当前位置:首页>文档>专题78有机推断——书写合成路线(A)(原卷卷)_近10年高考真题汇编(必刷)_十年(2014-2024)高考化学真题分项汇编(全国通用)

专题78有机推断——书写合成路线(A)(原卷卷)_近10年高考真题汇编(必刷)_十年(2014-2024)高考化学真题分项汇编(全国通用)

  • 2026-04-09 19:19:47 2026-02-12 00:21:55

文档预览

专题78有机推断——书写合成路线(A)(原卷卷)_近10年高考真题汇编(必刷)_十年(2014-2024)高考化学真题分项汇编(全国通用)
专题78有机推断——书写合成路线(A)(原卷卷)_近10年高考真题汇编(必刷)_十年(2014-2024)高考化学真题分项汇编(全国通用)
专题78有机推断——书写合成路线(A)(原卷卷)_近10年高考真题汇编(必刷)_十年(2014-2024)高考化学真题分项汇编(全国通用)
专题78有机推断——书写合成路线(A)(原卷卷)_近10年高考真题汇编(必刷)_十年(2014-2024)高考化学真题分项汇编(全国通用)
专题78有机推断——书写合成路线(A)(原卷卷)_近10年高考真题汇编(必刷)_十年(2014-2024)高考化学真题分项汇编(全国通用)
专题78有机推断——书写合成路线(A)(原卷卷)_近10年高考真题汇编(必刷)_十年(2014-2024)高考化学真题分项汇编(全国通用)
专题78有机推断——书写合成路线(A)(原卷卷)_近10年高考真题汇编(必刷)_十年(2014-2024)高考化学真题分项汇编(全国通用)
专题78有机推断——书写合成路线(A)(原卷卷)_近10年高考真题汇编(必刷)_十年(2014-2024)高考化学真题分项汇编(全国通用)
专题78有机推断——书写合成路线(A)(原卷卷)_近10年高考真题汇编(必刷)_十年(2014-2024)高考化学真题分项汇编(全国通用)
专题78有机推断——书写合成路线(A)(原卷卷)_近10年高考真题汇编(必刷)_十年(2014-2024)高考化学真题分项汇编(全国通用)
专题78有机推断——书写合成路线(A)(原卷卷)_近10年高考真题汇编(必刷)_十年(2014-2024)高考化学真题分项汇编(全国通用)
专题78有机推断——书写合成路线(A)(原卷卷)_近10年高考真题汇编(必刷)_十年(2014-2024)高考化学真题分项汇编(全国通用)
专题78有机推断——书写合成路线(A)(原卷卷)_近10年高考真题汇编(必刷)_十年(2014-2024)高考化学真题分项汇编(全国通用)
专题78有机推断——书写合成路线(A)(原卷卷)_近10年高考真题汇编(必刷)_十年(2014-2024)高考化学真题分项汇编(全国通用)
专题78有机推断——书写合成路线(A)(原卷卷)_近10年高考真题汇编(必刷)_十年(2014-2024)高考化学真题分项汇编(全国通用)
专题78有机推断——书写合成路线(A)(原卷卷)_近10年高考真题汇编(必刷)_十年(2014-2024)高考化学真题分项汇编(全国通用)

文档信息

文档格式
docx
文档大小
1.738 MB
文档页数
12 页
上传时间
2026-02-12 00:21:55

文档内容

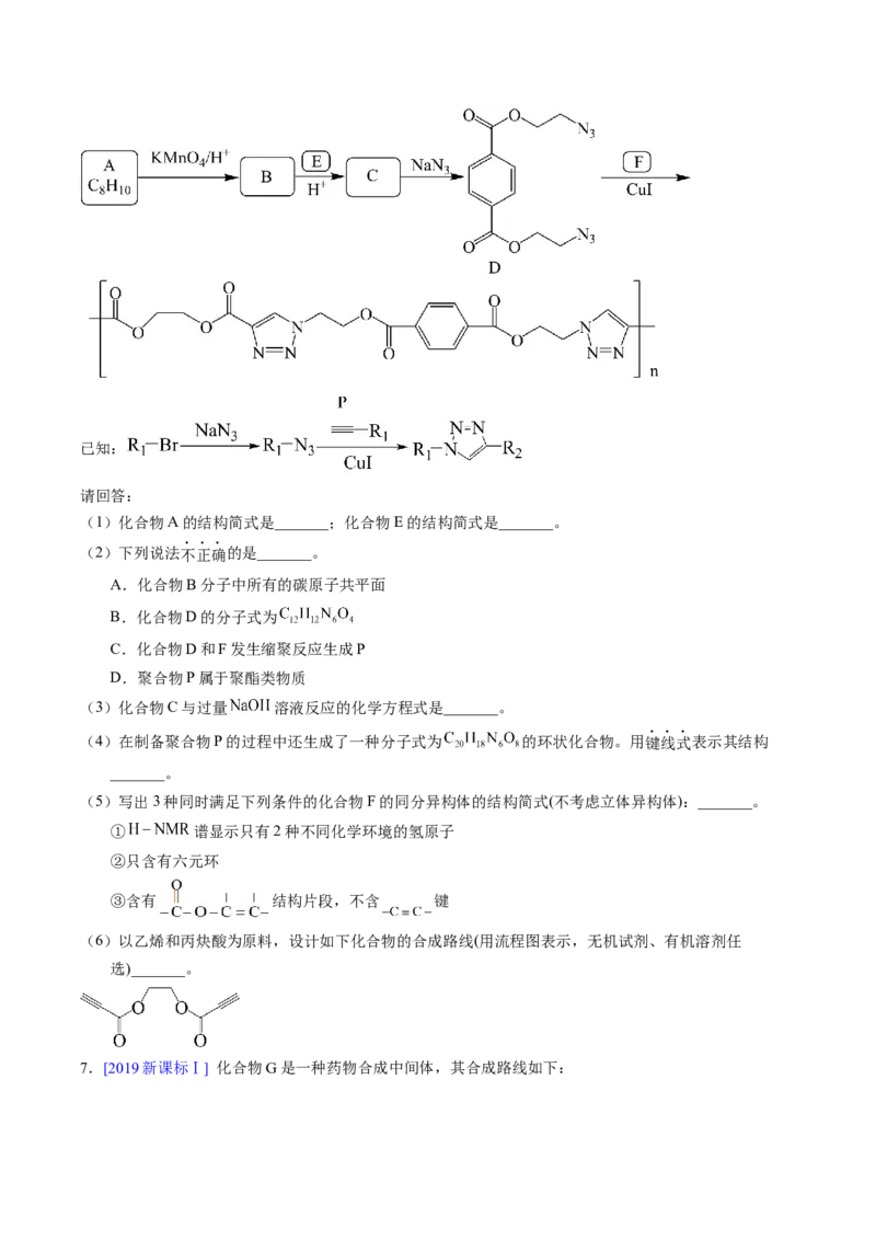
