当前位置:首页>文档>精品解析:2022年江苏省连云港市中考化学真题(原卷版)_江苏省中考_01江苏省13市中考历年真题2008-2025新_、中考全套_江苏省中考历年真题_江苏省中考化学2008-2024

精品解析:2022年江苏省连云港市中考化学真题(原卷版)_江苏省中考_01江苏省13市中考历年真题2008-2025新_、中考全套_江苏省中考历年真题_江苏省中考化学2008-2024

  • 2026-03-04 00:25:16 2026-03-04 00:24:33

文档预览

精品解析:2022年江苏省连云港市中考化学真题(原卷版)_江苏省中考_01江苏省13市中考历年真题2008-2025新_、中考全套_江苏省中考历年真题_江苏省中考化学2008-2024
精品解析:2022年江苏省连云港市中考化学真题(原卷版)_江苏省中考_01江苏省13市中考历年真题2008-2025新_、中考全套_江苏省中考历年真题_江苏省中考化学2008-2024
精品解析:2022年江苏省连云港市中考化学真题(原卷版)_江苏省中考_01江苏省13市中考历年真题2008-2025新_、中考全套_江苏省中考历年真题_江苏省中考化学2008-2024
精品解析:2022年江苏省连云港市中考化学真题(原卷版)_江苏省中考_01江苏省13市中考历年真题2008-2025新_、中考全套_江苏省中考历年真题_江苏省中考化学2008-2024
精品解析:2022年江苏省连云港市中考化学真题(原卷版)_江苏省中考_01江苏省13市中考历年真题2008-2025新_、中考全套_江苏省中考历年真题_江苏省中考化学2008-2024
精品解析:2022年江苏省连云港市中考化学真题(原卷版)_江苏省中考_01江苏省13市中考历年真题2008-2025新_、中考全套_江苏省中考历年真题_江苏省中考化学2008-2024
精品解析:2022年江苏省连云港市中考化学真题(原卷版)_江苏省中考_01江苏省13市中考历年真题2008-2025新_、中考全套_江苏省中考历年真题_江苏省中考化学2008-2024
精品解析:2022年江苏省连云港市中考化学真题(原卷版)_江苏省中考_01江苏省13市中考历年真题2008-2025新_、中考全套_江苏省中考历年真题_江苏省中考化学2008-2024

文档信息

文档格式
docx
文档大小
0.129 MB
文档页数
8 页
上传时间
2026-03-04 00:24:33

文档内容

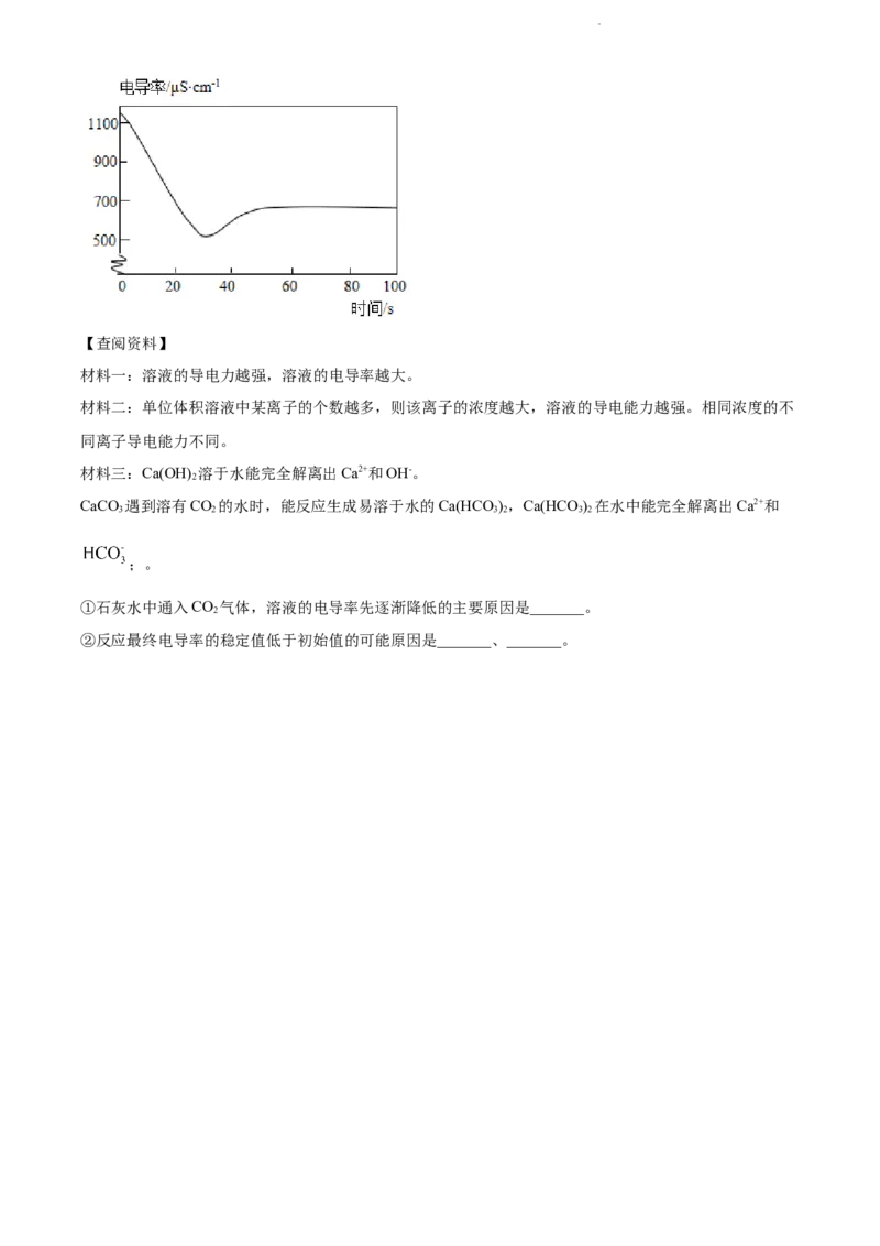
化学试题 可能用到的相对原子质量:H1 C12 O16 S32 C135.5 Fe56 Cu64 Ba137 一、选择题(本题包括12小题,每小题2分,共24分。每小题只有一个选项符合题意) 1. 《天工开物》记载的下列造物过程中涉及化学变化的是 A. 棉线织布 B. 粮食酿酒 C. 楠木制舟 D. 沙里淘金 2. 下列是人体几种体液的正常pH范围,其中呈酸性的是 A. 胰液7.5~8.0 B. 胆汁7.1 ~7.3 C. 血浆7.35~7.45 D. 胃液0.9 ~1.5 阅读下列材料,完成下面小题:金属钠在一定条件下制取单质钛的化学方程式为 。将钛和钛合金放在海水中数年,取出后仍光亮如初。钠元素和钛元素 在元素周期表中的相关信息如图所示。 的 3. 下列化学用语表示正确 是 A. 2个钠原子:Na B. 3个氯离子:3Cl 2 C. NaCl中Na元素的化合价: D. 钠原子结构示意图: 4. 由金属钠制取单质钛的化学反应属于 A. 化合反应 B. 分解反应 C. 置换反应 D. 复分解反应 5. 下列有关钛的说法不正确的是 A. 钛的原子序数为22 B. 钛属于金属元素 C. 钛合金抗腐蚀性比铁好 D. 钛的相对原子质量是47.87g 6. 中国科学家成功以二氧化碳和水为原料人工合成葡萄糖(C H O)。下列说法正确的是 6 12 6 A. 葡萄糖由三种元素组成 B. 葡萄糖中含有水分子 的 C. 葡萄糖属于有机高分子 D. 葡萄糖中C、H元素 质量比为1:2 学科网(北京)股份有限公司7. 实验室配制质量分数为6%的NaCl溶液。下列图示操作正确的是 A. 取用NaCl B. 称量NaCl C. 量取HO D. 溶解NaCl 2 8. 下列物质的性质与用途具有对应关系的是 A. 活性炭有吸附性,可用于净水 B. 石墨有导电性,可用于生产铅笔芯 C. 一氧化碳有可燃性,可用来炼铁 D. 碳酸钙难溶于水,可用作补钙剂 9. 下列实验方案能达到实验目的的是 选项 实验目的 实验方案 A 稀释浓HSO 将水倒入浓HSO 中并用玻璃棒不断搅拌 2 4 2 4 B 鉴别NaOH和NH NO 固体 取样,分别溶于水中,测量溶液温度的变化 4 3 C 除去NaCl固体中少量的NH Cl 加入Ca(OH) 固体,研磨 4 2 D 检验蜡烛中 是否含有氧元素 在蜡烛的火焰上方罩一只干燥烧杯,观察现象 A. A B. B C. C D. D 10. KC1和KNO 的溶解度(见下表)和溶解度曲线(见图)。下列说法正确的是 3 温度/℃ 0 10 20 30 40 50 60 KNO 13.3 20.9 31.6 45.8 63.9 85.5 110 3 溶解 度/g KCl 27.6 31.0 34.0 37.0 40.0 42.6 45.5 学科网(北京)股份有限公司A. 曲线甲代表KCl的溶解度曲线 B. 40℃时KNO 饱和溶液中KNO 的质量分数为63.9% 3 3 C. t 的值在20~30之间 1 D. 将t℃时甲和乙的饱和溶液升温至t℃时,溶液中溶质的质量分数:甲>乙 1 2 的 11. 为探究一瓶久置 NaOH溶液样品是否变质,进行如下实验: 实验一:取少量样品于试管中,滴加1~2滴酚酞溶液,溶液显红色。 实验二:取少量样品于试管中,加入适量稀硫酸,有气泡放出。 实验三:取少量样品于试管中,加入足量的BaCl 溶液,有白色沉淀生成。过滤,向滤液中滴加1~2滴酚 2 酞溶液,溶液显红色。 下列结论正确的是 A. 实验一说明NaOH溶液没有变质 B. 实验二说明NaOH溶液全部变质 C. 实验三中生成的沉淀为Ba(OH) D. 实验三说明NaOH溶液部分变质 2 12. 一种利用太阳能分解水的原理如图所示。下列说法不正确的是 A. 反应I的化学方程式: B. 理论上每生成2gH,同时生成32gO 2 2 C. 反应Ⅲ中生成SO 和O 的分子个数比为2:1 2 2 D. 反应I、Ⅱ和Ⅲ在反应前后均有元素化合价发生改变 二、非选择题(本题包括4小题,共36分) 13. 2022年北京成功举办冬奥会,化学功不可没。 (1)冬奥会环保人员的服装面料是利用回收废弃的塑料瓶加工制成。 ①塑料属于_______(填字母)。 a.金属材料 b.复合材料 c.合成材料 ②回收废弃塑料可缓解_______(填字母)。 a.酸雨 b.白色污染 c.温室效应 (2)冬奥会火炬“飞扬”首次采用液氢作燃料。关于氢气液化的过程说法正确的是_______(填字母)。 学科网(北京)股份有限公司a.氢分子的体积变小 b.氢分子间的间隔变小 c.氢分子的数目变少 (3)冬奥会上提供经过二氧化氯消毒处理的直饮水。 ①二氧化氯的化学式为_______。 ②证明该直饮水是软水的实验方案为_______。 (4)冬奥会为运动员提供的某运动饮料包装标签部分说明见图。其中能预防骨质疏松、佝偻病的阳离子 是_______(填离子符号)。 14. 连云港海洋资源丰富,应用前景广阔。 (1)海水晒盐。下图是利用海水提取粗盐的过程: ①“蒸发池”中质量逐渐减少的物质是_______(填化学式)。 ②实验室里除去粗盐中难溶性杂质一般步骤为溶解、过滤、蒸发,这三种基本操作中都要使用的玻璃仪器 是_______。 ③析出晶体后的“母液”是氯化钠的_______(选填“饱和溶液”或“不饱和溶液”)。母液中含有MgC1 ,向母液 2 中加入澄清石灰水有白色沉淀生成,该复分解反应的化学方程式为_______。 (2)海底探物。海底埋藏着大量的“可燃冰”,其主要成分是甲烷水合物(由甲烷分子和水分子组成),还含 有少量的CO 等气体。 2 ①下列说法正确的是_______(填字母)。 a.可燃冰和干冰都属于混合物 b.可燃冰与煤相比是较清洁燃料 c.可燃冰和石油都属于可再生能源 ②利用CH 和HO进行催化重整制氢气,反应前后分子变化的微观示意图如图所示。其中“乙→丙”发生反 4 2 应的化学方程式为_______。 学科网(北京)股份有限公司15. CuSO 是化学实验中常见试剂。 4 (1)验证质量守恒定律。 步骤1:在锥形瓶中加入适量的CuSO 溶液,塞好橡胶塞。将几根铁钉用砂纸打磨干净,将盛有CuSO 溶 4 4 液的锥形瓶和铁钉一起放在托盘天平上称量,记录所称质量为m 1。 步骤2:将铁钉浸入到CuSO 溶液中,塞好橡胶塞。观察实验现象,待反应有明显现象后,将盛有CuSO 4 4 溶液和铁钉的锥形瓶一起放在托盘天平上称量,记录所称质量为m 2 ①用砂纸将铁钉打磨干净的作用是_______。 ②步骤2中可观察到明显的实验现象是_______。该变化可说明Fe和Cu的金属活动性由强到弱的顺序是 _______。 ③若m=m,可证明参加反应的Fe和CuSO 的质量总和等于_______。 1 2 4 (2)探究CuSO 溶液对HO 分解具有催化作用。 4 2 2 ①若要证明CuSO 溶液对HO 分解具有催化作用,除需证明CuSO 在反应前后化学性质和质量不发生改变 4 2 2 4 外,还需证明的是_______。 ②为探究CuSO 在反应前后质量是否发生改变,某同学设计如下实验: 4 向HO 溶液中滴入10ga%的CuSO 溶液,待反应完全后,向试管中加入足量的BaCl 溶液,产生沉淀,过 2 2 4 2 滤、洗涤、干燥,称量沉淀物为bg。 上述实验步骤中若缺少“洗涤、干燥”,则通过沉淀物bg计算出溶液中CuSO 的质量_______0.1ag。(填“大 4 于”或“小于”或“等于”) 的 (3)将16.0gCuSO 置于坩埚中加热,固体质量与成分随温度变化 曲线如图所示。 4 ①650℃时,CuSO 开始发生分解反应,生成CuO和另一种氧化物X,X的化学式为_______。 4 学科网(北京)股份有限公司②1000℃时,CuO开始发生分解反应,生成Cu O和O 计算图中m的值____。(写出计算过程) 2 2. 16. 用如图所示装置制取干燥的CO,并对CO 的部分性质进行探究。 2 2 (1)装置A中发生反应的化学方程式为_______。 (2)①装置B中饱和NaHCO 溶液的作用是_______。 3 ②装置C中试剂X应该选用_______(填字母)。 a.稀HSO b.浓HSO c.KOH溶液 2 4 2 4 (3)收集CO 并验满。将集满CO 的锥形瓶与盛有足量NaOH溶液的注射器和传感器密封连接,缓慢的 2 2 将NaOH溶液注入到锥形瓶中,采集信息形成图像。见图。 ①检验装置D中CO 已经集满的方法是_______。 2 ②随着反应的进行,锥形瓶中压强降低的原因是_______。 ③反应结束后锥形瓶中的压强保持在40kPa说明_______。 (4)取2mL饱和澄清石灰水于试管中,用4mL蒸馏水稀释,向其中缓慢通入足量CO。测定反应体系的 2 电导率变化如图所示。(忽略反应前后溶液体积的变化) 学科网(北京)股份有限公司【查阅资料】 材料一:溶液的导电力越强,溶液的电导率越大。 材料二:单位体积溶液中某离子的个数越多,则该离子的浓度越大,溶液的导电能力越强。相同浓度的不 同离子导电能力不同。 材料三:Ca(OH) 溶于水能完全解离出Ca2+和OH-。 2 CaCO 遇到溶有CO 的水时,能反应生成易溶于水的Ca(HCO ),Ca(HCO ) 在水中能完全解离出Ca2+和 3 2 3 2 3 2 ;。 ①石灰水中通入CO 气体,溶液的电导率先逐渐降低的主要原因是_______。 2 ②反应最终电导率的稳定值低于初始值的可能原因是_______、_______。 学科网(北京)股份有限公司学科网(北京)股份有限公司
基本 文件 流程 错误 SQL 调试
  1. 请求信息 : 2026-03-04 00:30:08 HTTP/1.1 GET : https://www.yeyulingfeng.com/wendang/334020.html
  2. 运行时间 : 0.208541s [ 吞吐率:4.80req/s ] 内存消耗:5,495.36kb 文件加载:144
  3. 缓存信息 : 0 reads,0 writes
  4. 会话信息 : SESSION_ID=83eafc1d1eea22b44d1cc576795e30c5
  1. /yingpanguazai/ssd/ssd1/www/wwww.yeyulingfeng.com/public/index.php ( 0.79 KB )
  2. /yingpanguazai/ssd/ssd1/www/wwww.yeyulingfeng.com/vendor/autoload.php ( 0.17 KB )
  3. /yingpanguazai/ssd/ssd1/www/wwww.yeyulingfeng.com/vendor/composer/autoload_real.php ( 2.49 KB )
  4. /yingpanguazai/ssd/ssd1/www/wwww.yeyulingfeng.com/vendor/composer/platform_check.php ( 0.90 KB )
