当前位置:首页>文档>第05讲实验:探究小车速度随时间变化的规律(解析版)_2024-2025高一(7-7月题库)_2024年7月试卷

第05讲实验:探究小车速度随时间变化的规律(解析版)_2024-2025高一(7-7月题库)_2024年7月试卷

  • 2026-04-15 23:28:49 2026-02-16 07:25:32

文档预览

第05讲实验:探究小车速度随时间变化的规律(解析版)_2024-2025高一(7-7月题库)_2024年7月试卷
第05讲实验:探究小车速度随时间变化的规律(解析版)_2024-2025高一(7-7月题库)_2024年7月试卷
第05讲实验:探究小车速度随时间变化的规律(解析版)_2024-2025高一(7-7月题库)_2024年7月试卷
第05讲实验:探究小车速度随时间变化的规律(解析版)_2024-2025高一(7-7月题库)_2024年7月试卷
第05讲实验:探究小车速度随时间变化的规律(解析版)_2024-2025高一(7-7月题库)_2024年7月试卷
第05讲实验:探究小车速度随时间变化的规律(解析版)_2024-2025高一(7-7月题库)_2024年7月试卷
第05讲实验:探究小车速度随时间变化的规律(解析版)_2024-2025高一(7-7月题库)_2024年7月试卷
第05讲实验:探究小车速度随时间变化的规律(解析版)_2024-2025高一(7-7月题库)_2024年7月试卷
第05讲实验:探究小车速度随时间变化的规律(解析版)_2024-2025高一(7-7月题库)_2024年7月试卷
第05讲实验:探究小车速度随时间变化的规律(解析版)_2024-2025高一(7-7月题库)_2024年7月试卷
第05讲实验:探究小车速度随时间变化的规律(解析版)_2024-2025高一(7-7月题库)_2024年7月试卷
第05讲实验:探究小车速度随时间变化的规律(解析版)_2024-2025高一(7-7月题库)_2024年7月试卷
第05讲实验:探究小车速度随时间变化的规律(解析版)_2024-2025高一(7-7月题库)_2024年7月试卷
第05讲实验:探究小车速度随时间变化的规律(解析版)_2024-2025高一(7-7月题库)_2024年7月试卷
第05讲实验:探究小车速度随时间变化的规律(解析版)_2024-2025高一(7-7月题库)_2024年7月试卷
第05讲实验:探究小车速度随时间变化的规律(解析版)_2024-2025高一(7-7月题库)_2024年7月试卷
第05讲实验:探究小车速度随时间变化的规律(解析版)_2024-2025高一(7-7月题库)_2024年7月试卷
第05讲实验:探究小车速度随时间变化的规律(解析版)_2024-2025高一(7-7月题库)_2024年7月试卷
第05讲实验:探究小车速度随时间变化的规律(解析版)_2024-2025高一(7-7月题库)_2024年7月试卷
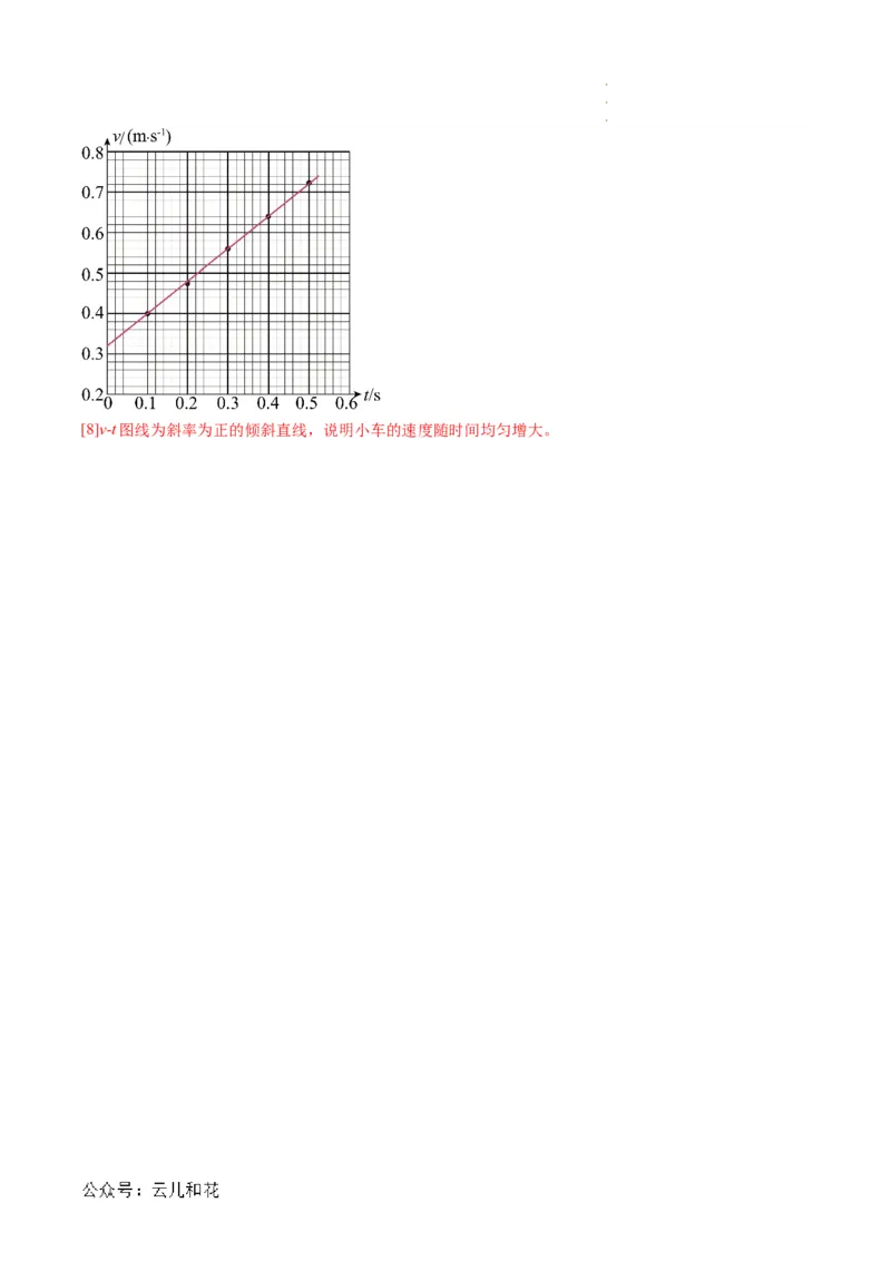
第05讲实验:探究小车速度随时间变化的规律(解析版)_2024-2025高一(7-7月题库)_2024年7月试卷
第05讲实验:探究小车速度随时间变化的规律(解析版)_2024-2025高一(7-7月题库)_2024年7月试卷
第05讲实验:探究小车速度随时间变化的规律(解析版)_2024-2025高一(7-7月题库)_2024年7月试卷
第05讲实验:探究小车速度随时间变化的规律(解析版)_2024-2025高一(7-7月题库)_2024年7月试卷
第05讲实验:探究小车速度随时间变化的规律(解析版)_2024-2025高一(7-7月题库)_2024年7月试卷
第05讲实验:探究小车速度随时间变化的规律(解析版)_2024-2025高一(7-7月题库)_2024年7月试卷
第05讲实验:探究小车速度随时间变化的规律(解析版)_2024-2025高一(7-7月题库)_2024年7月试卷
第05讲实验:探究小车速度随时间变化的规律(解析版)_2024-2025高一(7-7月题库)_2024年7月试卷
第05讲实验:探究小车速度随时间变化的规律(解析版)_2024-2025高一(7-7月题库)_2024年7月试卷
第05讲实验:探究小车速度随时间变化的规律(解析版)_2024-2025高一(7-7月题库)_2024年7月试卷
第05讲实验:探究小车速度随时间变化的规律(解析版)_2024-2025高一(7-7月题库)_2024年7月试卷

文档信息

文档格式
docx
文档大小
9.050 MB
文档页数
30 页
上传时间
2026-02-16 07:25:32

文档内容

第 05 讲 实验:探究小车速度随时间变化的规律 模块一 思维导图串知识 1.通过实验探究物体速度随时间变化的规律,为 模块二 基础知识全梳理(吃透教材) 建构匀变速直线运动的模型奠定基础; 模块三 教材习题学解题 2.描绘物体运动的v-t图像,并通过对拟合的图线 模块四 核心考点精准练(7大考点) 进行观察、思考,找出速度变化的规律; 模块五 小试牛刀过关测 3.经历探究小车速度随时间变化的规律,体会研 究直线运动的一般思路。 1.实验思路 (1)要研究小车在重物的牵引下速度随时间变化的规律,需要测量小车在不同时刻的 ,而 具有此功能。 (2)实验方案 如图所示,把一端带有 的长木板平放在实验桌上,木板上放一个可以左右移动 的 ,小车一端连接穿过打点计时器的 ,另一端连接绕过滑轮系有 的细绳。 