当前位置:首页>文档>第44讲机械振动-2024届高中物理一轮复习提升素养导学案(全国通用)原卷版_4.2025物理总复习_2024年新高考资料_1.2024一轮复习_2024届高中物理一轮复习提升素养导学案(全国通用)

第44讲机械振动-2024届高中物理一轮复习提升素养导学案(全国通用)原卷版_4.2025物理总复习_2024年新高考资料_1.2024一轮复习_2024届高中物理一轮复习提升素养导学案(全国通用)

  • 2026-04-15 03:16:52 2026-03-10 16:49:13

文档预览

第44讲机械振动-2024届高中物理一轮复习提升素养导学案(全国通用)原卷版_4.2025物理总复习_2024年新高考资料_1.2024一轮复习_2024届高中物理一轮复习提升素养导学案(全国通用)
第44讲机械振动-2024届高中物理一轮复习提升素养导学案(全国通用)原卷版_4.2025物理总复习_2024年新高考资料_1.2024一轮复习_2024届高中物理一轮复习提升素养导学案(全国通用)
第44讲机械振动-2024届高中物理一轮复习提升素养导学案(全国通用)原卷版_4.2025物理总复习_2024年新高考资料_1.2024一轮复习_2024届高中物理一轮复习提升素养导学案(全国通用)
第44讲机械振动-2024届高中物理一轮复习提升素养导学案(全国通用)原卷版_4.2025物理总复习_2024年新高考资料_1.2024一轮复习_2024届高中物理一轮复习提升素养导学案(全国通用)
第44讲机械振动-2024届高中物理一轮复习提升素养导学案(全国通用)原卷版_4.2025物理总复习_2024年新高考资料_1.2024一轮复习_2024届高中物理一轮复习提升素养导学案(全国通用)
第44讲机械振动-2024届高中物理一轮复习提升素养导学案(全国通用)原卷版_4.2025物理总复习_2024年新高考资料_1.2024一轮复习_2024届高中物理一轮复习提升素养导学案(全国通用)
第44讲机械振动-2024届高中物理一轮复习提升素养导学案(全国通用)原卷版_4.2025物理总复习_2024年新高考资料_1.2024一轮复习_2024届高中物理一轮复习提升素养导学案(全国通用)
第44讲机械振动-2024届高中物理一轮复习提升素养导学案(全国通用)原卷版_4.2025物理总复习_2024年新高考资料_1.2024一轮复习_2024届高中物理一轮复习提升素养导学案(全国通用)
第44讲机械振动-2024届高中物理一轮复习提升素养导学案(全国通用)原卷版_4.2025物理总复习_2024年新高考资料_1.2024一轮复习_2024届高中物理一轮复习提升素养导学案(全国通用)
第44讲机械振动-2024届高中物理一轮复习提升素养导学案(全国通用)原卷版_4.2025物理总复习_2024年新高考资料_1.2024一轮复习_2024届高中物理一轮复习提升素养导学案(全国通用)
