当前位置:首页>文档>2025年中考数学几何模型综合训练(通用版)专题12三角形中的重要模型之面积模型解读与提分精练(教师版)_2数学总复习_2025中考复习资料_2025年中考数学几何模型综合训练(通用版)

2025年中考数学几何模型综合训练(通用版)专题12三角形中的重要模型之面积模型解读与提分精练(教师版)_2数学总复习_2025中考复习资料_2025年中考数学几何模型综合训练(通用版)

  • 2026-04-28 05:15:54 2026-02-05 19:09:23

文档预览

2025年中考数学几何模型综合训练(通用版)专题12三角形中的重要模型之面积模型解读与提分精练(教师版)_2数学总复习_2025中考复习资料_2025年中考数学几何模型综合训练(通用版)
2025年中考数学几何模型综合训练(通用版)专题12三角形中的重要模型之面积模型解读与提分精练(教师版)_2数学总复习_2025中考复习资料_2025年中考数学几何模型综合训练(通用版)
2025年中考数学几何模型综合训练(通用版)专题12三角形中的重要模型之面积模型解读与提分精练(教师版)_2数学总复习_2025中考复习资料_2025年中考数学几何模型综合训练(通用版)
2025年中考数学几何模型综合训练(通用版)专题12三角形中的重要模型之面积模型解读与提分精练(教师版)_2数学总复习_2025中考复习资料_2025年中考数学几何模型综合训练(通用版)
2025年中考数学几何模型综合训练(通用版)专题12三角形中的重要模型之面积模型解读与提分精练(教师版)_2数学总复习_2025中考复习资料_2025年中考数学几何模型综合训练(通用版)
2025年中考数学几何模型综合训练(通用版)专题12三角形中的重要模型之面积模型解读与提分精练(教师版)_2数学总复习_2025中考复习资料_2025年中考数学几何模型综合训练(通用版)
2025年中考数学几何模型综合训练(通用版)专题12三角形中的重要模型之面积模型解读与提分精练(教师版)_2数学总复习_2025中考复习资料_2025年中考数学几何模型综合训练(通用版)
2025年中考数学几何模型综合训练(通用版)专题12三角形中的重要模型之面积模型解读与提分精练(教师版)_2数学总复习_2025中考复习资料_2025年中考数学几何模型综合训练(通用版)
2025年中考数学几何模型综合训练(通用版)专题12三角形中的重要模型之面积模型解读与提分精练(教师版)_2数学总复习_2025中考复习资料_2025年中考数学几何模型综合训练(通用版)
2025年中考数学几何模型综合训练(通用版)专题12三角形中的重要模型之面积模型解读与提分精练(教师版)_2数学总复习_2025中考复习资料_2025年中考数学几何模型综合训练(通用版)
2025年中考数学几何模型综合训练(通用版)专题12三角形中的重要模型之面积模型解读与提分精练(教师版)_2数学总复习_2025中考复习资料_2025年中考数学几何模型综合训练(通用版)
2025年中考数学几何模型综合训练(通用版)专题12三角形中的重要模型之面积模型解读与提分精练(教师版)_2数学总复习_2025中考复习资料_2025年中考数学几何模型综合训练(通用版)
2025年中考数学几何模型综合训练(通用版)专题12三角形中的重要模型之面积模型解读与提分精练(教师版)_2数学总复习_2025中考复习资料_2025年中考数学几何模型综合训练(通用版)
2025年中考数学几何模型综合训练(通用版)专题12三角形中的重要模型之面积模型解读与提分精练(教师版)_2数学总复习_2025中考复习资料_2025年中考数学几何模型综合训练(通用版)
2025年中考数学几何模型综合训练(通用版)专题12三角形中的重要模型之面积模型解读与提分精练(教师版)_2数学总复习_2025中考复习资料_2025年中考数学几何模型综合训练(通用版)
2025年中考数学几何模型综合训练(通用版)专题12三角形中的重要模型之面积模型解读与提分精练(教师版)_2数学总复习_2025中考复习资料_2025年中考数学几何模型综合训练(通用版)
2025年中考数学几何模型综合训练(通用版)专题12三角形中的重要模型之面积模型解读与提分精练(教师版)_2数学总复习_2025中考复习资料_2025年中考数学几何模型综合训练(通用版)
2025年中考数学几何模型综合训练(通用版)专题12三角形中的重要模型之面积模型解读与提分精练(教师版)_2数学总复习_2025中考复习资料_2025年中考数学几何模型综合训练(通用版)
2025年中考数学几何模型综合训练(通用版)专题12三角形中的重要模型之面积模型解读与提分精练(教师版)_2数学总复习_2025中考复习资料_2025年中考数学几何模型综合训练(通用版)
2025年中考数学几何模型综合训练(通用版)专题12三角形中的重要模型之面积模型解读与提分精练(教师版)_2数学总复习_2025中考复习资料_2025年中考数学几何模型综合训练(通用版)
2025年中考数学几何模型综合训练(通用版)专题12三角形中的重要模型之面积模型解读与提分精练(教师版)_2数学总复习_2025中考复习资料_2025年中考数学几何模型综合训练(通用版)
2025年中考数学几何模型综合训练(通用版)专题12三角形中的重要模型之面积模型解读与提分精练(教师版)_2数学总复习_2025中考复习资料_2025年中考数学几何模型综合训练(通用版)
2025年中考数学几何模型综合训练(通用版)专题12三角形中的重要模型之面积模型解读与提分精练(教师版)_2数学总复习_2025中考复习资料_2025年中考数学几何模型综合训练(通用版)
2025年中考数学几何模型综合训练(通用版)专题12三角形中的重要模型之面积模型解读与提分精练(教师版)_2数学总复习_2025中考复习资料_2025年中考数学几何模型综合训练(通用版)
2025年中考数学几何模型综合训练(通用版)专题12三角形中的重要模型之面积模型解读与提分精练(教师版)_2数学总复习_2025中考复习资料_2025年中考数学几何模型综合训练(通用版)
2025年中考数学几何模型综合训练(通用版)专题12三角形中的重要模型之面积模型解读与提分精练(教师版)_2数学总复习_2025中考复习资料_2025年中考数学几何模型综合训练(通用版)
2025年中考数学几何模型综合训练(通用版)专题12三角形中的重要模型之面积模型解读与提分精练(教师版)_2数学总复习_2025中考复习资料_2025年中考数学几何模型综合训练(通用版)
2025年中考数学几何模型综合训练(通用版)专题12三角形中的重要模型之面积模型解读与提分精练(教师版)_2数学总复习_2025中考复习资料_2025年中考数学几何模型综合训练(通用版)
2025年中考数学几何模型综合训练(通用版)专题12三角形中的重要模型之面积模型解读与提分精练(教师版)_2数学总复习_2025中考复习资料_2025年中考数学几何模型综合训练(通用版)
2025年中考数学几何模型综合训练(通用版)专题12三角形中的重要模型之面积模型解读与提分精练(教师版)_2数学总复习_2025中考复习资料_2025年中考数学几何模型综合训练(通用版)
2025年中考数学几何模型综合训练(通用版)专题12三角形中的重要模型之面积模型解读与提分精练(教师版)_2数学总复习_2025中考复习资料_2025年中考数学几何模型综合训练(通用版)
2025年中考数学几何模型综合训练(通用版)专题12三角形中的重要模型之面积模型解读与提分精练(教师版)_2数学总复习_2025中考复习资料_2025年中考数学几何模型综合训练(通用版)
2025年中考数学几何模型综合训练(通用版)专题12三角形中的重要模型之面积模型解读与提分精练(教师版)_2数学总复习_2025中考复习资料_2025年中考数学几何模型综合训练(通用版)
2025年中考数学几何模型综合训练(通用版)专题12三角形中的重要模型之面积模型解读与提分精练(教师版)_2数学总复习_2025中考复习资料_2025年中考数学几何模型综合训练(通用版)
