当前位置:首页>文档>九年级第12讲图形的旋转(4个知识点+4种题型+分层练习)(教师版)_初中数学_九年级数学上册(人教版)_常见题型通关讲解练-V3_2025版

九年级第12讲图形的旋转(4个知识点+4种题型+分层练习)(教师版)_初中数学_九年级数学上册(人教版)_常见题型通关讲解练-V3_2025版

  • 2026-04-03 05:13:04 2026-03-25 23:03:44

文档预览

九年级第12讲图形的旋转(4个知识点+4种题型+分层练习)(教师版)_初中数学_九年级数学上册(人教版)_常见题型通关讲解练-V3_2025版
九年级第12讲图形的旋转(4个知识点+4种题型+分层练习)(教师版)_初中数学_九年级数学上册(人教版)_常见题型通关讲解练-V3_2025版
九年级第12讲图形的旋转(4个知识点+4种题型+分层练习)(教师版)_初中数学_九年级数学上册(人教版)_常见题型通关讲解练-V3_2025版
九年级第12讲图形的旋转(4个知识点+4种题型+分层练习)(教师版)_初中数学_九年级数学上册(人教版)_常见题型通关讲解练-V3_2025版
九年级第12讲图形的旋转(4个知识点+4种题型+分层练习)(教师版)_初中数学_九年级数学上册(人教版)_常见题型通关讲解练-V3_2025版
九年级第12讲图形的旋转(4个知识点+4种题型+分层练习)(教师版)_初中数学_九年级数学上册(人教版)_常见题型通关讲解练-V3_2025版
九年级第12讲图形的旋转(4个知识点+4种题型+分层练习)(教师版)_初中数学_九年级数学上册(人教版)_常见题型通关讲解练-V3_2025版
九年级第12讲图形的旋转(4个知识点+4种题型+分层练习)(教师版)_初中数学_九年级数学上册(人教版)_常见题型通关讲解练-V3_2025版
九年级第12讲图形的旋转(4个知识点+4种题型+分层练习)(教师版)_初中数学_九年级数学上册(人教版)_常见题型通关讲解练-V3_2025版
九年级第12讲图形的旋转(4个知识点+4种题型+分层练习)(教师版)_初中数学_九年级数学上册(人教版)_常见题型通关讲解练-V3_2025版
九年级第12讲图形的旋转(4个知识点+4种题型+分层练习)(教师版)_初中数学_九年级数学上册(人教版)_常见题型通关讲解练-V3_2025版
九年级第12讲图形的旋转(4个知识点+4种题型+分层练习)(教师版)_初中数学_九年级数学上册(人教版)_常见题型通关讲解练-V3_2025版
九年级第12讲图形的旋转(4个知识点+4种题型+分层练习)(教师版)_初中数学_九年级数学上册(人教版)_常见题型通关讲解练-V3_2025版
九年级第12讲图形的旋转(4个知识点+4种题型+分层练习)(教师版)_初中数学_九年级数学上册(人教版)_常见题型通关讲解练-V3_2025版
九年级第12讲图形的旋转(4个知识点+4种题型+分层练习)(教师版)_初中数学_九年级数学上册(人教版)_常见题型通关讲解练-V3_2025版
九年级第12讲图形的旋转(4个知识点+4种题型+分层练习)(教师版)_初中数学_九年级数学上册(人教版)_常见题型通关讲解练-V3_2025版
九年级第12讲图形的旋转(4个知识点+4种题型+分层练习)(教师版)_初中数学_九年级数学上册(人教版)_常见题型通关讲解练-V3_2025版
九年级第12讲图形的旋转(4个知识点+4种题型+分层练习)(教师版)_初中数学_九年级数学上册(人教版)_常见题型通关讲解练-V3_2025版
