当前位置:首页>文档>专题03三角形中的倒角模型之双角平分线和高线模型的四类综合题型(压轴题专项训练)(教师版)_初中数学_八年级数学上册(人教版)_压轴题专项-V5_2025版

专题03三角形中的倒角模型之双角平分线和高线模型的四类综合题型(压轴题专项训练)(教师版)_初中数学_八年级数学上册(人教版)_压轴题专项-V5_2025版

  • 2026-03-22 05:58:51 2026-03-20 04:18:04

文档预览

专题03三角形中的倒角模型之双角平分线和高线模型的四类综合题型(压轴题专项训练)(教师版)_初中数学_八年级数学上册(人教版)_压轴题专项-V5_2025版
专题03三角形中的倒角模型之双角平分线和高线模型的四类综合题型(压轴题专项训练)(教师版)_初中数学_八年级数学上册(人教版)_压轴题专项-V5_2025版
专题03三角形中的倒角模型之双角平分线和高线模型的四类综合题型(压轴题专项训练)(教师版)_初中数学_八年级数学上册(人教版)_压轴题专项-V5_2025版
专题03三角形中的倒角模型之双角平分线和高线模型的四类综合题型(压轴题专项训练)(教师版)_初中数学_八年级数学上册(人教版)_压轴题专项-V5_2025版
专题03三角形中的倒角模型之双角平分线和高线模型的四类综合题型(压轴题专项训练)(教师版)_初中数学_八年级数学上册(人教版)_压轴题专项-V5_2025版
专题03三角形中的倒角模型之双角平分线和高线模型的四类综合题型(压轴题专项训练)(教师版)_初中数学_八年级数学上册(人教版)_压轴题专项-V5_2025版
专题03三角形中的倒角模型之双角平分线和高线模型的四类综合题型(压轴题专项训练)(教师版)_初中数学_八年级数学上册(人教版)_压轴题专项-V5_2025版
专题03三角形中的倒角模型之双角平分线和高线模型的四类综合题型(压轴题专项训练)(教师版)_初中数学_八年级数学上册(人教版)_压轴题专项-V5_2025版
专题03三角形中的倒角模型之双角平分线和高线模型的四类综合题型(压轴题专项训练)(教师版)_初中数学_八年级数学上册(人教版)_压轴题专项-V5_2025版
专题03三角形中的倒角模型之双角平分线和高线模型的四类综合题型(压轴题专项训练)(教师版)_初中数学_八年级数学上册(人教版)_压轴题专项-V5_2025版
专题03三角形中的倒角模型之双角平分线和高线模型的四类综合题型(压轴题专项训练)(教师版)_初中数学_八年级数学上册(人教版)_压轴题专项-V5_2025版
专题03三角形中的倒角模型之双角平分线和高线模型的四类综合题型(压轴题专项训练)(教师版)_初中数学_八年级数学上册(人教版)_压轴题专项-V5_2025版
专题03三角形中的倒角模型之双角平分线和高线模型的四类综合题型(压轴题专项训练)(教师版)_初中数学_八年级数学上册(人教版)_压轴题专项-V5_2025版
专题03三角形中的倒角模型之双角平分线和高线模型的四类综合题型(压轴题专项训练)(教师版)_初中数学_八年级数学上册(人教版)_压轴题专项-V5_2025版
专题03三角形中的倒角模型之双角平分线和高线模型的四类综合题型(压轴题专项训练)(教师版)_初中数学_八年级数学上册(人教版)_压轴题专项-V5_2025版
专题03三角形中的倒角模型之双角平分线和高线模型的四类综合题型(压轴题专项训练)(教师版)_初中数学_八年级数学上册(人教版)_压轴题专项-V5_2025版
专题03三角形中的倒角模型之双角平分线和高线模型的四类综合题型(压轴题专项训练)(教师版)_初中数学_八年级数学上册(人教版)_压轴题专项-V5_2025版
专题03三角形中的倒角模型之双角平分线和高线模型的四类综合题型(压轴题专项训练)(教师版)_初中数学_八年级数学上册(人教版)_压轴题专项-V5_2025版
专题03三角形中的倒角模型之双角平分线和高线模型的四类综合题型(压轴题专项训练)(教师版)_初中数学_八年级数学上册(人教版)_压轴题专项-V5_2025版
专题03三角形中的倒角模型之双角平分线和高线模型的四类综合题型(压轴题专项训练)(教师版)_初中数学_八年级数学上册(人教版)_压轴题专项-V5_2025版
专题03三角形中的倒角模型之双角平分线和高线模型的四类综合题型(压轴题专项训练)(教师版)_初中数学_八年级数学上册(人教版)_压轴题专项-V5_2025版
专题03三角形中的倒角模型之双角平分线和高线模型的四类综合题型(压轴题专项训练)(教师版)_初中数学_八年级数学上册(人教版)_压轴题专项-V5_2025版
专题03三角形中的倒角模型之双角平分线和高线模型的四类综合题型(压轴题专项训练)(教师版)_初中数学_八年级数学上册(人教版)_压轴题专项-V5_2025版
专题03三角形中的倒角模型之双角平分线和高线模型的四类综合题型(压轴题专项训练)(教师版)_初中数学_八年级数学上册(人教版)_压轴题专项-V5_2025版
