD是△AOC的外角, ∴∠BOD=∠BAD+∠1①,∠COD=∠CAD+∠2②, ①+②得,∠BOC=(∠BAD+∠CAD)+∠1+∠2,即∠BOC=∠BAC+∠1+∠2.故选:D. 【点睛】本题考查的是三角形外角的性质,熟知三角形的一个外角等于和它不相邻的两个内角的和是解答 此题的关键. 5.(2023.广东七年级期中)在四边形 中, 的平分线与 的平分线交于点 ,若 ,则 ( ) A. B. C. D. 【答案】B 【分析】根据四边形的内角和定理可得 ,根据角平分线的性质可得 ,在 中,根据三角形的内角和定理即可求解. 【详解】解:∵在四边形 中, , , ∴ , ∵ 的平分线与 的平分线交于点 , ∴ , , 21关注公众号:陆陆高分冲刺 ~领取:最新版“小中高考-总复习”、最新试卷下载 ∴ , 在 中, , ∴ ,故选: . 【点睛】本题主要考查四边形的内角和定理,角平分线的性质,三角形的内角和定理的综合运用,掌握以 上知识及角度的计算方法是解题的关键. 6.(2023春·福建漳州·七年级统考期末)如图,在 中, 是角平分线, 是边 上的高,延长 与外角 的平分线交于点 .以下四个结论:① ;② ;③ ;④ .其中结论正确的个数是( ) A.1 B.2 C.3 D.4 【答案】C 【分析】由三角形的角平分线的含义可判断①,由三角形的高的含义可判断②,证明 , , , ,可判断③,由 , ,可得 ,从而可判断④,从而可得答案. 【详解】解:∵ 是 角平分线,∴ ,故①符合题意; ∵ 是边 上的高,∴ ,故②符合题意; ∵ 是 角平分线, 平分 ,∴ , ∵ , ,∴ ,∴ , ∵ ,∴ ,故③不符合题意; ∵ , , 22关注公众号:陆陆高分冲刺 ~领取:最新版“小中高考-总复习”、最新试卷下载 ∴ ,故④符合题意;故选C 【点睛】本题考查的是三角形的内角和定理的应用,三角形的角平分线与高的含义,三角形的外角的性质, 灵活运用三角形的外角的性质解决问题是关键. 7.(2023·辽宁营口·八年级校考阶段练习)如图,∠ACD是△ABC的外角,∠ABC的平分线与∠ACD的 平分线交于点A,∠ABC的平分线与∠ACD的平分线交于点A,…,∠A BC的平分线与∠A CD的 1 1 1 2 n﹣1 n﹣1 平分线交于点An.设∠A= .则:(1)∠A= ;(2)∠A= . 1 n 【答案】(1) ;(2) . 【详解】解:(1)∵AB是∠ABC的平分线,AB是∠ABC的平分线, 1 2 1 ∴∠ABC= ∠ABC,∠ACD= ∠ACD.又∵∠ACD=∠A+∠ABC,∠ACD=∠ABC+∠A, 1 1 1 1 1 ∴ (∠A+∠ABC)= ∠ABC+∠A.∴∠A= ∠A.∵∠A= ,∴∠A= . 1 1 1 (2)同理可得∠A= ∠A= ,∠A= ∠A= ,···,∴∠A= . 2 1 3 2 n 8.(2023春·成都市七年级课时练习)如图在△ABC中,BO,CO分别平分∠ABC,∠ACB,交于O, CE为外角∠ACD的平分线,交BO的延长线于点E,记 , ,则以下结论① ,② ,③ ,④ ,正确的是 .(把所有正 确的结论的序号写在横线上) 【答案】①④ 23关注公众号:陆陆高分冲刺 ~领取:最新版“小中高考-总复习”、最新试卷下载 【分析】依据角平分线的性质以及三角形外角性质,即可得到∠1=2∠2,∠BOC=90°+ ∠1,∠BOC =90°+∠2,再分析判断. 【详解】∵CE为外角∠ACD的平分线,BE平分∠ABC,∴∠DCE= ∠ACD,∠DBE= ∠ABC, 又∵∠DCE是△BCE的外角,∴∠2=∠DCE−∠DBE= (∠ACD−∠ABC)= ∠1,故①正确; ∵BO,CO分别平分∠ABC,∠ACB,∴∠OBC= ABC,∠OCB= ∠ACB, ∴∠BOC=180°−(∠OBC+∠OCB)=180°− (∠ABC+∠ACB)=180°− (180°−∠1)=90°+ ∠1, 故②、③错误; ∵OC平分∠ACB,CE平分∠ACD,∴∠ACO= ∠ACB,∠ACE= ∠ACD, ∴∠OCE= (∠ACB+∠ACD)= ×180°=90°, ∵∠BOC是△COE的外角,∴∠BOC=∠OCE+∠2=90°+∠2,故④正确;故答案为:①④. 【点睛】本题考查了三角形的内角和定理,三角形的一个外角等于与它不相邻的两个内角的和的性质,以 及角平分线的定义. 9.(2023秋·安徽阜阳·八年级统考期中)如图,在 中,点 是 内一点,且点 到 三边 的距离相等,若 ,则 . 【答案】 /68度 【分析】由条件可知 平分 和 ,利用三角形内角和可求得 . 【详解】解:∵点P到 三边的距离相等,∴ 平分 , 平分 , ∴ , 故答案为: . 【点睛】本题考查角平分线的性质与判定,掌握角平分线的交点到三角形三边的距离相等是解题的关键. 24关注公众号:陆陆高分冲刺 ~领取:最新版“小中高考-总复习”、最新试卷下载 10.(2023秋·北京大兴·八年级统考期末)如图,在 中, , 的平分线与外角 的平分线相交于点M,作 的延长线得到射线 ,作射线 ,有下面四个结论: ① ;② ;③射线 是 的角平分线;④ . 所有正确结论的序号是 . 【答案】①③④ 【分析】由角平分线的定义可知 .再根据三角形外角的性质得出 , 即可确定 ,故①正确;过点M作 于点F, 于点G, 于点 H,由角平分线的性质定理可得出 .即易证 ,得出 ,即说明射线 是 的角平分线,故③正确;利用反证法,假设 ,易证 ,即得出 .由 ,可知 ,即说明 不成立, 故②错误;由 ,即得出 .再根据角平分线 的定义即得出 ,最后结合三角形内角和定理即可求出结论,可判 断④正确. 【详解】解:∵ 为 的平分线,∴ . ∵ ,∴ ,∴ ,故①正确; 如图,过点M作 于点F, 于点G, 于点H, ∵ 为 的平分线, 为 的平分线,∴ . 25关注公众号:陆陆高分冲刺 ~领取:最新版“小中高考-总复习”、最新试卷下载 又∵ ,∴ , ∴ ,即射线 是 的角平分线,故③正确; 假设 ,∴ . ∵ 为 的平分线, 是 的角平分线, ∴ , , ∴ ,即 , ∴ ,即 . ∵ ,∴ ,∴假设不成立,故②错误; ∵ ,∴ . ∵ ,∴ , ∴ ,∴④正确. 综上可知所有正确结论的序号是①③④.故答案为:①③④. 【点睛】本题考查角平分线的定义,角平分线的性质定理,三角形全等的判定和性质,三角形外角的性质 及三角形内角和的应用等知识.正确作出辅助线构造全等三角形,并利用数形结合的思想是解题关键. 11.(2023春·河南郑州·七年级校考期末)如图,已知在 中, . (1)分别作 , 的平分线,它们交于点 (尺规作图,不写作法,保留作图痕迹); (2)当 时, 的度数为 .(3)当 时, 的度数为 . 【答案】(1)见解析(2) (3) 【分析】(1)根据要求作出已知角的角平分线即可; (2)利用三角形内角和定理以及角平分线求出 ,可得结论; 26关注公众号:陆陆高分冲刺 ~领取:最新版“小中高考-总复习”、最新试卷下载 (3) 利用三角形内角和定理以及角平分线求出 ,可得结论. 【详解】(1)解:图形如图所示: (2) , 平分 , 平分 , , .故答案为: ; (3) , 平分 , 平分 , , .故答案为: . 【点睛】本题考查作图—简单作图,角平分线的定义,三角形内角和定理等知识,解题的关键是理解题意, 灵活运用所学知识解决问题. 12.(2023·成都市·八年级专题练习)在 中, ,线段 、 分别平分 、 交于点G.(1)如图1,求 的度数;(2)如图2,求证: ;(3)如图3,过点C作 交 延长线于点D,连接 ,点N在 延长线上,连接 交 于点 ,使 ,若 , ,求线段 的长. 27关注公众号:陆陆高分冲刺 ~领取:最新版“小中高考-总复习”、最新试卷下载 【答案】(1) (2)见解析(3)5 【分析】(1)根据三角形内角和定理求出 ,根据 平分 、 平分 , 得出 , ,求出 ,根据三角形内角 和得出 ,即可求出结果; (2)作 平分 交 于点 ,证明 ,得出 ,证明 , 得出 ,即可证明结论; (3)作 交 延长线于点 ,作 交 延长线于点 ,作 于点 ,证明 平 分 ,根据 , ,得出 ,根据 平分 , , ,得 出 ,证明 ,证明 ,得出 ,证明 ,得出 ,作 于点 , 于点 , 于点 ,根据 , ,得出 ,求出 即可 得出答案. 