当前位置:首页>文档>化学试题_2025年3月_250313四川省射洪中学2025届高三下学期3月二模_四川省射洪中学2025届高三下学期3月二模试题化学Word版含答案

化学试题_2025年3月_250313四川省射洪中学2025届高三下学期3月二模_四川省射洪中学2025届高三下学期3月二模试题化学Word版含答案

  • 2026-04-03 16:37:23 2026-02-10 22:58:25

文档预览

化学试题_2025年3月_250313四川省射洪中学2025届高三下学期3月二模_四川省射洪中学2025届高三下学期3月二模试题化学Word版含答案
化学试题_2025年3月_250313四川省射洪中学2025届高三下学期3月二模_四川省射洪中学2025届高三下学期3月二模试题化学Word版含答案
化学试题_2025年3月_250313四川省射洪中学2025届高三下学期3月二模_四川省射洪中学2025届高三下学期3月二模试题化学Word版含答案
化学试题_2025年3月_250313四川省射洪中学2025届高三下学期3月二模_四川省射洪中学2025届高三下学期3月二模试题化学Word版含答案
化学试题_2025年3月_250313四川省射洪中学2025届高三下学期3月二模_四川省射洪中学2025届高三下学期3月二模试题化学Word版含答案
化学试题_2025年3月_250313四川省射洪中学2025届高三下学期3月二模_四川省射洪中学2025届高三下学期3月二模试题化学Word版含答案
化学试题_2025年3月_250313四川省射洪中学2025届高三下学期3月二模_四川省射洪中学2025届高三下学期3月二模试题化学Word版含答案
化学试题_2025年3月_250313四川省射洪中学2025届高三下学期3月二模_四川省射洪中学2025届高三下学期3月二模试题化学Word版含答案
化学试题_2025年3月_250313四川省射洪中学2025届高三下学期3月二模_四川省射洪中学2025届高三下学期3月二模试题化学Word版含答案
化学试题_2025年3月_250313四川省射洪中学2025届高三下学期3月二模_四川省射洪中学2025届高三下学期3月二模试题化学Word版含答案
化学试题_2025年3月_250313四川省射洪中学2025届高三下学期3月二模_四川省射洪中学2025届高三下学期3月二模试题化学Word版含答案
化学试题_2025年3月_250313四川省射洪中学2025届高三下学期3月二模_四川省射洪中学2025届高三下学期3月二模试题化学Word版含答案
化学试题_2025年3月_250313四川省射洪中学2025届高三下学期3月二模_四川省射洪中学2025届高三下学期3月二模试题化学Word版含答案
化学试题_2025年3月_250313四川省射洪中学2025届高三下学期3月二模_四川省射洪中学2025届高三下学期3月二模试题化学Word版含答案

