当前位置:首页>文档>第三讲导体电阻率的测量(原卷版)_4.2025物理总复习_2023年新高复习资料_一轮复习_2023年高三物理一轮复习精讲精练278111462_第九章恒定电流

第三讲导体电阻率的测量(原卷版)_4.2025物理总复习_2023年新高复习资料_一轮复习_2023年高三物理一轮复习精讲精练278111462_第九章恒定电流

  • 2026-03-22 02:39:32 2026-03-10 22:27:38

文档预览

第三讲导体电阻率的测量(原卷版)_4.2025物理总复习_2023年新高复习资料_一轮复习_2023年高三物理一轮复习精讲精练278111462_第九章恒定电流
第三讲导体电阻率的测量(原卷版)_4.2025物理总复习_2023年新高复习资料_一轮复习_2023年高三物理一轮复习精讲精练278111462_第九章恒定电流
第三讲导体电阻率的测量(原卷版)_4.2025物理总复习_2023年新高复习资料_一轮复习_2023年高三物理一轮复习精讲精练278111462_第九章恒定电流
第三讲导体电阻率的测量(原卷版)_4.2025物理总复习_2023年新高复习资料_一轮复习_2023年高三物理一轮复习精讲精练278111462_第九章恒定电流
第三讲导体电阻率的测量(原卷版)_4.2025物理总复习_2023年新高复习资料_一轮复习_2023年高三物理一轮复习精讲精练278111462_第九章恒定电流
第三讲导体电阻率的测量(原卷版)_4.2025物理总复习_2023年新高复习资料_一轮复习_2023年高三物理一轮复习精讲精练278111462_第九章恒定电流
第三讲导体电阻率的测量(原卷版)_4.2025物理总复习_2023年新高复习资料_一轮复习_2023年高三物理一轮复习精讲精练278111462_第九章恒定电流
第三讲导体电阻率的测量(原卷版)_4.2025物理总复习_2023年新高复习资料_一轮复习_2023年高三物理一轮复习精讲精练278111462_第九章恒定电流
第三讲导体电阻率的测量(原卷版)_4.2025物理总复习_2023年新高复习资料_一轮复习_2023年高三物理一轮复习精讲精练278111462_第九章恒定电流
第三讲导体电阻率的测量(原卷版)_4.2025物理总复习_2023年新高复习资料_一轮复习_2023年高三物理一轮复习精讲精练278111462_第九章恒定电流
第三讲导体电阻率的测量(原卷版)_4.2025物理总复习_2023年新高复习资料_一轮复习_2023年高三物理一轮复习精讲精练278111462_第九章恒定电流
第三讲导体电阻率的测量(原卷版)_4.2025物理总复习_2023年新高复习资料_一轮复习_2023年高三物理一轮复习精讲精练278111462_第九章恒定电流
第三讲导体电阻率的测量(原卷版)_4.2025物理总复习_2023年新高复习资料_一轮复习_2023年高三物理一轮复习精讲精练278111462_第九章恒定电流
第三讲导体电阻率的测量(原卷版)_4.2025物理总复习_2023年新高复习资料_一轮复习_2023年高三物理一轮复习精讲精练278111462_第九章恒定电流
第三讲导体电阻率的测量(原卷版)_4.2025物理总复习_2023年新高复习资料_一轮复习_2023年高三物理一轮复习精讲精练278111462_第九章恒定电流
第三讲导体电阻率的测量(原卷版)_4.2025物理总复习_2023年新高复习资料_一轮复习_2023年高三物理一轮复习精讲精练278111462_第九章恒定电流
第三讲导体电阻率的测量(原卷版)_4.2025物理总复习_2023年新高复习资料_一轮复习_2023年高三物理一轮复习精讲精练278111462_第九章恒定电流
第三讲导体电阻率的测量(原卷版)_4.2025物理总复习_2023年新高复习资料_一轮复习_2023年高三物理一轮复习精讲精练278111462_第九章恒定电流
第三讲导体电阻率的测量(原卷版)_4.2025物理总复习_2023年新高复习资料_一轮复习_2023年高三物理一轮复习精讲精练278111462_第九章恒定电流
第三讲导体电阻率的测量(原卷版)_4.2025物理总复习_2023年新高复习资料_一轮复习_2023年高三物理一轮复习精讲精练278111462_第九章恒定电流
第三讲导体电阻率的测量(原卷版)_4.2025物理总复习_2023年新高复习资料_一轮复习_2023年高三物理一轮复习精讲精练278111462_第九章恒定电流