专题 78 有机推断——书写合成路线 (A) 1.【2023年湖北卷】含有吡喃萘醌骨架的化合物常具有抗菌、抗病毒等生物活性,一种合成该类化合物 的路线如下(部分反应条件已简化): 回答下列问题: (1)B的结构简式为 ; (2)从F转化为G的过程中所涉及的反应类型是 、 ; (3)物质G所含官能团的名称为 、 ; (4)依据上述流程提供的信息,下列反应产物J的结构简式为 ; (5)下列物质的酸性由大到小的顺序是 (写标号): ① ② ③ (6) (呋喃)是一种重要的化工原料,其能够发生银镜反应的同分异构体中。除HC=C=CH-CHO外, 2 还有 种; (7)甲苯与溴在FeBr 催化下发生反应,会同时生成对溴甲苯和邻溴甲苯,依据由C到D的反应信息,设 3 计以甲苯为原料选择性合成邻溴甲苯的路线 (无机试剂任选)。 2.(2021·海南真题)二甲双酮是一种抗惊厥药,以丙烯为起始原料的合成路线如下:回答问题: (1)A的名称是___________,A与金属钠反应的产物为___________和___________。 (2)B的核磁共振氢谱有___________组峰。 (3) 、 的反应类型分别为___________、___________。 (4)D中所含官能团名称为___________、___________。 (5)D→E的反应方程式为___________。 (6)设计以 为原料合成乌头酸( )的路线(无 机试剂任选)___________。 已知:① ② 3.【2021年江苏卷】F是一种天然产物,具有抗肿瘤等活性,其人工合成路线如图: (1)A分子中采取sp2杂化的碳原子数目是___。(2)B的一种同分异构体同时满足下列条件,写出该同分异构体的结构简式:___。 ①分子中不同化学环境的氢原子个数比是2:2:2:1。 ②苯环上有4个取代基,且有两种含氧官能团。 (3)A+B→C的反应需经历A+B→X→C的过程,中间体X的分子式为C H NO 。X→C的反应类型为 17 17 6 ___。 (4)E→F中有一种分子式为C H O 的副产物生成,该副产物的结构简式为___。 15 14 4 (5)写出以 CH 和F CHOH为原料制备 的合成 3 2 路线流程图___(无机试剂和有机溶剂任用,合成路线流程图示例见本题题干)。 4.【2022年广东卷】基于生物质资源开发常见的化工原料,是绿色化学的重要研究方向。以化合物I为 原料,可合成丙烯酸V、丙醇VII等化工产品,进而可制备聚丙烯酸丙酯类高分子材料。 (1)化合物I的分子式为_______,其环上的取代基是_______(写名称)。 (2)已知化合物II也能以II′的形式存在。根据II′的结构特征,分析预测其可能的化学性质,参考①的示 例,完成下表。 序号 结构特征 可反应的试剂 反应形成的新结构 反应类型 ① 加成反应 ② _______ _______ _______ 氧化反应 ③ _______ _______ _______ _______ (3)化合物IV能溶于水,其原因是_______。 (4)化合物IV到化合物V的反应是原子利用率 的反应,且 与 化合物a反应得到 ,则化合物a为_______。 (5)化合物VI有多种同分异构体,其中含 结构的有_______种,核磁共振氢谱图上只有一组峰 的结构简式为_______。 (6)选用含二个羧基的化合物作为唯一的含氧有机原料,参考上述信息,制备高分子化合物VIII的单体。