专题03三角形中的倒角模型之双角平分线和高线模型的四类综合题型(压轴题专项训练)(教师版)_初中数学_八年级数学上册(人教版)_压轴题专项-V5_2025版
专题03三角形中的倒角模型之双角平分线和高线模型的四类综合题型(压轴题专项训练)(教师版)_初中数学_八年级数学上册(人教版)_压轴题专项-V5_2025版
专题03三角形中的倒角模型之双角平分线和高线模型的四类综合题型(压轴题专项训练)(教师版)_初中数学_八年级数学上册(人教版)_压轴题专项-V5_2025版
专题03三角形中的倒角模型之双角平分线和高线模型的四类综合题型(压轴题专项训练)(教师版)_初中数学_八年级数学上册(人教版)_压轴题专项-V5_2025版
专题03三角形中的倒角模型之双角平分线和高线模型的四类综合题型(压轴题专项训练)(教师版)_初中数学_八年级数学上册(人教版)_压轴题专项-V5_2025版
专题03三角形中的倒角模型之双角平分线和高线模型的四类综合题型(压轴题专项训练)(教师版)_初中数学_八年级数学上册(人教版)_压轴题专项-V5_2025版
专题03三角形中的倒角模型之双角平分线和高线模型的四类综合题型(压轴题专项训练)(教师版)_初中数学_八年级数学上册(人教版)_压轴题专项-V5_2025版
专题03三角形中的倒角模型之双角平分线和高线模型的四类综合题型(压轴题专项训练)(教师版)_初中数学_八年级数学上册(人教版)_压轴题专项-V5_2025版
专题03三角形中的倒角模型之双角平分线和高线模型的四类综合题型(压轴题专项训练)(教师版)_初中数学_八年级数学上册(人教版)_压轴题专项-V5_2025版
专题03三角形中的倒角模型之双角平分线和高线模型的四类综合题型(压轴题专项训练)(教师版)_初中数学_八年级数学上册(人教版)_压轴题专项-V5_2025版
专题03三角形中的倒角模型之双角平分线和高线模型的四类综合题型(压轴题专项训练)(教师版)_初中数学_八年级数学上册(人教版)_压轴题专项-V5_2025版
专题03三角形中的倒角模型之双角平分线和高线模型的四类综合题型(压轴题专项训练)(教师版)_初中数学_八年级数学上册(人教版)_压轴题专项-V5_2025版
专题03三角形中的倒角模型之双角平分线和高线模型的四类综合题型(压轴题专项训练)(教师版)_初中数学_八年级数学上册(人教版)_压轴题专项-V5_2025版
专题03三角形中的倒角模型之双角平分线和高线模型的四类综合题型(压轴题专项训练)(教师版)_初中数学_八年级数学上册(人教版)_压轴题专项-V5_2025版
专题03三角形中的倒角模型之双角平分线和高线模型的四类综合题型(压轴题专项训练)(教师版)_初中数学_八年级数学上册(人教版)_压轴题专项-V5_2025版
专题03三角形中的倒角模型之双角平分线和高线模型的四类综合题型(压轴题专项训练)(教师版)_初中数学_八年级数学上册(人教版)_压轴题专项-V5_2025版
专题03三角形中的倒角模型之双角平分线和高线模型的四类综合题型(压轴题专项训练)(教师版)_初中数学_八年级数学上册(人教版)_压轴题专项-V5_2025版
专题03三角形中的倒角模型之双角平分线和高线模型的四类综合题型(压轴题专项训练)(教师版)_初中数学_八年级数学上册(人教版)_压轴题专项-V5_2025版
专题03三角形中的倒角模型之双角平分线和高线模型的四类综合题型(压轴题专项训练)(教师版)_初中数学_八年级数学上册(人教版)_压轴题专项-V5_2025版
专题03三角形中的倒角模型之双角平分线和高线模型的四类综合题型(压轴题专项训练)(教师版)_初中数学_八年级数学上册(人教版)_压轴题专项-V5_2025版
专题03三角形中的倒角模型之双角平分线和高线模型的四类综合题型(压轴题专项训练)(教师版)_初中数学_八年级数学上册(人教版)_压轴题专项-V5_2025版
专题03三角形中的倒角模型之双角平分线和高线模型的四类综合题型(压轴题专项训练)(教师版)_初中数学_八年级数学上册(人教版)_压轴题专项-V5_2025版

文档信息

文档格式
docx
文档大小
5.071 MB
文档页数
46 页
上传时间
2026-03-20 04:18:04

文档内容

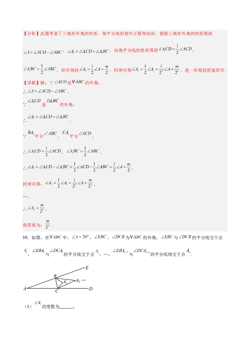