九年级第12讲图形的旋转(4个知识点+4种题型+分层练习)(教师版)_初中数学_九年级数学上册(人教版)_常见题型通关讲解练-V3_2025版
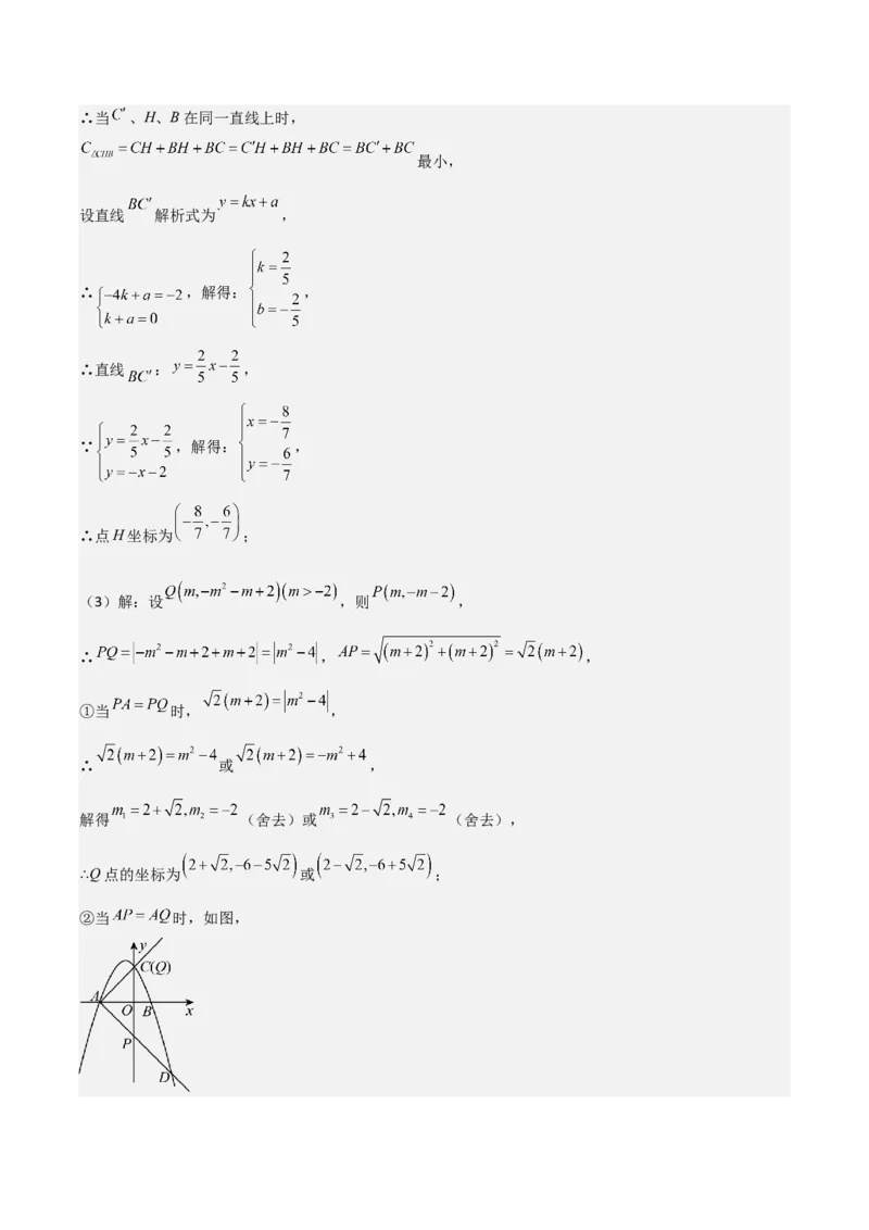
九年级第12讲图形的旋转(4个知识点+4种题型+分层练习)(教师版)_初中数学_九年级数学上册(人教版)_常见题型通关讲解练-V3_2025版
九年级第12讲图形的旋转(4个知识点+4种题型+分层练习)(教师版)_初中数学_九年级数学上册(人教版)_常见题型通关讲解练-V3_2025版
九年级第12讲图形的旋转(4个知识点+4种题型+分层练习)(教师版)_初中数学_九年级数学上册(人教版)_常见题型通关讲解练-V3_2025版
九年级第12讲图形的旋转(4个知识点+4种题型+分层练习)(教师版)_初中数学_九年级数学上册(人教版)_常见题型通关讲解练-V3_2025版
九年级第12讲图形的旋转(4个知识点+4种题型+分层练习)(教师版)_初中数学_九年级数学上册(人教版)_常见题型通关讲解练-V3_2025版
九年级第12讲图形的旋转(4个知识点+4种题型+分层练习)(教师版)_初中数学_九年级数学上册(人教版)_常见题型通关讲解练-V3_2025版
九年级第12讲图形的旋转(4个知识点+4种题型+分层练习)(教师版)_初中数学_九年级数学上册(人教版)_常见题型通关讲解练-V3_2025版
九年级第12讲图形的旋转(4个知识点+4种题型+分层练习)(教师版)_初中数学_九年级数学上册(人教版)_常见题型通关讲解练-V3_2025版
九年级第12讲图形的旋转(4个知识点+4种题型+分层练习)(教师版)_初中数学_九年级数学上册(人教版)_常见题型通关讲解练-V3_2025版
九年级第12讲图形的旋转(4个知识点+4种题型+分层练习)(教师版)_初中数学_九年级数学上册(人教版)_常见题型通关讲解练-V3_2025版
九年级第12讲图形的旋转(4个知识点+4种题型+分层练习)(教师版)_初中数学_九年级数学上册(人教版)_常见题型通关讲解练-V3_2025版
九年级第12讲图形的旋转(4个知识点+4种题型+分层练习)(教师版)_初中数学_九年级数学上册(人教版)_常见题型通关讲解练-V3_2025版
九年级第12讲图形的旋转(4个知识点+4种题型+分层练习)(教师版)_初中数学_九年级数学上册(人教版)_常见题型通关讲解练-V3_2025版
九年级第12讲图形的旋转(4个知识点+4种题型+分层练习)(教师版)_初中数学_九年级数学上册(人教版)_常见题型通关讲解练-V3_2025版
九年级第12讲图形的旋转(4个知识点+4种题型+分层练习)(教师版)_初中数学_九年级数学上册(人教版)_常见题型通关讲解练-V3_2025版
九年级第12讲图形的旋转(4个知识点+4种题型+分层练习)(教师版)_初中数学_九年级数学上册(人教版)_常见题型通关讲解练-V3_2025版
九年级第12讲图形的旋转(4个知识点+4种题型+分层练习)(教师版)_初中数学_九年级数学上册(人教版)_常见题型通关讲解练-V3_2025版
九年级第12讲图形的旋转(4个知识点+4种题型+分层练习)(教师版)_初中数学_九年级数学上册(人教版)_常见题型通关讲解练-V3_2025版
九年级第12讲图形的旋转(4个知识点+4种题型+分层练习)(教师版)_初中数学_九年级数学上册(人教版)_常见题型通关讲解练-V3_2025版