  5. /yingpanguazai/ssd/ssd1/www/wwww.yeyulingfeng.com/vendor/composer/ClassLoader.php ( 14.03 KB )
  6. /yingpanguazai/ssd/ssd1/www/wwww.yeyulingfeng.com/vendor/composer/autoload_static.php ( 6.05 KB )
  7. /yingpanguazai/ssd/ssd1/www/wwww.yeyulingfeng.com/vendor/topthink/think-helper/src/helper.php ( 8.34 KB )
  8. /yingpanguazai/ssd/ssd1/www/wwww.yeyulingfeng.com/vendor/topthink/think-validate/src/helper.php ( 2.19 KB )
  9. /yingpanguazai/ssd/ssd1/www/wwww.yeyulingfeng.com/vendor/ralouphie/getallheaders/src/getallheaders.php ( 1.60 KB )
  10. /yingpanguazai/ssd/ssd1/www/wwww.yeyulingfeng.com/vendor/topthink/think-orm/src/helper.php ( 1.47 KB )
  11. /yingpanguazai/ssd/ssd1/www/wwww.yeyulingfeng.com/vendor/topthink/think-orm/stubs/load_stubs.php ( 0.16 KB )
  12. /yingpanguazai/ssd/ssd1/www/wwww.yeyulingfeng.com/vendor/topthink/framework/src/think/Exception.php ( 1.69 KB )
  13. /yingpanguazai/ssd/ssd1/www/wwww.yeyulingfeng.com/vendor/topthink/think-container/src/Facade.php ( 2.71 KB )
  14. /yingpanguazai/ssd/ssd1/www/wwww.yeyulingfeng.com/vendor/symfony/deprecation-contracts/function.php ( 0.99 KB )
  15. /yingpanguazai/ssd/ssd1/www/wwww.yeyulingfeng.com/vendor/symfony/polyfill-mbstring/bootstrap.php ( 8.26 KB )
  16. /yingpanguazai/ssd/ssd1/www/wwww.yeyulingfeng.com/vendor/symfony/polyfill-mbstring/bootstrap80.php ( 9.78 KB )
  17. /yingpanguazai/ssd/ssd1/www/wwww.yeyulingfeng.com/vendor/symfony/var-dumper/Resources/functions/dump.php ( 1.49 KB )
  18. /yingpanguazai/ssd/ssd1/www/wwww.yeyulingfeng.com/vendor/topthink/think-dumper/src/helper.php ( 0.18 KB )
  19. /yingpanguazai/ssd/ssd1/www/wwww.yeyulingfeng.com/vendor/symfony/var-dumper/VarDumper.php ( 4.30 KB )
  20. /yingpanguazai/ssd/ssd1/www/wwww.yeyulingfeng.com/vendor/guzzlehttp/guzzle/src/functions_include.php ( 0.16 KB )
  21. /yingpanguazai/ssd/ssd1/www/wwww.yeyulingfeng.com/vendor/guzzlehttp/guzzle/src/functions.php ( 5.54 KB )
  22. /yingpanguazai/ssd/ssd1/www/wwww.yeyulingfeng.com/vendor/topthink/framework/src/think/App.php ( 15.30 KB )
  23. /yingpanguazai/ssd/ssd1/www/wwww.yeyulingfeng.com/vendor/topthink/think-container/src/Container.php ( 15.76 KB )
  24. /yingpanguazai/ssd/ssd1/www/wwww.yeyulingfeng.com/vendor/psr/container/src/ContainerInterface.php ( 1.02 KB )
  25. /yingpanguazai/ssd/ssd1/www/wwww.yeyulingfeng.com/app/provider.php ( 0.19 KB )
  26. /yingpanguazai/ssd/ssd1/www/wwww.yeyulingfeng.com/vendor/topthink/framework/src/think/Http.php ( 6.04 KB )
  27. /yingpanguazai/ssd/ssd1/www/wwww.yeyulingfeng.com/vendor/topthink/think-helper/src/helper/Str.php ( 7.29 KB )
  28. /yingpanguazai/ssd/ssd1/www/wwww.yeyulingfeng.com/vendor/topthink/framework/src/think/Env.php ( 4.68 KB )
  29. /yingpanguazai/ssd/ssd1/www/wwww.yeyulingfeng.com/app/common.php ( 0.03 KB )