小车在槽码的牵引下运动,通过研究纸带上的信息,就可以知道小车运动的速度是怎样随时 学科网(北京)股份有限公司间变化的。 (3)实验器材 打点计时器(带导线)、 、纸带、一端附有定滑轮的长木板、小车、细绳、槽 码、 、复写纸、坐标纸。 2.进行实验 (1)把小车停在 打点计时器的位置。 ,然后 ,让它拖着纸带运 动。于是,打点计时器在纸带上打下一行小点。随后,立即 。 (2) 所挂的槽码(或在小车上放置重物),更换纸带,再做两次实验。 3.数据记录 (1)挑选纸带并测量 为了便于测量,舍掉纸带开头一些 的点,找一个适当的点当作计时起点(0点), 选择相隔0.1 s(或更短)的若干计数点进行测量,如图所示,并将测得的各计数点到计时起点 的距离x 、x 、x 、…、x ,记入自己设计的表格。 1 2 3 n (2)计算各计数点的瞬时速度并记录 利用v=得出各计数点的瞬时速度,填入表中标有“v ”的一行。 1 同理,计算 槽码后两次实验的速度,分别填入表中标有“v ”和“v ”的两行内。 2 3 表 小车在几个时刻的瞬时速度 位置编号 0 1 2 3 4 5 6 … 时间t/s 0 0.1 0.2 0.3 0.4 0.5 0.6 v /(m·s-1) 1 v /(m·s-1) 2 学科网(北京)股份有限公司v /(m·s-1) 3 … 4.数据分析 (1)作vt图像 以时间t为横轴、速度v为纵轴建立直角坐标系,根据表中的 v、t数据,在坐标系中描点 作出vt图像。应该使所画曲线通过尽可能多的点,如果有些点难以落在曲线上,应该使它们 大致均匀地分布在曲线两侧。这样曲线就更符合实际的规律。 (2)分析数据,得出结论 分析小车运动的vt图像,可得出结论:小车在重物的牵引下,速度随时间 ,即 加速度 。 5.注意事项 (1)槽码个数应适当,使纸带上打出的点不要太少,也不要太密集。 (2)牵引小车的细绳及纸带应平行于长木板上表面。 (3)为避免小车跟滑轮相碰,在长木板有滑轮的一端装上带弹簧的钉子(或橡皮泥)。 (4)开始释放小车时,应使小车靠近打点计时器。 (5)先接通电源,等打点稳定后,再释放小车。 (6)打点完毕,立即断开电源。 (7)选取点迹清晰的纸带,舍弃点迹过于密集的部分,适当选取计数点(注意计数点与计时 点的区别),弄清楚相邻两计数点的时间间隔T等于多少秒。 (8)在坐标纸上画vt图像时,注意坐标轴单位长度的选取,应使图像尽量分布在坐标平面 较大的范围内。 6.误差分析 学科网(北京)股份有限公司(1)木板的粗糙程度不同,摩擦不均匀带来的误差。 (2)根据纸带测量的位移有误差,从而使计算出的瞬时速度有误差。 (3)作图不准带来的误差。 【参考答案】1.实验思路:(1)瞬时速度、打点计时器;(2)滑轮、小车、纸带、槽码;(3)交 流电源、刻度尺; 2.进行实验 (1)靠近、启动计时器、放开小车、关闭电源;(2)增减 3.数据记录:(1)过于密集、增减; 4.数剧分析:(2)均匀增加、不变 教材习题01 解题方法 为研究实验小车沿斜面向下运动的规律,把打点计时器纸带的一端固定在小 ①每隔0.1s剪断得到的纸 车上,小车拖动纸带运动时,纸带上打出的点如图所示。 带长度之比为平均速度之 比 ②平均速度之比也等于中 间时刻的速度之比 (1)某同学用以下方法绘制了小车运动的 图像。先把纸带每隔0.1s剪断, 得到若干短纸条。再把这些纸条并排贴在一张纸上,使这些纸条下端对齐, 作为时间坐标轴,标出时间。最后将纸条上端中心连起来,于是得到 图 像。请你按以上办法(用一张薄纸压在图上,复制得到纸带)绘制这个 图像。 (2)这样做有道理吗?说说你的看法。 【答案】(1)根据纸带可以得出对应的图象如图所示; (2)因为剪断的纸带所用的时间都是t=0.1s,即时间t相等,所以纸带的长度之比等于此段纸带的平均速度 之比;而此段纸带的平均速度等于这段纸带中间时刻的速度,最后得出结论纸带的长度之比等于此段纸带 的平均速度之比,还等于各段纸带中间时刻的速度之比,即纸带的高度之比等于中间时刻速度之比。因此 该做法是合理的。 学科网(北京)股份有限公司教材习题02 解题方法 列车沿长直坡路向下行驶。开始时速度表上的示数 ①速度单位的换算:1m/s=3.6km/h 是54 ,以后每5s读取一次数据,见表 ②根据速度值建立如图所示坐标, 表列车速度表 描点且将点拟合成一条直线 时间 0 5 10 15 20 25 30 速度 54 59 65 70 76 81 86 速度 (1)在表中填写以 为单位表示的速度值。 (2)作出列车速度与时间关系的 图像。 【答案】(1) 15m/s;16.4m/s;18.1m/s;19.4m/s;21.2m/s;22.5m/s;23.9m/s; (2) 考向一:实验器材与原理 【例1】在“探究小车速度随时间变化的规律”的实验中,使用电磁打点计时器(所用交流电的频率为 50Hz),得到如图所示的纸带,图中的点为计数点,相邻两计数点间还有四个点未画出来,下列表述正确 学科网(北京)股份有限公司的是( ) A.实验时应先放开纸带再接通电源 B.从纸带上不可能求出计数点C对应的速率 C.从纸带上可以求出计数点B对应的速率 D.相邻两个计数点间的时间间隔为0.02s 【答案】C 【详解】A.在“研究匀变速直线运动”的实验中,实验时应先接通电源再放开纸带,A错误; BC.根据C点为B与D的中间时刻点,则有 故B错误; 同理可得 故C正确; D.由于相邻的计数点之间还有4个点没有画出,所以时间间隔应为0.1s,D错误。 故选C。 考向二:实验步骤 【例2】两实验小组的同学分别做“探究小车的速度随时间变化的规律”的实验。 (1)甲组同学从实验室已经领取了以下器材∶一端装有定滑轮的长木板、小车、纸带、钩码、轻细绳、 6V交流电源。为了完成本实验,还须从图中选取部分实验器材,其名称分别为 、 。 (2)乙组同学另外从实验室领取了一套器材他们所选用的计时器为电火花计时器,使用电火花计时器时 的基本步骤如下∶ A.当纸带完全通过电火花计时器后,及时关闭电火花计时器; B.将电火花计时器插头插入相应的电源插座; C.把计时器固定在长木板上,将纸带从墨粉纸盘下面穿过打点计时器; D.接通开关,听到放电声,立即拖动纸带。 学科网(北京)股份有限公司上述步骤正确的顺序是 (按顺序填写步骤前的字母)。 【答案】 电磁打点计时器 刻度尺 CBDA 【详解】(1)[1][2]电火花计时器使用的是220V的交流电,电磁打点计时器使用的是4~6V的交流电,所 以应选择电磁打点计时器,实验中还需要刻度尺测量计数点间的距离; (2)[3]实验时,应先安装装置,然后接通电源,释放纸带,实验完毕整理器材,所以顺序为CBDA。 考向三:利用纸带计算某点的瞬时速度 【例3】在“探究小车速度随时间变化的规律”实验中,获得如图所示的纸带,A、B、C、D、E、F、G 为计数点,相邻两计数点的时间间隔为T, 、 、 、 、 、 分别为AB、BC、CD、DE、EF、FG 间的距离,下列可用来计算打D点时小车速度的表达方式有( ) A. B. C. D. 【答案】BD 【详解】若取CE段的平均速度表示D点小车速度, = ,A、C错误,D正确;若取BF段的平均 速度表示D点小车速度, = ,B正确。 考向四:用逐差法计算加速度 【例4】电磁打点计时器和电火花打点计时器都是一种 仪器,当电源的频率为50Hz时,这两种仪 器打点的时间间隔都为 s。某次实验时,物体的速度均匀增大,某同学得到了几条较为理想的纸带。 他在每条纸带上按每5个点取个计数点,即相邻两计数点之间的时间间隔为 s, 依打点的先后次序 编号0、1、2、3、4、5。由于不小心,几条纸带都被撕断了。如图所示,请根据给出的A、B、C、D四段 纸带回答: (1)在B、C、D三段纸带中选出从纸带A上撕下的那段,应该是 。 (2)打A纸带时,物体的加速度大小是 。 【答案】 计时 0.02 0.10 C 0.60 【分析】本题考查实验中通过打点计时器求加速度。 【详解】[1]打点计时器是一种计时仪器 [2]电源频率为50Hz时,打点间隔为0.02s。 学科网(北京)股份有限公司[3]每5个点取一个计数点,则相邻两计数点间的时间间隔为 。 (1)[4]由于物体的速度均匀增大,在连续相等时间内的位移之差应为一定值,可得 由图中数据可知, 段纸带: B段纸带: C段纸带: D段纸带: 可见只有 段纸带满足 所以从 纸带上撕下的那段应是 段。 (2)[5] 物体的加速度大小: 。 考向5:描绘v-t图像并求加速度 【例5】某同学在“用打点计时器测速度”的实验中,用打点计时器记录了被小车拖动的纸带的运动情况 (交流电频率是50Hz),在纸带上确定出A、B、C、D、E、F、G共7个计数点。其相邻点间的距离如图 所示,每两个相邻的计数点之间有四个点未画出。(以下计算结果保留3位有效数字)。 (1)电磁打点计时器是一种使用交流电源的计时仪器,根据打点计时器打出的纸带,下列选项中: A.时间间隔 B.位移 C.平均速度 D.瞬时速度 我们可以从纸带上直接得到的物理量是 ,测量得到的物理量是 ,通过计算能得到的物理量是 (填选项前的字母)。 (2)根据纸带上各个计数点间的距离,计算出打下B、C、D、E、F五个点时小车的瞬时速度,各个速度 值如下表。计算出B点速度的大小 。 v v v v v B C D E F 学科网(北京)股份有限公司数值/(m·s- 0.479 0.560 0.640 0.721 1) 将B、C、D、E、F各个时刻的瞬时速度标在直角坐标系中,并画出小车的瞬时速度随时间变化的关系图 线 。 (3)根据图像求出小车的加速度a= 。 【答案】 A B CD/DC 0.400 0.803m/s2 【详解】(1)[1]因为打点计时器的频率为50Hz ,则从纸带上直接得到的物理量是时间间隔,相邻的点 迹(计时点)之间的时间间隔为0.02s ,故选A; [2]可以用刻度尺测量出小车的位移大小,故选B; [3]平均速度和瞬时速度的大小可以通过位移大小与对应的时间间隔计算出来。故选CD。 (2)[4]每两个相邻的计数点之间有四个点未画,则相邻的计数点之间的时间间隔为 根据速度公式可知,B点的瞬时速度 [5]根据计算的 点速度及表中其他各点的速度在坐标系中描点连线,如图所示 学科网(北京)股份有限公司(3)[6]选用图像中距离较远的两点求解加速度误差更小,根据图像可知小车的加速度 一、单选题 1.在“探究小车速度随时间变化的规律”实验中,下列说法正确的是( ) A.分别逐个测出每两个相邻计数点间的距离,这样便于记录 B.为使测量更为严谨,应把打下的第一个点作为第一个测量点 C.为了便于测量,应舍掉开头一些过于密集的点,找一个适当的点当作计时起点 D.两相邻计数点间的时间间隔必须是0.1 s 【答案】C 【详解】A.测量每两个相邻计数点间的距离时,应该用毫米刻度尺的零刻度对准计时起点,一次读出各 计数点对应的刻度值,然后逐一相减,得到每两个相邻计数点间距离的数值,故A错误; BC。纸带上开始时打的点比较密集,点距过小,测量误差较大,故应舍去,找一个适当的点当作计时起点, 故B错误,C正确; D.选取计数点,可增加测量距离,减小测量过程所产生的误差,两相邻计数点间的时间间隔不一定取0.1 s,故D错误。 