【详解】(1)解:在 中, , ∵ ∴ , ∵ 平分 、 平分 ,∴ , , ∴ ,在 中, ,∴ . (2)解:作 平分 交 于点 ,如图所示:∴ , ∵ ,∴ , ∵ , ∴ ,∴ , ∵ , ,∴ ,∴ ,∴ ; (3)作 交 延长线于点 ,作 交 延长线于点 ,作 于点 ,如图所示: 28关注公众号:陆陆高分冲刺 ~领取:最新版“小中高考-总复习”、最新试卷下载 ∵ 平分 ,∴ ,∵ ,∴ ,∴ , ∵ ,∴ ,∴ 平分 , ∵ , ,∴ ,∵ 平分 , , , ∴ ,∴ ,∴ 平分 , ∵ ,∴ ,∴ , 由(1)得 ,∴ , ∵ , , ,∴ , ∵ ,∴ ,由(2)得 ,∴ , ∴ , , ∵ , ,∴ ,∴ ,∴ , ∵ ,∴ ,作 于点 , 于点 , 于点 , ∵ ,∴ , , ,∴ ,∴ ,∴ . 【点睛】本题主要考查了三角形全等的判定和性质,角平分线的判定和性质,三角形面积的计算,三角形 内角和定理的应用,解题的关键是作出辅助线,熟练掌握三角形全等的判定方法. 13.(2023秋·山东·八年级专题练习)如图,在 中, , 是 , 平分线的交 点.(1) ;(2)若 是两条外角平分线的交点,则 ;(3)在(2)的条件下, 若 是内角 和外角 的平分线的交点,试探索 与 的数量关系,并说明理由. 29关注公众号:陆陆高分冲刺 ~领取:最新版“小中高考-总复习”、最新试卷下载 【答案】(1) (2) (3) ,理由见解析. 【分析】(1)根据角平分线的定义可求得 ,据此即可求得答案. (2)根据三角形的外角的性质可求得 的值,根据角平分线的定义可求得 ,据此即可求得答案.(3)根据角平分线的定义和三角形的外角的性 质可求得 ,结合 即可求得答案. 【详解】(1)∵ , ,∴ . ∵ 是 的平分线,∴ .∵ 是 的平分线,∴ . ∴ .∴ . 故答案为: . (2)∵ 是 的外角,∴ . ∵ 是 的外角,∴ . ∴ . ∵ 是 的平分线,∴ .∵ 是 的平分线,∴ . ∴ . ∴ .故答案为: . (3) ,理由如下:∵ 是 的平分线,∴ . ∵ 是 的外角,∴ . ∵ 是 的平分线,∴ . 30关注公众号:陆陆高分冲刺 ~领取:最新版“小中高考-总复习”、最新试卷下载 ∵ 是 的外角,∴ . ∴ .∴ . 【点睛】本题主要考查角平分线的性质、三角形的外角的性质、三角形内角和定理,牢记三角形的外角的 性质(三角形的一个外角等于与其不相邻的两个内角的和)是解题的关键. 14.(2022春·湖北十堰·七年级统考期末)在三角形中,由三角形的内角平分线所形成的角存在一定的规 律,理解并掌握其中的规律,有助于同学们巩固相关的数学知识. 如图1, 中, 分别平分 ,且相交于点 “勤奋小组”的同学发现: .证明过程如下: 证明:如图2,连接 并延长, 则 (依据1) 与 分别平分 31关注公众号:陆陆高分冲刺 ~领取:最新版“小中高考-总复习”、最新试卷下载 又 ,(依据2) . 依据1是 ___,依据2是 __; 如图3,在图1的基础上,作 的角平分线 交于 点 试探究 与 之间的数量关系. 【答案】(1)三角形的一个外角等于与它不相邻的两个内角之和;三角形的内角和等于 ;(2) 【分析】(1)根据三角形外角的性质和三角形的内角和定理即可得出结论; (2)连接 并延长,交 于点 根据角平分线的定义和三角形外角的性质可得 , ,然后根据 、等量代换 和三角形的内角和定理即可求出结论. 【详解】解:(1)由三角形的一个外角等于与它不相邻的两个内角之和可得 ; 由三角形的内角和等于 可得 故答案为:三角形的一个外角等于与它不相邻的两个内角之和;三角形的内角和等于 ; (2)如图,连接 并延长,交 于点 32关注公众号:陆陆高分冲刺 ~领取:最新版“小中高考-总复习”、最新试卷下载 是 的平分线, 同理 【点睛】此题考查的是三角形内角和定理、三角形外角的性质和角平分线的定义,掌握三角形内角和定理、 三角形外角的性质和角平分线的定义是解决此题的关键. 15.(2023秋·山西朔州·八年级统考阶段练习)(1)【情境引入】如图1, , 分别是 的内角 , 的平分线,说明 的理由. (2)【深入探究】①如图2, , 分别是 的两个外角 , 的平分线, 与 之 间的等量关系是_________; ②如图3, , 分别是 的一个内角 和一个外角 的平分线. , 交于点D,探 究 与 之间的等量关系,并说明理由. (3)【拓展应用】请用以上结论解决下列问题:如图4,在 中, , 分别平分 , . M,N,Q分别在 , , 的延长线上, , 分别平分 , , , 分别平分 , .若 ,则 的度数是________. 33关注公众号:陆陆高分冲刺 ~领取:最新版“小中高考-总复习”、最新试卷下载 【答案】(1)见解析;(2)① ;② ,见解析;(3) 【分析】(1)根据 , 分别是 , 的平分线,可得 ,再由三 角形内角和定理,即可求解; (2)①根据 , 分别是 的两个外角 , 的平分线,可得 .再由三角形内角和定理,即可求解;②根据 , 分别是 的一 个内角 和一个外角 的平分线以及三角形外角的性质,即可求解; (3)由(1)可得 ,由三角形内角和定理,可得 ,再由 , 分别 平分 , ,可得 ,再由(2)②可得 ,即可求解. 【详解】解:(1)∵ , 分别是 , 的平分线, ∴ , ,∴ , ∵ , , ∴ ,∴ ; (2)① 与 之间的考量关系是: , 理由如下:∵ , 分别是 的两个外角 , 的平分线, ∴ , . ∴ , , , , ∴ ,∴ . 34关注公众号:陆陆高分冲刺 ~领取:最新版“小中高考-总复习”、最新试卷下载 ∵ ,∴ . ∴ ,∴ .故答案为: ; ② 与 之间的等量关系是: ,理由如下: ∵ , 分别是 的一个内角 和一个外角 的平分线, , , ∴ ,∴ ,∴ . (3)由(1)得: ,∵ ,∴ ,∴ , ∴ ,∵ , 分别平分 , , ∴ ,∴ , 由(2)②得: ,∴ ,故答案为: . 【点睛】本题考查三角形的外角性质,三角形的内角和定理,有关角平分线的证明,解题的关键是熟记三 角形外角性质,内角和定理. 16.(2023·江苏镇江·七年级校考期中)(1)如图1,BO、CO分别是 中 和 的平分线, 则 与 的关系是______(直接写出结论); (2)如图2,BO、CO分别是 两个外角 和 的平分线,则 与 的关系是______, 请证明你的结论.(3)如图3,BO、CO分别是 一个内角和一个外角的平分线,则 与 的 关系是______,请证明你的结论.(4)利用以上结论完成以下问题:如图4,已知: ,点 A、B分别是射线OF、OD上的动点, 的外角 的平分线与内角 的平分线相交于点P, 猜想 的大小是否变化?请证明你的猜想. 35关注公众号:陆陆高分冲刺 ~领取:最新版“小中高考-总复习”、最新试卷下载 【答案】(1) ;(2) .证明见解析;(3) ;证明见解析; (4) 的大小不会变化始终为45°,证明见解析. 【分析】(1)先根据三角形内角和定理求出∠ABC+∠ACB的度数,再根据BO、CO分别平分∠ABC与 ∠ACB求出∠1+∠2的度数,由三角形内角和定理即可得出∠BOC的度数;(2)由三角形的一个外角等 于与它不相邻的两个内角的和可证2∠1+2∠2=2∠A+∠ABC+∠ACB=∠A+180°,再根据三角形内角和定 理可证2∠BOC=180°﹣∠A,即∠BOC=90°﹣ ∠A;(3)根据三角形的一个外角等于与它不相邻的两 个内角的和以及角平分线的定义表示出∠OBC与∠OCB,然后再根据三角形的内角和定理列式整理即可得 解; (4)利用(3)中的解题思路证得∠P的大小不会变化始终为45°. 【详解】(1) .理由如下: 如图1,∵ ,BO、CO分别是 、 的角平分线, ∴ ,∴ ;答案: ; (2) . 证明:如图2,∵BO平分 ,∴ . 同理可证: .∴ , ∵ , , ∴ , ∴ ;故答案是: ; 36关注公众号:陆陆高分冲刺 ~领取:最新版“小中高考-总复习”、最新试卷下载 (3) ; 证明:∵CO平分 ,BO平分 ∴ ∵ 是 的外角∴ ∵ 是 的外角∴ ∴ ;故答案是: ; (4) 的大小没有变化.证明:∵ 的外角 的平分线与内角 的平分线相交于点P, ∴ , , ∵ 是 的外角,∴ , ∵ 是 的外角,∴ ,∴ ; ∵ ∴ ∴ 的大小不会变化始终为45°. 17.