  30. /yingpanguazai/ssd/ssd1/www/wwww.yeyulingfeng.com/vendor/topthink/framework/src/helper.php ( 18.78 KB )
  31. /yingpanguazai/ssd/ssd1/www/wwww.yeyulingfeng.com/vendor/topthink/framework/src/think/Config.php ( 5.54 KB )
  32. /yingpanguazai/ssd/ssd1/www/wwww.yeyulingfeng.com/config/alipay.php ( 3.59 KB )
  33. /yingpanguazai/ssd/ssd1/www/wwww.yeyulingfeng.com/vendor/topthink/framework/src/think/facade/Env.php ( 1.67 KB )
  34. /yingpanguazai/ssd/ssd1/www/wwww.yeyulingfeng.com/config/app.php ( 0.95 KB )
  35. /yingpanguazai/ssd/ssd1/www/wwww.yeyulingfeng.com/config/cache.php ( 0.78 KB )
  36. /yingpanguazai/ssd/ssd1/www/wwww.yeyulingfeng.com/config/console.php ( 0.23 KB )
  37. /yingpanguazai/ssd/ssd1/www/wwww.yeyulingfeng.com/config/cookie.php ( 0.56 KB )
  38. /yingpanguazai/ssd/ssd1/www/wwww.yeyulingfeng.com/config/database.php ( 2.48 KB )
  39. /yingpanguazai/ssd/ssd1/www/wwww.yeyulingfeng.com/config/filesystem.php ( 0.61 KB )
  40. /yingpanguazai/ssd/ssd1/www/wwww.yeyulingfeng.com/config/lang.php ( 0.91 KB )
  41. /yingpanguazai/ssd/ssd1/www/wwww.yeyulingfeng.com/config/log.php ( 1.35 KB )
  42. /yingpanguazai/ssd/ssd1/www/wwww.yeyulingfeng.com/config/middleware.php ( 0.19 KB )
  43. /yingpanguazai/ssd/ssd1/www/wwww.yeyulingfeng.com/config/route.php ( 1.89 KB )
  44. /yingpanguazai/ssd/ssd1/www/wwww.yeyulingfeng.com/config/session.php ( 0.57 KB )
  45. /yingpanguazai/ssd/ssd1/www/wwww.yeyulingfeng.com/config/trace.php ( 0.34 KB )
  46. /yingpanguazai/ssd/ssd1/www/wwww.yeyulingfeng.com/config/view.php ( 0.82 KB )
  47. /yingpanguazai/ssd/ssd1/www/wwww.yeyulingfeng.com/app/event.php ( 0.25 KB )
  48. /yingpanguazai/ssd/ssd1/www/wwww.yeyulingfeng.com/vendor/topthink/framework/src/think/Event.php ( 7.67 KB )
  49. /yingpanguazai/ssd/ssd1/www/wwww.yeyulingfeng.com/app/service.php ( 0.13 KB )
  50. /yingpanguazai/ssd/ssd1/www/wwww.yeyulingfeng.com/app/AppService.php ( 0.26 KB )
  51. /yingpanguazai/ssd/ssd1/www/wwww.yeyulingfeng.com/vendor/topthink/framework/src/think/Service.php ( 1.64 KB )
  52. /yingpanguazai/ssd/ssd1/www/wwww.yeyulingfeng.com/vendor/topthink/framework/src/think/Lang.php ( 7.35 KB )
  53. /yingpanguazai/ssd/ssd1/www/wwww.yeyulingfeng.com/vendor/topthink/framework/src/lang/zh-cn.php ( 13.70 KB )
  54. /yingpanguazai/ssd/ssd1/www/wwww.yeyulingfeng.com/vendor/topthink/framework/src/think/initializer/Error.php ( 3.31 KB )
  55. /yingpanguazai/ssd/ssd1/www/wwww.yeyulingfeng.com/vendor/topthink/framework/src/think/initializer/RegisterService.php ( 1.33 KB )
  56. /yingpanguazai/ssd/ssd1/www/wwww.yeyulingfeng.com/vendor/services.php ( 0.14 KB )
  57. /yingpanguazai/ssd/ssd1/www/wwww.yeyulingfeng.com/vendor/topthink/framework/src/think/service/PaginatorService.php ( 1.52 KB )
  58. /yingpanguazai/ssd/ssd1/www/wwww.yeyulingfeng.com/vendor/topthink/framework/src/think/service/ValidateService.php ( 0.99 KB )