故选C。 2.对于同一电磁打点计时器,下列说法中不正确的是 ( ) A.当交流电的频率增大时,打点时间间隔变小 B.当交流电的频率增大时,打点时间间隔变大 C.当纸带运动速度增大时,打点时间间隔不变 D.当纸带运动速度增大时,打点距离间隔增大 【答案】B 【分析】打点计时器的打点时间间隔是由所通交流电的频率决定的,为 ;打点的距离间隔是由纸带 运动的速度和打点时间间隔共同决定的,为 ; 学科网(北京)股份有限公司【详解】A.由 可知,当交流电的频率f增大时,打点时间间隔t变小,故A正确; B.由 可知,当交流电的频率f增大时,打点时间间隔t变小,故B错误; C.由 可知,当纸带运动速度 增大时,打点时间间隔t不变,故C正确; D.由 可知,当纸带运动速度 增大时,打点距离间隔 增大,故D正确; 本题选择不正确,故而选B. 3.在“探究小车速度随时间变化的规律”的实验中,下列说法中正确的是( ) A.长木板一定要水平摆放,不能一端高一端低 B.使用刻度尺测量长度时,不必估读 C.使用刻度尺测量长度时,要估读到最小刻度的下一位 D.作v-t图象时,所描曲线必须经过每一个点 【答案】C 【详解】A. 做这个实验时,让小车做变速运动即可,不考虑平衡摩擦力,所以长木板可以水平摆放,也 可以一端高一端低,故A错误; BC. 使用刻度尺测量长度时,,要估读到最小刻度的下一位,故B错误,C正确; D. 作v-t图象时,用平滑的曲线尽可能多地通过所描的点,但不必经过每一个点,故D错误. 4.在用打点计时器探究匀变速直线运动的速度随时间变化规律的实验中,获得的一段纸带如图所示,A、 B、C、D为相邻的四个计数点,已知AB=1.80cm,BC=2.00cm,CD=2.20cm,相邻两计数点间的时间间隔 为0.1s.关于该实验,下列说法正确的是( ) A.相邻两计数点间的时间间隔为0.1s是用秒表测出的 B.实验时应先释放小车再接通电源 C.打点计时器打C点时,小车的速度为0.42m/s D.小车运动的加速度是0.2m/s2 【答案】D 【详解】A.按打点先后顺序每5个点取1个计数点,所以相邻的计数点间的时间间隔T=0.1s,并不是秒 表测量出的,故A错误; B.实验时应先接通电源,再释放小车,故B错误; C.利用匀变速直线运动的推论得 故C错误; D.根据匀变速直线运动的推论公式 学科网(北京)股份有限公司△x=aT2 可以求出加速度的大小得 故D正确。 故选D。 5.如图所示,这是用手拉动纸带通过打点计时器得到的点迹,已知打点计时器所接电源的周期为 ,要计 算打点计时器打 点时纸带的瞬时速度,下列做法中误差最小的是( ) A.测量出 、 两点间的距离 ,利用平均速度的公式,得出 B.测量出 、 两点间的距离 ,利用平均速度的公式,得出 C.测量出 、 两点间的距离 ,利用平均速度的公式,得出 D.测量出 、 两点间的距离 ,利用平均速度的公式,得出 【答案】B 【详解】AB.平均速度 当 无限趋近于零时,平均速度就等于瞬时速度,所以时间越短,位移越小,平均速度越接近瞬时速度, 误差越小,A错误B正确; CD.平均速度 当 无限趋近于零时,平均速度就等于瞬时速度, 但是当 无限趋近于零时,不是接近E点的位置, 而是远离,所以误差越来越大,CD错误。 故选B。 6.如下图所示是同一打点计时器打出的4条纸带,哪条纸带的加速度最大 A. B. C. D. 【答案】A 【详解】同一打点计时器打出的四条纸带,点迹间的时间间隔相等,设为T.根据逐差相等公式 x=aT2可 知,点迹间位移差 x越大,加速度越大,据图可以看出,A图的点与点之间的距离差最大,故A的加速 △ △ 学科网(北京)股份有限公司度最大.故A正确、BCD错误.故选A. 二、多选题 7.在用打点计时器“探究小车速度随时间变化的规律”的实验中,某同学将打点计时器打出的三条纸带, 分别以间隔相同点迹的方式依次剪成短纸条,按先后顺序一端对齐粘贴在一起.然后用平滑线段将各段纸 带顶端的中点连起来,如图甲、乙、丙所示,则根据纸带的特点即可研究物体的速度随时间的变化规律. 以下说法正确的是( ) A.图甲表示物体处于静止 B.图乙表示物体做匀速直线运动 C.图乙表示物体的速度随时间均匀增加 D.图丙表示物体的速度先随时间均匀增加,后保持不变 【答案】CD 【详解】试题分析:甲图中表示任意相等时间内发生的位移相等,表示物体做匀速直线运动,所以A错误; 乙图中表示相等时间内的位移差值相等,根据△x=at2>0可知,物体做匀加速直线运动,所以B错误;根 据△x="a" t2可知,物体做匀加速直线运动,所以C正确;根据以上分析可知,丙图表示物体先做匀加速直 线运动后做匀速直线运动,所以D正确;故选CD. 三、实验题 8.(1)在“用打点计时器测速度”的实验中:要用到打点计时器,打点计时器是一种计时仪器,其电源 频率为50Hz,常用的电磁打点计时器和电火花计时器使用的是 (直流电,交流电),它们是 每隔 s打一个点。 (2)在“用打点计时器测速度”的实验中:除打点计时器(含纸带、复写纸)、小车、一端附有滑轮的 长木板、细绳、钩码、导线及开关外,在下面仪器和器材中,必须使用的有 (填选项代号) A.电压合适的50Hz交流电源 B.电压可调的直流电源 C.刻度尺 D.秒表 E.天平 (3)实验过程中,下列做法正确的是 A.先释放小车,再接通电源 B.先接通电源,再释放小车 C.将接好纸带的小车停在靠近滑轮处 D.将接好纸带的小车停在靠近打点计时器处 【答案】 交流电 0.02 AC/CA BD/DB 【详解】(1)[1]常用的电磁打点计时器和电火花计时器使用的是交流电。 