(2023·天津河西·八年级期中)探究一:已知:如图1, 与 分别为 的两个外角. 试探究 与 的数量关系_____(即列出一个含有 , , 的等式,直接写出 答案即可); 探究二:已知:如图2,在 中, 分别平分 和 ,求: 与 的数量关系; 探究三:若将探究2中的 改为任意四边形 呢? 即:如图3,在四边形 中, 分别平分 和 ,试利用上述结论探究 与 的数量关系. 37关注公众号:陆陆高分冲刺 ~领取:最新版“小中高考-总复习”、最新试卷下载 【答案】探究一: ;探究二: ;探究三: 【分析】探究一:根据三角形的一个外角等于与它不相邻的两个内角的和可得 , ,再根据三角形内角和定理整理即可得解; 探究二:根据角平分线的定义可得 , ,然后根据三角形内角和定理列 式整理即可得解 探究三:根据四边形的内角和定理表示出 ,然后同理探究二解答即可. 【详解】解:探究一:∵ , , ∴ ;故答案为: ; 探究二:∵ 分别平分 和 ,∴ , , ∴ ; 探究三:∵ 分别平分 和 ,∴ , , ∴ . 【点睛】本题属于四边形综合题,考查了三角形的外角性质,三角形的内角和定理,多边形的内角和公式, 角平分线的定义等知识,解题的关键是灵活运用三角形内角和定理解决问题. 18.(2023·山东济南·校考模拟预测)如图1,在 ABC中,∠BAC的平分线AD与∠BCA的平分线CE交 △ 于点O.(1)求证:∠AOC=90°+ ∠ABC;(2)当∠ABC=90°时,且AO=3OD(如图2),判断线段AE, CD,AC之间的数量关系,并加以证明. 38关注公众号:陆陆高分冲刺 ~领取:最新版“小中高考-总复习”、最新试卷下载 【答案】(1)见解析(2) AE+CD=AC,证明见解析 【分析】(1)求出∠BAC+∠BCA=180°-∠ABC,根据角平分线定义求出∠OAC= ∠BAC,∠OCA= ∠BCA,即可求出∠OAC+∠OCA的度数,根据三角形内角和定理求出即可;(3)在AC上分别截取 AM、CN,使AM=AE,CN=CD,连接OM,ON,证 AEO≌△AMO, DCO≌△NCO,推出 ∠EOA=∠MOA,∠CON=∠COD,OD=ON,求出∠△MON=∠MOA=45°△,根据角平分线性质求出MK=ML, 据此计算即可求解. 【详解】(1)证明:∵∠ABC+∠ACB+∠BAC=180°,∴∠BAC+∠BCA=180°-∠ABC, ∵∠BAC的平分线AD与∠BCA的平分线CE交于点O.∴∠OAC= ∠BAC,∠OCA= ∠BCA, ∴∠OAC+∠OCA= (∠BAC+∠BCA)= (180°-∠ABC)=90°- ∠ABC, ∴∠AOC=180°-(∠OAC+∠OCA)=180°-(90°- ∠ABC),即∠AOC=90°+ ∠ABC; (2)解: AE+CD=AC, 证明:如图2,∵∠AOC=90°+ ∠ABC=135°,∴∠EOA=45°, 在AC上分别截取AM、CN,使AM=AE,CN=CD,连接OM,ON, 则在△AEO和△AMO中, ,∴△AEO≌△AMO, 同理△DCO≌△NCO,∴∠EOA=∠MOA,∠CON=∠COD,OD=ON, ∴∠EOA=∠MOA=∠CON=∠COD=45°,∴∠MON=∠MOA=45°, 过M作MK⊥AD于K,ML⊥ON于L, 39关注公众号:陆陆高分冲刺 ~领取:最新版“小中高考-总复习”、最新试卷下载 ∴MK=ML,S AOM= AO×MK,S MON= ON×ML,∴ , △ △ ∵ ,∴ ,∵AO=3OD,∴ ,∴ ,∴AN= AM= AE, ∵AN+NC=AC,∴ AE+CD=AC. 【点睛】本题考查了全等三角形的性质和判定,角平分线定义和性质,三角形的面积,三角形内角和定理 的应用,熟练掌握各性质定理是解答此题的关键. 19.(2024·安徽安庆·八年级统考期末)如图,在 中, 和 的平分线相交于点 ,过点 作 交 于 ,交 于 ,过点 作 于 . (1)求证: (2)求证: (3)若 , ,请用含 , 的代数式表示 的面积, ___________(直接写出结果) 【答案】(1)见解析;(2) ;(3) 【分析】(1)根据角平分线的性质和三角形的内角和定理,即可得到结论成立. (2)由平行线的性质和角平分线的性质,得到 , ,然后即可得结论成立; (3)过点O作OG⊥AC,连接OC,由点O为内心,可知OD=OG,由 ,即可得到答 案. 【详解】证明:(1) , 平分 和 40关注公众号:陆陆高分冲刺 ~领取:最新版“小中高考-总复习”、最新试卷下载 , ; (2) , , , 又 , , , , , , ; (3)如图,过点O作OG⊥AC,连接OC, ∵点O为△ABC的内心,则OC是∠ACB的角平分线,∴ , ∵ = = = = ;故答案为: . 【点睛】本题考查了角平分线性质,平行线的性质,三角形的内角和定理,解题的关键是正确得到角之间 的关系,从而进行解题. 20.(2023秋·湖北武汉·八年级统考期末)如图,已知 中, , , 分别平分 和 . (1)如图(1),求 的度数;(2)如图(2),延长 交 于 ,作 交 于 ,作 交 的延长线于 ,垂足为 ,求证: ; (3)如图(3),若 , 是边 所在直线上一点,分别关于 , 作 的对称点 , , 41关注公众号:陆陆高分冲刺 ~领取:最新版“小中高考-总复习”、最新试卷下载 它们到直线 的距离分别记作 和 .①若点 在边 上,直接写出 的最大值; ②若点 在 的延长线上,取十个特殊的 点,使十个对应的 值依次为 , ,…, 这 十个自然数,对应的 的值分别记作 , ,…, .直接写出 的和. 【答案】(1) (2)见解析;(3)① ; 【分析】(1) 中, ,得出 ,已知 , 分别平分 和 ,得到 , ,推出 ,结合三角形的内角和定理 即可求出 的度数;(2)在 上取点 ,使得 ,结合已知条件证明 ,得到 , ,推出 ,结合(1)可以得出 是等腰直角三角形, ,进而得出 ,根据 ,得到 ,推出 , 证明 ,即可得到 ;(3)①根据题意得:当 点为 中点时, 取得最大值; ②类比①,先求出 、 的和,找出规律,即可求出 的值 【详解】(1) 中,∵ ,∴ , ∵ , 分别平分 和 ,∴ , , ∴ ,∴ ,∴ ; (2)在 上取点 ,使得 ,∵ 平分 ,∴ 在 和 中, ,∴ , ∴ , ,∴ ,由(1)得 ,∴ , ∵ ,∴ ,∴ , 又∵ ,∴ ,∴ , 在 和 中,∵ , ,∴ , ∵ 平分 ,∴ ,∴ , 在 和 中, ,∴ ,∴ ; 42关注公众号:陆陆高分冲刺 ~领取:最新版“小中高考-总复习”、最新试卷下载 (3) ; 10 【点睛】本题主要考查三角形内角角平分线的性质,全等三角形的判定和性质,解题的关键是理清题意, 正确的添加辅助线. 21.(23-24七年级下·河南洛阳·期末)已知直线 与 互相垂直,垂足为O,点A在射线 上运动, 点B在射线 上运动,点A,B均不与点O重合. (1)如图1, 平分 , 平分 , 交 于I,则 ______°. (2)如图2, 平分 交 于点I, 平分 , 的反向延长线交 的延长线于点D. ①直接写出,则 ______°.②在点A,B的运动过程中, 的大小是否会发生变化?若不变, 求出 的度数;若变化,请说明理由. 【答案】(1)135(2)①45;②不会发生变化, . 【分析】本题主要考查三角形内角和定理及三角形外角的性质的运用,要求掌握角平分线的性质,渗透由 特殊到一般的思想和用字母表示数的意义及分类讨论思想,属七年级压轴题.(1)由角平分线性和三角 形内角和定理,建立 和 的关系;(2)①根据 (1)中思路,然后根据三角形外角定理进行具体计算即可得到;②由①的思路,设 ,用含 的 代数式表示 和 ,然后代入计算即可证明不变. 【详解】(1)解:∵ 平分 , 平分 , 43关注公众号:陆陆高分冲刺 ~领取:最新版“小中高考-总复习”、最新试卷下载 , ∵直线 与 互相垂直,垂足为 , , ,故答案为: . (2)解:①∵直线 与 互相垂直,垂足为 , , , ∵ 平分 , 平分 , , ,故答案为:45. ②不变, .设 ,∵ 平分 交 于点 平分 , ∴ , ∴ ,∴ 不变. 44关注公众号:陆陆高分冲刺 ~领取:最新版“小中高考-总复习”、最新试卷下载 45
基本 文件 流程 错误 SQL 调试