文档信息

文档格式
docx
文档大小
1.111 MB
文档页数
10 页
上传时间
2026-02-10 22:58:25

文档内容

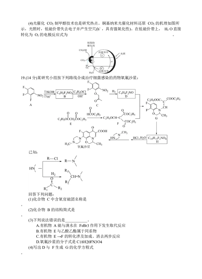
射洪中学高 2025 届高三二模考试 化学试题 (考试时间:75分钟 满分:100分) 注意事项: 1.答卷前,考生务必将自己的班级、姓名、考号填写在答题卡上。 2.回答选择题时,选出每小题答案后,用2B铅笔把答题卡上对应题目的答案标号涂 黑。如需改动,用橡皮擦干净后,再选涂其他答案标号。写在本试卷上无效。 3.回答非选择题时,将答案写在答题卡对应题号的位置上。写在本试卷上无效。 4.考试结束后,将答题卡交回。 可能用到的相对原子质量: H 1 C 12 O 16 Na 23 S 32 Cl 35.5 K 39 Ca 40 Mn 55 Fe 56 Cu 64 第 I 卷(选择题) 一 、单项选择题:本题共 15 小题,每小题 3 分,共 45 分。在每小题给出的四个选 项中,只有一项是最符合题目要求的。 1.化学无处不在。下列说法错误的是 A.微生物降解塑料的使用有利于消除“白色污染” B.汽车智能驾驶离不开强大汽车芯片,二氧化硅是该芯片的核心成分 C.《 哪吒》电影中的结界兽原型是三星堆青铜器,青铜属于合金材料 D.加工馒头、面包和饼干时可加入适量碳酸氢铵、碳酸氢钠等,使其松软或酥脆 2.下列化学用语使用正确的是 A.H2S、PCl3的 VESPR 模型一致 B.异戊烷的空间填充模型: C.用系统命名法命名 CH2ClCH2Cl:二氯乙烷 D.基态 As原子简化电子排布式:[Ar]4s24p3 3.实验是化学的基础。下列基本实验描述正确的是 A. 图中标识意为洗净手才可进行实验 B.排出盛有KMnO 溶液滴定管尖嘴内的气泡: 4 C.测新制氯水的pH: D.向容量瓶转移溶液: 高三化学 第 1 页 共 10 页4.设 N 为阿伏伽徳罗常数的值。下列说法一定正确的是 A A.136gKHSO 晶体与CaSO 晶体混合物中离子总数为2N 4 4 A B.标准状况下,22.4 LC H 中σ健数目为11N 4 8 A C.78gNa O 与足量的CO 和 H O混合物反应转移电子数为2N 2 2 2 2 A D.电解精炼铜时,阳极减少32g, 转移电子数为N A 5.下列反应方程式书写正确的是 A.用醋酸和淀粉-KI 溶液检验加碘盐中的IO —:IO —+5I—+6H+=3I +3H O 3 3 2 2 B.利用FeS处理废水中的Hg2+:FeS(s)+Hg2+ (aq) HgS(s)+Fe2+ (aq) 电解 C.用 Pt作电极电解MgCl 溶液:2Cl—+2H O====Cl ↑+H ↑+2OH— 2 2 2 2 D.煅烧硫铁矿:4FeS +15O 高 == 温 =8SO +2Fe O 2 2 3 2 3 6.我国第一部中药学典籍《神农本草经》中记载的一种中药“昆布”,具有利水消肿的功 效,其主要成分是3,5-二碘酪氨酸,结构简式如下图。下列关于该有机物说法错误的是 A.该分子中含有1个手性碳原子 B.理论上1mol 该物质最多消耗3molH 2 C.既能与盐酸反应,也能与NaOH溶液反应 D.等量该物质最多消耗 NaHCO 与Na CO 的物质的量之比为 3 2 3 1:1 7. M 、W 、X 、Y 、Z 是五种原子序数依次增大的短周期主族元素,其原子序数之和为 31; 其中 Y的核外 s 能级电子数等于p 能级电子数,X 的核外电子有4种空间运动状态;五种主 族元素组成的化合物 Q 的结构如图所示。下列说法错误的是 — A.原子半径:X>Y>Z B.Y 元素组成的最常见单质和 M 的单质, 在加热条件下生成的化合物中只含离子键 C.Q 的结构存在配位键,除 M 外的原子最外层均满足 8 电子稳定结构 D.含 X 、Y 、Z 等元素的化合物 具有较高的熔沸 — — 点 8.