专题 03 三角形中的倒角模型之双角平分线和高线 模型的四类综合题型 目录 典例详解 类型一、三角形中的倒角模型之双内角角平分线模型 类型二、三角形中的倒角模型之一内角一外角双角平分线模型 类型三、三角形中的倒角模型之双外角角平分线模型 类型四、三角形中的倒角模型之高线与角平分线分线模型 压轴专练 类型一、三角形中的倒角模型之双内角角平分线模型 1)两内角平分线的夹角模型 图1 图2 图3 条件:如图1,在△ABC中,∠ABC和∠ACB的平分线BP,CP交于点P;结论: 。 证明:∵∠ABC和∠ACB的平分线BP,CP交于点P,∴ , 。 ∴∠P=180°-(∠PBC+∠PCB)=180°- (∠ABC+∠ACB)=180°- (180°-∠A)=90°+ ∠A。 2)凸多边形双内角平分线的夹角模型1 条件:如图2,BP、CP平分∠ABC、∠DCB,两条角平分线相交于点P;结论:2∠P=∠A+∠D。证明:∵BP、CP平分∠ABC、∠DCB,∴ , 。 ∴ ∠ P=180°- ( ∠ PBC+∠ PCB ) =180°- ( ∠ ABC+∠ DCB ) =180°- ( 360°-∠ A-∠ D ) = (∠A+∠D)。即:2∠P=∠A+∠D。 3)凸多边形双内角平分线的夹角模型2 条 件 : 如 图 3 , CP 、 DP 平 分 ∠ BCD 、 ∠ CDE , 两 条 角 平 分 线 相 交 于 点 P ; 结 论 : 。 证明:∵CP、DP平分∠BCD、∠CDE,∴ , 。 ∴∠P=180°-(∠PCD+∠PDC)=180°- (∠BCD+∠CDE)=180°- (540°-∠A-∠D-∠E) =∠A+∠D+∠E-90°。即:2∠P=∠A+∠D+∠E-180°。 例1.如图,在 中, , 与 是 的两条角平分线, 与 交于点 ,求 的度数. 【答案】 【分析】本题主要考查了角平分线的定义,三角形内角和定理.根据三角形内角和定理可得 ,由角平分线的定义求出 ,进而 得到 ,再由三角形内角和定理,即可求解. 【详解】解:∵在 中, , ∴ , ∵ 是 的两条角平分线, ∴ , ∴ , ∴ .【变式1-1】 的两条角平分线 、 相交于点 I. (1)如图1: ①若 求 的度数; ②若 直接写出 °(用含β的式子表示); (2)如图2,连接 , 平分 ,作 分别交 、 于点D、E.你发现与 一定相等 的角有 ; 与 一定相等的角有 . 【答案】(1)① ;② (2) , ; , 【分析】本题主要考查了三角形外角的性质,角平分线定义,三角形内角和定理的应用,解题的关键是熟 练掌握三角形内角和定理. (1)①先求出 ,然后根据角平分线的定义求出 , ,求出 ,再根据三角形内角和定理求出结果即可; ②先求出 ,然后根据角平分线的定义求出 , , 求出 ,再根据三角形内角和定理求出结果即可; (2)根据角平分线定义得出 ,根据垂线定义得出 ,根据解析 (1)得出 ,根据三角形外角性质得出 ,,得出 ;根据 , ,即可得出 . 【详解】(1)解:①∵ , ∴ , ∵ 平分 , 平分 , ∴ , , ∴ , ∴ ; ②∵ , ∴ , ∵ 平分 , 平分 , ∴ , , ∴ , ∴ ; (2)解:∵ 平分 , ∴ , ∵ , ∴ , 根据解析(1)可知, ,根据三角形外角的性质可知: , , ∴ ; 根据解析(1)可知, , ∵ 平分 , ∴ , ∵ , ∴ . 【变式1-2】模型认识:我们学过三角形的内角和等于 ,又知道角平分线可以把一个角分成大小相等 的两部分,接下来我们就利用上述知识进行下面的探究活动. 如图①,在 中, 、 分别是 和 的角平分线. 解决问题:(1)若 , ,则 ______;(直接写出答案) (2)若 ,求出 的度数; 拓展延伸:(3)如图②,在四边形 中, 、 分别是 和 的角平分线,直接写出 与 的数量关系. 【答案】(1) (2) (3) 【分析】(1)根据角平分线的定义和三角形内角和定理可得∠BPC的度数; (2)根据角平分线的定义和三角形内角和定理可得∠BPC的度数; (3)根据角平分线的定义和四边形内角和定理可得∠BPC与∠A+∠D的数量关系. 【详解】(1)解:∵BP、CP分别是∠ABC和∠ACB的角平分线,∠ABC=40°,∠ACB=80°, ∴∠PBC= ∠ABC= ×40°=20°,∠PCB= ∠ACB= ×80°=40°.∴∠BPC=180°-∠PBC-∠PCB=180°-20°-40°=120°; 故答案为:120°; (2)∵BP、CP分别是∠ABC和∠ACB的角平分线, ∴∠PBC= ∠ABC,∠PCB= ∠ACB. ∴∠BPC=180°-∠PBC-∠PCB=180°- (180°-∠BAC)=90°+ ∠BAC, ∵∠BAC=100°, ∴∠BPC=90°+ ∠BAC=90°+ ×100°=140°; (3)∵BP、CP分别是∠ABC和∠DCB的角平分线, ∴∠PBC= ∠ABC,∠PCB= ∠DCB. ∴∠BPC=180°-∠PBC-∠PCB=180°- (360°-∠A-∠D)= (∠A+∠D). 【点睛】本题考查了角平分线的定义,三角形的内角和定理,多边形的内角和公式,此类题目根据同一个 解答思路求解是解题的关键. 【变式1-3】“如图①,在 中, , 和 的平分线相交于点 ,求 的 度数.”小白在解决这个问题的过程中,发现当 取不同的数值时, 的大小并不改变,于是 猜想三角形的两个内角的平分线的夹角和第三个内角的度数之间存在着某种数量关系,所以决定将其作为 一个项目做进一步探究. 