2025年中考数学几何模型综合训练(通用版)专题12三角形中的重要模型之面积模型解读与提分精练(教师版)_2数学总复习_2025中考复习资料_2025年中考数学几何模型综合训练(通用版)
2025年中考数学几何模型综合训练(通用版)专题12三角形中的重要模型之面积模型解读与提分精练(教师版)_2数学总复习_2025中考复习资料_2025年中考数学几何模型综合训练(通用版)
2025年中考数学几何模型综合训练(通用版)专题12三角形中的重要模型之面积模型解读与提分精练(教师版)_2数学总复习_2025中考复习资料_2025年中考数学几何模型综合训练(通用版)
2025年中考数学几何模型综合训练(通用版)专题12三角形中的重要模型之面积模型解读与提分精练(教师版)_2数学总复习_2025中考复习资料_2025年中考数学几何模型综合训练(通用版)
2025年中考数学几何模型综合训练(通用版)专题12三角形中的重要模型之面积模型解读与提分精练(教师版)_2数学总复习_2025中考复习资料_2025年中考数学几何模型综合训练(通用版)
2025年中考数学几何模型综合训练(通用版)专题12三角形中的重要模型之面积模型解读与提分精练(教师版)_2数学总复习_2025中考复习资料_2025年中考数学几何模型综合训练(通用版)
2025年中考数学几何模型综合训练(通用版)专题12三角形中的重要模型之面积模型解读与提分精练(教师版)_2数学总复习_2025中考复习资料_2025年中考数学几何模型综合训练(通用版)
2025年中考数学几何模型综合训练(通用版)专题12三角形中的重要模型之面积模型解读与提分精练(教师版)_2数学总复习_2025中考复习资料_2025年中考数学几何模型综合训练(通用版)
2025年中考数学几何模型综合训练(通用版)专题12三角形中的重要模型之面积模型解读与提分精练(教师版)_2数学总复习_2025中考复习资料_2025年中考数学几何模型综合训练(通用版)
2025年中考数学几何模型综合训练(通用版)专题12三角形中的重要模型之面积模型解读与提分精练(教师版)_2数学总复习_2025中考复习资料_2025年中考数学几何模型综合训练(通用版)
2025年中考数学几何模型综合训练(通用版)专题12三角形中的重要模型之面积模型解读与提分精练(教师版)_2数学总复习_2025中考复习资料_2025年中考数学几何模型综合训练(通用版)
2025年中考数学几何模型综合训练(通用版)专题12三角形中的重要模型之面积模型解读与提分精练(教师版)_2数学总复习_2025中考复习资料_2025年中考数学几何模型综合训练(通用版)
2025年中考数学几何模型综合训练(通用版)专题12三角形中的重要模型之面积模型解读与提分精练(教师版)_2数学总复习_2025中考复习资料_2025年中考数学几何模型综合训练(通用版)
2025年中考数学几何模型综合训练(通用版)专题12三角形中的重要模型之面积模型解读与提分精练(教师版)_2数学总复习_2025中考复习资料_2025年中考数学几何模型综合训练(通用版)
2025年中考数学几何模型综合训练(通用版)专题12三角形中的重要模型之面积模型解读与提分精练(教师版)_2数学总复习_2025中考复习资料_2025年中考数学几何模型综合训练(通用版)
2025年中考数学几何模型综合训练(通用版)专题12三角形中的重要模型之面积模型解读与提分精练(教师版)_2数学总复习_2025中考复习资料_2025年中考数学几何模型综合训练(通用版)
2025年中考数学几何模型综合训练(通用版)专题12三角形中的重要模型之面积模型解读与提分精练(教师版)_2数学总复习_2025中考复习资料_2025年中考数学几何模型综合训练(通用版)
2025年中考数学几何模型综合训练(通用版)专题12三角形中的重要模型之面积模型解读与提分精练(教师版)_2数学总复习_2025中考复习资料_2025年中考数学几何模型综合训练(通用版)
2025年中考数学几何模型综合训练(通用版)专题12三角形中的重要模型之面积模型解读与提分精练(教师版)_2数学总复习_2025中考复习资料_2025年中考数学几何模型综合训练(通用版)
2025年中考数学几何模型综合训练(通用版)专题12三角形中的重要模型之面积模型解读与提分精练(教师版)_2数学总复习_2025中考复习资料_2025年中考数学几何模型综合训练(通用版)
2025年中考数学几何模型综合训练(通用版)专题12三角形中的重要模型之面积模型解读与提分精练(教师版)_2数学总复习_2025中考复习资料_2025年中考数学几何模型综合训练(通用版)
2025年中考数学几何模型综合训练(通用版)专题12三角形中的重要模型之面积模型解读与提分精练(教师版)_2数学总复习_2025中考复习资料_2025年中考数学几何模型综合训练(通用版)
2025年中考数学几何模型综合训练(通用版)专题12三角形中的重要模型之面积模型解读与提分精练(教师版)_2数学总复习_2025中考复习资料_2025年中考数学几何模型综合训练(通用版)
2025年中考数学几何模型综合训练(通用版)专题12三角形中的重要模型之面积模型解读与提分精练(教师版)_2数学总复习_2025中考复习资料_2025年中考数学几何模型综合训练(通用版)
2025年中考数学几何模型综合训练(通用版)专题12三角形中的重要模型之面积模型解读与提分精练(教师版)_2数学总复习_2025中考复习资料_2025年中考数学几何模型综合训练(通用版)
2025年中考数学几何模型综合训练(通用版)专题12三角形中的重要模型之面积模型解读与提分精练(教师版)_2数学总复习_2025中考复习资料_2025年中考数学几何模型综合训练(通用版)
2025年中考数学几何模型综合训练(通用版)专题12三角形中的重要模型之面积模型解读与提分精练(教师版)_2数学总复习_2025中考复习资料_2025年中考数学几何模型综合训练(通用版)
2025年中考数学几何模型综合训练(通用版)专题12三角形中的重要模型之面积模型解读与提分精练(教师版)_2数学总复习_2025中考复习资料_2025年中考数学几何模型综合训练(通用版)
2025年中考数学几何模型综合训练(通用版)专题12三角形中的重要模型之面积模型解读与提分精练(教师版)_2数学总复习_2025中考复习资料_2025年中考数学几何模型综合训练(通用版)
2025年中考数学几何模型综合训练(通用版)专题12三角形中的重要模型之面积模型解读与提分精练(教师版)_2数学总复习_2025中考复习资料_2025年中考数学几何模型综合训练(通用版)
2025年中考数学几何模型综合训练(通用版)专题12三角形中的重要模型之面积模型解读与提分精练(教师版)_2数学总复习_2025中考复习资料_2025年中考数学几何模型综合训练(通用版)
2025年中考数学几何模型综合训练(通用版)专题12三角形中的重要模型之面积模型解读与提分精练(教师版)_2数学总复习_2025中考复习资料_2025年中考数学几何模型综合训练(通用版)
2025年中考数学几何模型综合训练(通用版)专题12三角形中的重要模型之面积模型解读与提分精练(教师版)_2数学总复习_2025中考复习资料_2025年中考数学几何模型综合训练(通用版)
2025年中考数学几何模型综合训练(通用版)专题12三角形中的重要模型之面积模型解读与提分精练(教师版)_2数学总复习_2025中考复习资料_2025年中考数学几何模型综合训练(通用版)
2025年中考数学几何模型综合训练(通用版)专题12三角形中的重要模型之面积模型解读与提分精练(教师版)_2数学总复习_2025中考复习资料_2025年中考数学几何模型综合训练(通用版)

文档信息

文档格式
docx
文档大小
4.523 MB
文档页数
65 页
上传时间
2026-02-05 19:09:23

文档内容

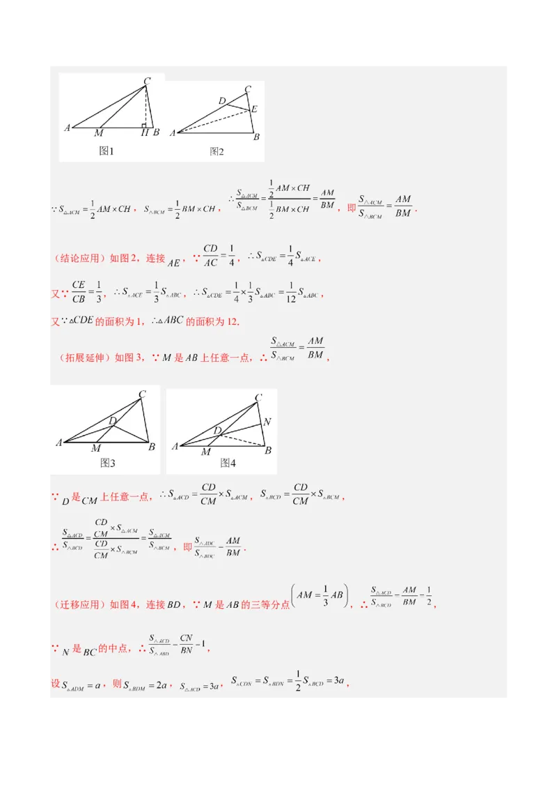