  1. 请求信息 : 2026-03-01 09:40:40 HTTP/1.1 GET : https://www.yeyulingfeng.com/wendang/329977.html
  2. 运行时间 : 0.084815s [ 吞吐率:11.79req/s ] 内存消耗:6,122.99kb 文件加载:144
  3. 缓存信息 : 0 reads,0 writes
  4. 会话信息 : SESSION_ID=5b9935245c0e5f3b2679df543fbc5abc
  1. /yingpanguazai/ssd/ssd1/www/wwww.yeyulingfeng.com/public/index.php ( 0.79 KB )
  2. /yingpanguazai/ssd/ssd1/www/wwww.yeyulingfeng.com/vendor/autoload.php ( 0.17 KB )
  3. /yingpanguazai/ssd/ssd1/www/wwww.yeyulingfeng.com/vendor/composer/autoload_real.php ( 2.49 KB )
  4. /yingpanguazai/ssd/ssd1/www/wwww.yeyulingfeng.com/vendor/composer/platform_check.php ( 0.90 KB )
  5. /yingpanguazai/ssd/ssd1/www/wwww.yeyulingfeng.com/vendor/composer/ClassLoader.php ( 14.03 KB )
  6. /yingpanguazai/ssd/ssd1/www/wwww.yeyulingfeng.com/vendor/composer/autoload_static.php ( 6.05 KB )
  7. /yingpanguazai/ssd/ssd1/www/wwww.yeyulingfeng.com/vendor/topthink/think-helper/src/helper.php ( 8.34 KB )
  8. /yingpanguazai/ssd/ssd1/www/wwww.yeyulingfeng.com/vendor/topthink/think-validate/src/helper.php ( 2.19 KB )
  9. /yingpanguazai/ssd/ssd1/www/wwww.yeyulingfeng.com/vendor/ralouphie/getallheaders/src/getallheaders.php ( 1.60 KB )
  10. /yingpanguazai/ssd/ssd1/www/wwww.yeyulingfeng.com/vendor/topthink/think-orm/src/helper.php ( 1.47 KB )
  11. /yingpanguazai/ssd/ssd1/www/wwww.yeyulingfeng.com/vendor/topthink/think-orm/stubs/load_stubs.php ( 0.16 KB )
  12. /yingpanguazai/ssd/ssd1/www/wwww.yeyulingfeng.com/vendor/topthink/framework/src/think/Exception.php ( 1.69 KB )
  13. /yingpanguazai/ssd/ssd1/www/wwww.yeyulingfeng.com/vendor/topthink/think-container/src/Facade.php ( 2.71 KB )
  14. /yingpanguazai/ssd/ssd1/www/wwww.yeyulingfeng.com/vendor/symfony/deprecation-contracts/function.php ( 0.99 KB )
  15. /yingpanguazai/ssd/ssd1/www/wwww.yeyulingfeng.com/vendor/symfony/polyfill-mbstring/bootstrap.php ( 8.26 KB )
  16. /yingpanguazai/ssd/ssd1/www/wwww.yeyulingfeng.com/vendor/symfony/polyfill-mbstring/bootstrap80.php ( 9.78 KB )
  17. /yingpanguazai/ssd/ssd1/www/wwww.yeyulingfeng.com/vendor/symfony/var-dumper/Resources/functions/dump.php ( 1.49 KB )
  18. /yingpanguazai/ssd/ssd1/www/wwww.yeyulingfeng.com/vendor/topthink/think-dumper/src/helper.php ( 0.18 KB )
  19. /yingpanguazai/ssd/ssd1/www/wwww.yeyulingfeng.com/vendor/symfony/var-dumper/VarDumper.php ( 4.30 KB )
  20. /yingpanguazai/ssd/ssd1/www/wwww.yeyulingfeng.com/vendor/guzzlehttp/guzzle/src/functions_include.php ( 0.16 KB )
  21. /yingpanguazai/ssd/ssd1/www/wwww.yeyulingfeng.com/vendor/guzzlehttp/guzzle/src/functions.php ( 5.54 KB )
  22. /yingpanguazai/ssd/ssd1/www/wwww.yeyulingfeng.com/vendor/topthink/framework/src/think/App.php ( 15.30 KB )
  23. /yingpanguazai/ssd/ssd1/www/wwww.yeyulingfeng.com/vendor/topthink/think-container/src/Container.php ( 15.76 KB )
  24. /yingpanguazai/ssd/ssd1/www/wwww.yeyulingfeng.com/vendor/psr/container/src/ContainerInterface.php ( 1.02 KB )
  25. /yingpanguazai/ssd/ssd1/www/wwww.yeyulingfeng.com/app/provider.php ( 0.19 KB )
  26. /yingpanguazai/ssd/ssd1/www/wwww.yeyulingfeng.com/vendor/topthink/framework/src/think/Http.php ( 6.04 KB )
  27. /yingpanguazai/ssd/ssd1/www/wwww.yeyulingfeng.com/vendor/topthink/think-helper/src/helper/Str.php ( 7.29 KB )
  28. /yingpanguazai/ssd/ssd1/www/wwww.yeyulingfeng.com/vendor/topthink/framework/src/think/Env.php ( 4.68 KB )
  29. /yingpanguazai/ssd/ssd1/www/wwww.yeyulingfeng.com/app/common.php ( 0.03 KB )
  30. /yingpanguazai/ssd/ssd1/www/wwww.yeyulingfeng.com/vendor/topthink/framework/src/helper.php ( 18.78 KB )
  31. /yingpanguazai/ssd/ssd1/www/wwww.yeyulingfeng.com/vendor/topthink/framework/src/think/Config.php ( 5.54 KB )