第三讲导体电阻率的测量(原卷版)_4.2025物理总复习_2023年新高复习资料_一轮复习_2023年高三物理一轮复习精讲精练278111462_第九章恒定电流
第三讲导体电阻率的测量(原卷版)_4.2025物理总复习_2023年新高复习资料_一轮复习_2023年高三物理一轮复习精讲精练278111462_第九章恒定电流

文档信息

文档格式
docx
文档大小
2.007 MB
文档页数
23 页
上传时间
2026-03-10 22:27:38

文档内容

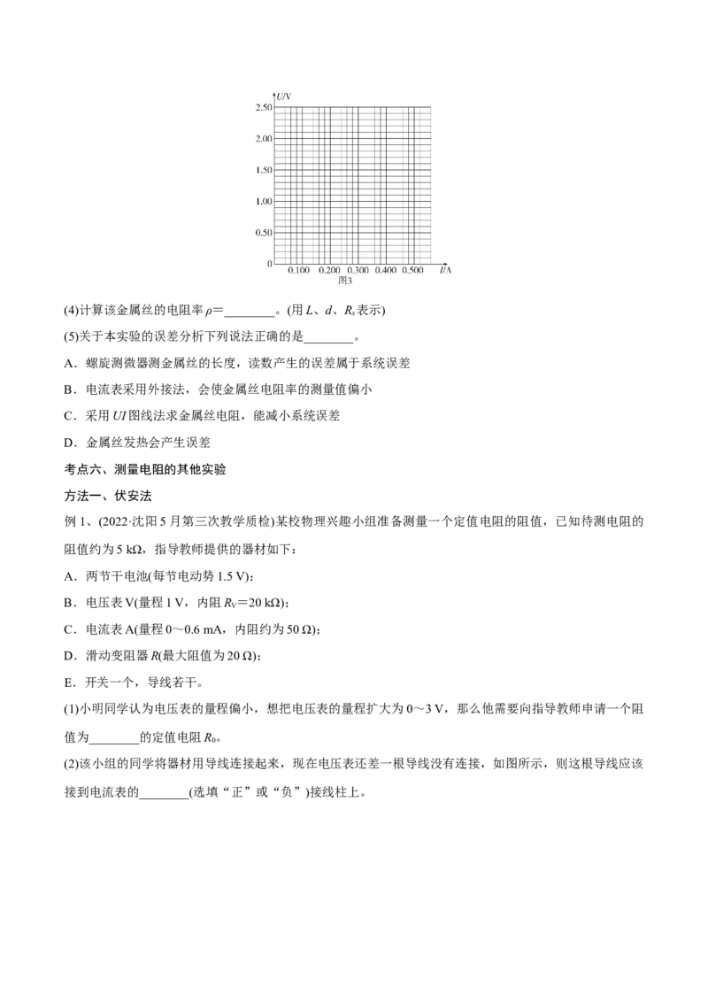
第三讲 导体电阻率的测量  知识梳理 实验一、长度的测量及测量工具的选用 一、游标卡尺 1.构造:主尺,游标尺(主尺和游标尺上各有一个内、外测量爪),游标卡尺上还有一个深度尺.(如图所 示) 2.原理:利用主尺的最小分度与游标尺的最小分度的差值制成. 不管游标尺上有多少个小等分刻度,它的刻度部分的总长度比主尺上的同样多的小等分刻度少 1 mm.常见 的游标卡尺的游标尺上小等分刻度有10个的、20个的、50个的,其规格见下表: 刻度格数(分度) 刻度总长度 每小格与1 mm的差值 精确度(可精确到) 10 9 mm 0.1 mm 0.1 mm 20 19 mm 0.05 mm 0.05 mm 50 49 mm 0.02 mm 0.02 mm 3.读数:从主尺上读出整毫米数x,然后再从游标尺上找出第k条刻度线与主尺上某一刻度线对齐,即记 录结果表示为(x+k×精确度) mm. 二、螺旋测微器 1.构造:如图所示,B为固定刻度,E为可动刻度. 2.原理:固定刻度B的螺距为0.5 mm,即旋钮D每旋转一周,测微螺杆F前进或后退0.5 mm,而可动刻 度E上有50个等分刻度,每转动一小格,F前进或后退0.01 mm,即螺旋测微器的精确度为0.01 mm.读数 时估读到毫米的千分位上,因此,螺旋测微器又叫千分尺. 3.读数:测量值(mm)=固定刻度数(mm)(注意半毫米刻度线是否露出)+可动刻度数(估读一 位)×0.01(mm). 如图所示,固定刻度示数为2.0 mm,半毫米刻度线未露出,可动刻度示数为15.0,最后的读数为:2.0 mm+15.0×0.01 mm=2.150 mm. 实验二、金属丝电阻率的测量 一、实验目的 1.掌握控制电路的连接方法及电流表、电压表和滑动变阻器的使用方法。 2.会用伏安法测电阻,进一步测定金属的电阻率。 二、实验原理 由电阻定律R=ρ,得ρ=R,可知需要测出金属丝的长度l和它的直径d,并计算出横截面积S,并用伏安 法测出电阻R,即可计算出金属的电阻率。用伏安法测金属丝的电阻的实验电路如图甲、乙所示。 x 三、实验器材 被测金属丝、螺旋测微器、毫米刻度尺、电池组、电流表、电压表、滑动变阻器、开关、导线若干。 四、实验步骤 1.直径测定:用螺旋测微器在被测金属导线上的三个不同位置各测一次直径,求出其平均值d,计算出导 线的横截面积S=。 2.电路连接:按实验原理电路图甲或乙连接好电路。 3.长度测量:用毫米刻度尺测量接入电路中的被测金属导线的有效长度,反复测量 3次,求出其平均值 l。 4.U、I测量:把滑动变阻器的滑片调节到使其接入电路中的电阻值最大的位置,电路经检查确认无误 后,闭合开关S,改变滑动变阻器滑片的位置,读出几组相应的电流表、电压表的示数 I和U的值,记入 表格内,断开开关S。 5.拆除实验电路,整理好实验器材。 五、数据处理 1.在求R 的平均值时可用两种方法 x (1)用R=分别算出各次的阻值,再取平均值。 x(2)用U-I图线的斜率求出阻值。 2.计算电阻率 将记录的数据R、l、d的值代入电阻率计算式ρ=R=。 x x 六、注意事项 1.本实验中被测金属导线的电阻值较小,因此实验电路一般采用电流表外接法。 2.测量被测金属导线的有效长度,是指测量待测导线接入电路的两个端点之间的长度,即电压表两端点 间的待测导线长度,测量时应将导线拉直,反复测量三次,求其平均值。 3.测金属导线直径一定要选三个不同部位进行测量,求其平均值。 4.采用图甲所示电路时,闭合开关S前,应将滑动变阻器的滑片置于最左端;若采用图乙所示电路,闭 合开关S前,应将滑动变阻器滑片置于最右端。 5.在用伏安法测电阻时,通过待测导线的电流 I不宜过大(电流表用0~0.6 A量程),通电时间不宜过长, 以免金属导线的温度明显升高,造成其电阻率在实验过程中逐渐增大。 考点一、常用仪器的使用与读数 1.