  59. /yingpanguazai/ssd/ssd1/www/wwww.yeyulingfeng.com/vendor/topthink/framework/src/think/service/ModelService.php ( 2.04 KB )
  60. /yingpanguazai/ssd/ssd1/www/wwww.yeyulingfeng.com/vendor/topthink/think-trace/src/Service.php ( 0.77 KB )
  61. /yingpanguazai/ssd/ssd1/www/wwww.yeyulingfeng.com/vendor/topthink/framework/src/think/Middleware.php ( 6.72 KB )
  62. /yingpanguazai/ssd/ssd1/www/wwww.yeyulingfeng.com/vendor/topthink/framework/src/think/initializer/BootService.php ( 0.77 KB )
  63. /yingpanguazai/ssd/ssd1/www/wwww.yeyulingfeng.com/vendor/topthink/think-orm/src/Paginator.php ( 11.86 KB )
  64. /yingpanguazai/ssd/ssd1/www/wwww.yeyulingfeng.com/vendor/topthink/think-validate/src/Validate.php ( 63.20 KB )
  65. /yingpanguazai/ssd/ssd1/www/wwww.yeyulingfeng.com/vendor/topthink/think-orm/src/Model.php ( 23.55 KB )
  66. /yingpanguazai/ssd/ssd1/www/wwww.yeyulingfeng.com/vendor/topthink/think-orm/src/model/concern/Attribute.php ( 21.05 KB )
  67. /yingpanguazai/ssd/ssd1/www/wwww.yeyulingfeng.com/vendor/topthink/think-orm/src/model/concern/AutoWriteData.php ( 4.21 KB )
  68. /yingpanguazai/ssd/ssd1/www/wwww.yeyulingfeng.com/vendor/topthink/think-orm/src/model/concern/Conversion.php ( 6.44 KB )
  69. /yingpanguazai/ssd/ssd1/www/wwww.yeyulingfeng.com/vendor/topthink/think-orm/src/model/concern/DbConnect.php ( 5.16 KB )
  70. /yingpanguazai/ssd/ssd1/www/wwww.yeyulingfeng.com/vendor/topthink/think-orm/src/model/concern/ModelEvent.php ( 2.33 KB )
  71. /yingpanguazai/ssd/ssd1/www/wwww.yeyulingfeng.com/vendor/topthink/think-orm/src/model/concern/RelationShip.php ( 28.29 KB )
  72. /yingpanguazai/ssd/ssd1/www/wwww.yeyulingfeng.com/vendor/topthink/think-helper/src/contract/Arrayable.php ( 0.09 KB )
  73. /yingpanguazai/ssd/ssd1/www/wwww.yeyulingfeng.com/vendor/topthink/think-helper/src/contract/Jsonable.php ( 0.13 KB )
  74. /yingpanguazai/ssd/ssd1/www/wwww.yeyulingfeng.com/vendor/topthink/think-orm/src/model/contract/Modelable.php ( 0.09 KB )
  75. /yingpanguazai/ssd/ssd1/www/wwww.yeyulingfeng.com/vendor/topthink/framework/src/think/Db.php ( 2.88 KB )
  76. /yingpanguazai/ssd/ssd1/www/wwww.yeyulingfeng.com/vendor/topthink/think-orm/src/DbManager.php ( 8.52 KB )
  77. /yingpanguazai/ssd/ssd1/www/wwww.yeyulingfeng.com/vendor/topthink/framework/src/think/Log.php ( 6.28 KB )
  78. /yingpanguazai/ssd/ssd1/www/wwww.yeyulingfeng.com/vendor/topthink/framework/src/think/Manager.php ( 3.92 KB )
  79. /yingpanguazai/ssd/ssd1/www/wwww.yeyulingfeng.com/vendor/psr/log/src/LoggerTrait.php ( 2.69 KB )
  80. /yingpanguazai/ssd/ssd1/www/wwww.yeyulingfeng.com/vendor/psr/log/src/LoggerInterface.php ( 2.71 KB )
  81. /yingpanguazai/ssd/ssd1/www/wwww.yeyulingfeng.com/vendor/topthink/framework/src/think/Cache.php ( 4.92 KB )
  82. /yingpanguazai/ssd/ssd1/www/wwww.yeyulingfeng.com/vendor/psr/simple-cache/src/CacheInterface.php ( 4.71 KB )
  83. /yingpanguazai/ssd/ssd1/www/wwww.yeyulingfeng.com/vendor/topthink/think-helper/src/helper/Arr.php ( 16.63 KB )