写出VIII的单体的合成路线_______(不用注明反应条件)。 5.【2022年江苏卷】化合物G可用于药用多肽的结构修饰,其人工合成路线如下: (1)A分子中碳原子的杂化轨道类型为_______。 (2)B→C的反应类型为_______。 (3)D的一种同分异构体同时满足下列条件,写出该同分异构体的结构简式:_______。 ①分子中含有4种不同化学环境的氢原子;②碱性条件水解,酸化后得2种产物,其中一种含苯环且 有2种含氧官能团,2种产物均能被银氨溶液氧化。 (4)F的分子式为 ,其结构简式为_______。 (5)已知: (R和 表示烃基或氢, 表示烃基); 写出以 和 为原料制备 的合成路线流程图(无机试剂和有机溶剂任用,合 成路线流程图示例见本题题干)_______。 6.(2021.6·浙江真题)某课题组研制了一种具有较高玻璃化转变温度的聚合物P,合成路线如下:已知: 请回答: (1)化合物A的结构简式是_______;化合物E的结构简式是_______。 (2)下列说法不正确的是_______。 A.化合物B分子中所有的碳原子共平面 B.化合物D的分子式为 C.化合物D和F发生缩聚反应生成P D.聚合物P属于聚酯类物质 (3)化合物C与过量 溶液反应的化学方程式是_______。 (4)在制备聚合物P的过程中还生成了一种分子式为 的环状化合物。用键线式表示其结构 _______。 (5)写出3种同时满足下列条件的化合物F的同分异构体的结构简式(不考虑立体异构体):_______。 ① 谱显示只有2种不同化学环境的氢原子 ②只含有六元环 ③含有 结构片段,不含 键 (6)以乙烯和丙炔酸为原料,设计如下化合物的合成路线(用流程图表示,无机试剂、有机溶剂任 选)_______。 7.[2019新课标Ⅰ] 化合物G是一种药物合成中间体,其合成路线如下:回答下列问题: (1)A中的官能团名称是 。 (2)碳原子上连有4个不同的原子或基团时,该碳称为手性碳。写出B的结构简式,用星号(*)标出B 中的手性碳 。 (3)写出具有六元环结构、并能发生银镜反应的B的同分异构体的结构简式 。(不考虑立体 异构,只需写出3个) (4)反应④所需的试剂和条件是 。 (5)⑤的反应类型是 。 (6)写出F到G的反应方程式 。 (7)设计由甲苯和乙酰乙酸乙酯(CHCOCH COOC H)制备 的合成路线 (无 3 2 2 5 机试剂任选)。 8.[2019新课标Ⅲ]氧化白藜芦醇W具有抗病毒等作用。下面是利用Heck反应合成W的一种方法: [来源:Zxxk.Com] 回答下列问题: (1)A的化学名称为___________。 (2) 中的官能团名称是___________。 (3)反应③的类型为___________,W的分子式为___________。 (4)不同条件对反应④产率的影响见下表:实验 碱 溶剂 催化剂 产率/% 1 KOH DMF Pd(OAc) 22.3 2 2 KCO DMF Pd(OAc) 10.5 2 3 2[来源:学科网ZXXK] 3 EtN DMF Pd(OAc) 12.4 3 2 4 六氢吡啶 DMF Pd(OAc) 31.2 2 5 六氢吡啶 DMA Pd(OAc) 38.6 2 6 六氢吡啶 NMP Pd(OAc) 24.5 2 上述实验探究了________和________对反应产率的影响。此外,还可以进一步探究________等对反应产 率的影响。 (5)X为D的同分异构体,写出满足如下条件的X的结构简式________________。 ①含有苯环;②有三种不同化学环境的氢,个数比为6∶2∶1;③1 mol的X与足量金属Na反应可生 成2 g H 。 2 (6)利用Heck反应,由苯和溴乙烷为原料制备 ,写出合成路线________________。 (无机试剂任选) 9.【2018江苏卷】 丹参醇是存在于中药丹参中的一种天然产物。合成丹参醇的部分路线如下: 已知: (1)A中的官能团名称为__________________(写两种)。 (2)DE的反应类型为__________________。 (3)B的分子式为C H O,写出B的结构简式:__________________。 9 14 (4) 的一种同分异构体同时满足下列条件,写出该同分异构体的结构简式:_________。 ①分子中含有苯环,能与FeCl 溶液发生显色反应,不能发生银镜反应; 3②碱性条件水解生成两种产物,酸化后分子中均只有2种不同化学环境的氢。 (5)写出以 和 为原料制备 的合成路线流程图(无机试剂和乙醇任 用,合成路线流程图示例见本题题干)。 10.【2017江苏】化合物H是一种用于合成γ-分泌调节剂的药物中间体,其合成路线流程图如下: (1)C中的含氧官能团名称为_______和__________。 (2)D→E的反应类型为__________________________。 (3)写出同时满足下列条件的C的一种同分异构体的结构简式:_____________________。 ①含有苯环,且分子中有一个手性碳原子;②能发生水解反应,水解产物之一是α-氨基酸,另一 水解产物分子中只有2种不同化学环境的氢。 (4)G 的分子式为C H NO,经氧化得到H,写出G的结构简式:__________________。 12 14 2 2 (5)已知: (R代表烃基,R'代表烃基或H) 请写出以 、 和(CH)SO 为原料制备 的合成路线流程图 3 2 4 (无机试剂任用,合成路线流程图示例见本题题干)。 11.【2016年高考北京卷】(17分) 【来源:学+科+网】2 功能高分子P的合成路线如下: (1)A的分子式是C H,其结构简式是___________________。 7 8(2)试剂a是_______________。 (3)反应③的化学方程式:_______________。 (4)E的分子式是C H O。E中含有的官能团:_______________。 6 10 2 (5)反应④的反应类型是_______________。 (6)反应⑤的化学方程式:_______________。 (5)已知:2CHCHO 。 3 以乙烯为起始原料,选用必要的无机试剂合成 E,写出合成路线(用结构简式表示有机物),用箭头 表示转化关系,箭头上注明试剂和反应条件)。 12.【2016年高考新课标Ⅲ卷】[化学——选修5:有机化学基础](15分) 端炔烃在催化剂存在下可发生偶联反应,成为Glaser反应。 2R—C≡C—H R—C≡C—C≡C—R+H 2 该反应在研究新型发光材料、超分子化学等方面具有重要价值。下面是利用Glaser反应制备化合物E 的一种合成路线: 回答下列问题: (1)B的结构简式为______,D 的化学名称为______,。 (2)①和③的反应类型分别为______、______。 (3)E的结构简式为______。