【项目模型】如图②,直线 与直线 相交于点 ,点 在射线 上运动(点 不与点 重合),点 在射线 上运动(点 不与点 重合).连接 , 和 的平分线交于点 .探究 与 的数量关系. 【特例发现】如图②,当 时, __________度;当 时, _____________度. 【规律探索】如图②,当 度数为 时,用含 的代数式表示 的大小,并写出推导过程. 【拓展应用】如图③,当 时, 和 的平分线交于点 , 和 的角平分线交于点 .在点 和点 的运动过程中,当 的三个内角中有一个角是另一个角的3倍时,直接写 出 的度数. 【答案】特例发现: ; ;规律探索: ,推理过程见解析;拓展应用: 或 【分析】本题主要考查了与角平分线有关的三角形内角和问题,熟知三角形内角和定理和角平分线的定义 是解题的关键. 特例发现:先由三角形内角和定理得到 的度数,再由角平分线的定义得到 ,据此得到 ,则由三角形内角和定理可求出 的度 数; 规律探索:同特例发现中的方法求解即可; 拓展应用:由三角形内角和定理可得 ,则由平角的定义可得 , 再由角平分线的定义得到 ,则由三角形内角和定理可得 ,则由规律探索的 结论可得 ;再分 , , 和 , 四种 情况根据三角形内角和定理求出 的度数,进而根据角平分线的定义求出 的度数即可得到答案. 【详解】解:特例发现:当 时, ∵ , ∴ , ∵ 和 的平分线交于点 , ∴ , ∴ , ∴ ; 当 时, ∵ , ∴ , ∵ 和 的平分线交于点 , ∴ , ∴ ,∴ ; 规律探索: ,推理如下: ∵ , , ∴ , ∵ 和 的平分线交于点 , ∴ , ∴ , ∴ ; 拓展应用:∵ , , ∴ , ∵ , ∴ , ∵ 和 的平分线交于点 , ∴ , ∴ , ∴ , ∵ 和 的角平分线交于点 , ∴ ; 当 时, 则 , ∴ , ∴ , ∴ ; 当 时, 则 , ∴ , ∴ , ∴ , ∴ ;当 时, ∵ , ∴ , ∴ , ∴ , ∴ ,不符合题意; 当 时, ∵ , ∴ , ∴ , ∴ , ∴ , ∴ ,不符合题意; 综上所述, 的度数为 或 . 类型二、三角形中的倒角模型之一内角一外角双角平分线模型 图1 图2 1)一个内角一个外角平分线的夹角模型 条件:如图1,在△ABC中,BP平分∠ABC,CP平分∠ACB的外角,两条角平分线相交于点P;结 论: . 证明:∵BP、CP平分∠ABC、∠ACD,∴ , 。 ∴∠P=∠PCD-∠PBC= (∠ACD-∠ABC)= ∠A。 2)一个内角一个外角平分线的夹角模型(累计平分线) 条件:如图2, ,∠ABC、∠ACD的平分线相交于点 , 的平分线相交于点 ,, 的平分线相交于点 ……以此类推;结论: 的度数是 . 证明:∵BP1、CP1平分∠ABC、∠ACD,∴ , 。 ∴∠P=∠PCD-∠PBC= (∠ACD-∠ABC)= ∠A= 。同理:∠P= ∠P= ,∠P= 1 1 1 2 1 n 例2.如图,在 中, 分别是 与 的角平分线,点D在 的延长线上, 则 . 【答案】 /18度 【知识点】角平分线的有关计算、三角形的外角的定义及性质 【分析】本题考查三角形外角的性质及角平分线的定义,根据点D在 的延长线上,得到 ,由角平分线的定义可得 ,根据三角形外角的性质 即可求 的度数. 【详解】解:点D在 的延长线上, 是 的一个外角, , 分别是 与 的角平分线, , , , 故答案为: . 【变式2-1】问题情境:如图1,点D是△ABC外的一点,点E在BC边的延长线上,BD平分∠ABC,CD 平分∠ACE.试探究∠D与∠A的数量关系.(1)特例探究:如图2,若△ABC是等边三角形,其余条件不变,则∠D= ; 如图3,若△ABC是等腰三角形,顶角∠A=100°,其余条件不变,则∠D= ;这两个图中,与∠A 度数的比是 ;(2)猜想证明:如图1,△ABC为一般三角形,在(1)中获得的∠D与∠A的关系是 否还成立?若成立,利用图1证明你的结论;若不成立,说明理由. 【答案】(1)30°;50°;1:2(2)成立,见解析 【分析】(1)根据三角形的一个外角等于和它不相邻的两个内角的和用 和 表示出 ,再根 据角平分线的定义得到 , ,然后整理即可. (2)根据三角形的一个外角等于和它不相邻的两个内角的和用 和 表示出 ,再根据角平分 线的定义得到 , ,然后整理即可. 【详解】(1)解:如图2, 是等边三角形, , , 平分 , 平分 . , , , ; 如图3, 是等腰三角形, , , , 平分 , 平分 . , , , ;故答案为 , , ; (2)解:成立,如图1,在 中, , 在 中, , (1) 平分 , 平分 , , , 又 , , (2) 由(1) (2), , . 【点睛】本题考查等边三角形的性质、等腰三角形的性质、利用三角形的外角性质和角平分线的定义解答 是关键. 【变式2-2】特例感知 (1)如图1, 是 的平分线, 是 外角的角平分线.①若 ,则 ________; ②判断 与 的数量关系,并说明理由. 