专题 12 三角形中的重要模型之面积模型 三角形的面积问题在中考数学几何模块中占据着重要地位,等积变形是中学几何里面一个非常重要的 思想,下面的五大模型也都是依托等积变形思想变化而成的,也是学生必须掌握的一块内容。本专题就三 角形中的等积模型(蝴蝶(风筝)模型,燕尾模型,鸟头模型,沙漏模型,金字塔模型)进行梳理及对应 试题分析,方便掌握。 .........................................................................................................................................................................................1 模型1.等积变换基础模型...............................................................................................................................1 模型2.蝴蝶(风筝)模型...............................................................................................................................9 模型3.燕尾(定理)模型.............................................................................................................................13 模型4.鸟头定理(共角定理)模型.............................................................................................................18 模型5.金字塔与沙漏模型.............................................................................................................................23 ..................................................................................................................................................27 模型1.等积变换基础模型 模型1)等底等高的两个三角形面积相等; AB AB 如图1,当 // ,则 ; 反之,如果 ,则可知直线 // 。 图1 图2 图3 模型2)两个三角形高相等,面积比等于它们的底之比;两个三角形底相等,面积比等于它们的高之比。 如图2,当点D是BC边上的动点时,则S ∶S =BD∶DC。 ABD ADC △ △如图3,当点D是BC边上的动点,BE⊥AD,CF⊥AD时,则S ∶S =BE∶CF。 ABD ADC △ △ AB 证明:模型1)如图1,过点A作AE⊥CD、过点B作BF⊥CD。∵ // ,∴AE=BF。 ∵ ; ;∴ 。反之同理可证。 模型2)如图2,过点A作AH⊥BC。 ∵ ; ;∴S ∶S =BD∶DC。 ABD ADC 如图3,过点C作CF⊥AD、过点B作BE⊥AD。 △ △ ∵ ; ;∴S ∶S =BE∶CF。 ABD ADC △ △ 例1.(24-25八年级上·山东德州·阶段练习)如图,若点D是边 上的点,且 ,则 与 的面积之比为( ) A. B. C. D. 【答案】A 【分析】此题考查了三角形面积问题,解题的关键是掌握三角形面积的表示方法.设点A到 的距离为 h,首先表示出 , ,结合 ,得到 . 【详解】解:设点A到 的距离为h,∴ , , ∵ ,∴ .故选:A. 例2.(23-24八年级下·河北沧州·期中)如图, , 分别是 的边AB,CD上的点, 与DE相 交于点 , 与CE相交于点 ,若 的面积为 , 的面积为 , 的面积为 ,则阴影部是的面积为 . 【答案】7 【分析】本题考查了平行四边形的性质,连接 、 两点,过点 作 于点 .根据平行四边形 的性质得出 , 进而减去公共的 的面积可得 ,同理 ,得出 ,进而即可求解. 【详解】解:如图,连接 、 两点,过点 作 于点 . ∵ , ,∴ . ∵四边形是 平行四边形,∴ , ∴ 的 边上的高与 的 边上的高相等, ∴ ,∴ ,同理 ,∴ . ∵ , ,∴ ,故阴影部分的面积 . 例3.(2024·上海浦东新·一模)如图,在 中 为 中点, 为 的角平 分线, 的面积记为 , 的面积记为 ,则 . 【答案】【分析】此题考查角平分线的性质,关键是根据三角形中线的性质和角平分线的性质得出面积关系解答. 根据三角形中线的性质和角平分线的性质解答即可. 【详解】解:过点D作 , 为 的角平分线, ∵ 为 中点,∴ 设 ,则 则 ,故答案为: . 例4.(23-24七年级下·江苏镇江·期中)【探究】 如图1, 是 中 边上的中线, 与 的面积相等吗?请说明理由, 【应用】如图2,点A、B、C分别是 、 、 的中点,且 ,则图2中阴影部分的面积为 ; 【拓展】(1)如图3, 中,延长 至点F,使得 ,延长 至点D,使得 ,延 长 至点E,使得 ,连接 、 、 ,如果 ,那么 为 . (2)如图4, 中, , ,点D、E是 、 边上的中点, 、 交于点F.若 的面积为S,则四边形 面积为 (用含S的代数式表示);四边形 的面积存在最大值, 这个值为 . 【答案】探究: ,理由见解析;应用:24;拓展:(1)54;(2) ,32【分析】探究:根据等底同高的三角形面积相等,即可得结论; 应用:连接 , , ,运用探究结论可知 ,则 ,同理可得 ,即可求得阴影部分的面积; 拓展:(1)如图,连接 , ,利用等高的性质,求得所有三角形的面积,再求和,可得 结论;(2)连接 并延长交 于 ,可知 是 边上的中点,记6个小三角形的面积分别为 , , , , , ,可得 ,进而可得 ,可知四边 形 面积 ,要使得四边形 面积 最大,只需要使得 的面积 最大,则只需 要 ,可得 的面积最大值为 ,即可求得四边形 面积最大值. 本题考查与三角形中线有关的面积问题,等高模型的性质等知识,解题的关键是理解三角形中线的性质. 【详解】解:探究: ,理由如下:过点 作 ,交 于 , ∵ 是 中 边上的中线,则 , ∴ ,即: ; 应用:连接 , , , ∵点A、B、C分别是 、 、 的中点,∴ , , , ∴ ,则 , 同理可得 ,∴阴影部分的面积为 ,故答案为:24; 拓展:(1)如图,连接 , .∵ ,则 ,∴ , , ∵ ,∴ , , ∵ ,∴ , ∴ 的面积 .故答案为:54; (2)连接 并延长交 于 ,∵点 、 是 、 边上的中点,∴ 是 边上的中线, 记6个小三角形的面积分别为 , , , , , , 则 , , , , ∴ ,即: ,∴ ,即: , 同理可知, ,∴ , ∴四边形 面积 ,要使得四边形 面积 最大,只需要使得 的面积 最大, ∵ 中, , ,∴要使得 的面积 最大,则只需要 , ∴ 的面积最大值为 , 则四边形 面积最大值为 ,故答案为: ,32. 例5.(23-24八年级下·浙江宁波·期中)规律:如图1,直线 , , 为直线 上的点, , 为直 线 上的点.如果 , , 为三个定点,点 在直线 上移动,那么无论点 移动到何位置, 与 的面积始终相等,其理由是 ___. 应用: (1)如图 , 、 、 三点在同一条直线上, 与 都是等边三角形,连结 , .若 , ,求 的面积.(2)如图 ,已知 , , , 是矩形 边上的点,且, ,连结 交 于点 ,连结MC交 于点 ,连结 交 于点 ,连结 , 若四边形 的面积等于 ,求四边形 的面积. 【答案】规律:同底等高的两个三角形的面积相等;(1) (2) 【分析】本题主要考查了三角形的面积、勾股定理,等边三角形的性质,平行线之间的距离等知识点; 规律:利用“平行线间的距离相等”和“同底等高的三角形的面积相等”即可解答; (1)利用“平行线间的距离相等”和“同底等高的三角形的面积相等”求 即可解答; (2)利用“平行线间的距离相等”和“同底等高的三角形的面积相等” ,将四边形 的面积拆成4 个小三角形,将四个小三角形转化为矩形 的一半,即可求解. 