第44讲机械振动-2024届高中物理一轮复习提升素养导学案(全国通用)原卷版_4.2025物理总复习_2024年新高考资料_1.2024一轮复习_2024届高中物理一轮复习提升素养导学案(全国通用)

文档信息

文档格式
docx
文档大小
0.691 MB
文档页数
11 页
上传时间
2026-03-10 16:49:13

文档内容

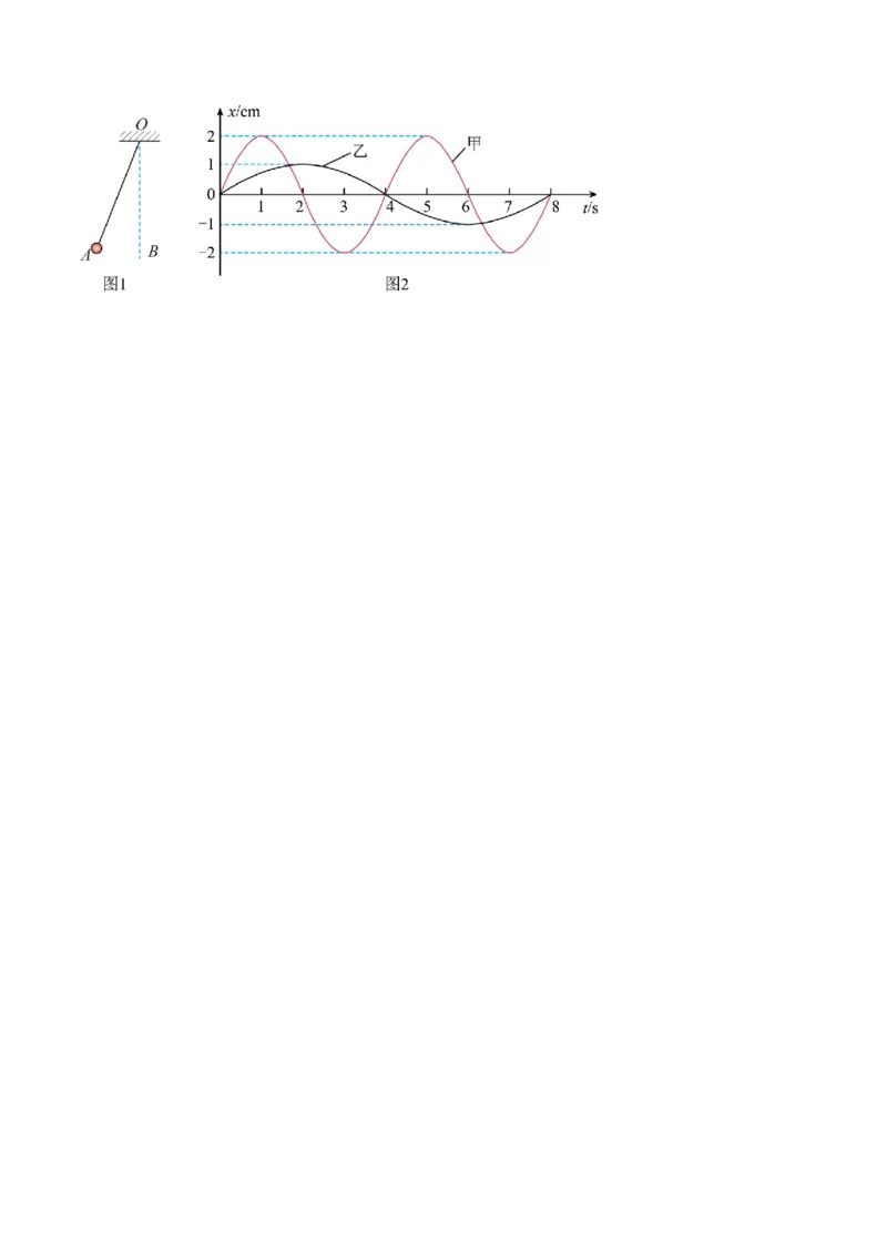
第 44 讲 机械振动 学习目标 明 确目标 确定方向 1. 简谐运动的特点 2. 简谐运动的描述 3. 简谐运动图像和方程 4. 单摆规律和应用 5. 受迫振动和共振 【 知识回归 】 回 归课本 夯实基础 第一部分基础知识梳理 一简谐运动 1、定义 如果质点的位移与时间的关系遵从正弦函数的规律,即它的振动图像(xt图像)是一条正弦曲线,这样的振 动叫做简谐运动。 2、特点 简谐运动是最简单、最基本的振动,其振动过程关于平衡位置对称,是一种往复运动。弹簧振子的运动就 是简谐运动。 3、简谐运动的图像(如图所示) (1)简谐运动的图像是振动物体的位移随时间的变化规律。 (2)简谐运动的图像是正弦(或余弦)曲线,从图像上可直接看出不同时刻振动质点的位移大小和方向、速 度大小和方向的变化趋势。 二简谐运动的描述 1、振幅 振动物体离开平衡位置的最大距离。振幅是表示振动幅度大小的物理量,单位是米。振幅的两倍表示的是 做振动的物体运动范围的大小。 2、周期和频率 (1)、全振动:一个完整的振动过程,称为一次全振动。做简谐运动的物体完成一次全振动的时间总是相同的。 (2)周期:做简谐运动的物体完成一次全振动所需要的时间,叫做振动的周期,用T表示。在国际单位制 中,周期的单位是秒(s)。 (3)频率:单位时间内完成全振动的次数,叫做振动的频率,用f表示。在国际单位制中,频率的单位是 赫兹,简称赫,符号是Hz。 3、相位 在物理学中,我们用不同的相位来描述周期性运动在各个时刻所处的不同状态。 2、简谐运动的表达式为 。 ①A表示简谐运动的振幅。 ② 是一个与频率成正比的量,叫做简谐运动的圆频率。它也表示简谐运动的快慢, 。 ③ 代表简谐运动的相位, 是t=0时的相位,称作初相位,或初相。 3、相位差 如果两个简谐运动的频率相同,其初相分别是 和 ,当 时,它们的相位差是 。 三受迫振动和共振 Ⅰ 1.共振曲线(见下图) 四3单摆及其周期公式 1单摆的受力特征 ①回复力:摆球重力沿切线方向的分力,F =-mgsin θ=-x=-kx,负号表示回复力F 与位移x的方 回 回 向相反。 ②向心力:细线的拉力和重力沿细线方向分力的合力充当向心力,F =F-mgcos θ。 向 T 2两点说明 ①当摆球在最高点时,F ==0,F=mgcos θ。 向 T ②当摆球在最低点时,F = ,F 最大,F=mg+ 。 向 向 T 3周期公式T=2π 第二部分重难点辨析 简谐运动的特征1动力学特征 F=-kx,“-”表示回复力的方向与位移方向相反,k是比例系数,不一定是弹簧的劲度系数。 