类比迁移 (2)如图2, 是 的外角, 的平分线与 的平分线交于点 , 的平分线 与 的平分线交于点 , , 的平分线与 的平分线交于点 ( 为正整数).设 ,则 ________. 拓展应用 (3)如图3,在 中, 是 的外角, 的三等分线与 的三等分线交于点 .若 , ,请直接写出 的度数.(用含 、 的式子表示) 【答案】(1)① ; ;(2) ;(3) 或 或 或 【知识点】与角平分线有关的三角形内角和问题、三角形的外角的定义及性质 【分析】本题考查了三角形外角的性质和三角形内角和定理; (1)根据角平分线的定义得出 , ,根据三角形的外角的性质可得, ,进而得出 ; (2)根据三角形的外角性质可得 , ,根据角平分线的定义可得 , ,整理得到 ,同理可得 ,从而判断出后一个 角是前一个角的 ,然后表示出 即可得答案. (3)分情况讨论,根据三角形的外角等于和它不相邻的两个内角和,列式计算即可; 【详解】解:∵ 平分 , ∴ , ∵ 平分 ∴ ∵ ∴ 又∵ ∴ 当 时, 故答案为: . ② , 理由如下, ∵ 平分 , ∴ , ∵ 平分 ∴ ∵∴ 又∵ ∴ (2) 是 的外角, 是 的外角, , , 的平分线与 的平分线交于点 , , , , 同理可得 , , , 同理: , . 故答案为: (3)如图所示,∵ , ∴ ∵ 的三等分线与 的三等分线交于点 ∴ ∴ ; ∵ ∴ ; ∵ ∴ ; ∵ ∴ ; 综上所述, 或 或 或类型三、三角形中的倒角模型之双外角角平分线模型 C D B A E 图1 图2 图3 1)两外角平分线的夹角模型 条件:如图1,在△ABC中,BO,CO是△ABC的外角平分线;结论: . 证明:∵BO、CO平分∠CBE、∠BCF,∴ , 。 ∴∠O=180°-(∠OBC+∠OCB)=180°- (∠EBC+∠BCF)=180°- (∠A+∠ACB+∠ABC+∠A) =180°- (180°+∠A)=90°+ ∠A。 2)旁心模型 旁心:三角形的一条内角平分线与其他两个角的外角平分线交于一点 条件:如图2,BD平分∠ABC,CD平分∠ACB的外角,两条角平分线相交于点 D;结论:AD平分 ∠CAD。 证明:如图3,过点D作DM⊥BA、DN⊥AC、DH⊥BC, ∵BD平分∠ABC,CD平分∠ACB的外角, ∴DH=DM,DH=DN,∴DM=DN,∴AD平分∠CAD。, 例3.如图,已知 的角平分线与 的外角平分线交于点D, 的外角角平分线与 的外角角平分线交于点E,则 .【答案】 /90度 【知识点】与角平分线有关的三角形内角和问题、三角形的外角的定义及性质 【分析】该题主要考查了 角形内角和定理,三角形角平分线以及三角形外角的性质,解题的关键是 理解题意. 根据角平分线得出 ,根据三角形外角的性质即可得 ,再根据内角和定理得出 ,即可求解. 【详解】解:∵ 的角平分线与 的外角平分线交于点D, 的外角角平分线与 的外 角角平分线交于点E, ∴ , ∴ , ∴ ∴ , ∵ , , ∴ , ∴ , ∴ 故答案为: . 【变式3-1】如图,在 中, 分别是 的平分线, 分别是 的角平分线.(1)若 ,则 ________ , ________ ; (2)当 变化时, 的值是否变化?请说明理由. 【答案】(1) , (2)不变,见解析 【知识点】与角平分线有关的三角形内角和问题、利用邻补角互补求角度 【分析】本题考查了角平分线,三角形内角和定理,邻补角等知识.熟练掌握角平分线,三角形内角和定 理,邻补角是解题的关键. (1)由题意得, ,则 , , , , ; (2)同理(1), ,则 , , ,则 , ,由 ,作答即可. 【详解】(1)解:∵ 分别是 的平分线, 分别是 的角平分 线,∴ , , , ,∵ , ∴ , ∴ , ∴ , ∴ , ∴ , ∴ , 故答案为: , ; (2)解:当 变化时, 的值不变,理由如下; 同理(1), , , , , ∴ , ∴ , ∴ , ∴ , ∴ , ∴ , ∴ , ∴当 变化时, 的值不变. 【变式3-2】如图①,在 中, 与 的平分线相交于点 .(1)若 ,则 的度数是 ; (2)如图②,作 的外角 , 的角平分线交于点 ,试探索 , 之间的数量关系. (3)如图③,延长线段 交于点 ,试探索 , 之间的数量关系. 【答案】(1) (2) (3) 【知识点】与角平分线有关的三角形内角和问题、三角形的外角的定义及性质、角平分线的有关计算 【分析】本题考查了与角平分线有关的三角形的角的计算,三角形的内角和定理,外角定理等知识. (1)先求出 ,进而求出 ,即可求出 ; (2)先求出 ,进而求出 ,即可求出 ; (3)延长 至点 ,利用外角平分线和内角平分线性质即可证明 . 【详解】(1)解:∵ , ∴ , ∵ 与 的平分线相交于点 , ∴ , ∴ ,∴ . 故答案为: ; (2)解: , , , 点 是 和 的角平分线的交点, , , , ; (3)解:如图③,延长 至点 , , 为 的外角 的角平分线, 是 的外角 的角平分线, , 平分 , , , , 即 , , 即 .