游标卡尺读数注意事项 (1)看清精确度 ①如图a所示,易读错成11 mm+4×0.1 mm=11.40 mm,正确的读数应为11.4 mm,游标卡尺不需要估 读,后面不能随意加零或去零; ②如图b所示,易读错成10 mm+12×0.05 mm=10.6 mm,正确的读数应为10.60 mm。 (2)主尺上的单位为厘米 主尺上标识的1、2、3等数字通常是指厘米,读数时应将毫米和厘米分清,游标卡尺主尺上的最小刻度是 1 mm。如图c所示,易读错成5 mm+4×0.05 mm=5.20 mm,正确的读数应为50 mm+4×0.05 mm=50.20 mm。(3)区分零刻度与游标尺最前端 如图d所示,易读错成13 mm+10×0.05 mm=13.50 mm,正确的读数应为14 mm+10×0.05 mm=14.50 mm。 2.螺旋测微器的读数需要估读 最后一位数字为估读数字,读数和记数时估读位为有效数字的最后一位。 如图e所示,固定刻度示数为2.0 mm,不足半毫米的部分从可动刻度上读得示数为 15.0,最后的读数为: 2.0 mm+15.0×0.01 mm=2.150 mm。 3.电压表、电流表和电阻箱的读数 (1)0~3 V的电压表和0~3 A的电流表的读数方法相同,此量程下的精确度分别是0.1 V和0.1 A,看清楚 指针的实际位置,读到小数点后面两位。 (2)对于0~15 V量程的电压表,精确度是0.5 V,在读数时只要求读到小数点后面一位,这时要求“格估 读”,即读到0.1 V。 (3)对于0~0.6 A量程的电流表,精确度是0.02 A,在读数时只要求读到小数点后面两位,这时要求“半格 估读”,即读到最小刻度的一半0.01 A。 例1、如图所示的三把游标卡尺,它们的游标尺从上至下分别为9 mm长10等分、19 mm长20等分、49 mm长50等分,它们的读数依次为______mm,______mm,________mm。例2、某学生用螺旋测微器测量不同金属导线的直径,其示数如图a、b、c所示,该金属导线的直径读数 为: a.________ mm b.________ mm c.________ mm 课堂随练 训练1、如图甲所示的三把游标卡尺,它们的游标尺从上至下分别为9 mm长10等分、19 mm长20等分、 49 mm长50等分,它们的读数依次为________ mm,________ mm,________ mm. (2)使用螺旋测微器测量金属丝的直径,示数如图乙所示,则金属丝的直径是________ mm. 训练2、图中50分度游标卡尺和螺旋测微器的读数分别为______mm和______mm。考点二、伏安法测电阻 1.电流表内外接法的选择 内接法 外接法 电路图 误差原因 电流表分压U =U+U 电压表分流I =I+I 测 x A 测 x V 电阻测量值 R = =R+R >R R = = ) >(或R < ) x x 适用于测量 大阻值电阻 小阻值电阻  试触法:如图所示,将电压表分别接在a、c和b、c两点间时,若电流表示数变化较大,说明电压表 分流较大,应选用电流表内接法;若电压表示数变化较大,说明电流表分压较大,则选用电流表外接法。 2.滑动变阻器的两种连接方式 限流接法 分压接法 对比说明 电路图 串、并联关系不同 负载R上电压调节范 ≤U≤E 0≤U≤E 分压电路调节范围大 围(不计电源内阻) 负载R上电流调节范 ≤I≤ 0≤I≤ 分压电路调节范围大 围(不计电源内阻) 闭合S前滑片位置 b端 a端 都是为保护电路元件  滑动变阻器必须接成分压电路的几种情况 ①要求电压表能从零开始读数,或要求电压(或电流)变化范围足够大。 ②当待测电阻R≫R(滑动变阻器的最大阻值)时。 x ③若采用限流式接法,电路中的最小电流仍超过电路中电表等元件的允许电流。 注:为了便于调节,分压式接法要选用最大阻值较小的滑动变阻器。 例1、在“测定金属丝的电阻率”实验中:(1)用螺旋测微器测量金属丝的直径D,示数如图甲所示,D=________ mm. (2)某小组利用电流表(内阻约0.1 Ω)、电压表(内阻约3 kΩ)等器材测金属丝电阻,要求电压和电流均从0开 始测量,得到多组电流、电压数据,求出金属丝的电阻R=50 Ω.他们采用的是图乙中的________电路图, x R 的真实值________(填“大于”“小于”或“等于”)50 Ω. x 例2、(2020·全国卷Ⅰ·22)某同学用伏安法测量一阻值为几十欧姆的电阻R,所用电压表的内阻为1 kΩ,电 x 流表内阻为0.5 Ω.该同学采用两种测量方案,一种是将电压表跨接在图(a)所示电路的O、P两点之间,另 一种是跨接在O、Q两点之间.