学科网(北京)股份有限公司[2]电源频率为50Hz,则每隔 打一个点。 (2)[3] AB.电压合适的50Hz交流电源,A正确,B错误; C.刻度尺用来测纸带上计数点间的距离,C正确; D.打点计时器就是计时仪器,不需要秒表,D错误; E.实验是“用打点计时器测速度”的,因此不需要天平测小车的质量,E错误。 故选AC。 (3)[4] A.先释放小车,再接通电源,这样纸带利用率很低,纸带上会得到很少的数据,会产生较大的 实验误差,A错误; [2] B.先接通电源,带打点计时器打点稳定后再释放小车,纸带会得到充分利用,纸带上会得到更多的数 据,会减小实验误差,B正确; CD.将接好纸带的小车停在靠近打点计时器处,小车会在长木板上运动更长的距离,纸带上会打出更多的 计数点,从而得到更多的数据,C错误,D正确。 故选BD。 9.(1)使用电磁打点计时器时,应将计时器接到 A.直流电源上 B.交流电源上 C.直流、交流电源均可 (2)如图,使用电火花打点计时器来分析木块拖动纸带运动情况,如下基本步骤中,正确的排列顺序为: A.安装好纸带 B.把电火花打点计时器固定在桌子上 C.松开纸带让小车带着纸带运动开始打点 D.接通220V电源 E.关闭电源,取下纸带 【答案】 B BADCE 【详解】(1)[1]使用电磁打点计时器时,应将计时器接到交流电源上,故选B。 (2)[2]先把电火花打点计时器固定在桌子上并安装好纸带,之后接通220V电源,松开纸带让小车带着纸 带运动开始打点,待小车运动适当距离后,关闭电源,取下纸带,故正确的排列顺序为BADCE。 10.某次实验电磁打点计时器使用的交流电的频率为50Hz,纸带的记录如图所示,图中O点为纸带的第 一个点,接下来的几个点模糊,因此从A点开始每打五个点取一个计数点。 学科网(北京)股份有限公司(1)使用的电源是 (选填“交流8V”或“交流220V”)。 (2)推测纸带的运动是加速运动还是减速运动? (3)在 两点的时间间隔中,纸带运动的平均速度是 。 (4)B点的瞬时速度为 。 【答案】 交流8V 加速运动 0.365m/s 0.252m/s 【详解】(1)[1]电磁打点计时器用的是低压交流电,电火花计时器用的220V的交流电,故选8V交流; (2)[2]相邻两点间的距离越来越大,说明物体在做加速运动; (3)[3]由题知,从A点开始每打五个点取一个计数点,故相邻计数点的时间为 根据平均速度公式有 (4)[4]B点的瞬时速度可以用AC间的平均速度来表示,故 11.小华同学在做“用打点计时器测速度”的实验时,从打下的若干纸带中选出了如图所示的一条纸带, 已知打点计时器使用的电源频率为50 Hz,每两个相邻计数点间有四个点没有画出,各计数点到0点的距 离已在图中标出。 (1)为了达到实验的目的,除了有打点计时器、纸带、小车、细绳、导线、低压交变电源、槽码、长木 板外,还需要的仪器有 ; A.刻度尺 B.铁架台 C.停表 D.天平 (2)图中两相邻计数点间的时间间隔为T= s; (3)根据纸带提供的信息,小华同学已经计算出了打下1、2、3、4、6这五个计数点时小车的速度,请你 帮助他计算出打下计数点5时小车的速度v= m/s。 5 【答案】 A 0.1 0.53 学科网(北京)股份有限公司【详解】(1)[1]A.本实验需要刻度尺测量纸带上的点间距,故A需要; B.该实验在水平桌面上进行实验,不需要铁架台,故B不需要; C.因为打点计时器本身就是计时仪器,所以不需要秒表,故C不需要; D.该实验不需要测量槽码和小车的质量,故D不需要。 故选A; (2)[2]交流电的频率为50Hz,即每隔0.02s打一个点,每两个相邻计数点间有四个点没有画出,所以相 邻计数点间的时间间隔为 T=0.02×5s=0.1s (3)[3]打下计数点5时小车的瞬时速度为 12.在“用打点计时器探究匀变速直线运动速度随时间的变化规律”实验中: (1)安装纸带时,应将纸带置于复写纸(或墨粉纸盘)的 (选填“上方”或“下方”)。 (2)下方为实验中打出的一段纸带,计时器打点的时间间隔为0.02s.根据所给的纸带,请你利用刻度尺 进行测量,求得P点的速度为 m/s。(保留小数点后两位) 【答案】 下方 【详解】(1)[1]使用打点计时器时,纸带应穿过限位孔,复写纸要放在纸带的上面,即将纸带置于复写纸 (或墨粉纸盒)的下方。 (2)[2]设纸带上 点的左边计数点为 ,右边计数点为 ,用刻度尺测量 、 之间的距离为6.80cm,由图 知 ,已知 ,根据匀变速直线运动中时间的中间时刻瞬时速度大小等于该段时间内的 平均速度大小,有 13.在“探究小车速度随时间变化规律”的实验中: (1)从下列给出的器材中选出实验中所需的,并将它们填在横线上(填编号): A.电磁打点计时器 B.天平 C.低压交流电源 D.低压直流电源 E.细绳和纸带 F.钩码和小车 G.停表 H.一端有滑轮的长木板 学科网(北京)股份有限公司I.刻度尺 选出的器材有 ; (2)某同学按照以下步骤进行操作: A.换上纸带重复做三次,选择一条较为理想的纸带; B.将打点计时器固定在长木板上没有滑轮的一端,接上电源; C.把小车停在靠近打点计时器的地方,先放开小车,再接通电源; D.断开电源,取下纸带; E.把一条细绳拴在小车前端,绳跨过滑轮挂上钩码; F.把纸带固定在小车后端并让纸带穿过打点计时器。 以上步骤有错误的是 ,错误步骤修改正确后,合理的顺序是 。