当前位置:首页>文档>江西省抚州市2024-2025学年高一上学期期末数学试卷(PDF版,含答案)_2024-2025高一(7-7月题库)_2025年03月试卷_0323江西省抚州市2024-2025学年高一上学期期末考试

江西省抚州市2024-2025学年高一上学期期末数学试卷(PDF版,含答案)_2024-2025高一(7-7月题库)_2025年03月试卷_0323江西省抚州市2024-2025学年高一上学期期末考试

  • 2026-04-10 06:55:28 2026-02-15 23:37:50

文档预览

江西省抚州市2024-2025学年高一上学期期末数学试卷(PDF版,含答案)_2024-2025高一(7-7月题库)_2025年03月试卷_0323江西省抚州市2024-2025学年高一上学期期末考试
江西省抚州市2024-2025学年高一上学期期末数学试卷(PDF版,含答案)_2024-2025高一(7-7月题库)_2025年03月试卷_0323江西省抚州市2024-2025学年高一上学期期末考试
江西省抚州市2024-2025学年高一上学期期末数学试卷(PDF版,含答案)_2024-2025高一(7-7月题库)_2025年03月试卷_0323江西省抚州市2024-2025学年高一上学期期末考试
江西省抚州市2024-2025学年高一上学期期末数学试卷(PDF版,含答案)_2024-2025高一(7-7月题库)_2025年03月试卷_0323江西省抚州市2024-2025学年高一上学期期末考试
江西省抚州市2024-2025学年高一上学期期末数学试卷(PDF版,含答案)_2024-2025高一(7-7月题库)_2025年03月试卷_0323江西省抚州市2024-2025学年高一上学期期末考试
江西省抚州市2024-2025学年高一上学期期末数学试卷(PDF版,含答案)_2024-2025高一(7-7月题库)_2025年03月试卷_0323江西省抚州市2024-2025学年高一上学期期末考试
江西省抚州市2024-2025学年高一上学期期末数学试卷(PDF版,含答案)_2024-2025高一(7-7月题库)_2025年03月试卷_0323江西省抚州市2024-2025学年高一上学期期末考试
江西省抚州市2024-2025学年高一上学期期末数学试卷(PDF版,含答案)_2024-2025高一(7-7月题库)_2025年03月试卷_0323江西省抚州市2024-2025学年高一上学期期末考试

文档信息

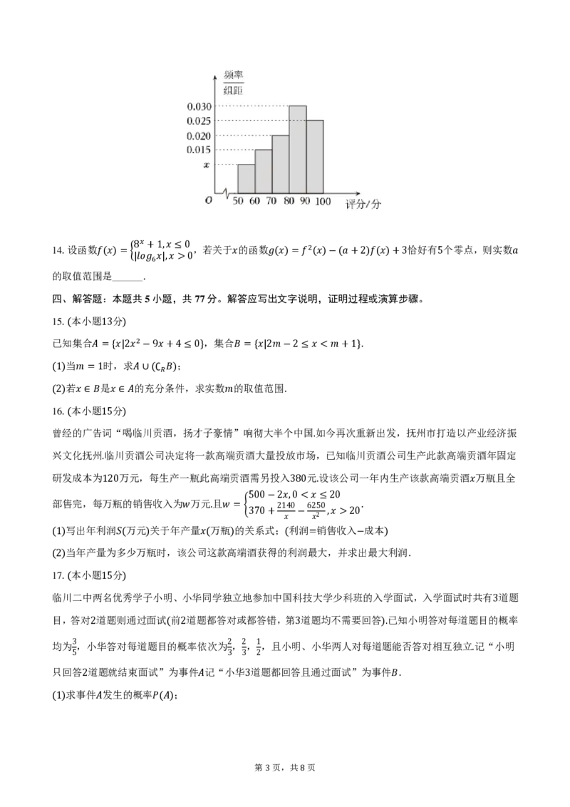
文档格式
pdf
文档大小
0.416 MB
文档页数
8 页
上传时间
2026-02-15 23:37:50

文档内容