测量得到如图(b)所示的两条U-I图线,其中U与I分别为电压表和电流表 的示数. 回答下列问题: (1)图(b)中标记为Ⅱ的图线是采用电压表跨接在________(填“O、P”或“O、Q”)两点的方案测量得到的. (2)根据所用实验器材和图(b)可判断,由图线________(填“Ⅰ”或“Ⅱ”)得到的结果更接近待测电阻的真实值,结果为________ Ω(保留1位小数). (3)考虑到实验中电表内阻的影响,需对(2)中得到的结果进行修正,修正后待测电阻的阻值为________ Ω(保留1位小数). 例3、用电流表和电压表测量电阻R 的阻值。如图所示,分别将图(a)和图(b)两种测量电路连接到电路中, x 按照图(a)时,电流表示数为4.50 mA,电压表示数为2.50 V;按照图(b)时,电流表示数为5.00 mA,电压 表示数为2.40 V,比较这两次结果,下列说法正确的是( ) A.电阻的真实值更接近556 Ω,且大于556 Ω B.电阻的真实值更接近556 Ω,且小于556 Ω C.电阻的真实值更接近480 Ω,且大于480 Ω D.电阻的真实值更接近480 Ω,且小于480 Ω 课堂随练 训练1、在伏安法测电阻的实验中,待测电阻R 约为200 Ω,电压表 的内阻约为2 kΩ,电流表 的内阻 x 约为10 Ω,测量电路中电流表的连接方式如图(a)或(b)所示,结果由公式R=计算得出,式中U与I分别为 x 电压表和电流表的示数。若将图(a)和(b)中电路测得的电阻值分别记为R 和R ,则________(选填“R ”或 x1 x2 x1 “R ”)更接近待测电阻的真实值,且测量值R ________(选填“大于”“等于”或“小于”)真实值,测量 x2 x1 值R ________(选填“大于”“等于”或“小于”)真实值。 x2 训练2、用内阻为3 000 Ω的电压表和内阻为10 Ω的电流表测电阻,在图甲、乙两种情况下,电压表的示 数都是60 V,电流表的示数都是0.2 A,则R 的测量值为________ Ω,真实值是________ Ω,R 的测量值 1 2 为________ Ω,真实值是________ Ω。 训练3、在设计“伏安法测小灯泡的电阻”实验电路时,要思考以下两个问题: (1)电流表内接还是外接? 如图所示,某同学采用试接的方法,让电压表的一端接在 A点,另一端先后接到B点和C点。他发现电压 表示数有明显变化,而电流表示数无明显变化,说明小灯泡的阻值与________(填写“电流表”或“电压表”)的阻值接近,应选择电流表__________(填写“内接”或“外接”)的电路。 (2)如何选择滑动变阻器? 有三种规格的滑动变阻器,它们的最大阻值分别是 R =20 Ω,R =200 Ω,R =1 750 Ω。将它们分别接入 1 2 3 图所示电路。保持M、N间电压恒定,从左向右移动滑片P,研究小灯泡两端的电压U与滑片的滑动距离 L (滑片从左向右滑动的最大距离为L)的关系,如图所示中“×”为根据实验数据描出的点,请你结合如图所 0 示判断该实验中选择哪一种规格的滑动变阻器最合适______,并简要说明理由。 考点三、实验器材的选择 电学实验仪器的选择 选择电学实验器材主要是选择电表、滑动变阻器、电源等,一般要考虑四方面因素: (1)安全因素:通过电源、电阻和电表的电流不能超过其允许的最大电流。 (2)误差因素:选用电表应考虑尽可能减小测量值的相对误差,电压表、电流表在使用时,其指针应偏转到 满偏刻度的以上;使用多用电表欧姆挡时应选择合适的倍率挡,使指针尽可能在中间刻度附近。 (3)便于操作:选用滑动变阻器时应考虑对外供电电压的变化范围既能满足实验要求,又便于调节。在调节 滑动变阻器时,应使其大部分电阻线都被用到。 (4)实验实际:除以上三个因素外,还应注重实验实际,如所用的电源与打点计时器的匹配问题等。 在选取电表时,在保证安全性的前提下,准确性优先,例如当遇到某一待测电阻不要求一定达到某一电压 或电流的情况时,即使电源电动势较大,待测电阻的最大电流或最大电压也较大,超过了比较小的电表的 量程,但用较大量程的电表,读数又会小于量程,则在滑动变阻器控制电压或电流保证安全的情况下,还是要选取较小量程的电表进行测量以便减小误差。 例1、某实验小组在“测定金属的电阻率”实验中,所用测量仪器均已校准。 (1)该小组的同学用螺旋测微器测量金属丝的直径 d,其中某一次测量结果如图甲所示,其读数应为____ mm。 (2)已知该金属丝的阻值约为5 Ω。