【详解】解:规律:∵直线 ,∴点 和点 到直线 的距离相等. 又∵在 和 中, ,∴ (同底等高的两个三角形的面积相等). 故答案为:同底等高的两个三角形的面积相等. (1)如图所示,过点 作 于点 , ∵ 与 都是等边三角形,∴ ∴ ,∴ ∵ ∴ ∵ , ,∴ ∴ ∴ ∴ ; (2)如图所示,连接 ,∵四边形 是矩形,∴ ∵ , ,∴ , ∴ , ,∴ , 又 ,∵ ,∴ ,∴ , ∵ ,∴ , ∴ ,∴ 模型2.蝴蝶(风筝)模型 蝴蝶模型(定理)提供了解决不规则四边形的面积问题的一个途径。通过构造模型,一方面可以使不规则 四边形的面积关系与四边形内的三角形相联系;另一方面,也可以得到与面积对应的对角线的比例关系。 1)任意四边形的蝴蝶定理: 如图1,结论:① 或 ;② 。 证明:由基础模型2)知: ; ;即故 ;即 。 由基础模型2)知: ;即 。 2)梯形蝴蝶定理: 如图2,结论:① ;② 。 证明:∵四边形ABCD为梯形,∴AD//BC,∴易证 ,∴ 。 。 同理可证得:例1.(23-24八年级上·浙江·阶段练习)如图,任意四边形 中, 和 相交于点O,把 、 、 、 的面积分别记作 、 、 、 ,则下列各式成立的是( ) A. B. C. D. 【答案】D 【分析】作 于点 ,从而可分别表示出 和 然后可得出 ,同理可得出 ,这样即可证得 . 【详解】解:如图,过点 作 于点 , 则 , , ,同理可证: , , .故选:D. 【点睛】本题考查了三角形面积的求法.解答该题时,主要是抓住不同底等高三角形面积间的数量关系. 例2.(23-24九年级上·上海松江·期中)如图,已知在梯形 中, , ,如果对角 线 与 相交于点O, 、 、 、 的面积分别记作 、 、 、 ,那么下 列结论中,不正确的是( )A. B. C. D. 【答案】B 【分析】证 ,可得 ,再利用相似三角形的性质以及三角形的面积公式 逐一分析判断各选项即可得出结论. 【详解】解:∵ ,∴ ,∴ , ∵ ,∴ ,∴ ,∴ ,故B符合题意; ∵ ,∴ ,即 ,故A不符合题意; ∵ ,∴ ,即 ,∴ ,故C不符合题意; ∵ , ,∴ ,∴ ,故D不符合题意;故选B 【点睛】本题考查的是梯形的性质,相似三角形的判定与性质,等底或等高的两个三角形的面积之间的关 系,证明 是解本题的关键. 例3.(2024·四川成都·校考一模)如图,梯形 的两条对角线与两底所围成的两个三角形的面积分别 为 ,则梯形的面积为 .【答案】 【分析】本题考查相似三角形的判定和性质,根据梯形,得到 ,过O作 于E,延长 交 于F,则 ,证明 ,得到 ,设梯形上下底分别为 ,两个三角形对应的高分别为 ,根据三角形的面积公式,得到 ,再根据梯形的面积公 式进行求解即可.掌握相似三角形的面积比等于相似比的平方,对应边上的高线比等于相似比,是解题的 关键. 【详解】解:∵四边形 是梯形,∴ , 如图,过O作 于E,延长 交 于F,则 , ∵ ,∴ ,∴ , 设梯形上下底分别为 ,两个三角形对应的高分别为 ,∴ ,∴ ∴ ;故答案为: . 例4.(2024·山西·校考一模)阅读与探究 请阅读下列材料,完成相应的任务: 凸四边形的性质研究 如果把某个四边形的任何一边向两端延长,其他各边都在延长所得直线的同一旁,这样的四边形叫做 凸四边形.凸四边形是我们数学学习中常见的图形,它有一个非常有趣的性质:任意凸四边形被对角线分成 的两对对顶三角形的面积之积相等. 例如,在图1中,凸四边形 的对角线 , 相交于点 ,且 , , ,, 的面积分别为 ,则有 ,证明过程如下: 任务:(1)请将材料中的证明过程补充完整;(2)如图2,任意凸四边形 的对角线 相交于 点 ,分别记 , , , 的面积为 ,求证 ; (3)如图3,在四边形 中,对角线 相交于点 , , , ,则四边形 的面积为________________. 【答案】(1)见解析;(2)见解析;(3) 【分析】(1)根据三角形的高相同,面积比等于底的比求解即可;(2)分别过点 作 于点 于点 ,再根据三角形的高相同,面积比等于底的比计算即可;(3)设 , , 根据“任意凸四边形被对角线分成的两对对顶三角形的面积之积相等”求解即可. 【详解】解:(1)∵ , , ; (2)如答图,分别过点 作 于点 于点 .; ; ; ; (3)由 , , ,设 , , 根据任意凸四边形被对角线分成的两对对顶三角形的面积之积相等, 可得:3x²=4×6=24,则x=2 ,即 , , ∴四边形 的面积= + + + =4+6+ + =10+8 . 【点睛】本题考查了面积及等积变换,掌握三角形的高相同,面积比等于底的比、任意凸四边形被对角线 分成的两对对顶三角形的面积之积相等是解题的关键. 模型3.燕尾(定理)模型 条件:如图,在 中,E分别是 上的点, 在 上一点。 结论:S S S S (S +S ) (S +S ) BE EC。 1 2 3 4 1 3 2 4 证明:由基础模型2)知: ; ;故 ; 即S S S S (S +S ) (S +S ) BE EC。 1 2 3 4 1 3 2 4 例1.(23-24七年级下·江苏宿迁·期末)(数学经验)三角形的中线能将三角形分成面积相等的两部分.(经验发展)(1)面积比和线段比的联系:如果两个三角形的高相同,则它们的面积比等于对应底边的 比,如图1, 的边 上有一点 ,请证明: ; (结论应用)(2)如图2, 的面积为1, ,求 的面积; (拓展延伸)(3)如图3, 的边 上有一点 , 为 上任意一点,请利用上述结论,证明: ; (迁移应用)(4)如图4, 中,M是 的三等分点 ,N是 的中点,若 的 面积是1,请直接写出四边形 的面积: . 【答案】(1)见解析;(2)12;(3)见解析;(4) 【分析】本题主要考查了三角形的面积公式以及三角形的中线的性质的运用: 【经验发展】过C作 于H,依据三角形面积计算公式,即可得到结论; 【结论应用】连接 ,依据“如果两个三角形的高相同,则它们的面积比等于对应底边的比”,即可得 到 与 面积之间的关系; 【拓展延伸】依据如果两个三角形的高相同,则它们的面积比等于对应底边的比,即可得到 与 面积之间的关系; 【迁移应用】连接 ,设 ,即可得出 , , ,进而得到 . 【详解】(经验发展)如图1,过 作 于 ,, , ,即 . (结论应用)如图2,连接 ,∵ , , 又∵ , , , 又 的面积为1, 的面积为12. (拓展延伸)如图3,∵ 是 上任意一点,∴ , ∵ 是 上任意一点, , , ∴ ,即 . (迁移应用)如图4,连接 ,∵ 是 的三等分点 ,∴ , ∵ 是 的中点,∴ , 设 ,则 , , ,, , .故答案为 . 例2.(23-24七年级下·宁夏银川·期末)【问题情境】如图1, 是 的中线, 与 的 面积有怎样的数量关系?小旭同学在图1中作边 上的高 ,根据中线的定义可知 .因为高 相同,所以 ,于是 . 据此可得结论:三角形的一条中线平分该三角形的面积. (1)【深入探究】如图2,点D在 的边 上,点P在 上. 若 是 的中线,请判断 与 的大小关系,并说明理由. 若 ,则 : ______. (2)【拓展延伸】如图3,分别延长四边形 的各边,使得A,B,C,D分别为 的 中点,依次连接E,F,G,H得四边形 .直接写出 , 与 之间的等量关系; _______. 【答案】(1)① ,理由见解析;② (2) 【分析】本题考查了三角形的中线,掌握三角形的一条中线把原三角形分成两个等底同高的三角形是题的 关键.(1)①根据中线的性质可得 ,点 为 的中点,推得 是 的中线, ,得到 ,即可得出结果;②设 边 上的高为 ,根据三角形的面积公式可得 , ,即可推得 ,同理推得 ,即可求得 ,即可证明 ; (2)连接 , , ,根据中线的判定和性质可得 , , , ,推得 , ,即 可求得 ,即可证明 . 