江西省抚州市 2024-2025 学年高一上学期期末数学试卷 一、单选题:本题共8小题,每小题5分,共40分。在每小题给出的选项中,只有一项是符合题目要求的。 1.若集合𝐴 ={𝑥|−1<𝑥 ≤3},集合𝐵 ={𝑥 ∈𝑍|𝑥2 <5},则𝐴∩𝐵 =( ) A. {−1,0,1,2} B. {1,2} C. {0,1,2} D. {0,1} 1 1 2.已知𝑎,𝑏 ∈𝑅,那么log 𝑎 >log 𝑏是( )𝑎 <( )𝑏的( ) 2 2 2025 2025 A. 充分不必要条件 B. 必要不充分条件 C. 充要条件 D. 既不充分也不必要条件 3.2024年10月1日是中华人民共和国建国75周年,为弘扬爱国主义精神,共同感受党的伟大历程.抚州市第 一中学高一年级决定从每班随机抽取5名学生参加“祖国在我心”知识竞答.若高一某班有50名学生,将每一 学生从01到50编号,从下面所给的随机数表的第1行第5列的数开始,每次从左向右选取两个数字,则选取 的第四个编号为( ) 7816 6572 0802 6314 0702 4369 9728 0198 3204 9234 4935 8200 3623 4869 6938 7481 A. 14 B. 02 C. 43 D. 07 1 1 4.若幂函数𝑓(𝑥)=𝑥𝑎图象过点( , ),且𝑓(𝑚+2)<𝑓(2𝑚),则实数𝑚的取值范围是( ) 3 9 2 2 A. (− ,2) B. (−2, ) 3 3 2 2 C. (−∞,− )∪(2,+∞) D. (−∞,−2)∪(− ,+∞) 3 3 5.已知函数𝑦=2+log (𝑥−1)(𝑎>0且𝑎 ≠1)的图象恒过定点𝐴,且𝐴点在直线𝑚𝑥−𝑦+𝑛 =0上,则9𝑚+ 𝑎 3𝑛的最小值是( ) A. 9 B. 6 C. 4√ 2 D. 2√ 2 6.波恩哈德⋅黎曼(1866.07.20~1926.09.17)是德国著名的数学家.他在数学分析、微分几何方面作出过重要 贡献,开创了黎曼几何,并给后来的广义相对论提供了数学基础.他提出了著名的黎曼函数,该函数的定义 1 𝑝 ,𝑥 = (𝑝,𝑞 ∈𝑍∗,𝑝,𝑞互质) 域为[0,1],其解析式为:𝐿(𝑥)={𝑞 𝑞 ,下列关于黎曼函数的说法不正确的是( ) 0,𝑥 =0或1或(0,1)内的无理数 A. 𝐿(𝑥)=𝐿(1−𝑥) 1 1 1 1 B. 关于𝑥的不等式𝐿(𝑥)> 𝑥+ 的解集为{ , } 5 5 2 3 第1页,共8页C. 𝐿(𝑎+𝑏)≥𝐿(𝑎)+𝐿(𝑏) D. 𝐿(𝑎)𝐿(𝑏)≤𝐿(𝑎𝑏) 15 7.若函数𝑓(𝑥)在𝑅上是单调函数,且满足对任意𝑥 ∈𝑅,都有𝑓[𝑓(𝑥)−2𝑥−𝑥]=− ,则𝑓(4)=( ) 4 A. 12 B. 14 C. 16 D. 18 8.设函数𝑓(𝑥)的定义域为𝑅,且𝑓(𝑥+4)=2𝑓(𝑥),当𝑥 ∈(0,4]时,𝑓(𝑥)=2𝑥2−8𝑥,若对于∀𝑥 ∈(−∞,𝑡], 3 都有𝑓(𝑥)≥− 恒成立,则𝑡的取值范围是( ) 4 A. (−∞,−11] B. (−∞,−7] C. (−∞,−5] D. (−∞,−3] 二、多选题:本题共3小题,共18分。