  84. /yingpanguazai/ssd/ssd1/www/wwww.yeyulingfeng.com/vendor/topthink/framework/src/think/cache/driver/File.php ( 7.84 KB )
  85. /yingpanguazai/ssd/ssd1/www/wwww.yeyulingfeng.com/vendor/topthink/framework/src/think/cache/Driver.php ( 9.03 KB )
  86. /yingpanguazai/ssd/ssd1/www/wwww.yeyulingfeng.com/vendor/topthink/framework/src/think/contract/CacheHandlerInterface.php ( 1.99 KB )
  87. /yingpanguazai/ssd/ssd1/www/wwww.yeyulingfeng.com/app/Request.php ( 0.09 KB )
  88. /yingpanguazai/ssd/ssd1/www/wwww.yeyulingfeng.com/vendor/topthink/framework/src/think/Request.php ( 55.78 KB )
  89. /yingpanguazai/ssd/ssd1/www/wwww.yeyulingfeng.com/app/middleware.php ( 0.25 KB )
  90. /yingpanguazai/ssd/ssd1/www/wwww.yeyulingfeng.com/vendor/topthink/framework/src/think/Pipeline.php ( 2.61 KB )
  91. /yingpanguazai/ssd/ssd1/www/wwww.yeyulingfeng.com/vendor/topthink/think-trace/src/TraceDebug.php ( 3.40 KB )
  92. /yingpanguazai/ssd/ssd1/www/wwww.yeyulingfeng.com/vendor/topthink/framework/src/think/middleware/SessionInit.php ( 1.94 KB )
  93. /yingpanguazai/ssd/ssd1/www/wwww.yeyulingfeng.com/vendor/topthink/framework/src/think/Session.php ( 1.80 KB )
  94. /yingpanguazai/ssd/ssd1/www/wwww.yeyulingfeng.com/vendor/topthink/framework/src/think/session/driver/File.php ( 6.27 KB )
  95. /yingpanguazai/ssd/ssd1/www/wwww.yeyulingfeng.com/vendor/topthink/framework/src/think/contract/SessionHandlerInterface.php ( 0.87 KB )
  96. /yingpanguazai/ssd/ssd1/www/wwww.yeyulingfeng.com/vendor/topthink/framework/src/think/session/Store.php ( 7.12 KB )
  97. /yingpanguazai/ssd/ssd1/www/wwww.yeyulingfeng.com/vendor/topthink/framework/src/think/Route.php ( 23.73 KB )
  98. /yingpanguazai/ssd/ssd1/www/wwww.yeyulingfeng.com/vendor/topthink/framework/src/think/route/RuleName.php ( 5.75 KB )
  99. /yingpanguazai/ssd/ssd1/www/wwww.yeyulingfeng.com/vendor/topthink/framework/src/think/route/Domain.php ( 2.53 KB )
  100. /yingpanguazai/ssd/ssd1/www/wwww.yeyulingfeng.com/vendor/topthink/framework/src/think/route/RuleGroup.php ( 22.43 KB )
  101. /yingpanguazai/ssd/ssd1/www/wwww.yeyulingfeng.com/vendor/topthink/framework/src/think/route/Rule.php ( 26.95 KB )
  102. /yingpanguazai/ssd/ssd1/www/wwww.yeyulingfeng.com/vendor/topthink/framework/src/think/route/RuleItem.php ( 9.78 KB )
  103. /yingpanguazai/ssd/ssd1/www/wwww.yeyulingfeng.com/route/app.php ( 3.73 KB )
  104. /yingpanguazai/ssd/ssd1/www/wwww.yeyulingfeng.com/vendor/topthink/framework/src/think/facade/Route.php ( 4.70 KB )
  105. /yingpanguazai/ssd/ssd1/www/wwww.yeyulingfeng.com/vendor/topthink/framework/src/think/route/dispatch/Controller.php ( 4.74 KB )
  106. /yingpanguazai/ssd/ssd1/www/wwww.yeyulingfeng.com/vendor/topthink/framework/src/think/route/Dispatch.php ( 10.44 KB )
  107. /yingpanguazai/ssd/ssd1/www/wwww.yeyulingfeng.com/app/controller/Index.php ( 9.50 KB )