现用伏安法测量其阻值R,要求测量结果尽量准确,使待测金属丝两端 x 的电压能从零开始变化,现备有以下器材: A.电池组(3 V,内阻不计) B.电流表(0~3 A,内阻约为0.1 Ω) C.电流表(0~0.6 A,内阻约为0.2 Ω) D.电压表(0~3 V,内阻约为3 kΩ) E.电压表(0~15 V,内阻约为15 kΩ) F.滑动变阻器(0~20 Ω) G.滑动变阻器(0~2000 Ω) H.开关、导线 上述器材中,电流表应选________,电压表应选________,滑动变阻器应选________。 (3)请按要求在下面方框中画出实验原理图。 课堂随练 训练1、(2018·天津卷)某同学用伏安法测定待测电阻R 的阻值(约为10 kΩ),除了R、开关S、导线外,还 x x 有下列器材供选用: A.电压表(量程0~1 V,内阻约10 kΩ)B.电压表(量程0~10 V,内阻约100 kΩ) C.电流表(量程0~1 mA,内阻约30 Ω) D.电流表(量程0~0.6 A,内阻约0.05 Ω) E.电源(电动势1.5 V,额定电流0.5 A,内阻不计) F.电源(电动势 12 V,额定电流2 A,内阻不计) G.滑动变阻器R(阻值范围0~10 Ω,额定电流2 A) 0 (1)为使测量尽量准确,电压表选用________,电流表选用________,电源选用________.(均填器材的字 母代号) (2)在虚线框内画出测量R 阻值的实验电路图. x (3)该同学选择器材、连接电路和操作均正确,从实验原理上看,待测电阻测量值会________其真实值(填 “大于”“小于”或“等于”),原因是_______________________________. 考点四、电表改装 电表的两种改装的比较 改装成大量程电压表 改装成大量程电流表 内部电路 改装原理 串联分压 并联分流 所需电阻阻值 R=-R R= g 改装后的量程 U=I(R+R) I=I g g g 校准电路 例1、某同学欲将量程为200 μA的电流表G改装成电压表。(1)该同学首先采用如图所示的实验电路测量该电流表的内阻R,图中R、R 为电阻箱。他按电路图连接好 g 1 2 电路,将R 的阻值调到最大,闭合开关S 后,他应该正确操作的步骤是________。 1 1 ①记下R 的阻值; 2 ②调节R 的阻值,使电流表的指针偏转到满刻度; 1 ③闭合S,保持R 不变,调节R 的阻值,使电流表的指针偏转到满刻度的一半; 2 1 2 (2)如果按正确操作步骤测得R 的阻值为500 Ω,则R 的电阻值大小为______(填写字母代号); 2 g A.250 Ω B.500 Ω C.750 Ω D.1 000 Ω (3)这种方式测得的电流表G的内阻比实际内阻偏______(填“大”或“小”); (4)为把此电流表改装成量程为0~2 V的电压表,应选一个阻值为________ Ω的电阻与此电流表串联。 课堂随练 训练1、(2018·全国卷Ⅱ·22)某同学组装一个多用电表.可选用的器材有:微安表头(量程100 μA,内阻900 Ω);电阻箱R(阻值范围0~999.9 Ω);电阻箱R(阻值范围0~99 999.9 Ω);导线若干. 1 2 要求利用所给器材先组装一个量程为1 mA的直流电流表,在此基础上再将它改装成量程为 3 V的直流电压 表.组装好的多用电表有电流1 mA和电压3 V两挡. 回答下列问题: (1)在虚线框内画出电路图并标出R 和R,其中*为公共接线柱,a和b分别是电流挡和电压挡的接线柱. 1 2 (2)电阻箱的阻值应取R=________Ω,R=________Ω.(保留到个位) 1 2 考点五、测量金属丝的电阻率 例1、(2022·安徽省高三模拟)某同学在一次“测定金属丝的电阻率”的实验中,用米尺测量金属丝接入电 路的长度为l,用螺旋测微器测量金属丝直径(刻度位置如图所示),用伏安法测出金属丝的电阻(阻值大约 为6 Ω),然后根据电阻定律计算出该金属材料的电阻率.在用伏安法测定金属丝的电阻时,除被测金属丝外,还有如下实验器材: A.直流电源:电动势约3 V,内阻很小; B.电流表A:量程0~0.6 A,内阻约为0.125 Ω; C.电压表V:量程0~3 V,内阻约3 kΩ; D.滑动变阻器:最大阻值20 Ω,允许通过的最大电流0.5 A; E.开关、导线等. (1)从图中读出金属丝的直径d为________ mm; (2)根据所提供的器材,在虚线框中画出测定金属丝电阻的实验电路图; (3)若根据伏安法测出金属丝的阻值为R,则这种金属材料的电阻率的表达式为________. 