(填步骤前的字 母) 【答案】 ACEFHI C BFECDA或BEFCDA 【详解】(1)[1]在本实验中,不需要测量小车或砝码的质量,因此不需要天平,打点计时器使用的是交流电 源,因此不需要直流电源,同时打点计时器记录了小车运动时间,因此不需要停表。测量点迹间的距离需 要刻度尺,所以需要的器材是ACEFHI。 (2)[2][3]步骤有错误的是C,应先接通电源,再释放小车。 根据先组装器材再进行实验最后进行数据处理的顺序可知,操作步骤顺序为BFECDA或BEFCDA。 14.某同学利用如图 1 所示装置“探究小车速度随时间变化的规律”。 (1)图1所示的计时器所用的电压为 (选填“交流 220 V”或“直流 220 V”); (2)该同学开始实验时,先释放小车再接通电源,该同学实验操作中不恰当的地方是 ; (3)该同学在实验中使用频率为 50 Hz的打点计时器,获得的纸带如图 2 所示,其中相邻两个计数点之 间还有 4 个点没有画出,根据纸带可以求得打点计时器在打下 C 点时小车的速度为 m/s,小车的 加速度大小为 m/s2(均保留两位有效数字)。 【答案】 交流 220 V 应该先接通电源再释放小车 0.50 0.83 【详解】(1)[1]电火花打点计时器使用电压为 220 V 交流电源。 (2)[2]为了充分利用纸带,应该先接通电源,再释放小车。 (3)[3]实验中使用频率为50 Hz的打点计时器,纸带上相邻两个计数点之间还有4个点没有画出,则相邻 学科网(北京)股份有限公司两计数点间的时间间隔为 根据匀变速运动中间时刻的瞬时速度等于这段时间内的平均速度,因此打C点的瞬时速度 [4]根据“逐差法”,小车加速度 15.某一学习小组的同学想通过打点计时器在纸带上打出的点迹来探究小车速度随时间变化的规律,实验 装置如图所示。 (1)常见的打点计时器有两种: 和 ,它们使用的都是 电源(填“直 流”或“交流”),当电源频率为50Hz时,每隔 s打一个点。 (2)关于本实验,下列说法正确的是 。 A.释放纸带的同时,接通电源 B.先接通电源打点,后释放纸带运动 C.先释放纸带运动,后接通电源打点 D.纸带上的点迹越密集,说明纸带运动的速度越小 (3)要测量小车的速度。除打点计时器(含所用电源、纸带、墨粉纸盘)外还必须使用的测量工具 。 (4)该小组在规范操作下得到一条点迹清晰的纸带如图所示,在纸带上依次选出7个计数点,分别标上 O、A、B、C、D、E和F,每相邻的两个计数点间还有四个点未画出,打点计时器所用电源的频率是 50Hz。 ①每相邻两计数点的时间间隔为 s,如果测得C、D两点间距x=2.70cm,D、E两点间距 4 x=2.90cm,则打D点时小车的速度v = m/s(结果保留3位有效数字)。 5 D ②该同学分别算出其他各点的速度:v =0.220m/s,v =0.241m/s,v =0.258m/s,v =0.300m/s,请在如图所示 A B C E 的坐标系中作出小车运动的v−t图像 。并说明小车速度变化的规律 学科网(北京)股份有限公司③小车连接在纸带的 (选填“左端”或“右端”) 【答案】 电磁打点计时器 电火花打点计时器 交流 0.02 BD/DB 刻度尺 0.1 0.280 左端 【详解】(1)[1]常见的打点计时器有电磁打点计时器。 [2]常见的打点计时器有电磁打点计时器和电火花打点计时器。 [3]电磁打点计时器和电火花打点计时器,它们使用的都是交流电源。 [4]当电源频率为50Hz时,由频率与周期的关系 可知每隔0.02s打一个点。 (2)[5]ABC.先接通电源打点,待打点稳定后,再释放纸带运动,这样在纸带上可得到更多的数据,AC 错误,B正确; D.纸带上的点迹越密集,说明纸带运动的速度越小,D正确。 故选BD。 (3)[6]要测量小车的速度。除打点计时器(含所用电源、纸带、墨粉纸盘)外还必须使用的测量工具是 刻度尺,用刻度尺测量纸带上点迹间的距离。 学科网(北京)股份有限公司(4)①[7]纸带上每相邻的两个计数点间还有四个点未画出,打点计时器所用电源的频率是50Hz,可知相 邻两计数点间的时间间隔为 [8]由匀变速直线运动在某段时间内中间时刻的瞬时速度等于这段时间内的平均速度,可得打D点时小车 的速度 ②[9]由打各点的速度:v =0.220m/s,v =0.241m/s, v =0.258m/s,v =0.280m/s,v =0.300m/s,在坐标系中 A B C D E 描点作出小车运动的v−t图像,如图所示。 [10]由v−t图像可知,在误差允许的范围内,小车速度与时间成正比,即 的规律变化。 ③[11]由v−t图像可知,小车做加速运动,在相等的时间内运动的位移逐渐增大,由此可知小车连接在纸带 的左端。 16.某同学采用了如图所示的实验装置来完成“研究匀变速直线运动的规律”实验。放置在气垫导轨上的 滑块上装有宽度 的遮光条,滑块在牵引力作用下先后通过两个光电门,配套的数字计时器(图 中未画出)记录了遮光条通过光电门1的时间 ,通过光电门2的时间 ,用刻度尺测出 两个光电门之间的距离 ,则遮光条经过光电门1时的速度大小 ,滑块的加速度 大小 ,遮光条从光电门1运动到光电门2的时间 s。(计算结果均保留两位有 效数字) 【答案】 0.15 0.15 1.0 学科网(北京)股份有限公司【详解】[1] 遮光条宽度 ,遮光条通过光电门1的遮光时间 ,因遮光条宽度和遮光时 间都很小,因此用平均速度近似等于遮光条经过光电门1时的速度大小,则有 [2]则遮光条经过光电门2时的速度大小 由速度位移关系公式,可得滑块的加速度大小 [3]由速度时间公式,可得遮光条从光电门1运动到光电门2的时间 17.