九年级第12讲图形的旋转(4个知识点+4种题型+分层练习)(教师版)_初中数学_九年级数学上册(人教版)_常见题型通关讲解练-V3_2025版
九年级第12讲图形的旋转(4个知识点+4种题型+分层练习)(教师版)_初中数学_九年级数学上册(人教版)_常见题型通关讲解练-V3_2025版
九年级第12讲图形的旋转(4个知识点+4种题型+分层练习)(教师版)_初中数学_九年级数学上册(人教版)_常见题型通关讲解练-V3_2025版
九年级第12讲图形的旋转(4个知识点+4种题型+分层练习)(教师版)_初中数学_九年级数学上册(人教版)_常见题型通关讲解练-V3_2025版
九年级第12讲图形的旋转(4个知识点+4种题型+分层练习)(教师版)_初中数学_九年级数学上册(人教版)_常见题型通关讲解练-V3_2025版
九年级第12讲图形的旋转(4个知识点+4种题型+分层练习)(教师版)_初中数学_九年级数学上册(人教版)_常见题型通关讲解练-V3_2025版
九年级第12讲图形的旋转(4个知识点+4种题型+分层练习)(教师版)_初中数学_九年级数学上册(人教版)_常见题型通关讲解练-V3_2025版
九年级第12讲图形的旋转(4个知识点+4种题型+分层练习)(教师版)_初中数学_九年级数学上册(人教版)_常见题型通关讲解练-V3_2025版
九年级第12讲图形的旋转(4个知识点+4种题型+分层练习)(教师版)_初中数学_九年级数学上册(人教版)_常见题型通关讲解练-V3_2025版
九年级第12讲图形的旋转(4个知识点+4种题型+分层练习)(教师版)_初中数学_九年级数学上册(人教版)_常见题型通关讲解练-V3_2025版

文档信息

文档格式
docx
文档大小
4.451 MB
文档页数
48 页
上传时间
2026-03-25 23:03:44

文档内容

第 12 讲 图形的旋转(4 个知识点+4 种题型+分层 练习) 知识导图 知识清单 知识点1.生活中的旋转现象 (1)旋转的定义:在平面内,把一个图形绕着某一个点O旋转一个角度的图形变换叫做旋转.点O叫做 旋转中心,转动的角叫做旋转角,如果图形上的点P经过旋转变为点P′,那么这两个点叫做对应点. (2)注意: ①旋转是围绕一点旋转一定的角度的图形变换,因而旋转一定有旋转中心和旋转角,且旋转前后图形能够 重合,这时判断旋转的关键. ②旋转中心是点而不是线,旋转必须指出旋转方向. ③旋转的范围是平面内的旋转,否则有可能旋转成立体图形,因而要注意此点. 知识点2.旋转的性质 (1)旋转的性质: ①对应点到旋转中心的距离相等. ②对应点与旋转中心所连线段的夹角等于旋转角. ③旋转前、后的图形全等. (2)旋转三要素:①旋转中心; ②旋转方向; ③旋转角度. 注意:三要素中只要任意改变一个,图形就会不一样. 知识点3.旋转对称图形 (1)旋转对称图形 如果某一个图形围绕某一点旋转一定的角度(小于360°)后能与原图形重合,那么这个图形就叫做旋 转对称图形. (2)常见的旋转对称图形有:线段,正多边形,平行四边形,圆等.知识点4.坐标与图形变化-旋转 (1)关于原点对称的点的坐标 P(x,y) P(﹣x,﹣y) (2)旋转图形⇒的坐标 图形或点旋转之后要结合旋转的角度和图形的特殊性质来求出旋转后的点的坐标.常见的是旋转特殊 角度如:30°,45°,60°,90°,180°. 题型强化 题型一.生活中的旋转现象 1.(2024•南皮县校级二模)下列四个图形中,最贴近“将线段 绕其端点 顺时针旋转”这个描述的 是 A. B. C. D. 