例2、利用如图甲所示的电路测量某种电阻丝材料的电阻率,所用电阻丝的电阻约为 20 Ω。带有刻度尺的 木板上有a和b两个接线柱,把电阻丝拉直后固定在接线柱a和b上。在电阻丝上夹上一个带有接线柱c 的小金属夹,沿电阻丝移动金属夹,可改变其与电阻丝接触点P的位置,从而改变接入电路中电阻丝的长 度。可供选择的器材还有: 电池组E(电动势为3.0 V,内阻约为1 Ω); 电流表A(量程0~100 mA,内阻约为5 Ω); 1 电流表A(量程0~0.6 A,内阻约为0.2 Ω); 2 电阻箱R(0~999.9 Ω); 开关、导线若干。实验操作步骤如下: A.用螺旋测微器在电阻丝上三个不同的位置分别测量电阻丝的直径; B.将选用的实验器材,按照图甲连接实验电路; C.调节电阻箱使其接入电路中的电阻值较大; D.将金属夹夹在电阻丝上某位置,闭合开关,调整电阻箱的阻值,使电流表满偏,然后断开开关,记录 电阻箱的电阻值R和接入电路的电阻丝长度L; E.改变金属夹与电阻丝接触点的位置,闭合开关,调整电阻箱的阻值,使电流表再次满偏,重复多次, 记录每一次电阻箱的电阻值R和接入电路的电阻丝长度L; F.断开开关,整理好器材。 (1)某次测量电阻丝直径d时,螺旋测微器示数如图乙所示,则d=________ mm。 (2)实验中电流表应选择________(填“A”或“A”)。 1 2 (3)用记录的多组电阻箱的阻值R和对应的接入电路中电阻丝长度L的数据,绘出了如图丙所示的RL关系 图线。图线在R轴的截距为R ,在L轴的截距为L ,再结合测出的电阻丝直径d,写出电阻丝的电阻率表 0 0 达式ρ=________(用给定的物理量符号和已知常数表示)。 (4)本实验中,电流表的内阻对电阻率的测量结果________影响(填“有”或“无”)。 课堂随练 训练1、(2019·天津高考)现测定长金属丝的电阻率。 (1) 某次用螺旋测微器测量金属丝直径的结果如图所示,其读数是________ mm。(2)利用下列器材设计一个电路,尽量准确地测量一段金属丝的电阻。这段金属丝的电阻 R 约为100 Ω,画 x 出实验电路图,并标明器材代号。 电源E(电动势10 V,内阻约为10 Ω) 电流表A(量程0~250 mA,内阻R=5 Ω) 1 1 电流表A(量程0~300 mA,内阻约为5 Ω) 2 滑动变阻器R(最大阻值10 Ω,额定电流2 A) 开关S及导线若干 (3)某同学设计方案正确,测量得到电流表A 的读数为I,电流表A 的读数为I,则这段金属丝电阻的计算 1 1 2 2 式R=________。从设计原理看,其测量值与真实值相比________(填“偏大”“偏小”或“相等”)。 x 训练2、在市场上销售的铜质电线电缆产品中,部分存在导体电阻不合格问题,质检部门检验发现,一种 是铜材质量不合格,使用了再生铜或含杂质较多的铜;再一种就是铜材质量合格,但横截面积较小。质检 组查阅到:常温下,纯铜的电阻率约为1.75×10-8 Ω·m。为检测一捆铜质电线的电阻率是否合格,现取一 段铜质电线测量其电阻率,实验室现有的器材如下: A.电源(电动势约为1.5 V,内阻不计); B.待测铜质电线(长度150 m,横截面积约1 mm2); C.电流表A(量程150 mA,内阻r 约为2 Ω); 1 1 D.电流表A(量程100 mA ,内阻r=3 Ω); 2 2 E.滑动变阻器R(0~20 Ω,额定电流0.2 A); 1 F.开关、导线若干。 (1)小组成员先用螺旋测微器测量该铜质电线的直径d,如图(a)所示,则d=_______ mm。 (2)小组设计的测量电路如图(b)所示,则 是_______, 是_______ (填对应器材符号),通过实验作出的图 像如图(c)所示。(3)由图(b)电路测得的铜质电线的电阻,其测量值比真实值_______ (选填“偏大”“不变”或“偏小”)。 (4)由图(c)求得这捆铜质电线的电阻率ρ=________(结果保留3位有效数字),从铜电线自身角度,你认为 电阻率大的可能原因是______________________。 训练3、(2022·江苏省苏州市高三上期初考试)在“测量金属丝的电阻率”实验中,所用仪器均已校准,待 测金属丝接入电路的有效长度为L,电阻约为5 Ω。 (1)用螺旋测微器测量金属丝的直径,如图1所示,读数为d=________ mm。 (2)实验电路如图2所示,实验室提供的器材有电源(3 V,内阻不计)、开关、导线若干,还有以下器材可供 选择: A.电压表V(0~3 V,内阻约3 kΩ) 1 B.