  32. /yingpanguazai/ssd/ssd1/www/wwww.yeyulingfeng.com/config/alipay.php ( 3.59 KB )
  33. /yingpanguazai/ssd/ssd1/www/wwww.yeyulingfeng.com/vendor/topthink/framework/src/think/facade/Env.php ( 1.67 KB )
  34. /yingpanguazai/ssd/ssd1/www/wwww.yeyulingfeng.com/config/app.php ( 0.95 KB )
  35. /yingpanguazai/ssd/ssd1/www/wwww.yeyulingfeng.com/config/cache.php ( 0.78 KB )
  36. /yingpanguazai/ssd/ssd1/www/wwww.yeyulingfeng.com/config/console.php ( 0.23 KB )
  37. /yingpanguazai/ssd/ssd1/www/wwww.yeyulingfeng.com/config/cookie.php ( 0.56 KB )
  38. /yingpanguazai/ssd/ssd1/www/wwww.yeyulingfeng.com/config/database.php ( 2.48 KB )
  39. /yingpanguazai/ssd/ssd1/www/wwww.yeyulingfeng.com/config/filesystem.php ( 0.61 KB )
  40. /yingpanguazai/ssd/ssd1/www/wwww.yeyulingfeng.com/config/lang.php ( 0.91 KB )
  41. /yingpanguazai/ssd/ssd1/www/wwww.yeyulingfeng.com/config/log.php ( 1.35 KB )
  42. /yingpanguazai/ssd/ssd1/www/wwww.yeyulingfeng.com/config/middleware.php ( 0.19 KB )
  43. /yingpanguazai/ssd/ssd1/www/wwww.yeyulingfeng.com/config/route.php ( 1.89 KB )
  44. /yingpanguazai/ssd/ssd1/www/wwww.yeyulingfeng.com/config/session.php ( 0.57 KB )
  45. /yingpanguazai/ssd/ssd1/www/wwww.yeyulingfeng.com/config/trace.php ( 0.34 KB )
  46. /yingpanguazai/ssd/ssd1/www/wwww.yeyulingfeng.com/config/view.php ( 0.82 KB )
  47. /yingpanguazai/ssd/ssd1/www/wwww.yeyulingfeng.com/app/event.php ( 0.25 KB )
  48. /yingpanguazai/ssd/ssd1/www/wwww.yeyulingfeng.com/vendor/topthink/framework/src/think/Event.php ( 7.67 KB )
  49. /yingpanguazai/ssd/ssd1/www/wwww.yeyulingfeng.com/app/service.php ( 0.13 KB )
  50. /yingpanguazai/ssd/ssd1/www/wwww.yeyulingfeng.com/app/AppService.php ( 0.26 KB )
  51. /yingpanguazai/ssd/ssd1/www/wwww.yeyulingfeng.com/vendor/topthink/framework/src/think/Service.php ( 1.64 KB )
  52. /yingpanguazai/ssd/ssd1/www/wwww.yeyulingfeng.com/vendor/topthink/framework/src/think/Lang.php ( 7.35 KB )
  53. /yingpanguazai/ssd/ssd1/www/wwww.yeyulingfeng.com/vendor/topthink/framework/src/lang/zh-cn.php ( 13.70 KB )
  54. /yingpanguazai/ssd/ssd1/www/wwww.yeyulingfeng.com/vendor/topthink/framework/src/think/initializer/Error.php ( 3.31 KB )
  55. /yingpanguazai/ssd/ssd1/www/wwww.yeyulingfeng.com/vendor/topthink/framework/src/think/initializer/RegisterService.php ( 1.33 KB )
  56. /yingpanguazai/ssd/ssd1/www/wwww.yeyulingfeng.com/vendor/services.php ( 0.14 KB )
  57. /yingpanguazai/ssd/ssd1/www/wwww.yeyulingfeng.com/vendor/topthink/framework/src/think/service/PaginatorService.php ( 1.52 KB )
  58. /yingpanguazai/ssd/ssd1/www/wwww.yeyulingfeng.com/vendor/topthink/framework/src/think/service/ValidateService.php ( 0.99 KB )
  59. /yingpanguazai/ssd/ssd1/www/wwww.yeyulingfeng.com/vendor/topthink/framework/src/think/service/ModelService.php ( 2.04 KB )
  60. /yingpanguazai/ssd/ssd1/www/wwww.yeyulingfeng.com/vendor/topthink/think-trace/src/Service.php ( 0.77 KB )
  61. /yingpanguazai/ssd/ssd1/www/wwww.yeyulingfeng.com/vendor/topthink/framework/src/think/Middleware.php ( 6.72 KB )
  62. /yingpanguazai/ssd/ssd1/www/wwww.yeyulingfeng.com/vendor/topthink/framework/src/think/initializer/BootService.php ( 0.77 KB )
  63. /yingpanguazai/ssd/ssd1/www/wwww.yeyulingfeng.com/vendor/topthink/think-orm/src/Paginator.php ( 11.86 KB )
  64. /yingpanguazai/ssd/ssd1/www/wwww.yeyulingfeng.com/vendor/topthink/think-validate/src/Validate.php ( 63.20 KB )
  65. /yingpanguazai/ssd/ssd1/www/wwww.yeyulingfeng.com/vendor/topthink/think-orm/src/Model.php ( 23.55 KB )