【分析】根据旋转及线段的定义逐一判断即可求解. 【解答】解: 、该图形是由线段 绕其端点 逆时针旋转得到,不合题意; 、该图形是由线段 绕其端点 顺时针旋转得到,符合题意; 、该图形是由射线 绕其端点 逆时针旋转得到,不合题意; 、该图形是由射线 绕其端点 顺时针旋转得到,不合题意; 故选: . 【点评】本题考查了旋转、线段的定义,掌握旋转及线段的定义是解题的关键. 2.(2024•桐柏县二模)如图,小方格都是边长为1的正方形,则以格点为圆心,半径为1和2的两种弧 围成的“叶片状”阴影图案的面积为 .【分析】连接 ,阴影部分面积 ,依此计算即可求解. 【解答】解:连接 ,阴影部分面积 . 故答案为: . 【点评】此题主要考查了扇形的面积公式,应用与设计作图,关键是需要同学们熟练掌握基础知识. 3.如图,钟摆的摆动是旋转,图中的旋转中心是哪一点?试用量角器测量旋转角度的大小.(精确到 【分析】根据旋转的概念即可得到结论. 【解答】解:图中的旋转中心是点 , 旋转角度的大小约为 . 【点评】本题考查了旋转的概念,角的度量,正确的认识旋转角是解题的关键. 题型二.旋转的性质 4.(2024•江北区校级开学)如图,在矩形 中, ,将矩形 绕点 逆时针旋转,得到 矩形 ,点 的对应点 落在 上,且 ,则四边形 的面积为 .【分析】由旋转的性质得到 ,再由 可知△ 为等腰直角三角形,进而可求 出 的长,再利用面积的转化即可求解. 【解答】解:由题意可知, , , , , . 故答案为: . 【点评】本题考查旋转的性质、矩形的性质、勾股定理,熟练掌握旋转的性质是解题的关键. 5.(2024•天长市二模)已知一副三角板如图所示放置, 的三角板的直角顶点 在 三角板斜边 的中点,点 、 分别是直角边 、 边上的两点,且 ,连接 、 ,其所在的两条 直线相交于点 ,连接 ,当三角板 在绕 旋转时,若 ,则 的长度的最小值为 A. B. C. D. 【分析】由等腰直角三角形的性质可得 , ,由“ ”可证△ △ , 可得 ,由四边形内角和定理可求 ,即点 在以 为直径的圆上运动,则当 点 在 上时, 有最小值,由勾股定理可求解. 【解答】解:如图,连接 ,取 的中点 ,连接 ,△ 是等腰直角三角形,点 是 的中点, , , , , △ △ , , , , , , 点 在以 为直径的圆上运动, 当点 在 上时, 有最小值, , , 点 是 的中点, , , 的最小值为 , 故选: . 【点评】本题考查了旋转的性质,全等三角形的判定和性质,等腰直角三角形的性质,勾股定理等知识, 灵活运用这些性质解决问题是解题的关键. 6.(2023秋•信丰县期末)如图, 由 绕点 按逆时针方向旋转 得到,且点 的对应点 恰好落在 的延长线上, , 相交于点 . (1)求 的度数; (2) 是 延长线上的点,且 .判断 和 的数量关系,并证明.【分析】(1)根据旋转的性质可得 , , ,从而得出答案; (2)利用三角形的外角等于不相邻的两个内角和即可说明 ,从而 . 【解答】解:(1)由旋转的性质可知, , , 在 中, , , . (2) .理由如下: 由旋转的性质可知, , , 在 中, , , , , 即 , . 【点评】本题主要考查了旋转的性质,三角形内角和定理,等腰三角形的判定与性质,三角形外角的性质 等知识,熟练掌握三角形外角的性质是解题的关键. 题型三.旋转对称图形 7.(2024•郑州模拟)如果一个四边形绕对角线交点旋转 ,所得图形与原来的图形重合,那么这个四 边形是 A.