【详解】(1)解:①证明:∵ 是 的中线,∴点 为 的中点, , ∴ 是 的中线,∴ ,∴ , 即 ,∴ ②设 边 上的高为 ,则 , , ∵ ,∴ ,同理 , 则 ,即 ,∴ . (2)①证明:连接 , , ,如图: ∵点 、 、 、 分别为 、 、 、 的中点, ∴ , , , 分别为 , , , 的中线, ∴ , , , ,∴ , ∵ ,即 . 例3.(23-24七年级下·浙江杭州·期中)已知 是ΔABC的 边上一点,连结 ,此时有结论 ,请解答下列问题:(1)当 是 边上的中点时, 的面积 的面积(填“>”“<” 或“=”). (2)如图1,点 分别为 边上的点,连结 交于点 ,若 、 、 的 面积分别为5,8,10,则 的面积是 (直接写出结论). (3)如图2,若点 分别是ΔABC的 边上的中点,且 ,求四边形 的面积.可 以用如下方法:连结 ,由 得 ,同理: ,设 , ,则 , ,由题意得 , ,可列方程组为: , 解得 ,可得四边形 的面积为20.解答下面问题: 如图3, 是 的三等分点, 是 的三等分点, 与 交于 ,且 ,请计算四边 形 的面积,并说明理由.【答案】(1)=;(2)18;(3) ,见解析 【分析】(1)利用同高(或同底)的三角形面积比等于对应边(或高)的比即可得. (2)连接 ,利用同高的三角形面积比等于对应边的比,结合已知条件联立方程可得. (3)连接 ,利用同高的三角形面积比等于对应边的比,结合已知条件联立方程可得. 【详解】(1)∵ , 是 边上的中点∴ ,则 (2)如图,连结 ∵ 、 、 的面积分别为5,8,10, ∴ , ∴ 设 , 则 整理得 解得 , 则 . (3)连结 ,设 , ,∴ , , ∵ , ∴ ∵ , ∴ 则可列方程组 ,加减消元法解得 ∴四边形 的面积为:【点睛】本题考查同高的三角形面积比等于对应边的比这一知识点推论,掌握从中理解此推论是解题关键. 模型4.鸟头定理(共角定理)模型 共角三角形:两个三角形中有一个角相等或互补,这两个三角形叫做共角三角形。 共角定理:共角三角形的面积比等于对应角(相等角或互补角)两夹边的乘积之比。 图1 图2 (等角型)条件:如图1,在三角形ABC中,D、E分别是AB,AC上的点,结论: 。 (互补型)条件:如图2,已知∠BAC+∠DAE=180°,结论: 。 证明:(等角型)如图1,分别过点E,C作EG⊥AB于点G,CF⊥AB于点F, ∵∠AGE=∠AFC,又∵∠A=∠A,∴△GAE∽△FAC,∴ 。 又 即 。(互补型)如图2,过点C作CG⊥AB于G,过点E作EF⊥DA交DA延长线于F, ∴∠EFA=∠CGA=90°, ∵∠BAC+∠DAE=180°,∠DAE+∠EAF=180°, ∴∠CAG=∠EAF,∴△CAG∽△EAF,∴ ,∵ , , ∴ ; 例1、如图,在三角形ABC中,D、E是AB,AC上的点,且AD:AB=2:5,AE:AC=4:7,三角形ADE的 面积是16平方厘米,则ABC的面积为 。 【答案】70平方厘米 【解析】①观察:图中存在鸟头模型‚假设:设三角形ABC的面积为a 转化:由鸟头模型比例关系有:16:a=(4×2):(5×7),得a=70。 即三角形ABC的面积是70平方厘米。 例2.(2023·山西晋中·九年级统考阶段练习)阅读理解 如果两个三角形中有一组对应角相等或互补,那么这两个三角形叫做共角三角形,共角三角形的面积比等 于对应角(相等角或互补角)两夹边的乘积之比, 例:在图1中,点D,E分别在AB和AC上, ADE和 ABC是共角三角形,则 △ △ 证明:分别过点E,C作EG⊥AB于点G,CF⊥AB于点F,得到图2, ∵∠AGE=∠AFC,又∵∠A=∠A,∴△GAE∽△FAC,∴ 又 即任务:(1)如图3,已知∠BAC+∠DAE=180°,请你参照材料的证明方法,求证: (2)在(1)的条件下,若 则AE= . 【答案】(1)见解析;(2)6 【分析】(1)过点C作CG⊥AB于G,过点E作EF⊥DA交DA延长线于F,可得∠EFA=∠CGA=90°,再 由∠BAC+∠DAE=180°,∠DAE+∠EAF=180°,推出∠CAG=∠EAF,即可证明△CAG∽△EAF,得到 ,再由 , ,得到 . (2)根据 , ,可得 ,由此求解即可. 【详解】解:(1)如图所示,过点C作CG⊥AB于G,过点E作EF⊥DA交DA延长线于F, ∴∠EFA=∠CGA=90°, ∵∠BAC+∠DAE=180°,∠DAE+∠EAF=180°, ∴∠CAG=∠EAF,∴△CAG∽△EAF,∴ , ∵ , ,∴ ;(2)∵ , ,∴ , ∵ ∴ 故答案为:6. 【点睛】本题考查相似三角形的性质与判定,解题关键在于能够准确读懂题意作出辅助线构造相似三角形. 例3.(2023·重庆·九年级专题练习)问题提出:如图1,D、E分别在△ABC的边AB、AC上,连接DE, 已知线段AD=a,DB=b,AE=c,EC=d,则S ADE,S ABC和a,b,c,d之间会有怎样的数量关系呢? △ △问题解决:探究一:(1)看到这个问题后,我们可以考虑先从特例入手,找出其中的规律.如图2,若 DE∥BC,则∠ADE=∠B,且∠A=∠A,所以△ADE∽△ABC,可得比例式: 而根据相似三 角形面积之比等于相似比的平方.可得 .根据上述这两个式子,可以推出: . (2)如图3,若∠ADE=∠C,上述结论还成立吗?若成立,请写出证明过程;着不成立,请说明理由. 探究二:回到最初的问题,若图1中没有相似的条件,是否仍存在结论: ?方法回顾: 两个三角形面积之比,不仅可以在相似的条件下求得,当两个三角形的底成高具有一定的关系时,也可以解决.如图4,D在△ABC的边上,做AH⊥BC于H,可得: .借用这个结论, 请你解决最初的问题. 延伸探究:(1)如图5,D、E分别在△ABC的边AB、AC反向延长线上,连接DE,已知线段AD=a, AB=b,AE=c,AC=d,则 .(2)如图6,E在△ABC的边AC上,D在AB反向延长线上, 连接DE,已知线段AD=a,AB=b,AE=c,AC=d, . 结论应用:如图7,在平行四边形ABCD中,G是BC边上的中点,延长GA到E,连接DE交BA的延长线 于F,若AB=5,AG=4,AE=2, ABCD的面积为30,则△AEF的面积是 . ▱ 【答案】探究一:(2)见解析;延伸探究:(1) ;(2) ;结论应用: 【分析】问题解决:探究一(2):参照(1)中证明方法解答即可; 探究二,过D、B点分别作 ,垂足分别为M、N,然后按照探究一中方法证明即可; 延伸探究:(1)过D、B点分别作 ,垂足分别为M、N,然后按照探究一中方法证明即可; (2)过D、B点分别作 ,垂足分别为M、N,然后按照探究一中方法证明即可; 结论应用:取AD的中点M,连接GM并延长交DE于点N,连接DG,可得 ,根据题意,进而得 出 ,根据AM=DM, ,可得FN=DN,根据AE=2,AG=4, ,可得FN=2EF,进而 可得ED=5EF,即可得出 . 【详解】解:问题解决:探究一:(2)成立,理由如下:∵∠ADE=∠C,∠A=∠A, ∴ ,∴ ,∴ ; 探究二:过D、B点分别作 ,垂足分别为M、N,∵ ,∴ ,∴ , ; 延伸探究:(1)过D、B点分别作 ,垂足分别为M、N, ∵ ,∴ ,∴ , ; (2)过D、B点分别作 ,垂足分别为M、N, ∵ ,∴ ,∴ , ; 结论应用:取AD的中点M,连接GM并延长交DE于点N,连接DG, ∴AM=DM, ,∵AE=2,AG=4,∴ ,∵AM=DM, ,∴FN=DN,∵AE=2,AG=4, ,∴ ,即:FN=2EF, ∴ED=5EF,∴ . 【点睛】本题考查了相似三角形的判定与性质,平行线分线段成比例等知识点,熟练运用相似三角形的性 质是解题的关键. 模型5.金字塔与沙漏模型 金字塔模型 沙漏模型 条件:如图所示,DE//BC;结论:① ;② 。 证明:∵DE//BC;易证: ; ; ; ∴ ; 。 例1.(2023秋·辽宁沈阳·九年级校考阶段练习)如图,已知点D、E分别是 边上的点,且 ,面积比为 , 交 于点F.则 ( )A. B. C. D. 【答案】A 【分析】根据相似三角形的性质可得 , ,再根据相似三角形的对应边上高的比等于相似 比即可求解. 【详解】解:∵ , 是公共角,∴ ,∴ , ∵ ,∴ ,∵ ,面积比为 ∴相似比为 ,∴ ,故选:A. 