实验室制取 FeSO4 溶液和 NaHCO3 溶液,并利用两者反应制取 FeCO3 ,下列有关实验装 置和操作不能达到实验目的的是 A.用装置甲制取 FeSO4 溶液 B.用装置乙制取NaHCO3 溶液 高三化学 第 2 页 共 10 页C.用装置丙制取 FeCO3 D.用装置丁过滤所得的浊液 高三化学 第 3 页 共 10 页9.下列实验操作或现象和相应结论均正确的是 选项 实验操作或现象 结论 向2 mL0.1 mol · L—1K Cr O 溶液中滴加5~10滴6mol/L 减小生成物浓度,K Cr O 2 2 7 2 2 7 A NaOH 溶液,溶液由橙色变黄色 反应的平衡正移 B 用pH计测定SO 、CO 饱和溶液的pH,前者pH小 Ka:H SO >H CO 2 2 2 3 2 3 将含NaOH、乙醇的1-溴丁烷混合体系加热后产生的气体 C 通入 酸性KMnO 溶液中,紫红色褪去 1-溴丁烷发生了消去反应 4 用饱和Na CO 溶液浸泡BaSO 一段时间后过滤洗涤,向 2 3 4 D 所得的 滤渣上滴加稀盐酸,有气泡冒出 Ksp(BaSO )>Ksp(BaCO ) 4 3 10.环六糊精(D-吡喃葡萄糖缩合物)具有空腔结构,腔内极性较小,腔外极性较大,可包含某 些分子形成超分子。图1、2、3分别表环六糊精结构、超分子示意图及相关应用。下列说法 正确的是 A.环六糊精属于多糖 B.邻氯苯甲醚、对氯苯甲醚均易被环六糊精包合形成超分子 C.通过图2、图3可知对氯苯甲醚与环六糊精形成的超分子甲氧基、氯原子均暴露在反 应环境中 D.由题目信息可知,分离环六糊精和氯代苯甲醚通常采用蒸馏法 11.某立方晶系的硫锰矿晶胞,沿c轴将原子投影到ab平面,投影图如下(设 代表阿伏 加德罗常数的值,括号中c数据为原子在c轴方向的原子坐标)。下列说法错误的是 A.基态Mn的价电子排布式为 B.晶体中S的配位数是6 C.Mn位于晶胞的顶角和面心 D.若晶体密度为 ,则最近的两个硫原子之间的距离为12.电动汽车电池一直是研究热点,高能量密度的全固态电池有望在2027年投入应用, 2030年左右实现大规模商用。现有某可充放电的全固态钠电池,工作原理如图所示,下列 说法正确的是 A.为了降低成本,可以将固态聚合物电解质换为Na PO 溶液 3 4 B.放电时,电极电势N 极高于M极 C.充电时,M 极电极反应式为:Na V (PO ) -2e—= NaV (PO ) +2Na+ 3 2 4 3 2 4 3 D.充电时,Na+由 N 极迁移至M极 13.丙烯与氢卤酸的加成反应过程主要分两步完成,如图: 其中,反应速率主要由第一步烯烃与H+结合生成碳正离子决定。下列说法错误的是 A.反应物丙烯不存在顺反异构 B.上述条件下,丙烯生成中间产物a 的反应活化能较低 C.若使用CF CH=CH 进行上述反应,则主要产物可能为CF CH CH Cl 3 2 3 2 2 D.上述反应,在适当条件下氢卤酸中卤素离子浓度越大反应速率越快 14.工业上以软锰矿(主要成分为MnO ) 为原料通过固体碱熔氧化法生产高锰酸钾,主要流程 2 如下。下列说法 错误的是 A.“熔融氧化”应在铁坩埚中进行,陶瓷坩埚或Al O 坩埚均不行 2 3 B.“锰酸钾歧化”可以用H SO 但不能用盐酸代替CO 2 4 2 C.“结晶”操作与从NaCl 溶液得NaCl 晶体操作相同 D.该流程中可循环使用的物质是MnO 215.难溶盐 CaF2 可溶于盐酸, 用 HCl 调节 CaF2 浊液的 pH ,测得体系中-1gc(F—)或- 2+ lgc(Ca )与 的关系如图。下列说法错误的是 2+ A.N 代表-lgc(Ca )与 的变化曲线 2+ B.Z 点的溶液中存在 lgc(Ca )-2 =-4.2 C .常温下, Ksp(CaF2)= 10—10.6 - 2+ D.Y 点的溶液中存在 c(Cl )