打点计时器是高中物理实验常用的器材。 (1)图中的实验器材是 (选填“电火花计时器”或“电磁打点计时器”),该计时器使用 (选填“直流”或“交流”)电源,每隔 t= s打一个点; (2)图中是在实验室做力学实验时会经常用到的重物,请选择最合适的选项。 “探究小车速度随时间变化的规律”实验中驱动小车的重物是 之填(“A”、“B”、“C”或 “D”)。 (3)某同学实验后得到的纸带如图丙所示,计数点a、b、c、d间均有4分点未画出,则a点的读数为 cm,计算可得 b点的瞬时速度大小为 m/s,纸带的加速度大小为 m/s2。(计算结果保 留两位有效数字) 学科网(北京)股份有限公司【答案】 电火花计时器 交流 0.02 D 21.10 0.17 0.10 【详解】(1)[1]图中的实验器材是电火花计时器。 [2]电火花计时器使用交流电源。 [3]电火花计时器使用交流电源,每隔t=0.02s打一个点。 (2)[4]“探究小车速度随时间变化的规律”实验中驱动小车的重物是D,即钩码。 (3)[5]刻度尺的精确度是1mm,因此a点的读数为21.10cm。 [6]由题意可知,纸带上相邻两计数点间的时间间隔为 T=0.02 5s=0.1s 由某段时间内中间时刻的瞬时速度等于这段时间内的平均速度,可得b点的瞬时速度大小为 × [7]由匀变速直线运动的推论 ,可得纸带的加速度大小为 18.如图,某同学在做“研究匀变速直线运动”的实验中,打点计时器所接电源的频率为50Hz,实验时得 到表示小车运动过程的一条清晰纸带如图所示,纸带上相邻两计数点间还有4个实际打点没有画出,测得 相邻计数点间距离分别为 , , , , , ,则: (1)打点计时器使用 (填“交流”或“直流”)电源 (2)相邻两计数点间时间间隔T= (3)3点处瞬时速度计算表达式为v= (用题中所给物理量符号表示,两计数点间时间 3 间隔为T) (4)利用4-6计数点之间的纸带,求小车运动的加速度a= ;(用题中所给物理量符号表 示,两计数点间时间间隔为T) (5)(不定项选择)下列关于打点计时器的使用的说法中,正确的是 A.电火花计时器使用的是4~6V交流电源 B.先释放纸带,后接通打点计时器的电源 C.纸带上打的点越密,说明物体运动得越快 D.如果实际电源频率为55Hz,而计算时仍按50Hz计算,则速度的测量值偏小 【答案】 交流 D 【详解】(1)[1]打点计时器使用交流电源。 (2)[2]打点计时器所接电源的频率为50Hz,纸带上相邻两计数点间还有4个实际打点没有画出,则相邻 两计数点间时间间隔 学科网(北京)股份有限公司(3)[3]由中间时刻的瞬时速度等于这段时间内的平均速度,可得3点处瞬时速度计算表达式为 (4)[4]由匀变速直线运动的推论 ,利用4-6计数点之间的纸带,可得小车运动的加速度 (5)[5] A.电火花计时器使用的是220V交流电源,A错误; B.为了充分利用纸带,得到更多的数据,应先接通打点计时器的电源,待打点稳定后,再释放纸带,B 错误; C.纸带上打的点越密,说明物体在相同时间内运动的距离越小,则运动得越慢,C错误; D.用打点计时器测定物体的速度,如果实际电源频率为55Hz,可知打点周期 而计算时仍按50Hz计算,计算得到的两点间所用时间偏大,则速度的测量值偏小,D正确。 故选D。 19.某探究小组的同学利用如图甲所示的装置“探究小车速度随时间变化的规律”,图乙是某次实验获取 的一段纸带。请你根据题图回答以下问题: (1)除了图甲中标出的器材外,还需要 。 A.弹簧测力计 B.刻度尺 C.天平 D.秒表 (2)本次实验选择的打点计时器是图 (选填“丙”或“丁”)中的计时器,该计时器的工作电 压是 (选填“直流电”或“交流电”)。 (3)根据图乙中记录的实验数据,可以推算出此次实验所用的刻度尺是 。 学科网(北京)股份有限公司A.毫米刻度尺 B.厘米刻度尺 (4)实验中打点计时器每隔0.02s打一个点,打出的纸带如图乙所示,则可大致判断出小车做 (选填“匀速直线”或“匀变速直线运动”),这是因为 。若纸带上相邻两个计数点 之间还有四个点未画出,则打B点时小车的速度大小是 m/s(计算结果保留两位有效数字),速 度方向是 (选填“从A向C”或“从C向A”)。 【答案】 B 丁 交流电 A 匀变速直线运动 在连续相等时间间隔内位移差大致 相等,满足 0.40 从C向A 【详解】(1)[1]需要测量小车的位移及速度,打点计时器可测量时间,只需要测量位移,所以仅需要刻 度尺,ACD错误,B正确。 故选B。 (2)[2]题图甲信息给出的本次实验用的是电火花计时器,因此打点计时器是图丁电火花计时器。 [3]电火花计时器,它的工作电压是220V的交流电。 (3)[4]根据题图乙中的数据,可知刻度尺的精确度是毫米,因此刻度尺是毫米刻度尺,A正确,B错误。 故选A。 (4)[5]计算出AB、BC、CD、DE、EF、FG相邻间的位移差分别是0.77cm、0.81cm、0.79cm、0.81cm、 0.82cm,在误差允许范围内可认为相等,因此小车做匀变速直线运动。 [6]因为小车的运动规律满足 ,所以小车做匀变速直线运动。 [7]若纸带上相邻两个计数点之间还有四个点未画出,可知纸带上相邻两计数点的时间间隔为 T=0.02 5s=0.1s 由中间时刻的瞬时速度等于平均速度,可得打B点时小车的速度大小是 × [8]小车做加速运动,先打A点,因此速度方向是从C向A。 20.某探究小组为了研究小车在桌面上的直线运动,用自制“滴水计时器”计量时间。实验前,将该计时 器固定在小车旁,如图(a)所示。