类型四、三角形中的倒角模型之高线与角平分线分线模型 1)条件:如图1,在 中, , 分别是 的高和角平分线,结论: . 2)条件:如图 2,F 为 的角平分线 AE 的延长线上的一点, 于 D,结论: . 图1 图2 1)证明:∵ 平分 ,∴ , ∵ ,∴ , ∴ ; 2)证明:如图,过 作 于 ,由(2)可知: , , , , , , , , . 例4.在 中, , , 是 的角平分线. (1)如图1,若 是 的高,则 的度数为 . (2)如图2,若 是 的角平分线,G是 延长线上一点,过点G作 于点H,则 的度数为 . 【答案】 /10度 /30度 【知识点】三角形的外角的定义及性质、与角平分线有关的三角形内角和问题 【分析】此题主要考查了三角形的内角和定理和外角的性质,角平分线的定义,高线的定义,求出 是解本题的关键. (1)首先根据三角形内角和定理得到 ,然后由角平分线概念得到 ,然后由三角形外角的性质得到 ,进而求解即可; (2)首先由角平分线的概念得到 ,然后由三角形外角的性质得到 ,然后利用三角形内角和定理求解即可. 【详解】解:∵在 中, , , ∴ , ∵ 是 的角平分线, ∴ , ∴ , ∵ 是 的高, ∴ ∴ ; (2)∵ 是 的角平分线 ∴ ∴ ∴ ∵ ∴ ∴ . 故答案为: ; . 【变式4-1】在 中, 是边 上的高.(1)如图1,若 是边 上的中线, ,求 的长. (2)如图2,若 是 的角平分线, 时,求 的度数. 【答案】(1) (2) 【知识点】与三角形的高有关的计算问题、与角平分线有关的三角形内角和问题、根据三角形中线求长度 【分析】本题考查三角形的三线,三角形的面积公式,三角形的内角和定理: (1)三角形的面积求出 的长,中线求出 的长,线段的和差关系求出 的长即可; (2)三角形的内角和定理求出 的度数, 的度数,角平分线求出 的度数,利用角的和 差关系即可求出 的度数. 【详解】(1)解:∵ 是边 上的高, ∴ , ∵ , ∴ , ∵ 是边 上的中线, ∴ , ∴ ; (2)∵ , ∴ , ∵ 是 的角平分线, ∴ ,∵ 是边 上的高, ∴ , ∴ . 【变式4-2】已知:在 中, , 平分 交 于点 . (1)如图①, 于点 ,若 ,求 的度数; (2)如图①, 于点 ,若 ,求 的度数(用含 的式子表示); (3)如图②,在 中, 于点 , 是 上的任意一点(不与点 , 重合),过点 作 于点 ,且 ,请你运用(2)中的结论求出 的度数; (4)在(3)的条件下,若点 在 的延长线上(如图③),其他条件不变,则 的度数会发生改变吗? 说明理由. 【答案】(1) (2) (3) (4) 的度数不会发生改变,理由见解析 【分析】(1)首先根据三角形内角和定理可得 ,再结合角平分线的定义可知 ,然后由“直角三角形两锐角互余”可得 , 进而可得 ,即可获得答案;(2)结合(1)可得结论; (3)结合 ,易得 ,再证明 ,由“两直线平行,同位角相等” 可得 ,即可获得答案; (4)证明 ,由“两直线平行,内错角相等”可得 ,即可获得答案. 【详解】(1)解:∵在 中, ,∴ , ∵ 平分 ,∴ ,∵ ,∴ ,∴ , ∴ , 当 时, ; (2)由(1)可知, ,∴当 时,∴ ; (3)∵ ,而 ,∴ , ∵ , ,∴ ,∴ ; (4) 的度数大小不发生改变.理由如下: ∵ , ,∴ ,∴ . 【点睛】本题主要考查了三角形内角和定理、直角三角形两锐角互余、平行线的性质、角平分线的定义、 垂直的定义等知识,熟练掌握相关知识并灵活运用是解题关键. 一、单选题 1.如图, , 分别是 的角平分线,则 ( ) A. B. C. D. 【答案】C 【分析】首先根据平行线的性质得到 ,根据根据角平分线的概念得到, ,然后利用三角形内角和定理求解即可. 【详解】∵ ∴ ∵ 分别是 的角平分线 ∴ , ∴ ∴ . 故选:C. 【点睛】此题考查了平行线的性质,角平分线的概念,三角形内角和定理,解题的关键是熟练掌握以上知 识点. 2.如图,在 中, 的角平分线和 的外角平分线交于点P;若 ,则 的度数为( ) A. B. C. D. 【答案】A 【分析】本题主要考查三角形的外角性质,角平分线的相关计算,由角平分线的定义得到 , ,结合题意可求得 的度数,根据外角性质即 可得到结果. 【详解】解:如图, 的角平分线和 的外角平分线交于点P,, , , , , 是 的外角, , 故选:A. 3.如图, , 的角平分线交于点P,若 , ,则 的度数为( ) A. B. C. D. 【答案】B 【分析】延长 ,交 于点 .先利用三角形的外角性质可得 ,再根据角平分线 的定义可得 , ,然后根据三角形的内角和定理可得 ,据此即可得. 【详解】解:如图,延长 ,交 于点 . ∵ 是 的外角, , ∴ . ∵ 是 的外角, , ∴ , ∴ , . ∵ , 的角平分线交于点 ,, , 设 与 相交于 ,则 , , , 故选:B. 