平行四边形 B.矩形 C.菱形 D.正方形 【分析】根据旋转对称图形的定义和正方形的判定作答. 【解答】解:由题意可得,此四边形的对角线互相垂直、平分且相等,则这个四边形是正方形. 故选: . 【点评】此题主要考查旋转对称图形的定义和正方形的判定,旋转对称图形的概念:把一个图形绕着一个 定点旋转一个角度后,与初始图形重合,这种图形叫做旋转对称图形,这个定点叫做旋转对称中心,旋转的角度叫做旋转角. 8.(2024•前郭县二模)将如图所示的图案围绕它的中心旋转一定角度后与其自身完全重合,则这个旋转 角可能是 6 0 (答案不唯一) 度.(写出一个即可) 【分析】根据旋转的性质即可得到结论. 【解答】解:将如图所示的团绕它的中心旋转一定角度后与其自身完全重合,则这个旋转角可能是 , 故答案为:60(答案不唯一), 【点评】本题考查了旋转对称图形,熟练掌握旋转对称图形的定义是解题的关键. 9.(2022秋•赣州期末)(1)解方程: . (2)如图,将其绕着某点旋转 ,能与自身重合,求 的最小值. 【分析】(1)移项后,利用因式分解法求解即可; (2)根据旋转角的定义判断即可. 【解答】解:(1) , , , 或 , 解得: , ; (2)如图: 由题意, ,故该图形围绕点 旋转能与自身重合,则旋转角最小为 . 【点评】本题考查了解一元二次方程,旋转对称图形,解题的关键是掌握因式分解法,会求中心角. 题型四.坐标与图形变化-旋转 10.(2024•牡丹江一模)如图,在平面直角坐标系中,点 在第一象限, , , 将 绕点 旋转,使点 落在 轴上,则此时点 的坐标为 或 . 【分析】分当点 在 轴正半轴时,当点 在 轴负半轴时,过点 作 于 ,根据旋转的性质 得到 , ,据此利用勾股定理和含30度角的直角三角形的性质求出点 的 坐标即可得到答案. 【解答】解: , , , 设点 的对应点为点 ,点 的对应点为 , 如图所示,当点 在 轴正半轴时,过点 作 于 , 由旋转的性质可得 , , , ,; 如图所示,当点 在 轴负半轴时,同理可得 ; 综上所述,当点 落在 轴上,此时点 的坐标为 或 , 故答案为: 或 . 【点评】本题主要考查了坐标与图形变化—旋转,等边对等角,勾股定理,含30度角的直角三角形的性质, 熟记含30度角的直角三角形的性质是解题的关键. 11.(2024•殷都区模拟)如图,在平面直角坐标系 中,点 在第二象限,点 在 轴正半轴上, , .将 绕点 顺时针旋转 得到△ ,则点 的对应点 的坐标是A. B. C. D. 【分析】过点 作 轴于 ,根据旋转的性质及等角对等边性质,利用含 角的直角三角形及勾 股定理即可求解. 【解答】解:过点 作 轴于 ,如图所示: , , , , 将 绕点 顺时针旋转 得到△ , , , , , , , , , 点 的坐标为: , 故选: . 【点评】本题考查了旋转的性质、等角对等边性质、含 角的直角三角形和勾股定理的应用,熟练掌握 旋转的性质及勾股定理的应用,借助辅助线构造直角三角形是解题的关键. 12.(2023秋•涧西区校级月考)如图,在正方形网格中, 的顶点均在格点上. (1)请在正方形网格中建立平面直角坐标系,使点 , ,并求点 的坐标; (2)在所建立的平面直角坐标系中,△ 是由 绕点 旋转得到,求点 的坐标.【分析】(1)根据已知点坐标建立平面直角坐标系,进而得出 点坐标; (2)连接 , ,线段 、 的垂直平分线的交点就是点 . 