用1 mol E合成1,4-二苯基丁烷,理论上需要消耗氢气_______mol。 (4)化合物( )也可发生Glaser偶联反应生成聚合物,该聚合反应的化学方 程式为_____________________________________。 (5)芳香化合物F是C的同分异构体,其分子中只有两种不同化学环境的氢,数目比为3:1,写出其 中3种的结构简式_______________________________。 (6)写出用2-苯基乙醇为原料(其他无机试剂任选)制备化合物D的合成路线___________。 13.【2015山东理综化学】(12分)[化学---有机化学基础] 菠萝酯F是一种具有菠萝香味的赋香剂,其合成路线如下:已知: (1)A的结构简式为_________________,A中所含官能团的名称是_________。 (2)由A生成B的反应类型是______________,E的某同分异构体只有一种相同化学环境的氢,该同 分异构体的结构简式为_________________。 (3)写出D和E反应生成F的化学方程式________________________。 (4)结合题给信息,以溴乙烷和环氧乙烷为原料制备1-丁醇,设计合成路线(其他试剂任选)。 合成路线流程图示例: 14.【2015江苏化学】(15分)化合物 F是一种抗心肌缺血药物的中间体,可以通过以下方法合成: (1)化合物A中的含氧官能团为_________和___________(填官能团的名称)。 (2)化合物B的结构简式为________;由C→D的反应类型是:_______。 (3)写出同时满足下列条件的E的一种同分异构体的结构简式_________。 Ⅰ.分子含有2个苯环 Ⅱ.分子中含有3种不同化学环境的氢 ( 4 ) 已 知 : , 请 写 出 以为原料制备化合物X(结构简式见右图)的合成路线流 程图(无机试剂可任选)。合成路线流程图示例如下: 15.【2015上海化学】(本题共10分) 对溴苯乙烯与丙烯的共聚物是一种高分子阻燃剂,具有低毒、热稳定性好等优点。 完成下列填空: (1)写出该共聚物的结构简式 (2)实验室由乙苯制取对溴苯乙烯,需先经两步反应制得中间体 。 写出该两步反应所需的试剂及条件。 (3)将 与足量氢氧化钠溶液共热得到A,A在酸性条件下遇FeCl 溶液不显色。 3 A的结构简式为 。 由上述反应可推知 。 由A生成对溴苯乙烯的反应条件为 。 (4)丙烯催化二聚得到2,3-二甲基-1-丁烯,B与2,3-二甲基-1-丁烯互为同分异构体,且所有碳原子处 于同一平面。 写出B的结构简式。 设计一条由2,3-二甲基-1-丁烯制备B的合成路线。 (合成路线常用的表示方式为: ) 16.【2015新课标Ⅰ卷理综化学】[化学——选修5:有机化学基础](15分) A(C H )是基本有机化工原料。由A制备聚乙烯醇缩丁醛和顺式异戊二烯的合成路线(部分反应条 2 2 件略去)如下所示:回答下列问题: (1)A的名称是 ,B含有的官能团是 。 (2)①的反应类型是 ,⑦的反应类型是 。 (3)C和D的结构简式分别为 、 。 (4)异戊二烯分子中最多有 个原子共平面,顺式聚异戊二烯的结构简式为 。 (5)写出与A具有相同官能团的异戊二烯的所有同分异构体 (填结构简式)。 (6)参照异戊二烯的上述合成路线,设计一条由 A和乙醛为起始原料制备1,3-丁二烯的合成路线 。