2运动学特征 简谐运动的加速度与物体偏离平衡位置的位移成正比而方向相反,为变加速运动,远离平衡位置时,x、 F、a、E均增大,v、E均减小,靠近平衡位置时则相反。 p k 3运动的周期性特征 相隔T或nT的两个时刻振子处于同一位置且振动状态相同。 4对称性特征 ①相隔或(n为正整数)的两个时刻,振子位置关于平衡位置对称,位移、速度、加速度大小相等,方向相 反。 ②如图所示,振子经过关于平衡位置O对称的两点P、P′(OP=OP′)时,速度的大小、动能、势能相等, 相对于平衡位置的位移大小相等。 ③振子由P到O所用时间等于由O到P所用时间,即t=t , PO OP′ ④振子往复过程中通过同一段路程(如OP段)所用时间相等,即t=t。 OP PO 5能量特征 振动的能量包括动能E和势能E,简谐运动过程中,系统动能与势能相互转化,系统的机械能守恒。 k p 【 典例分析 】 精 选例题 提高素 养 【例1】如图甲所示,弹簧振子以O点为平衡位置,在A、B两点之间做简谐运动, ,振 动周期为1.6s。当 时,振子由平衡位置开始向右运动,则( ) A. 时,振子的加速度方向向左 B. 时,振子的速度方向向右 C. 到 的时间内,振子的动能逐渐减小 D. 到 的时间内,振子通过的路程是80cm 【例2】.假定地球为密度均匀分布的球体,球半径为 。某单摆在地面处做简谐运动的周期 与在某矿 井底部做简谐运动的周期 之间满足 。忽略地球的自转,已知质量均匀分布的球壳对壳内物体的万有引力为零,则该矿井底部离地面的距离为( ) A. B. C. D. 【例3】.单摆,是物理学中重要的模型之一。如图1所示,一根不可伸长的轻软细绳的上端固定在天花 板上的O点,下端系一个摆球(可看作质点)。将其拉至A点后静止释放,摆球将在竖直面内的A、C之 间来回摆动,其中B点为运动中的最低点。忽略空气阻力。 (1)图2所示为绳中拉力F随时间t变化的图线,求: a.摆的振动周期T; b.摆的最大摆角 ; c.结合该图像,还能求出哪些物理量。 (2)摆角 很小时,摆球的运动可看作简谐运动。某同学发现他家中摆长为0.993m的单摆在小角度摆动 时,周期为2s。他又查阅资料发现,早期的国际计量单位都是基于实物或物质的特性来定义的,称为实物 基准,例如质量是以一块1kg的铂铱合金圆柱体为实物基准。于是他想到可以利用上述摆长为0.993m的单 摆建立“1s”的实物基准。请判断该同学的想法是否合理,并说明理由。 【巩固练习】 举 一反三 提高能 力 1.如图所示为某弹簧振子在0~5s内的振动图像,由图可知,下列说法中正确的是( )A.振动周期为5s,振幅为8cm B.第2s末振子的速度为零,加速度为正向的最大值 C.从第1s末到第2s末振子的位移增加,振子在做加速度减小的减速运动 D.第3s末振子的势能最大 2.下列说法正确的是( ) A.做简谐运动的物体在平衡位置所受合外力一定为零 B.弹簧振子在任意时间 内位路程为A(振幅) C.单摆在周期性外力作用下做受迫振动,外力频率越大,则单摆的振幅越大 D.交通警察向行进中的车辆发射超声波进行测速利用了声波的多普勒效应 3.