实验时,保持桌面水平,用手轻推一下小车。在小车运动过程中,滴 水计时器等时间间隔地滴下小水滴,图(b)记录了桌面上连续的6个水滴的位置。(已知滴水计时器每 30s内共滴下45个小水滴) 学科网(北京)股份有限公司(1)由图(b)可知,小车在桌面上是 运动的。 A.从右向左 B.从左向右 (2)该小组同学根据图(b)的数据判断出小车做匀变速运动。小车运动到图(b)中A点位置时的速度 大小为 ,加速度大小为 (结果均保留2位有效数字) 【答案】 A 0.19 0.038 【详解】(1)[1]小车运动过程中减速,相同时间内位移逐渐减小,由图判断小车从右向左运动,A正确, B错误。 故选B。 (2)[2]滴水计时器每30s滴落46个小水滴,则两水滴之间的时间间隔为 ,由中间时刻的瞬时速度 等于平均速度,可解得A点的瞬时速度大小为 [3]由逐差法解得加速度为 可知加速度大小为 ,方向与运动方向相反。 21.如图甲所示是运用DIS实验的位移传感器测定小车运动规律的实验装置图。 (1)固定在小车上的发射器不断地向接收器发出短暂的超声波脉冲和红外线脉冲,从而测量物体运动的 一些物理量。超声波脉冲 红外线脉冲(填“快于”或“慢于”)。 (2)图乙是通过传感器、数据采集器,再经过计算机所绘制的小车运动的速度 时间图像。由该图像可以 求出小车加速度的大小为a= m/s2;小车的运动方向是 (选填“向左”或“向右”)运动。 − 【答案】 慢于 1.2 向右 【详解】(1)[1]频率高于20000Hz的声波叫超声波,超声波是机械波,红外线是电磁波,因此超声波脉 冲“慢于”红外线脉冲。 (2)[2]由速度 时间图像的斜率的大小表示加速度的大小,斜率的正、负表示加速度的方向,则有 − 学科网(北京)股份有限公司可知加速度的大小为1.2m/s2,负号表示加速度的方向与运动方向相反。 [3]小车加速度的方向与运动方向相反,小车做匀减速运动,可知小车“向右”运动。 22.某同学在做“测量直线运动物体的瞬时速度”的实验中,从打下的若干纸带中选出了如图所示的一条 纸带,已知电火花打点计时器使用的电源频率为50Hz,每两个相邻计数点间有四个点没有画出,各计数点 到0点的距离如纸带上所示。 (1)为了达到实验的目的,除了有打点计时器、纸带、小车、细绳、导线、低压交流电源、小木块、长 木板外,还需要的仪器有( ); A.刻度尺 B.铁架台 C.秒表 D.天平 (2)可以从打点计时器打出的纸带上直接测量得到的物理量是 (选填正确的答案标号); A.位移 B.速度 C.加速度 D.平均速度 E.时间 (3)根据纸带提供的信息,小华同学已经计算出了打下1、2、3、5、6这五个计数点时小车的速度,请你 帮助他计算出打下计数点5时小车的速度v= m/s(结果保留2位有效数字); 5 (4)以速度v为纵轴、时间t为横轴在坐标纸上建立直角坐标系,根据表中的v、t数据,在坐标系中描点, 并作出小车运动的v-t图像 ; (5)根据v-t图像可知,小车运动的加速度大小为 m/s2(结果保留2位有效数字)。 计数点 1 2 3 4 5 6 t/s 0.1 0.2 0.3 0.4 0.5 0.6 v/( ) 0.36 0.40 0.44 0.49 0.57 学科网(北京)股份有限公司【答案】 A AE/EA 0.53 0.42 (0.40~0.44范围内均可) 【详解】(1)[1]A.实验中需要刻度尺测量纸带上的点间距,故A符合题意; B.本实验不是探究落体运动规律,不需要铁架台,故B不符合题意; C.打点计时器本身具有计时功能,不需要秒表,故C不符合题意; D.本实验探究运动学规律,不需要测量质量,故D不符合题意。 故选A。 (2)[2]可以从打点计时器打出的纸带上直接测量得到的物理量是位移和时间,速度、加速度和平均速度 需要进一步计算才能获取。 故选AE。 (3)[3]由题意可知,相邻两计数点间的时间间隔为 学科网(北京)股份有限公司打下计数点5时小车的速度为 (4)[4]如图所示。 (5)[5]v-t图像的斜率表示加速度,所以小车运动的加速度大小为 23.某同学在“用打点计时器测速度”的实验中,电源频率为50Hz,用打点计时器记录了被小车拖动的纸 带的运动情况,在纸带上确定出A、B、C、D、E、F、G共7个计数点。相邻两个计数点间的距离如图所 示,每两个相邻的计数点之间的时间间隔为0.1s。 (1)在实验中,使用打点计时器时应先 再 ;(均选填“拉动纸带”或“启动电 源”) (2)每两个计数点间还有 个计时点没有标出; (3)试根据纸带上各个计数点间的距离,计算出打下B、C、D三个点时小车的瞬时速度,并将各个速度 值填入下表(计算结果均保留3位有效数字); v v v v v B C D E F 数值/(m/s) 0.640 0.721 (4)以A点为计时起点,将B、C、D、E、F各个时刻的瞬时速度标在直角坐标系中,作出小车的瞬时速 学科网(北京)股份有限公司度随时间变化的关系图线 ;并说明小车速度变化的特点: 。 【答案】 启动电源 拉动纸带 4/四 0.400 0.479 0.560 小车的速度随时间均匀增大 【详解】(1)[1][2]在实验中,使用打点计时器时应先启动电源,再拉动纸带。 (2)[3]由题意可知相邻两计时点间的时间间隔为 每两个计数点间未标出的计时点个数为 (3)[4][5][6]分别用对应时间段的平均速度表示中间时刻的瞬时速度,可得 (4)[7]v-t图线如图所示。 学科网(北京)股份有限公司[8]v-t图线为斜率为正的倾斜直线,说明小车的速度随时间均匀增大。 学科网(北京)股份有限公司