  66. /yingpanguazai/ssd/ssd1/www/wwww.yeyulingfeng.com/vendor/topthink/think-orm/src/model/concern/Attribute.php ( 21.05 KB )
  67. /yingpanguazai/ssd/ssd1/www/wwww.yeyulingfeng.com/vendor/topthink/think-orm/src/model/concern/AutoWriteData.php ( 4.21 KB )
  68. /yingpanguazai/ssd/ssd1/www/wwww.yeyulingfeng.com/vendor/topthink/think-orm/src/model/concern/Conversion.php ( 6.44 KB )
  69. /yingpanguazai/ssd/ssd1/www/wwww.yeyulingfeng.com/vendor/topthink/think-orm/src/model/concern/DbConnect.php ( 5.16 KB )
  70. /yingpanguazai/ssd/ssd1/www/wwww.yeyulingfeng.com/vendor/topthink/think-orm/src/model/concern/ModelEvent.php ( 2.33 KB )
  71. /yingpanguazai/ssd/ssd1/www/wwww.yeyulingfeng.com/vendor/topthink/think-orm/src/model/concern/RelationShip.php ( 28.29 KB )
  72. /yingpanguazai/ssd/ssd1/www/wwww.yeyulingfeng.com/vendor/topthink/think-helper/src/contract/Arrayable.php ( 0.09 KB )
  73. /yingpanguazai/ssd/ssd1/www/wwww.yeyulingfeng.com/vendor/topthink/think-helper/src/contract/Jsonable.php ( 0.13 KB )
  74. /yingpanguazai/ssd/ssd1/www/wwww.yeyulingfeng.com/vendor/topthink/think-orm/src/model/contract/Modelable.php ( 0.09 KB )
  75. /yingpanguazai/ssd/ssd1/www/wwww.yeyulingfeng.com/vendor/topthink/framework/src/think/Db.php ( 2.88 KB )
  76. /yingpanguazai/ssd/ssd1/www/wwww.yeyulingfeng.com/vendor/topthink/think-orm/src/DbManager.php ( 8.52 KB )
  77. /yingpanguazai/ssd/ssd1/www/wwww.yeyulingfeng.com/vendor/topthink/framework/src/think/Log.php ( 6.28 KB )
  78. /yingpanguazai/ssd/ssd1/www/wwww.yeyulingfeng.com/vendor/topthink/framework/src/think/Manager.php ( 3.92 KB )
  79. /yingpanguazai/ssd/ssd1/www/wwww.yeyulingfeng.com/vendor/psr/log/src/LoggerTrait.php ( 2.69 KB )
  80. /yingpanguazai/ssd/ssd1/www/wwww.yeyulingfeng.com/vendor/psr/log/src/LoggerInterface.php ( 2.71 KB )
  81. /yingpanguazai/ssd/ssd1/www/wwww.yeyulingfeng.com/vendor/topthink/framework/src/think/Cache.php ( 4.92 KB )
  82. /yingpanguazai/ssd/ssd1/www/wwww.yeyulingfeng.com/vendor/psr/simple-cache/src/CacheInterface.php ( 4.71 KB )
  83. /yingpanguazai/ssd/ssd1/www/wwww.yeyulingfeng.com/vendor/topthink/think-helper/src/helper/Arr.php ( 16.63 KB )
  84. /yingpanguazai/ssd/ssd1/www/wwww.yeyulingfeng.com/vendor/topthink/framework/src/think/cache/driver/File.php ( 7.84 KB )
  85. /yingpanguazai/ssd/ssd1/www/wwww.yeyulingfeng.com/vendor/topthink/framework/src/think/cache/Driver.php ( 9.03 KB )
  86. /yingpanguazai/ssd/ssd1/www/wwww.yeyulingfeng.com/vendor/topthink/framework/src/think/contract/CacheHandlerInterface.php ( 1.99 KB )
  87. /yingpanguazai/ssd/ssd1/www/wwww.yeyulingfeng.com/app/Request.php ( 0.09 KB )
  88. /yingpanguazai/ssd/ssd1/www/wwww.yeyulingfeng.com/vendor/topthink/framework/src/think/Request.php ( 55.78 KB )
  89. /yingpanguazai/ssd/ssd1/www/wwww.yeyulingfeng.com/app/middleware.php ( 0.25 KB )
  90. /yingpanguazai/ssd/ssd1/www/wwww.yeyulingfeng.com/vendor/topthink/framework/src/think/Pipeline.php ( 2.61 KB )
  91. /yingpanguazai/ssd/ssd1/www/wwww.yeyulingfeng.com/vendor/topthink/think-trace/src/TraceDebug.php ( 3.40 KB )
  92. /yingpanguazai/ssd/ssd1/www/wwww.yeyulingfeng.com/vendor/topthink/framework/src/think/middleware/SessionInit.php ( 1.94 KB )
  93. /yingpanguazai/ssd/ssd1/www/wwww.yeyulingfeng.com/vendor/topthink/framework/src/think/Session.php ( 1.80 KB )
  94. /yingpanguazai/ssd/ssd1/www/wwww.yeyulingfeng.com/vendor/topthink/framework/src/think/session/driver/File.php ( 6.27 KB )
  95. /yingpanguazai/ssd/ssd1/www/wwww.yeyulingfeng.com/vendor/topthink/framework/src/think/contract/SessionHandlerInterface.php ( 0.87 KB )