一列简谐横波沿x轴负方向传播, 时的波形图如图所示,此时 处的质点a恰好位于平衡 位置。已知该列波的波速为 ,则质点a的振动方程为( ) A. B. C. D. 4.小明同学用粗细均匀的一根木筷,下端绕几圈铁丝,竖直悬浮在较大的装有水的杯中,如图所示。现 把木筷缓慢向上提起5cm后放手并开始计时,之后木筷做简谐运动,测得振动周期为0.4s。不计水的阻 力,则( )A.t=1s时,木筷处于平衡位置 B.从0.1s到0.2s过程中木筷的动量逐渐变大 C.t=0.2s时,木筷的重力小于其所受的浮力 D.若把木筷缓慢向上提起3cm后放手,振动周期变小 5.如图甲所示装置,竖直圆盘静止时,小球竖直方向上做简谐振动的振动图像如图乙所示。竖直圆盘绕 固定轴转动时,固定在圆盘上的小圆柱带动T形支架在竖直方向运动,从而使小球从静止开始上下振动。 下列说法正确的是( ) A.若圆盘转动越快,小球振动的振幅越大 B.若圆盘以12r/min匀速转动,增大圆盘转速则小球振幅一定增加 C.若圆盘以30r/min匀速转动,小球振动达到稳定时其振动的周期为4s D.若圆盘以30r/min匀速转动,小球振动达到稳定时其振动的周期为2s 6.一弹簧振子做简谐运动,周期为T,下述正确的是( ) A.若 ,则在t时刻和t+ 时刻振子振动的加速度一定大小相等,方向相反 B.若 ,则在t时刻和( )时刻振子的速度一定大小相等,方向相反 C.若 ,则在t时刻t+ 时刻弹簧的长度一定相等 D.若 ,则在t时刻和( )时刻的时间内振子的路程一定等于一个振幅 7.某弹簧振子在水平方向上做简谐运动,其位移x随时间t变化的函数关系式为x=Asinωt,振动图像如图 所示,下列说法不正确的是( )A.弹簧在第1s末与第3s末的长度相同 B.简谐运动的角频率ω= rad/s C.第3s末振子的位移大小为 A D.从第3s末到第5s末,振子的速度方向发生变化 8.在图中,甲、乙两位同学分别使用a图所示的同一套装置观察单摆做简谐运动时的振动图象,已知二人 实验时所用的单摆的摆长相同,落在木板上的细砂分别形成的曲线如b图所示,下面关于两图线的说法中 正确的是( ) ①.甲图表示砂摆摆动的幅度较大,乙图摆动的幅度较小 ②.甲图表示砂摆摆动的周期较大,乙图摆动的周期较小 ③.二人拉木板的速度不同,甲、乙木板的速度关系 ④.二人拉木板的速度不同,甲、乙木板的速度关系 A.①③ B.①④ C.②③ D.②④ 9.钓鱼可以修身养性,颇受人们喜爱。如图为某鱼漂的示意图,鱼漂上部可视为圆柱体。当鱼漂受到微 小扰动而上下振动,某钓友发现鱼漂向下运动时圆柱体上的M点恰好可以到达水面,向上运动时圆柱体上 的N点恰好可以露出水面。忽略水的阻力和水面波动影响,则( ) A.鱼漂的振动为简谐运动B.鱼漂振动过程中机械能守恒 C.M点到达水面时,鱼漂的动能最大 D.N点到达水面时,鱼漂的加速度最小 多选10.