【点睛】本题考查了相似三角形的性质,明确“相似三角形的对应边上高的比等于相似比”,灵活运用是 关键. 例2.(2023·江苏扬州·二模)如图,D、E分别是 的边 、 上的点,且 , 、 相交于点0,若 的面积与 的面积的比为 ,则 等于( ) A. B. C. D. 【答案】A 【分析】根据 得到 , ,结合相似三角形面积比等于相似比的平方 即可得到答案; 【详解】解:∵ , ∴ , , ∴ , ∵ 的面积与 的面积的比为 ,∴ , ∴ , 故选A; 【点睛】本题考查相似三角形判定与性质,相似三角形面积比等于相似比的平方,解题的关键是根据平行 得到相似. 例3.(2023·福建龙岩·九年级校考阶段练习)如图, 中, , 与 相交于点 .如果 ,那么 等于( ) A. B. C. D. 【答案】A 【分析】根据 , 得到 , ,结合面积比等于相似比平 方即可得到答案; 【详解】解:∵ , ,∴ , , ∴ ,故选:A. 【点睛】本题考查平行线分线段成比例定理,相似三角形的判定和性质,关键是掌握相似三角形面积比等 于相似比的平方. 例4.(2023春·北京海淀·九年级校考开学考试)如图, 是等边三角形,被一矩形所截, 被截成 三等分, ,若图中阴影部分的面积是6,则四边形 的面积为( )A.8 B.9 C.10 D.11 【答案】C 【分析】由题意易得 ,则有 ,然后根据相似三角形的性质可进行求 解. 【详解】解:由题意可知: ,∴ , ∵ ,∴ ,∴ , ∵阴影部分的面积是6,∴ , ∴ ,∴ ;故选C. 【点睛】本题主要考查相似三角形的性质与判定,熟练掌握相似三角形的性质与判定是解题的关键. 1.(2024·贵州·校考一模)如图,梯形 被对角线分成4个小三角形,已知 与 的面积分 别为 和 .那么梯形的面积是( ) .A.144 B.140 C.160 D.无法确定 【答案】A 【分析】先求出AO:OC的比值,然后再说明△AOB∽△COD,进而求得△COD、△AOB的面积,最后根 据图形求出梯形的面积即可. 【详解】解:∵ 与 的面积分别为 和 ∴AO:OC=25:35=5:7 ∵AB//CD∴ ∽ ∴ ∴ ∴梯形的面积为: .故选A. 【点睛】本题考查相似三角形的判定与性质、梯形的性质以及三角形面积的计算方法,掌握数形结合思想、 等高三角形的面积比等于对应底的比以及相似三角形的面积比等于相似比的平方成为解答本题的关键. 2.(24-25八年级上·山东德州·阶段练习)如图所示, 中,点 、 、 分别在三边上, 是 的中点, 、 、 交于一点 , , , ,则 的面积是( ) A.25 B.30 C.35 D.40 【答案】B 【分析】本题考查了三角形的面积公式、三角形之间的面积加减计算.注意同底等高的三角形面积相等, 面积相等、同高的三角形底相等.由于 ,那么结合三角形面积公式可得 ,而 ,可得出 ,而 是 中点,故有 ,于是可求 ,从而易 求 .【详解】解:如图, ∵ , 同高, , , 是 的中点, ∴同理可知 , 又 , , , . 故选:B. 3.(22-23七年级下·江苏扬州·期中)如图,四边形 中,E、F、G、H依次是 , , , 中点,O是四边形内部一点,若四边形 、四边形 、四边形 的面积分别为8、11、13, 四边形 面积为( ) A.10 B.11 C.12 D.13 【答案】A 【分析】本题考查三角形中线性质的性质,是基础考点,难度较易,掌握相关知识是解题关键. 连接 、 、 、 ,利用中线性质得到等底等高的三角形面积相等,结合 解题即可.【详解】连接 、 、 、 , 依次是各边中点, 与 是等底等高, 同理可证, 四边形AEOH、四边形BFOE、四边形CGOF的面积分别为8、11、13, 故选:A. 4.(24-25八年级上·四川德阳·阶段练习)如图,若 的面积为a,且点A,B,C分别是 的中点,则求阴影部分的面积(用含a的式子表示),( ) A. B. C. D. 【答案】A 【分析】本题考查了根据三角形的中线求阴影部分的面积,由题意得 , ,结合 已知 ,得 ,因此 ,同理可得: , ,进而 即可求出阴影部分的面积. 【详解】解:连接 ,A,B,C分别是 的中点, , , , , ,同理可得: , , ,故选:A. 5.(24-25八年级上·湖北武汉·阶段练习)如图,在 中, 是 的平分线,延长 至E,使 ,连接 , 的面积为10, 的面积是13,则 的值为( ) A. B. C.3 D.2 【答案】A 【分析】此题考查了角平分线的性质定理、三角形面积等知识. 过点D作 交 的延长线于点G,作 于点H,求出 ,则 ,求出 的面积是 ,由角平分线性质定理得到 ,即可 得到答案. 【详解】解:如图,过点D作 交 的延长线于点G,作 于点H,∵ , 的面积为10, ∴ , ∴ , ∵ 的面积是13, ∴ 的面积是 , ∵ 是 的平分线, , ∴ , ∴ , 故选:A. 6.(2023·陕西西安·模拟预测)如图,在 中, 是 边上的高线, 是 边上的中线,若 ,则 的面积是( ) A.4 B.3 C.2 D.1 【答案】A 【分析】本题主要考查了相似三角形的判定和性质,利用相似三角形求出 的长是解题关键.过E点作 边CD的高,然后证明出 ,根据相似三角形求出 的长,然后利用三角形面积公式 求解即可. 【详解】解:过E点作 边 的高 ,∵ , , ∴ , ∴ , ∴ , ∵ , , ∴ , ∴ , 故选A. 7.(2023·江苏·模拟预测)如图所示的网格是正方形网格,A,B,C,D是网格线交点,AC与BD相交于 点O,则 的面积与 的面积的比为( ) A.1:2 B. C.1:4 D. 【答案】C 【分析】设小方格的边长为1,根据等腰直角三角形和勾股定理求出AB和CD的长,再根据 得到 ,然后利用相似三角形的性质来求解. 【详解】解:如下图,设小方格的边长为1,∵ 、 分别是边长为1和2的等腰直角三角形, ∴ , , . ∵ ,∴ ,∴ . 又∵ ,∴ ,∴ ,∴ .故选:C. 【点睛】本题考查相似三角形面积比与相似比的关系,关键是判断两三角形相似,确定其相似比. 8.(23-24八年级上·天津河东·期中)如图, 的两条中线 , 相交于点 ,已知 的面积 为 , 的面积为 ,则四边形 的面积为( ) A. B.3 C. D. 【答案】C 【分析】利用点 为 的重心得到 ,根据三角形面积公式计算即可. 【详解】解: 和 为 的两条中线, ∴点 为 的重心, 的面积为4, 的面积为2, , 点 为 的重心, ,, . 故选:C. 【点睛】本题考查了三角形的重心,解题的关键是掌握重心到顶点的距离与重心到对边中点的距离之比为 .也考查了三角形的面积. 9.(2024·甘肃酒泉·二模)如图,在平行四边形 中,如果点 为CD的中点, 与BD相交于点 ,若已知 ,那么 等于( ) A.4 B.8 C.12 D.16 【答案】B 【分析】本题考查线段中点,平行四边形性质,三角形相似判定与性质,根据点 为 的中点,得出 ,根据平行四边形 性质,得出 , ,可证 ,利用相似三 角形性质得出 ,根据等高三角形面积比得出 即可. 【详解】解: 点 为 的中点, , 在平行四边形 中 , , , , , , , ,. 故选:B. 10.(23-24九年级·重庆·课后作业)如图, 为半圆O的直径,弦 相交于点P,如果 ,那么 等于( ) A.16∶9 B.3∶4 C.4∶3 D.9∶16 【答案】D 【分析】根据图形可得 , ,进而得出 ,根据相似三角形的 性质可得, ,最后根据 , 进行计算即可. 【详解】 解: , , ∴ , , 故选: . 【点睛】本题主要考查了相似三角形的判定与性质以及圆周角定理的运用,解题时注意:相似三角形的面 积的比等于相似比的平方. 11.(22-23七年级下·江苏南京·期末)如图,在 中,D是边 的中点,E、F分别是边 上的三 等分点,连接 分别交 于G、H点,若 的面积为90,则四边形 的面积为 .【答案】 【分析】如图: 连接 ,设 , ,根据“等底同高的三角形面积相等”可得 、 、 、 、 ,进而列出二元一次方程组 求解可得 ;同理:连接 ,设 , ,可得 ,最后根据 即可解答. 