【解答】解:(1)如图所示: 由平面直角坐标系得,点 的坐标为 ; (2)连接 、 ,如图所示: 作线段 的垂直平分线 ,作线段 的垂直平分线 , 直线 和直线 的交点为 ,点 就是旋转中心,点 的坐标为 . 【点评】本题考查旋转的性质,掌握对应点连线段的垂直平分线的交点就是旋转中心,是解题的关键. 分层练习 一、单选题1.已知直线 : 与直线 关于点 对称,则直线 的表达式为( ) A. B. C. D. 【答案】D 【知识点】根据旋转的性质说明线段或角相等、求一次函数解析式 【分析】由题意设所求的直线方程为y=2x+b,再确定 关于点M(1,0)的对称点为 ,把 对称点代入y=2x+b,求得b的值即可. 【详解】解:如图,直线AB为 即直线 令 则 令 则 则 关于点M(1,0)的对称点为 由中心对称的性质可得: 即直线 设直线 的表达式为y=2x+b, 解得b=-8,∴直线 的表达式为y=2x-8, 故选:D. 【点睛】本题考查了一次函数图象与几何变换,待定系数法求一次函数的解析式,求得直线上某一点的对 称点的坐标是解本题的关键. 2.如图,将 绕点O顺时针方向旋转 至 ,已知 ,则 的度数为( ) A. B. C. D. 【答案】C 【知识点】根据旋转的性质求解 【分析】本题主要考查旋转的性质.根据旋转的性质得 ,结合图形求解即可得出结果. 【详解】解:∵将 绕点O顺时针方向旋转 至 , ∴ , ∵ , ∴ , 故选:C. 3.如图,点A,B,C,D,O都在方格纸的格点上,若 绕点 按逆时针方向旋转到 的位置, 则旋转的角度为( ) A. B. C. D. 【答案】B 【知识点】根据旋转的性质求解、找旋转中心、旋转角、对应点 【分析】本题考查了旋转的性质,熟记性质以及旋转角的确定是解题的关键.根据旋转的性质,对应边的 夹角 即为旋转角.【详解】解:∵ 绕点O按逆时针方向旋转到 的位置, ∴对应边 的夹角 即为旋转角, 而 . ∴旋转的角度为 . 故选:B. 4.如图,在平面直角坐标系中,将线段 绕点 按逆时针方向旋转 后,得到线 ,则点 的坐标 为( ) A. B. C. D. 【答案】A 【知识点】求绕某点(非原点)旋转90度的点的坐标 【分析】根据题目描述的信息,画出旋转后的图形;结合图形,即可判断出点B'的坐标. 【详解】AB绕点A按逆时针方向旋转90°后,位置如图所示: 观察图形可得点B′的坐标为(4,2). 故选:A. 【点睛】本题主要考查的是旋转后确定点的坐标.解答此类题目,关键是根据旋转的性质画出示意图. 5.如图,正方形 的对角线 交于点O,点M在 内,将点M绕点O逆时针旋转 , 则M的对应点 在( )A. 内 B. 内 C. 内 D. 内 【答案】A 【知识点】根据旋转的性质求解、根据正方形的性质求角度 【分析】连接 ,根据正方形的性质可得 ,再由旋转的性质可得 ,从而得到 ,即可求解. 【详解】解:如图,连接 , ∵四边形 是正方形, ∴ ,即 , 由旋转的性质得: , ∴ , ∴ , ∴ , ∵点M在 内, ∴ , ∴M的对应点 在 内. 故选:A 【点睛】本题主要考查了正方形的性质,图形的旋转,熟练掌握正方形的性质,图形的旋转的性质是解题 的关键.6.如图,在平面直角坐标系中, 是坐标原点,点 、 的坐标分别为 连接AB得到 .现将 绕原点 顺时针旋转 得到 ,则 对应点 的坐标为( ) A.(4, 0) B.(0, 4) C.(-4, 0) D.(0, -4) 【答案】A 【知识点】求绕原点旋转一定角度的点的坐标 【分析】根据题意画出图形旋转后的位置,确定对应点的坐标. 