在每小题给出的选项中,有多项符合题目要求。 9.已知𝑥,𝑦是正数,且2𝑥+𝑦 =1,下列叙述正确的是( ) 1 1 A. 𝑥𝑦最大值为 B. 4𝑥2+𝑦2的最小值为 8 2 2 1 C. √ 2𝑥+√ 𝑦最小值为√ 2 D. + 最小值为9 𝑥 𝑦 10.下列说法正确的是( ) A. 数据12,13,14,15,17,19,23,24,27,30的65%分位数是23 B. 若样本数据𝑥 ,𝑥 ,…,𝑥 的方差为8,则数据2𝑥 −1,2𝑥 −1,…,2𝑥 −1的方差为16 1 2 10 1 2 10 C. 函数𝑓(𝑥+1)的定义域为[0,1],则𝑓(3𝑥)的定义域为[3,9] 2 1 D. 若2𝑎 =3𝑏 =12,则 + 的值为1 𝑎 𝑏 11.已知函数𝑓(𝑥)的定义域是𝑅,对任意的实数𝑥,𝑦满足𝑓(𝑥+𝑦)=𝑓(𝑥)+𝑓(𝑦)+2025,且𝑓(1)=0,当𝑥 >1 时,𝑓(𝑥)>0,则下列结论正确的是( ) A. 𝑓(0)=−2025 B. 𝑓(−2)=6075 C. 函数𝑓(𝑥)为𝑅上的增函数 D. 函数𝑓(𝑥)+2025为奇函数 三、填空题:本题共3小题,共13分。 3𝑥,𝑥 ≥0 12.已知函数𝑓(𝑥)={ ,则𝑓(−6)等于______. 𝑓(𝑥+3),𝑥 <0 13.抚州市政府为了促进十一黄金假期期间文昌里文化街区餐饮服务质量的提升,抚州市旅游管理部门需了 解游客对餐饮服务工作的认可程度.为此该部门随机调查了500名游客,把这500名游客对餐饮服务工作认可 程度给出的评分分成[50,60),[60,70),[70,80),[80,90),[90,100]五组,得到如图所示的频率分布直方图 .则直方图中𝑥的值为______,评分的平均数为______. 第2页,共8页8𝑥+1,𝑥 ≤0 14.设函数𝑓(𝑥)={ ,若关于𝑥的函数𝑔(𝑥)=𝑓2(𝑥)−(𝑎+2)𝑓(𝑥)+3恰好有5个零点,则实数𝑎 |𝑙𝑜𝑔 𝑥|,𝑥 >0 6 的取值范围是______. 四、解答题:本题共5小题,共77分。解答应写出文字说明,证明过程或演算步骤。 15.(本小题13分) 已知集合𝐴 ={𝑥|2𝑥2−9𝑥+4≤0},集合𝐵 ={𝑥|2𝑚−2≤𝑥 <𝑚+1}. (1)当𝑚 =1时,求𝐴∪(∁ 𝐵); 𝑅 (2)若𝑥 ∈𝐵是𝑥 ∈𝐴的充分条件,求实数𝑚的取值范围. 16.(本小题15分) 曾经的广告词“喝临川贡酒,扬才子豪情”响彻大半个中国.如今再次重新出发,抚州市打造以产业经济振 兴文化抚州.临川贡酒公司决定将一款高端贡酒大量投放市场,已知临川贡酒公司生产此款高端贡酒年固定 研发成本为120万元,每生产一瓶此高端贡酒需另投入380元.设该公司一年内生产该款高端贡酒𝑥万瓶且全 500−2𝑥,0<𝑥 ≤20 部售完,每万瓶的销售收入为𝑤万元.且𝑤 ={ 2140 6250 . 