【详解】解: 如图: 连接 ,设 , , E、F分别是边 上的三等分点, 的面积为90, ∴ , , , ∵D是边 的中点, ∴ , ∵ ,即 , ,即 ∴ ,解得: ,即 ; 如图: 连接 ,设 , ,∴ , ∵ ,即 , ,即 ∴ ,解得: ; ∴ , . . 故答案为 . 【点睛】本题主要考查了三角形中线、三角形的等分点、解二元一次方程组等知识点,通过做辅助线、明 确各三角形之间的面积关系是解答本题的关键. 12.(2024·上海·校考一模)如图,梯形 中, , ,点 在 的延长线上, 与 相交于点 ,与 边相交于点 .如果 ,那么 与 的面积之比等于 . 【答案】 / 【分析】根据 和 ,根据相似三角形对应边成比例和相似三角形的面积比等 于相似比的平方,即可求解. 【详解】解: , , , 与 的面积之比 , ,, , 令 ,则 , 设 , , , , , 与 的面积之比是 , 与 的面积之比是 . 故答案为: . 【点睛】此题考查了相似三角形的判定与性质,熟练掌握并运用:相似三角形对应边成比例、相似三角形 的面积比等于相似比的平方等性质,是解此题的关键. 13.如图1,点D在 边 上,我们知道若 ,则 ;反之亦然.如图2, 是 的中线,点F在边 上, 相交于点O,若 ,则 . 【答案】 / 【分析】本题主要考查三角形中线、三角形的面积,当两个三角形同底时,面积比等于高之比;当两个三 角形同高时,面积比等于底之比.设 ,则 ,由 可得 , , 设 ,则 ,于是 , ,利用 列出方程,求得,则 . 【详解】解:如图,连接 , 是 的中线, , , 设 , , , , , 设 ,则 , , , , , , . 14.(23-24九年级上·福建泉州·阶段练习)已知 中, 是 边上的中线,点G为 重心, ,若 的面积为12,则 的面积是 . 【答案】 / 【分析】先由三角形的重心的性质可得: ,再求解 ,再利用相似 三角形的性质求解 ,从而可得 ,再利用两个三角形等高求解,从而可得答案. 【详解】解: 点 为 重心, 中, 是 边上的中线, 的面积为12, 故答案为: . 【点睛】本题考查的是三角形的重心的性质,相似三角形的判定与性质,掌握“相似三角形的面积之比等 于相似比的平方”是解题的关键. 15.(2024·河南郑州·九年级校考期中)如图,矩形EFGH内接于 (矩形各顶点在三角形边上), E,F在 上,H,G分别在 , 上,且 于点D,交 于点N. (1)求证: (2)若 , ,设 ,则当x取何值时,矩形 的面积最大? 最大面积是多少? 【答案】(1)见解析;(2)当 取1.5时,矩形 的面积最大,,最大面积是6.75.【分析】(1)由 ,可证 ;(2)由相似三角形的性质可得 ,表达出 与 的关系,进而求出矩形 的面积与 之间的函数关系式,进而解答. 【详解】(1)证明:∵四边形 是矩形,∴ ,∴ ; (2)∵ ,∴ ,∴ , ∴ ,设矩形 的面积为 ,则 . ∴当 取1.5时,矩形 的面积最大,最大面积是6.75. 【点睛】本题考查了相似三角形的判定和性质,矩形的性质,熟练运用相似三角形的性质是本题的关键. 16.(23-24八年级下·湖南永州·期末)课题学习:平行线间三角形的面积问题中“等底等高转化”的应用 阅读理解:如图1,已知直线 ,直线a,b的距离为h,则三角形 的面积为 . (1)【问题探究】如图2,若点C平移到点D,求证: ; (2)【深化拓展】如图3,记 、 、 、 ,根据图形特征,试证明: ; (3)【灵活运用】如图4,在平行四边形 中,点E是线段 上的一点, 与 相交于点O,已知 ,且 ,求四边形 的面积. 【答案】(1)见解析(2)见解析(3) 【分析】本题考查平行线间的距离,三角形的面积,掌握转化思想是解题的关键.(1)根据“等底等高”可得 ,从而 ,即可得证结论; (2)分别过点C、B作边 的垂线,记高分别 、 ,根据三角形的面积可得出 ,从而得证结 论; (3)连接 ,由 得到 ,从而 ,进而得到 , ,由(1)可得 ,由(2)可得 ,因此 , ,进而 ,即可解答. 【详解】(1)证明:∵ , , ∴ (等底等高),∴ ,∴ (2)证明:如图3分别过点C、B作边 的垂线,记高分别 、 , 则 , ∴ ,∴ . (3)解:连接 ,∵ ,∴ ,∴ (两个三角形等高,面积之比等于底边之比), ∵ ,∴ , ∵ ,∴由(1)可知, ∵由(2)可知, ,即 , ∴ ,∴ ∴ . 17.(23-24八年级下·山东青岛·期末)问题解决:如图1, 中, 为 边上的中线,则 ______ . 问题探究:(1)如图2, 分别是 的中线, 与 相等吗? 解: 中,由问题解决的结论可得, , . ∴ ∴ 即 . (2)图2中,仿照(1)的方法,试说明 . (3)如图3, , , 分别是 的中线,则 ______ , ______ , ______ . 问题拓展:(1)如图4, 分别为四边形 的边 的中点,请直接写出阴影部分的面积与 四边形 的面积之间的数量关系: ______ . (2)如图5, 分别为四边形 的边 的中点;请直接写出阴影部分的面积与四边形 的面积之间的数量关系: ______ . 【答案】问题解决:(1) (2)见解析;(3) , , ;问题拓展:(1) ;(2) ; 【分析】问题解决:(1)根据中线平方面积即可求解;(2)根据 ,分别减去△BOC的面积 即可求解;(3)根据中线的性质得到各小三角形的面积都相等,即可求解; 问题拓展:(1)连接BD,根据问题解决(1)的结论即可求解; (2)连接BD,根据问题解决(2)的结论即可求解. 【详解】问题解决:(1)∵ 中, 为 边上的中线,∴ . (2)解: 中,由问题解决的结论可得, , . ∴ ∴ 即 . (3)∵ , , 分别是 的中线, 由(2)可得 ∴ , , . 问题拓展:(1)如图,连接BD,由问题解决(1)的结论得 , , ∴ (2)如图连接BD,根据问题解决(2)的结论得 , , ∴ 【点睛】此题主要考查中线的性质,解题的关键是熟知三角形中线平分面积. 18.(24-25九年级上·广东深圳·期中)阅读理解:两个三角形中有一个角相等或互补,我们称这两个三角形是共角三角形,这个角称为对应角.根据上述定义,判断下列结论,正确的打“ ”,错误的打“ ”. (1)三角形一条中线分成的两个三角形是共角三角形.(_____) (2)两个等腰三角形是共角三角形.(_____) 问题提出:小明在研究图 的时发现,因为点 , 分别在 和 上,所以 和 是共角三角 形,并且还发现 .以下是小明的证明思路,请帮小明完善证明过程. 证明:分别过点 , 作 于点 , 于点 ,得到图 , ,又 , (_____), . , ,即 . 延伸探究:如图 ,已知 ,请你参照小明的证明方法,求证: . 结论应用:(1)如图 ,在平行四边形 中, 是 边上的点且满足 ,延长 到 ,连 接 交 的延长线于 ,若 , , , 的面积为 ,则 的面积是 .(2)如图 , 的面积为 ,延长 的各边,使 , , , ,则四边形 的面积为 . 【答案】阅读理解:( ) ;( ) ;问题提出: , ;延伸探究:证明见解析;结论应用: ( ) ;( ) . 【分析】阅读理解:( )根据题中定义即可判断;( )根据题中定义即可判断;; 问题提出:分别过点 , 作 于点 , 于点 ,证明 ,然后根据题中定 义即可; 延伸探究:过 作 于 ,过 作 交 的延长线于 ,则 ,然后根据题 中定义即可; 结论应用: ( )取 的靠近 三等分点 ,连接 并延长交 于点 ,连接 ,得 , 然后代入即可求解;( )连接 ,由共角三角形的面积比等于对应角两边的乘积之比得: ,再根据 即可求解; 本题考查了相似三角形的判定与性质,平行四边形的判定与性质,掌握相似三角形的判定与性质是解题的 关键. 【详解】解:阅读理解:( )根据新定义可知,三角形一条中线分成的两个三角形是共角三角形, 故答案为:“ ”, ( )两个等腰三角形不一定是共角三角形,故答案为: ; 问题提出:证明:分别过点 , 作 于点 , 于点 ,如图, ∵ ,又∵ ,∴ ,∴ ,∵ ,∴ ,即 ,故答案为: , ; 延伸探究:证明:过 作 于 ,过 作 交 的延长线于 ,则 , ∵ , ,∴ ,∴ ,∴ , ∵ ,∴ ; 结论应用:( )取 的靠近 三等分点 ,连接 并延长交 于点 ,连接 , ∵四边形 是平行四边形,∴ , , ∵ , ,∴ , ,∴ , ∴四边形 是平行四边形,∴ , , ∵ , , ,∴ , ,∴ , ∴ ,∴ ,故答案为: ; ( )如图,连接 , ∵四边形 的面积为 ,∴ , ∵使 , , , , ∴由共角三角形的面积比等于对应角两边的乘积之比得: , 则 , ,则 ,,则 , ,则 , ∴ ,故答案为: . 