弹簧振子做简谐运动,O为平衡位置,当它经过点O时开始时时,经过0.5s,第一次到达点M, 再经过0.2s第二次到达点M,则弹簧振子的周期可能为( ) A.0.6s B.0.8s C.1.2s D.2.4s 多选11.甲图中的水平弹簧振子在 内的振动图像如图乙所示,规定向右为正方向,下列说法中正确 的是( ) A. 时振子的回复力方向向正方向 B. 时弹簧的长度最长 C. 振子在做加速运动 D. 振子运动的路程为 多选12.科技文化节中,“果壳”社团做了如下一个沙摆实验。如图甲所示,薄木板被沿箭头方向水平拉 出的过程中,漏斗漏出的沙在板上形成的一段曲线如图乙所示,当沙摆摆动经过最低点时开始计时(记为 第1次),当它第20次经过最低点时测得所需的时间为19s(忽略摆长的变化),取当地重力加速度 g=10m/s2,下列说法中正确的是( ) A.随着沙子不断漏出,沙摆摆动的频率将会增加 B.该沙摆的摆长约为1m C.由图乙可知薄木板做的是匀加速运动,且加速度大小约为7.5×10-3m/s2 D.当图乙中的C点通过沙摆正下方时,薄木板的速率约为0.126m/s多选13.一单摆做受迫振动,其共振曲线(振幅A与驱动力频率f的关系)如图所示,则( ) A.此单摆的固有周期约为0.5s B.此单摆的摆长约为1m C.若摆长增大,单摆的固有频率增大 D.若摆长增大,共振曲线的峰将向左移动 多选14.宇航员为了测定某行星的质量,用同一个单摆分别在地球和该行星上进行实验,发现该单摆在该 行星表面上摆动周期是地球表面上摆动周期的n倍,已知地球半径为 ,地球表面重力加速度为 ,地球 和该行星密度相等,则关于该行星说法正确的是( ) A.该行星表面重力加速度 B.该行星表面重力加速度 C.该行星半径为 D.该行星半径为 多选15.劲度系数相同的两根弹簧分别与甲、乙两个小钢球组成弹簧振子,让两弹簧振子各自在水平面内 做简谐运动,某时刻开始计时,两者的振动图像如图所示。已知弹簧振子的振动周期 ,其中m 为振子质量、k为弹簧劲度系数,下列说法正确的是( )A.甲球质量等于乙球质量 B.甲球的加速度始终大于乙球的加速度 C.t=0.15s时,甲弹簧对小球的作用力大于乙弹簧对小球的作用力 D.若用两根相同的无弹性细长绳分别系住两个小球制成单摆,甲球做成的单摆周期大于乙球做成的单摆 多选16.如图所示,在倾角为θ的固定光滑斜面上,有两个用轻质弹簧固定连接的物体A和B,它们的质 量均为m,弹簧的劲度系数为k.C为一固定的挡板.现让一质量为m的物体D从距A为L的位置由静止释 放,D和A相碰后立即粘为一体,在之后的运动过程中,物体B对C的最小弹力为 ,则( ) A.D和A在斜面上做简谐运动 B.D的最大加速度大小为 C.D和A做简谐运动的振幅为 D.B对C的最大弹力为 17.取一单摆,将摆球拉离最初的静止位置(即平衡位置),无初速释放后,摆球可以在平衡位置附近往 复运动,空气阻力忽略不计,请回答下列问题: (1)如图1所示,单摆运动的回复力由什么力提供?并画出受力分析图 (2)试证明:在摆角较小的情况下,摆球做的是简谐运动; (3)图2是两个单摆的振动图像,则甲、乙两个摆的摆长之比是多少?