【点睛】本题考查了角平分线的定义、三角形的外角性质、三角形的内角和定理等知识点,熟练掌握三角 形的外角性质是解题关键. 4.如图,已知 ,点E为 上方一点, 、 分别为 , 的角平分线,若 ,则 的度数为( ) A. B. C. D. 【答案】B 【分析】如图,过G作 ,根据平行线的性质可推导出 , ,再根 据角平分线的定义和三角形的外角性质推导出 ,则 ,进而求解即可. 【详解】解:如图,过G作 ,则 ,∵ , ∴ , , ∴ , ∴ , ∵ 、 分别为 , 的角平分线, ∴ , , ∵ , ∴ , 即 , ∵ , ∴ , ∴ ,则 , ∴ , 故选:B. 【点睛】本题考查平行线的性质、角平分线的定义、三角形的外角性质等知识,添加平行线,利用平行线 的性质探究角之间的关系是解答的关键. 5.如图,在 中, 与 的角平分线交于点D,且 、 , 则 与 的数量关系可表示为( )A. B. C. D. 【答案】A 【分析】本题考查了角平分线定义,三角形内角和,掌握这两个知识点是关键;由角平分线定义及三角形 内角和得 .再由 、 及三角形内角和即可求得 与 的数量关系. 【详解】解: 分别是 与 的角平分线, , , . 、 , ; , , , 整理得: . 故选:D. 二、填空题 6.如图,点P是 的外角 和 的角平分线的交点,若 ,则【答案】 /61度 【分析】根据三角形内角和公式可得 ,再根据角平分线定义可得 ,再运用三角形内角和定理即可解答; 【详解】 , 又 , , , 又 分别是外角 和 的角平分线, , ; 故答案为: . 【点睛】本题主要考查了三角形的内角和外角之间的关系,三角形的外角等于与它不相邻的两个内角和; 三角形的内角和是180度,求角的度数常常要用到三角形的内角和是 这一隐含的条件. 7.如图, 是 的角平分线, 是线段 延长线上一点, 于点 ,当 时, 的度数为 【答案】 【分析】根据三角形内角和定理、角平分线的定义以及垂直的定义进行计算即可. 【详解】解:设 ,则 ,, 平分 , , , , , , 故答案为: . 【点睛】本题考查三角形内角和定理,掌握三角形内角和定理、角平分线的定义以及垂直的定义是解题的 关键. 8.如图, , 的角平分线 和 的角平分线 的反向延长线交于点 ,且 ,则 . 【答案】12 【分析】延长 交 于点 ,令 与 相交于点 ,由平行线的性质和角平分线的定义,得出 , ,再利用三角形外角的性质,推出 ,进 而得到 ,然后利用 ,即可求出 的度数. 【详解】解:如图,延长 交 于点 ,令 与 相交于点 , , , 平分 , 平分 , , , ,是 的外角, 是 的外角, , , , , , , , 故答案为:12 【点睛】本题考查了平行线的性质、角平分线的定义,三角形内角和定理,对顶角相等,三角形外角的性 质等知识,找出角度之间的数量关系是解题关键. 9.如图,在 中,延长 到D, 的角平分线相交于点 点. 与 的外角 平分线交于点 , 与 的外角平分线交于点 ,依次类推, 与 的外角平分 线交于点 ,如果 ,那么 °.(用含m、n的表示). 【答案】 /【分析】此题考查了三角形外角的性质、角平分线的相关计算等知识.根据三角形外角的性质得到 , ,由角平分线的性质得到 , ,即可得到 ,同理可得 ,进一步得到答案即可. 【详解】解:∵ 是 的外角, ∴ , ∵ 是 的外角, ∴ , ∵ 平分 , 平分 , ∴ , , ∴ , 同理可得: , …, ∴ , 故答案为: . 10.如图,在 中, , , 为 的外角, 与 的平分线交干点 , 与 的平分线交于点 ,…, 与 的平分线相交于点 . (1) 的度数为 ;(2)若得到点 后,再依此规律作角平分线,两条角平分线无交点,则n的值为 . 【答案】 3 【分析】(1)根据三角形内角和为 ,可以得到 ,再根据三角形外角可以得 到 ,即 ,即可得到结果; (2)根据 , 是角平分线,可以得到 ,进而可以求得 , 同理可得 ,无法求得 ,此时可求得结果. 【详解】解:(1)由图可得: ∵ , ∴ , ∴ , ∵ , 是角平分线, ∴ , ∴ ; (2)∵ , 是角平分线, ∴ , ∴ , , 同理可得 , ∴ , 则 ,此时若再作出 ,则可类比上述过程得到 ,无法组成三角形, 即此时两条角平分线无交点, 故 ; 故答案为: ;3. 【点睛】本题考查了角平分线的性质,三角形内角和定理,找到各个角度之间的关系是解题的关键. 三、解答题 11.如图,在 中, 是高, 是角平分线,它们相交于点O, . (1) 的度数为______. (2)若 ,求 的度数. 【答案】(1) (2) 【分析】本题主要考查了角平分线的定义,三角形内角和定理,熟知三角形内角和为180度是解题的关键. (1)先由三角形内角和为180度求出 ,再由角平分线的定义推出 ,则由三角形内角和定理可得 . (2)先求出 ,再由角平分线的定义得到 ,求出 , 则 . 