19.(2023·山东青岛·二模)【模型】 同高的两个三角形面积之比等于底边长度之比. 已知,如图 , 中, 为线段 上任意一点,连接 ,则有: . 【模型应用】 (1)如图 ,任意四边形 中, 、 分别是 、 边的中点,连接 、 ,若四边形 的面积为 ,则 ___________ . (2)如图 ,在任意四边形 中,点 、 分别是边 、 上离点 和点 最近的三等分点,连 接 、 ,若四边形 的面积为 ,则 ___________. (3)如图 ,在任意四边形 中,点 、 分别是边 、 上离点 和点 最近的 等分点,连 接 、 ,若四边形 的面积为 ,则 ___________ . 【拓展与应用】 (4)如图 ,若任意的十边形的面积为 ,点 、 、 、 、 、 、 、 分别是 、 、 、 、 、 、 、 边上离点 、 、 、 、 、 、 、 最近的四等分点,连接 、 、、 、 、 、 、 ,则图中阴影部分的面积是___________. 【答案】[模型应用](1) ;(2) ;(3) ;[拓展与应用](4) 【分析】本题考查了四边形面积、三角形面积、三角形的中线性质以及多边形面积等知识; [模型应用](1)由三角形的中线性质得 , ,即可解决问题; (2)连接 ,由模型得 , ,即可解决问题; (3)连接 ,由模型得 , ,根据 ,即 可求解; [拓展与应用](4)连接 、 、 ,由(3)得: ,同理, , , ,根据 ,即可求解. 【详解】解:[模型应用]((1)E、 分别是 、 边的中点, , , , , , , , 故答案为: ; (2)如图,连接 , 点 、 分别是边 、 上离点 和点 最近的三等分点,, , , , , , , 故答案为: ; (3)如图,连接 , 点 、 分别是边 、 上离点 和点 最近的 等分点, , , , , , , , 故答案为: ; [拓展与应用](4)如图,连接 、 、 ,由(3)得: , 同理, , , , , , 故答案为: . 20.(23-24七年级下·安徽宿州·期末)(1)探索发现: 如图1,在 中,点D在边 上, 与 的面积分别记为 与 ,试判断 与 的数 量关系,并说明理由. (2)阅读分析: 小明遇到这样一个问题:如图2,在 中, , ,射线 交 于点D,点 E、F在 上,且 ,试判断 、 、 三条线段之间的数量关系. 小明利用一对全等三角形,经过推理使问题得以解决.图2中的 、 、 三条线段之间的数量关系 为 ,并说明理由.(3)类比探究: 如图3,在四边形 中, , 与 交于点O,点E、F在射线 上,且 . ①全等的两个三角形为 ,并说明理由. ②若 , 的面积为3,直接写出 的面积: . 【答案】(1) ,理由见解析;(2) ,理由见解析;(3)① ,理 由见解析;②6 【分析】本题考查了同高三角形的面积,全等三角形的判定和性质. (1)作 于H.则 ,即可得出结论; (2)通过证明 ,得出 , ,即可得出结论; (3)①根据 ,得出 ,再推出 ,即可求证 ;②根据 ,得出 ,则 ,进而得出 , ,即可解答. 【详解】解:(1) ,理由如下:如图1中,作 于H. ∵ , ∴ , 故答案为: ; (2) ,理由如下: 如图2中, ∵ , , ∴ , ∵ , ∴ , 在 和 中, , ∴ ,∴ , , ∴ . 故答案为: ; (3)① ,理由如下: 如图3, ∵ , ∴ , ∵ , , , ∴ , ∵ , ∴ , 故答案为: ; ②∵ , ∴ , ∴ , ∵ , ∴ , ∴ , ∴ , 故答案为:6. 21.(23-24九年级上·广西崇左·期末)【问题】如图1,在四边形 中,对角线 与 相交于点O,记 的面积为 , 的面积为 ,求证: . 【解决问题的方法】如图2,在 和 中,分别作 边上的高 ,利用三角函数表 示出 ,再代入面积公式就可以解决问题. (1)【问题解决】如图2,求证: (2)【拓展应用】如图3, 交 于点M,点H为 的中点, 交 于点G,且 求 值. 【答案】(1)见解析 (2) 【分析】本题是四边形综合题,考查了锐角三角函数的定义、相似三角形的判定与性质,三角形中位线定 理、三角形面积的计算等知识;正确作出辅助线构建直角三角形与相似三角形是解题的关键. (1)过点 作 于 ,过点 作 于 ,求出 , , 然后由三角形面积公式求解即可; (2)取 中点 ,连接 ,先证明 ,得到 ,设 ,则 , ,然后证明 ,推出 , ,则 ,由(1)结论求解即可. 【详解】(1)解:过点D作 于点E,过点B作 于F,, , , , , ; ; (2)如图所示,取 中点N,连接 , , ∴ , 设 ,则 , , ∵H是 的中点,N是BM的中点, 是 的中位线, , , ∴ ,∴ , ∴ , ∴ , , 由(1)可知 . 22.(2023·宁夏银川·二模)等面积法是一种常用的、重要的数学解题方法.它是利用“同一个图形的面 积相等”、“分割图形后各部分的面积之和等于原图形的面积”、“同底等高或等底同高的两个三角形面 积相等”等性质解决有关数学问题.在解题中,灵活运用等面积法解决相关问题,可以使解题思路清晰, 解题过程简便快捷. 请用等面积法的思想解决下列问题: (1)在直角三角形中,两直角边长分别为3和4,则该直角三角形斜边上的高的长为______. (2)如图1,反比例函数 的图像上有一点P, 轴于点A,点B在y轴上,则 的面积 为______. (3)如图2,P是边长为a的正 内任意一点,点O为 的中心,设点P到 各边距离分别为 , , ,连接 ,由等面积法,易知 ,可得;如图3,若P是边长为4的正五边形 内任意一点,设点P到五边形 各边 距离分别为 , , , , ,参照上面的探索过程,求 的值.(参考数据: , ) (4)如图4,已知 的半径为1,点A为 外一点, , 切 于点B,弦 ,连接 , 求图中阴影部分的面积.(结果保留 ) (5)我国数学家祖暅,提出了一个祖暅原理:“幂势既同,则积不容异”.意思是:两个等高的几何体若在 所有等高处的水平截面的面积相等,则这两个几何体体积相等.如图所示,某帐篷的造型是两个全等圆柱 垂直相交的公共部分的一半(这个公共部分叫做牟合方盖),其中曲线 和 均是以1为半径的半 圆.用任意平行于帐篷底面 的平面截帐篷,所得截面四边形均为正方形,且该正方形的面积恰好等 于与帐篷同底等高的正四棱柱中挖去一个倒放的同底等高的正四棱锥后同高度截面的面积(图8中阴影部 分的面积),因此该帐篷的体积为______.(正棱锥的体积 底面积 高) 【答案】(1) ; (2) ; (3) ; (4) ; (5) . 【分析】 本题考查三角形的综合应用,熟练掌握正五边形的性质,等边三角形的性质,直角三角形的性质,圆的切 线性质,扇形的面积公式,棱柱的体积,棱锥的体积公式是解题的关键. (1)先求斜边,再利用等面积法,求出斜边上的高; (2) 轴,则结合反比例函数的重要性质可得 ; (3)由题可知 ,连接 ,过 作 交于 ,根据正五边形的性质可求 在 中, 即 求出 则 , 再由方程 ,可得 ; (4)过 点作 交延长线于 ,可证得 是等边三角形,再由 ,即可求解; (5)连接 ,则 再由四边形 是正方形,求出 根据 求解即 可. 【详解】(1)解:根据勾股定理,斜边长为: 设斜边上的高为 ,根据等面积法: 解得: . (2)解:连接 ,如图: ∵ 轴,∴ 轴, , 的面积为: . (3) , 如图3,连接 ,过 作 交于 , ∵五边形 是正五边形,∴正五边形的每一内角为 在 中, ,, . (4)解:如图4,过 点作 交延长线于 , ∵ 是圆 的切线, , 是等边三角形, 过点 作 于点 ,如图: ∵ ,∴ 是 的高,∴ , . (5)解:如图7,连接 , ∵ 是圆 的直径, ∵四边形 是正方形, .