  96. /yingpanguazai/ssd/ssd1/www/wwww.yeyulingfeng.com/vendor/topthink/framework/src/think/session/Store.php ( 7.12 KB )
  97. /yingpanguazai/ssd/ssd1/www/wwww.yeyulingfeng.com/vendor/topthink/framework/src/think/Route.php ( 23.73 KB )
  98. /yingpanguazai/ssd/ssd1/www/wwww.yeyulingfeng.com/vendor/topthink/framework/src/think/route/RuleName.php ( 5.75 KB )
  99. /yingpanguazai/ssd/ssd1/www/wwww.yeyulingfeng.com/vendor/topthink/framework/src/think/route/Domain.php ( 2.53 KB )
  100. /yingpanguazai/ssd/ssd1/www/wwww.yeyulingfeng.com/vendor/topthink/framework/src/think/route/RuleGroup.php ( 22.43 KB )
  101. /yingpanguazai/ssd/ssd1/www/wwww.yeyulingfeng.com/vendor/topthink/framework/src/think/route/Rule.php ( 26.95 KB )
  102. /yingpanguazai/ssd/ssd1/www/wwww.yeyulingfeng.com/vendor/topthink/framework/src/think/route/RuleItem.php ( 9.78 KB )
  103. /yingpanguazai/ssd/ssd1/www/wwww.yeyulingfeng.com/route/app.php ( 3.52 KB )
  104. /yingpanguazai/ssd/ssd1/www/wwww.yeyulingfeng.com/vendor/topthink/framework/src/think/facade/Route.php ( 4.70 KB )
  105. /yingpanguazai/ssd/ssd1/www/wwww.yeyulingfeng.com/vendor/topthink/framework/src/think/route/dispatch/Controller.php ( 4.74 KB )
  106. /yingpanguazai/ssd/ssd1/www/wwww.yeyulingfeng.com/vendor/topthink/framework/src/think/route/Dispatch.php ( 10.44 KB )
  107. /yingpanguazai/ssd/ssd1/www/wwww.yeyulingfeng.com/app/controller/Index.php ( 10.53 KB )
  108. /yingpanguazai/ssd/ssd1/www/wwww.yeyulingfeng.com/app/BaseController.php ( 2.05 KB )
  109. /yingpanguazai/ssd/ssd1/www/wwww.yeyulingfeng.com/vendor/topthink/think-orm/src/facade/Db.php ( 0.93 KB )
  110. /yingpanguazai/ssd/ssd1/www/wwww.yeyulingfeng.com/vendor/topthink/think-orm/src/db/connector/Mysql.php ( 5.44 KB )
  111. /yingpanguazai/ssd/ssd1/www/wwww.yeyulingfeng.com/vendor/topthink/think-orm/src/db/PDOConnection.php ( 52.47 KB )
  112. /yingpanguazai/ssd/ssd1/www/wwww.yeyulingfeng.com/vendor/topthink/think-orm/src/db/Connection.php ( 8.39 KB )
  113. /yingpanguazai/ssd/ssd1/www/wwww.yeyulingfeng.com/vendor/topthink/think-orm/src/db/ConnectionInterface.php ( 4.57 KB )
  114. /yingpanguazai/ssd/ssd1/www/wwww.yeyulingfeng.com/vendor/topthink/think-orm/src/db/builder/Mysql.php ( 16.58 KB )
  115. /yingpanguazai/ssd/ssd1/www/wwww.yeyulingfeng.com/vendor/topthink/think-orm/src/db/Builder.php ( 24.06 KB )
  116. /yingpanguazai/ssd/ssd1/www/wwww.yeyulingfeng.com/vendor/topthink/think-orm/src/db/BaseBuilder.php ( 27.50 KB )
  117. /yingpanguazai/ssd/ssd1/www/wwww.yeyulingfeng.com/vendor/topthink/think-orm/src/db/Query.php ( 15.71 KB )
  118. /yingpanguazai/ssd/ssd1/www/wwww.yeyulingfeng.com/vendor/topthink/think-orm/src/db/BaseQuery.php ( 45.13 KB )
  119. /yingpanguazai/ssd/ssd1/www/wwww.yeyulingfeng.com/vendor/topthink/think-orm/src/db/concern/TimeFieldQuery.php ( 7.43 KB )
  120. /yingpanguazai/ssd/ssd1/www/wwww.yeyulingfeng.com/vendor/topthink/think-orm/src/db/concern/AggregateQuery.php ( 3.26 KB )
  121. /yingpanguazai/ssd/ssd1/www/wwww.yeyulingfeng.com/vendor/topthink/think-orm/src/db/concern/ModelRelationQuery.php ( 20.07 KB )
  122. /yingpanguazai/ssd/ssd1/www/wwww.yeyulingfeng.com/vendor/topthink/think-orm/src/db/concern/ParamsBind.php ( 3.66 KB )
  123. /yingpanguazai/ssd/ssd1/www/wwww.yeyulingfeng.com/vendor/topthink/think-orm/src/db/concern/ResultOperation.php ( 7.01 KB )
  124. /yingpanguazai/ssd/ssd1/www/wwww.yeyulingfeng.com/vendor/topthink/think-orm/src/db/concern/WhereQuery.php ( 19.37 KB )
  125. /yingpanguazai/ssd/ssd1/www/wwww.yeyulingfeng.com/vendor/topthink/think-orm/src/db/concern/JoinAndViewQuery.php ( 7.11 KB )