370+ − ,𝑥 >20 𝑥 𝑥2 (1)写出年利润𝑆(万元)关于年产量𝑥(万瓶)的关系式;(利润=销售收入−成本) (2)当年产量为多少万瓶时,该公司这款高端酒获得的利润最大,并求出最大利润. 17.(本小题15分) 临川二中两名优秀学子小明、小华同学独立地参加中国科技大学少科班的入学面试,入学面试时共有3道题 目,答对2道题则通过面试(前2道题都答对或都答错,第3道题均不需要回答).已知小明答对每道题目的概率 3 2 2 1 均为 ,小华答对每道题目的概率依次为 , , ,且小明、小华两人对每道题能否答对相互独立.记“小明 5 3 3 2 只回答2道题就结束面试”为事件𝐴记“小华3道题都回答且通过面试”为事件𝐵. (1)求事件𝐴发生的概率𝑃(𝐴); 第3页,共8页(2)求事件𝐴和事件𝐵同时发生的概率𝑃(𝐴𝐵); (3)求小明、小华两人恰有一人通过面试的概率. 18.(本小题17分) 已知二次函数𝑦 =𝑎𝑥2+2𝑥+𝑐. (1)若𝑦>0的解集为{𝑥|−2<𝑥 <4},解关于𝑥的不等式𝑥2−4𝑎𝑥−4𝑐 >0; 𝑎2+𝑐2 (2)若𝑎 >𝑐且𝑎𝑐 =4,求 的最小值; 𝑎−𝑐 𝑎+9𝑐+6 (3)若𝑎 <3,且对任意𝑥 ∈𝑅,不等式𝑦 ≥0恒成立,求 的最小值. 3−𝑎 19.(本小题17分) 若存在实数对(𝑎,𝑏),使得等式𝑓(𝑎+𝑥)⋅𝑓(𝑎−𝑥)=𝑏对定义域中每一个实数𝑥都成立,则称函数𝑓(𝑥)为 “(𝑎,𝑏)型函数”. (1)若函数𝑓(𝑥)=3𝑥是“(𝑎,𝑏)型函数”,且𝑎+log 𝑏 =6,求满足条件的实数对(𝑎,𝑏); 3 2 (2)若函数𝑔(𝑥)=𝜋𝑥是“(𝑎,𝑏)型函数”,求𝑎和𝑏的值; (3)已知函数ℎ(𝑥)=|𝑥−2|,函数𝑔(𝑥)是“(𝑎,𝑏)型函数”,对应的实数对(𝑎,𝑏)为(0,8),当𝑥 ∈(0,2]时,𝑔(𝑥)= 𝑥2−𝑚(𝑥−2).若对任意𝑥 ∈[−2,2]时,都存在𝑥 ∈[−2,0],使得𝑔(𝑥 )=ℎ(𝑥 ),求实数𝑚的取值范围. 1 2 1 2 第4页,共8页1.【答案】𝐶 2.【答案】𝐴 3.【答案】𝐷 4.【答案】𝐶 5.【答案】𝐵 6.【答案】𝐶 7.【答案】𝐷 8.【答案】𝐴 9.【答案】𝐴𝐵𝐷 10.【答案】𝐴𝐷 11.【答案】𝐴𝐶𝐷 12.【答案】0 13.【答案】0.010 79.5 3 14.【答案】( ,2) 2 1 15.【答案】解:𝐴 ={𝑥|2𝑥2−9𝑥+4≤0}={𝑥| ≤𝑥 ≤4},集合𝐵 ={𝑥|2𝑚−2≤𝑥 <𝑚+1}, 2 (1)当𝑚 =1时,𝐵 ={0≤𝑥 <2},∁ 𝐵 ={𝑥}𝑥 ≥2或𝑥 <0}, 𝑅 1 所以𝐴∪(∁ 𝐵)={𝑥|𝑥 <0或𝑥 ≥ }; 𝑅 2 (2)若𝑥 ∈𝐵是𝑥 ∈𝐴的充分条件,则𝐵 ⊆𝐴, 当𝐵 =⌀时,2𝑚−2>𝑚+1,解得𝑚 >3, 𝑚 ≤3 1 5 当𝐵 ≠⌀时,{2𝑚−2≥ ,解得 ≤𝑚 <3, 2 4 𝑚+1<4 5 故𝑚的范围为{𝑚|𝑚 ≥ }. 