电压表V(0~15 V,内阻约15 kΩ) 2 C.电流表A(0~0.6 A,内阻约0.05 Ω) 1 D.电流表A(0~3 A,内阻约0.01 Ω) 2 E.滑动变阻器R(0~10 Ω,0.6 A) 1 F.滑动变阻器R(0~1 kΩ,0.1 A) 2 应选用的器材有________。(填器材前面的选项) (3)该小组同学正确连好电路,进行测量,记录数据如下: 次数 1 2 3 4 5 6 U/V 0.50 1.00 1.40 1.80 1.90 2.30 I/A 0.100 0.210 0.280 0.360 0.450 0.460 请在图3中描绘出UI图线。(4)计算该金属丝的电阻率ρ=________。(用L、d、R 表示) x (5)关于本实验的误差分析下列说法正确的是________。 A.螺旋测微器测金属丝的长度,读数产生的误差属于系统误差 B.电流表采用外接法,会使金属丝电阻率的测量值偏小 C.采用UI图线法求金属丝电阻,能减小系统误差 D.金属丝发热会产生误差 考点六、测量电阻的其他实验 方法一、伏安法 例1、(2022·沈阳5月第三次教学质检)某校物理兴趣小组准备测量一个定值电阻的阻值,已知待测电阻的 阻值约为5 kΩ,指导教师提供的器材如下: A.两节干电池(每节电动势1.5 V); B.电压表V(量程1 V,内阻R =20 kΩ); V C.电流表A(量程0~0.6 mA,内阻约为50 Ω); D.滑动变阻器R(最大阻值为20 Ω); E.开关一个,导线若干。 (1)小明同学认为电压表的量程偏小,想把电压表的量程扩大为0~3 V,那么他需要向指导教师申请一个阻 值为________的定值电阻R。 0 (2)该小组的同学将器材用导线连接起来,现在电压表还差一根导线没有连接,如图所示,则这根导线应该 接到电流表的________(选填“正”或“负”)接线柱上。(3)实验中某次测量时电压表的读数为 U,电流表的示数为 I,则待测电阻的阻值 R 的表达式为 R = x x ________(用所测物理量和已知物理量的符号表示)。 方法二、半偏法 半偏法是一种科学巧妙的测定电表内阻的方法,常见的有半偏电流法和半偏电压法.半偏电流法是利用电 流表指针半偏来测定电流表内阻的方法;半偏电压法是利用电压表指针半偏来测定电压表内阻的方法.其 实验电路图及操作步骤如下表所示: 电路图 操作步骤 ①R 阻值调至最大,断开S 、闭合S ,调节R ,使电流 0 2 1 0 表Ⓐ满偏为I; 0 测量电流 表内阻 ②保持R 不变,闭合S,调节R,使电流表Ⓐ读数为 0 2 ; (R≫R ) 0 A ③由上得R =R. A ①闭合S,调节电阻箱阻值为R 时,测得 表示数为 1 U; 1 测量电压 表内阻 ②改变电阻箱阻值为R 时,测得 表示数为 ; 2 (电源内阻不计) ③由上得R =R-2R. V 2 1 例2、(2022·山西太原一模)有一电流表A,量程为0~1 mA,内阻r 约为100 Ω,要求测量其内阻.可选用 g 的器材有:电阻箱R ,最大阻值为99 999.9 Ω;滑动变阻器甲,最大阻值为10 kΩ;滑动变阻器乙,最大 0 阻值为2 kΩ;电源E ,电动势约为2 V,内阻不计;电源E ,电动势约为6 V,内阻不计;开关2个,导 1 2 线若干. 采用的测量电路图如图所示,实验步骤如下: a.断开S 和S,将R调到最大; 1 2b.合上S,调节R使电流表A指针满偏; 1 c.合上S,调节R 使电流表A指针半偏,此时可以认为电流表A的内阻r=R. 2 1 g 1 请问: (1)上述可供选择的器材中,可变电阻 R 应该选择______;为了使测量尽量精确,可变电阻 R应该选择 1 ________;电源E应该选择________. (2)认为电流表A的内阻r=R,得到的结果与真实值相比________.(填“偏大”“偏小”或“相等”) g 1 方法三、等效替代法 (1)实验原理(如右图) (2)实验步骤: S先与2连接,记录Ⓐ的示数,再与1连接,调节R值使Ⓐ的示数与原值相等,则R=R. x (3)说明: 对Ⓐ的要求,只要有刻度且不超过量程即可,与指针是否超 无关,因为电流表示数不参与运算. 例3 、(2022·武汉模拟)电学实验中经常需要测量电阻的阻值. (1)测电阻的方法有很多种,现在提供一只标有“220 V 40 W”的灯泡,它正常工作时的电阻为________ Ω.若用多用电表欧姆挡来测量这只灯泡的电阻,则测出的电阻值________(选填“大于”“等于”或“小 于”)灯泡正常工作时的电阻值. (2)用下列器材设计一个实验,测量该灯泡正常工作时的电阻值. A.220 V交流电源 B.