  108. /yingpanguazai/ssd/ssd1/www/wwww.yeyulingfeng.com/app/BaseController.php ( 2.05 KB )
  109. /yingpanguazai/ssd/ssd1/www/wwww.yeyulingfeng.com/vendor/topthink/think-orm/src/facade/Db.php ( 0.93 KB )
  110. /yingpanguazai/ssd/ssd1/www/wwww.yeyulingfeng.com/vendor/topthink/think-orm/src/db/connector/Mysql.php ( 5.44 KB )
  111. /yingpanguazai/ssd/ssd1/www/wwww.yeyulingfeng.com/vendor/topthink/think-orm/src/db/PDOConnection.php ( 52.47 KB )
  112. /yingpanguazai/ssd/ssd1/www/wwww.yeyulingfeng.com/vendor/topthink/think-orm/src/db/Connection.php ( 8.39 KB )
  113. /yingpanguazai/ssd/ssd1/www/wwww.yeyulingfeng.com/vendor/topthink/think-orm/src/db/ConnectionInterface.php ( 4.57 KB )
  114. /yingpanguazai/ssd/ssd1/www/wwww.yeyulingfeng.com/vendor/topthink/think-orm/src/db/builder/Mysql.php ( 16.58 KB )
  115. /yingpanguazai/ssd/ssd1/www/wwww.yeyulingfeng.com/vendor/topthink/think-orm/src/db/Builder.php ( 24.06 KB )
  116. /yingpanguazai/ssd/ssd1/www/wwww.yeyulingfeng.com/vendor/topthink/think-orm/src/db/BaseBuilder.php ( 27.50 KB )
  117. /yingpanguazai/ssd/ssd1/www/wwww.yeyulingfeng.com/vendor/topthink/think-orm/src/db/Query.php ( 15.71 KB )
  118. /yingpanguazai/ssd/ssd1/www/wwww.yeyulingfeng.com/vendor/topthink/think-orm/src/db/BaseQuery.php ( 45.13 KB )
  119. /yingpanguazai/ssd/ssd1/www/wwww.yeyulingfeng.com/vendor/topthink/think-orm/src/db/concern/TimeFieldQuery.php ( 7.43 KB )
  120. /yingpanguazai/ssd/ssd1/www/wwww.yeyulingfeng.com/vendor/topthink/think-orm/src/db/concern/AggregateQuery.php ( 3.26 KB )
  121. /yingpanguazai/ssd/ssd1/www/wwww.yeyulingfeng.com/vendor/topthink/think-orm/src/db/concern/ModelRelationQuery.php ( 20.07 KB )
  122. /yingpanguazai/ssd/ssd1/www/wwww.yeyulingfeng.com/vendor/topthink/think-orm/src/db/concern/ParamsBind.php ( 3.66 KB )
  123. /yingpanguazai/ssd/ssd1/www/wwww.yeyulingfeng.com/vendor/topthink/think-orm/src/db/concern/ResultOperation.php ( 7.01 KB )
  124. /yingpanguazai/ssd/ssd1/www/wwww.yeyulingfeng.com/vendor/topthink/think-orm/src/db/concern/WhereQuery.php ( 19.37 KB )
  125. /yingpanguazai/ssd/ssd1/www/wwww.yeyulingfeng.com/vendor/topthink/think-orm/src/db/concern/JoinAndViewQuery.php ( 7.11 KB )
  126. /yingpanguazai/ssd/ssd1/www/wwww.yeyulingfeng.com/vendor/topthink/think-orm/src/db/concern/TableFieldInfo.php ( 2.63 KB )
  127. /yingpanguazai/ssd/ssd1/www/wwww.yeyulingfeng.com/vendor/topthink/think-orm/src/db/concern/Transaction.php ( 2.77 KB )
  128. /yingpanguazai/ssd/ssd1/www/wwww.yeyulingfeng.com/vendor/topthink/framework/src/think/log/driver/File.php ( 5.96 KB )
  129. /yingpanguazai/ssd/ssd1/www/wwww.yeyulingfeng.com/vendor/topthink/framework/src/think/contract/LogHandlerInterface.php ( 0.86 KB )
  130. /yingpanguazai/ssd/ssd1/www/wwww.yeyulingfeng.com/vendor/topthink/framework/src/think/log/Channel.php ( 3.89 KB )