4 16.【答案】解:(1)当0<𝑥 ≤20时,𝑆(𝑥)=𝑥𝑤(𝑥)−380𝑥−120=𝑥(500−2𝑥)−380𝑥−120=−2𝑥2+ 2140 6250 120𝑥−120,当𝑥 >20时,𝑆(𝑥)=𝑥𝑤(𝑥)−380𝑥−120=𝑥(370+ − )−380𝑥−120=−10𝑥− 𝑥 𝑥2 6250 +2020; 𝑥 −2𝑥2+120𝑥−120,0<𝑥 ≤20 综上,𝑆(𝑥)={ 6250 ; −10𝑥− +2020,𝑥 >20 𝑥 第5页,共8页(2)当0<𝑥 ≤20时,𝑆(𝑥)=−2𝑥2+120𝑥−120=−2(𝑥−30)2+1680, 函数的对称轴是𝑥 =30,则函数在(0,20]上单调递增, 所以当𝑥 =20时,𝑆(𝑥)取得最大值1480; 625 625 当𝑥 >20时,𝑆(𝑥)=−10(𝑥+ )+2020≤−10×2√ 𝑥⋅ +2020=1520, 𝑥 𝑥 625 当且仅当𝑥 = ,即𝑥 =25时取等号,此时𝑆的最大值为1520, 𝑥 因为1480<1520, 所以当年产量为25万台时,该公司获得的利润最大,为1520万元. 3 2 13 17.【答案】解:(1)根据题意:𝑃(𝐴)=( )2+( )2 = ; 5 5 25 2 1 1 1 2 1 2 (2)根据题意,小华3道题都回答且通过面试的概率为𝑃(𝐵)= × × + × × = , 3 3 2 3 3 2 9 13 2 26 故𝑃(𝐴𝐵)= × = ; 25 9 225 (3)记小明没有通过面试为事件𝐶, 即分前两道回答对一道且最后一道错误和前两道均回答错误两种情况, 3 2 2 2 3 2 2 2 44 则小明没有通过面试的概率为𝑃(𝐶)= × × + × × + × = , 5 5 5 5 5 5 5 5 125 − 44 81 则小明通过面试的概率为𝑃(𝐶)=1− = , 125 125 2 2 2 2 记小华通过面试的事件为𝐷,则𝑃(𝐷)= + × = , 9 3 3 3 − − 81 1 44 2 169 故小明、小华两人恰有一人通过面试的概率𝑃 =𝑃(𝐷𝐶+𝐷𝐶)= × + × = . 125 3 125 3 375 18.【答案】解:二次函数𝑦 =𝑎𝑥2+2𝑥+𝑐, (1)因为𝑦 >0的解集为{𝑥|−2<𝑥 <4}, 所以𝑎𝑥2+2𝑥+𝑐 =0的两根为−2,4,𝑎 <0, 2 −2+4=− 则{ 𝑎,解得𝑎 =−1,𝑐 =8, 𝑐 −2×4= 𝑎 不等式𝑥2−4𝑎𝑥−4𝑐 >0可化为𝑥2+4𝑥−32>0, 解得𝑥 >4或𝑥 <−8, 故原不等式的解集为{𝑥|𝑥 >4或𝑥 <−8}; (2)若𝑎 >𝑐且𝑎𝑐 =4, 𝑎2+𝑐2 (𝑎−𝑐) 2 +2𝑎𝑐 8 8 = =𝑎−𝑐+ ≥2√ (𝑎−𝑐)⋅ =4√ 2,当且仅当𝑎−𝑐 =2√ 2时取等号, 𝑎−𝑐 𝑎−𝑐 𝑎−𝑐 𝑎−𝑐 