单刀双掷开关一个 C.电阻箱一个(0~999.9 Ω,额定电流0.5 A) D.定值电阻一个(0.5 kΩ,额定电流0.3 A) E.交流电流表一个(0~0.3 A) 请在虚线框内画出电路原理图.课堂随练 训练1、国标(GB/T)规定自来水在15 ℃时电阻率应大于13 Ω·m。某同学利用图甲电路测量15 ℃自来水的 电阻率,其中内径均匀的圆柱形玻璃管侧壁连接一细管,细管上加有阀门K以控制管内自来水的水量,玻 璃管两端接有导电活塞(活塞电阻可忽略),右活塞固定,左活塞可自由移动。实验器材还有:电源(电动势 约为3 V,内阻可忽略),电压表V(量程为3 V,内阻很大),电压表V(量程为3 V,内阻很大),定值电阻 1 2 R(阻值4 kΩ),定值电阻R(阻值2 kΩ),电阻箱R(最大阻值9 999 Ω),单刀双掷开关S,导线若干,游标卡 1 2 尺,刻度尺。 实验步骤如下: A.用游标卡尺测量玻璃管的内径d; B.向玻璃管内注满自来水,并用刻度尺测量水柱长度L; C.把S拨到1位置,记录电压表V 示数; 1 D.把S拨到2位置,调整电阻箱阻值,使电压表V 示数与电压表V 示数相同,记录电阻箱的阻值R; 2 1 E.改变玻璃管内水柱长度,重复实验步骤C、D,记录每一次水柱长度L和电阻箱阻值R; F.断开S,整理好器材。 (1)测量玻璃管内径d时游标卡尺示数如图乙所示,则d=________mm。 (2)玻璃管内水柱的电阻R 的表达式为 R=________________(用R、R、R表示)。 x x 1 2 (3)利用记录的多组水柱长度L和对应的电阻箱阻值R的数据,绘制出如图丙所示的R关系图像。自来水的 电阻率ρ=________ Ω·m(保留2位有效数字)。 (4)本实验中若电压表V 内阻不是很大,则自来水电阻率测量结果将________(选填“偏大”“不变”或 1 “偏小”)。训练2、(2021·浙江6月选考)小李在实验室测量一电阻R的阻值。 (1)因电表内阻未知,用如图1所示的电路来判定电流表该内接还是外接。正确连线后,合上开关 S,将滑 动变阻器的滑片P移至合适位置。单刀双掷开关K掷到1,电压表的读数U=1.65 V,电流表的示数如图2 1 所示,其读数I =________ A;将K掷到2,电压表和电流表的读数分别为U =1.75 V,I =0.33 A。由此 1 2 2 可知应采用电流表________(填“内”或“外”)接法。 (2)完成上述实验后,小李进一步尝试用其他方法进行实验: ①器材与连线如图3所示,请在虚线框中画出对应的电路图; ②先将单刀双掷开关掷到左边,记录电流表读数,再将单刀双掷开关掷到右边,调节电阻箱的阻值,使电 流表的读数与前一次尽量相同,电阻箱的示数如图 3 所示,则待测电阻 R =________ Ω。此方法 x ________(填“有”或“无”)明显的实验误差,其理由是________________________________________。 训练3、(2021·山东卷,14)热敏电阻是传感器中经常使用的元件,某学习小组要探究一热敏电阻的阻值随 温度变化的规律。可供选择的器材有:待测热敏电阻R (实验温度范围内,阻值约几百欧到几千欧); T 电源E(电动势1.5 V,内阻r约为0.5 Ω); 电阻箱R(阻值范围0~9 999.99 Ω); 滑动变阻器R(最大阻值20 Ω); 1 滑动变阻器R(最大阻值2 000 Ω); 2 微安表(量程100 μA,内阻等于2 500 Ω); 开关两个,温控装置一套,导线若干。 同学们设计了如图所示的测量电路,主要实验步骤如下: ①按图示连接电路; ②闭合S、S,调节滑动变阻器滑片P的位置,使微安表指针满偏; 1 2 ③保持滑动变阻器滑片P的位置不变,断开S,调节电阻箱,使微安表指针半偏; 2 ④记录此时的温度和电阻箱的阻值。 回答下列问题: (1)为了更准确地测量热敏电阻的阻值,滑动变阻器应选用________(填“R”或“R”)。 1 2 (2)请用笔画线代替导线,在实物图(不含温控装置)连接成完整电路。 (3)某温度下微安表半偏时,电阻箱的读数为6 000.00 Ω,该温度下热敏电阻的测量值为________ Ω(结果保 留到个位),该测量值________(填“大于”或“小于”)真实值。 (4)多次实验后,学习小组绘制了如图所示的图像。由图像可知,该热敏电阻的阻值随温度的升高逐渐 ________(填“增大”或“减小”)。