  131. /yingpanguazai/ssd/ssd1/www/wwww.yeyulingfeng.com/vendor/topthink/framework/src/think/event/LogRecord.php ( 1.02 KB )
  132. /yingpanguazai/ssd/ssd1/www/wwww.yeyulingfeng.com/vendor/topthink/think-helper/src/Collection.php ( 16.47 KB )
  133. /yingpanguazai/ssd/ssd1/www/wwww.yeyulingfeng.com/vendor/topthink/framework/src/think/facade/View.php ( 1.70 KB )
  134. /yingpanguazai/ssd/ssd1/www/wwww.yeyulingfeng.com/vendor/topthink/framework/src/think/View.php ( 4.39 KB )
  135. /yingpanguazai/ssd/ssd1/www/wwww.yeyulingfeng.com/vendor/topthink/framework/src/think/Response.php ( 8.81 KB )
  136. /yingpanguazai/ssd/ssd1/www/wwww.yeyulingfeng.com/vendor/topthink/framework/src/think/response/View.php ( 3.29 KB )
  137. /yingpanguazai/ssd/ssd1/www/wwww.yeyulingfeng.com/vendor/topthink/framework/src/think/Cookie.php ( 6.06 KB )
  138. /yingpanguazai/ssd/ssd1/www/wwww.yeyulingfeng.com/vendor/topthink/think-view/src/Think.php ( 8.38 KB )
  139. /yingpanguazai/ssd/ssd1/www/wwww.yeyulingfeng.com/vendor/topthink/framework/src/think/contract/TemplateHandlerInterface.php ( 1.60 KB )
  140. /yingpanguazai/ssd/ssd1/www/wwww.yeyulingfeng.com/vendor/topthink/think-template/src/Template.php ( 46.61 KB )
  141. /yingpanguazai/ssd/ssd1/www/wwww.yeyulingfeng.com/vendor/topthink/think-template/src/template/driver/File.php ( 2.41 KB )
  142. /yingpanguazai/ssd/ssd1/www/wwww.yeyulingfeng.com/vendor/topthink/think-template/src/template/contract/DriverInterface.php ( 0.86 KB )
  143. /yingpanguazai/ssd/ssd1/www/wwww.yeyulingfeng.com/runtime/temp/10a0c909b6afa23b5a52a2e2d58c3c0f.php ( 21.72 KB )
  144. /yingpanguazai/ssd/ssd1/www/wwww.yeyulingfeng.com/vendor/topthink/think-trace/src/Html.php ( 4.42 KB )
  1. CONNECT:[ UseTime:0.000936s ] mysql:host=127.0.0.1;port=3306;dbname=wenku;charset=utf8mb4
  2. SHOW FULL COLUMNS FROM `fenlei` [ RunTime:0.001441s ]
  3. SELECT * FROM `fenlei` WHERE `fid` = 0 [ RunTime:0.000710s ]
  4. SELECT * FROM `fenlei` WHERE `fid` = 63 [ RunTime:0.000680s ]
  5. SHOW FULL COLUMNS FROM `set` [ RunTime:0.001272s ]
  6. SELECT * FROM `set` [ RunTime:0.000563s ]
  7. SHOW FULL COLUMNS FROM `wendang` [ RunTime:0.001457s ]
  8. SELECT * FROM `wendang` WHERE `id` = 334020 LIMIT 1 [ RunTime:0.001024s ]
  9. UPDATE `wendang` SET `liulancishu` = 2 WHERE `id` = 334020 [ RunTime:0.001507s ]
  10. UPDATE `wendang` SET `lasttime` = 1772555408 WHERE `id` = 334020 [ RunTime:0.001095s ]
  11. SELECT * FROM `wendang` WHERE `id` < 334020 ORDER BY `id` DESC LIMIT 1 [ RunTime:0.001199s ]
  12. SELECT * FROM `wendang` WHERE `id` > 334020 ORDER BY `id` ASC LIMIT 1 [ RunTime:0.012274s ]
  13. SELECT * FROM `wendang` WHERE `id` <> 334020 ORDER BY `id` DESC LIMIT 10 [ RunTime:0.010423s ]
  14. SELECT * FROM `wendang` WHERE `id` <> 334020 ORDER BY `id` DESC LIMIT 10,10 [ RunTime:0.005107s ]
  15. SELECT * FROM `wendang` WHERE `id` <> 334020 ORDER BY `id` DESC LIMIT 20,10 [ RunTime:0.004738s ]
0.212482s