第6页,共8页𝑎2+𝑐2 所以 的最小值为4√ 2; 𝑎−𝑐 (3)若𝑎 <3,且对任意𝑥 ∈𝑅,不等式𝑦 ≥0恒成立, 则𝛥=4−4𝑎𝑐 ≤0,即𝑎𝑐 ≥1,𝑎 >0, 3 令𝑡 = −1,𝑡 >0, 𝑎 𝑎+9𝑐+6 ≥ 𝑎+ 9 𝑎 +6 = 1+ 𝑎 9 2 + 6 𝑎= 1+(𝑡+1) 2 +2(𝑡+1) =𝑡+ 4 +4≥2√ 𝑡⋅ 4 +4=8, 3−𝑎 3−𝑎 3 −1 𝑡 𝑡 𝑡 𝑎 3 当且仅当𝑎𝑐 =1, =3,即𝑎 =1,𝑐 =1时取等号, 𝑎 𝑎+9𝑐+6 所以 的最小值为8. 3−𝑎 19.【答案】解:(1)因为𝑓(𝑥)=3𝑥是“(𝑎,𝑏)型函数”, 所以存在实数对(𝑎,𝑏)使得等式3𝑎+𝑥⋅3𝑎−𝑥 =𝑏成立, 即32𝑎 =𝑏, 代入𝑎+log 𝑏 =6,可得𝑎+𝑙𝑜𝑔 32𝑎 =6, 3 3 即𝑎 =2,𝑏 =34 =81, 所以满足条件的实数对为(2,81); 2 (2)由𝑔(𝑥)=𝜋𝑥是(𝑎,𝑏)型函数, 2 2 2 2 得𝑔(𝑎+𝑥)⋅𝑔(𝑎−𝑥)=𝜋𝑎+𝑥⋅𝜋𝑎−𝑥 =𝜋𝑎+𝑥 + 𝑎−𝑥 =𝑏, 4𝑎 则 =𝑙𝑜𝑔 𝑏, (𝑎+𝑥)⋅(𝑎−𝑥) 𝜋 因此4𝑎 =𝑙𝑜𝑔 𝑏⋅𝑎2−𝑙𝑜𝑔 𝑏⋅𝑥2对定义域{𝑥|𝑥 ≠0}内任意𝑥恒成立, 𝜋 𝜋 −𝑙𝑜𝑔 𝑏 =0 于是{ 𝜋 ,解得𝑎 =0,𝑏 =1, 𝑙𝑜𝑔 𝑏⋅𝑎2 =4𝑎 𝜋 所以𝑎 =0,𝑏 =1; (3)因为对任意𝑥 ∈[−2,2]时,都存在𝑥 ∈[−2,0],使得𝑔(𝑥 )=ℎ(𝑥 )成立, 1 2 1 2 所以𝑔(𝑥)在[−2,2]上的值域是ℎ(𝑥)在[−2,0]上的值域的子集, 又因为当𝑥 ∈[−2,0]时,ℎ(𝑥)=|𝑥−2|∈[2,4], 所以对任意𝑥 ∈[−2,2],都有2≤𝑔(𝑥)≤4, 因为𝑔(𝑥)是“(𝑎,𝑏)型函数”,且对应的实数对为(0,8), 所以𝑔(𝑥)⋅𝑔(−𝑥)=8. 当𝑥 ∈[0,2]时,−𝑥 ∈[−2,0], 第7页,共8页8 则只需满足对任意𝑥 ∈[0,2],都有2≤𝑔(𝑥)≤4且2≤𝑔(−𝑥)= ≤4成立, 𝑔(𝑥) 即对任意𝑥 ∈[0,2],都有2≤𝑔(𝑥)≤4即可, 即不等式2≤𝑥2−𝑚(𝑥−2)≤4对任意𝑥 ∈(0,2]恒成立且2≤𝑔(0)≤4. ①当𝑥 =0时,𝑔(0)⋅𝑔(0)=8,𝑔(0)=2√ 2时满足条件; ②当𝑥 =2时,𝑔(2)=4,满足条件; 2−𝑥2 ③当𝑥 ∈(0,2)时,该不等式等价于 ≤𝑚 ≤2+𝑥, 2−𝑥 当𝑥 ∈(0,2)时,𝑚 ≤𝑥+2恒成立, 易知𝑚 ≤2; 2−𝑥2 当𝑥 ∈(0,2)时,𝑚 ≥ 恒成立, 2−𝑥 2−𝑥2 所以𝑚 ≥( ) , 2−𝑥 𝑚𝑎𝑥 2 2 𝑚 ≥−(2−𝑥+ )+4,−(2−𝑥+ )+4≤4−2√ 2, 2−𝑥 2−𝑥 当且仅当𝑥 =2−√ 2取等号,即𝑚 ≥4−2√ 2; 综上,𝑚 ∈[4−2√ 2,2]. 第8页,共8页