【详解】(1)解:∵在 中, , ∴ , ∵ 是角平分线,它们相交于点O, ∴ , ∴ , ∴ ,故答案为: ; (2)解:∵在 中, , , ∴ , ∵ 平分 , ∴ , ∵ 是高,即 , ∴ , ∴ . 12.如图,在 中, 是 的角平分线,P为线段 上的一个动点, 交直线 于点 E. (1)若 , ,求 的度数; (2)当P点在线段 上运动时,若 是锐角,请对 说明理由. 【答案】(1) (2)见解析 【分析】本题考查角平分线的定义,三角形的内角和定理,掌握三角形的内角和定理是解题的关键. (1)根据三角形的内角和定理得到 ,然后根据角平分线的定义得到 ,然后利用直 角三角形的两锐角互余解题; (2)设 , ,根据角平分线和三角形的内角和得到 ,然后再利用 直角三角形的两锐角互余解题即可. 【详解】(1)∵ , ,∴ , ∵ 平分 , ∴ , ∴ , ∵ ∴ ; (2)设 , , ∵ 平分 , ∴ , ∵ , ∵ , , ∴ , ∴ . ∴ , ∵ , ∴ , ∴ . 13.如图①,在 中, 与 的平分线相交于点P.(1)若 ,则 的度数是 ; (2)如图②,作 外角 , 的角平分线交于点Q,试探索 , 之间的数量关系; (3)如图③,延长线段 , 交于点E,在 中,存在一个内角等于另一个内角的3倍,请直接写出 的度数是 . 【答案】(1) (2) ,理由见解析 (3) 或 或 或 【分析】此题主要考查了三角形的内角和定理,三角形的外角定理,角平分线定义. (1)根据角平分线定义及三角形内角和定理得 ,则 ,再根据 可得 的度数; (2)由三角形的外角定理及三角形三角形内角和定理得 ,再由角平分线定义得 ,由此得 , 之间的数量关系; (3)先求出 ,根据 得 ,然后分四种情况讨论如下:①当 时,②当 时,③当 时,④当 时,分别列方程计算即可. 【详解】(1)解:在 中, , 与 的平分线相交于点 , , , , , , , 故答案为: ;(2)解: , 之间的数量关系是: ,理由如下: , , , , 点 是 和 的角平分线的交点, , , , 故 , 之间的数量关系是: ; (3)解: 平分 , 平分 , , , , , 即 , , 由(2)可知: , , , 如果在 中,存在一个内角等于另一个内角的3倍,那么有以下四种情况: ①当 时,则 , , 此时 , ②当 时,则 , ,则 , 此时 , ③当 时,则 ,, 此时 , ④当 时,则 , , , 此时 , 综上所述, 的度数是 或 或 或 , 故答案为: 或 或 或 . 14.如图1,点A、B分别在射线 上运动(不与点O重合), 分别是 和 的 角平分线, 延长线交 于点G. (1)若 ,则 ; 若 ,则 ; (2)若 .请求出 的度数;(用含n的代数式表示) (3)如图2,若 ,过C作直线与 交F.若 时,求 的度数. 【答案】(1) , (2) (3) 【分析】此题考查三角形的内角和定理,外角的性质定理,平行线的性质定理,解题时注意共性思想的理 解和利用. (1)根据三角形的内角和求出 的度数,再根据角平分线的定义及外角的性质即可得到 的度数; (2)根据(1)中的结论即可求出答案; (3)根据角平分线的性质,平行线的性质得到 ,利用外角的性质得到 ,由此得到答案. 【详解】(1)解:∵ , ∴ ,∵ 分别是 和 的角平分线, ∴ , 当 , , 当 , , 故答案为: , ; (2)由(1)知 , ∵ , ∴ , ∴ ; (3)∵ 平分 , ∴ , ∵ , ∴ , ∵ , ∴ , ∵ 时, , ∴ . 15.如图①, 的角平分线 相交于点 .(1)如果 ,求 的度数; (2)如图②,过 点作直线 ,分别交 和 于点 和 ,且 平行于 ,试求 的 度数(用含 的代数式表示); (3)将(2)中的直线 绕点 旋转,分别交线段 于点 (不与 重合),交直线 于 ,请探 索并直接写出 三者之间的数量关系. 【答案】(1) (2) (3)当N在线段 上时, ;当N在线段 延长线上时, ;当N在线段 延长线上时, 【分析】此题考查了三角形外角的性质、与角平分线有关的三角形内角和问题等知识,分情况讨论是解题 的关键. (1)由角平分线定义得到 ,再根据三角形内角和定理即可得到,即可得到答案; (2)由平行线的性质得到 , ,则 ,由平行 线的性质和三角形内角和定理得到 ,即可得到答案; (3)分三种情况:当N在线段 上时;当N在线段 延长线上时;当N在线段 延长线上时,分别 进行解答即可. 【详解】(1)解:∵ 平分 和 , ∴ , ∴ , ∵ , ∴ . (2)解:∵ , ∴ , , ∴ , ∵ 平分 和 , ∴ , ∴ . (3)解:分情况讨论: ①当N在线段 上时,如图, ∵ 平分 和 交于点P, ∴ , ∴ ,∴ ; ②当N在线段 延长线上时,如图, ∵ , ,且 , ∴ 即 ; ③当N在线段 延长线上时,如图, ∵ ,且 , ∴ .