  126. /yingpanguazai/ssd/ssd1/www/wwww.yeyulingfeng.com/vendor/topthink/think-orm/src/db/concern/TableFieldInfo.php ( 2.63 KB )
  127. /yingpanguazai/ssd/ssd1/www/wwww.yeyulingfeng.com/vendor/topthink/think-orm/src/db/concern/Transaction.php ( 2.77 KB )
  128. /yingpanguazai/ssd/ssd1/www/wwww.yeyulingfeng.com/vendor/topthink/framework/src/think/log/driver/File.php ( 5.96 KB )
  129. /yingpanguazai/ssd/ssd1/www/wwww.yeyulingfeng.com/vendor/topthink/framework/src/think/contract/LogHandlerInterface.php ( 0.86 KB )
  130. /yingpanguazai/ssd/ssd1/www/wwww.yeyulingfeng.com/vendor/topthink/framework/src/think/log/Channel.php ( 3.89 KB )
  131. /yingpanguazai/ssd/ssd1/www/wwww.yeyulingfeng.com/vendor/topthink/framework/src/think/event/LogRecord.php ( 1.02 KB )
  132. /yingpanguazai/ssd/ssd1/www/wwww.yeyulingfeng.com/vendor/topthink/think-helper/src/Collection.php ( 16.47 KB )
  133. /yingpanguazai/ssd/ssd1/www/wwww.yeyulingfeng.com/vendor/topthink/framework/src/think/facade/View.php ( 1.70 KB )
  134. /yingpanguazai/ssd/ssd1/www/wwww.yeyulingfeng.com/vendor/topthink/framework/src/think/View.php ( 4.39 KB )
  135. /yingpanguazai/ssd/ssd1/www/wwww.yeyulingfeng.com/vendor/topthink/framework/src/think/Response.php ( 8.81 KB )
  136. /yingpanguazai/ssd/ssd1/www/wwww.yeyulingfeng.com/vendor/topthink/framework/src/think/response/View.php ( 3.29 KB )
  137. /yingpanguazai/ssd/ssd1/www/wwww.yeyulingfeng.com/vendor/topthink/framework/src/think/Cookie.php ( 6.06 KB )
  138. /yingpanguazai/ssd/ssd1/www/wwww.yeyulingfeng.com/vendor/topthink/think-view/src/Think.php ( 8.38 KB )
  139. /yingpanguazai/ssd/ssd1/www/wwww.yeyulingfeng.com/vendor/topthink/framework/src/think/contract/TemplateHandlerInterface.php ( 1.60 KB )
  140. /yingpanguazai/ssd/ssd1/www/wwww.yeyulingfeng.com/vendor/topthink/think-template/src/Template.php ( 46.61 KB )
  141. /yingpanguazai/ssd/ssd1/www/wwww.yeyulingfeng.com/vendor/topthink/think-template/src/template/driver/File.php ( 2.41 KB )
  142. /yingpanguazai/ssd/ssd1/www/wwww.yeyulingfeng.com/vendor/topthink/think-template/src/template/contract/DriverInterface.php ( 0.86 KB )
  143. /yingpanguazai/ssd/ssd1/www/wwww.yeyulingfeng.com/runtime/temp/10a0c909b6afa23b5a52a2e2d58c3c0f.php ( 21.70 KB )
  144. /yingpanguazai/ssd/ssd1/www/wwww.yeyulingfeng.com/vendor/topthink/think-trace/src/Html.php ( 4.42 KB )
  1. CONNECT:[ UseTime:0.000488s ] mysql:host=127.0.0.1;port=3306;dbname=wenku;charset=utf8mb4
  2. SHOW FULL COLUMNS FROM `fenlei` [ RunTime:0.000746s ]
  3. SELECT * FROM `fenlei` WHERE `fid` = 0 [ RunTime:0.000311s ]
  4. SELECT * FROM `fenlei` WHERE `fid` = 63 [ RunTime:0.000284s ]
  5. SHOW FULL COLUMNS FROM `set` [ RunTime:0.000517s ]
  6. SELECT * FROM `set` [ RunTime:0.000205s ]
  7. SHOW FULL COLUMNS FROM `wendang` [ RunTime:0.000627s ]
  8. SELECT * FROM `wendang` WHERE `id` = 329977 LIMIT 1 [ RunTime:0.000545s ]
  9. UPDATE `wendang` SET `liulancishu` = 3 WHERE `id` = 329977 [ RunTime:0.002253s ]
  10. UPDATE `wendang` SET `lasttime` = 1772329240 WHERE `id` = 329977 [ RunTime:0.000949s ]
  11. SELECT * FROM `wendang` WHERE `id` < 329977 ORDER BY `id` DESC LIMIT 1 [ RunTime:0.000459s ]
  12. SELECT * FROM `wendang` WHERE `id` > 329977 ORDER BY `id` ASC LIMIT 1 [ RunTime:0.000457s ]
  13. SELECT * FROM `wendang` WHERE `id` <> 329977 ORDER BY `id` DESC LIMIT 10 [ RunTime:0.001363s ]
  14. SELECT * FROM `wendang` WHERE `id` <> 329977 ORDER BY `id` DESC LIMIT 10,10 [ RunTime:0.001108s ]
  15. SELECT * FROM `wendang` WHERE `id` <> 329977 ORDER BY `id` DESC LIMIT 20,10 [ RunTime:0.002224s ]
0.086495s