【详解】△A′B′O位置如图: ∵A(0,4),∴OA=OA′=4. ∴A′(4,0). 故选:A. 【点睛】考查旋转的性质,画出示意图是解题的关键.注意旋转的方向和旋转的角度. 7.如图,将 绕直角顶点顺时针旋转 ,得到 ,连接 ,若 ,则 的度数 是( ) A. B. C. D.【答案】A 【知识点】三角形的外角的定义及性质、等边对等角、根据旋转的性质求解 【分析】本题主要考查了旋转的性质,等腰三角形的性质,三角形外角的性质,根据旋转得出 , ,根据等腰三角形的性质得出 ,根据三角形外角的性质得出 ,即可得出答案. 【详解】解:∵ 绕直角顶点顺时针旋转 ,得到 , ∴ , , ∴ , ∴ , 由旋转的性质得 . 故选:A. 8.如图,△ABC中,∠A=75°,∠B=50°,将△ABC绕点C按逆时针方向旋转,得到△A’B’ C,点A的对 应点A'落在AB边上,则∠BCA'的度数为( ) A.20° B.25° C.30° D.35° 【答案】B 【知识点】根据旋转的性质求解、三角形内角和定理的应用 【分析】根据三角形内角和定理了求出∠ACB的度数,再根据旋转得出AC=A′C,进一步求出∠ACA′,即 可得出答案. 【详解】解:∵△ABC中,∠A=75°,∠B=50°, ∴∠BCA=180°−∠A−∠B=55°, ∵将 ABC绕点C按逆时针方向旋转,得到 A’B’C’,点A的对应点A’落在AB边上, ∴AC=△A′C, △ ∴∠CA′A=∠A=75°, ∴∠ACA′=180°−∠A−∠CA′A=30°, ∴∠BCA′=∠BCA−∠ACA′=25°, 故选B.【点睛】本题考查了旋转的性质、等腰三角形的性质等知识.利用旋转找出图中的等腰三角形是解题的关键. 9.如图,平行四边形 ABCD 中,AD∥BC,AB=BC=CD=AD=4,∠A=∠C=60°,连接 BD,将 BCD 绕点 B 旋 转,当 BD(即 BD′)与 AD 交于一点 E,BC(即 BC′)同时与 CD 交于一点 F 时,下列△结论正确的是 ( ) ①AE=DF;②∠BEF=60°;③∠DEB=∠DFB;④△DEF 的周长的最小值是4+2 A.①② B.②③ C.①②④ D.①②③④ 【答案】C 【分析】根据题意可证△ABE≌△BDF,可判断①②③,由△DEF的周长=DE+DF+EF=AD+EF=4+EF,则当 EF最小时△DEF的周长最小,根据垂线段最短,可得BE⊥AD时,BE最小,即EF最小,即可求此时 △BDE周长最小值. 【详解】∵AB=BC=CD=AD=4,∠A=∠C=60°, ∴△ABD,△BCD为等边三角形,∴∠A=∠BDC=60°. ∵将△BCD绕点B旋转到△BC'D'位置, ∴∠ABD'=∠DBC',且AB=BD,∠A=∠DBC', ∴△ABE≌△BFD, ∴AE=DF,BE=BF,∠AEB=∠BFD, ∴∠BED+∠BFD=180°. 故①正确,③错误; ∵∠ABD=60°,∠ABE=∠DBF, ∴∠EBF=60°. 故②正确; ∵△DEF的周长=DE+DF+EF=AD+EF=4+EF, ∴当EF最小时.∵△DEF的周长最小. ∵∠EBF=60°,BE=BF,∴△BEF是等边三角形, ∴EF=BE, ∴当BE⊥AD时,BE长度最小,即EF长度最小.∵AB=4,∠A=60°,BE⊥AD, ∴EB=2❑√3, ∴△DEF的周长最小值为4+2❑√3. 故④正确. 故选C. 【点睛】本题考查了旋转的性质,等边三角形的性质,平行四边形的性质,最短路径问题,关键是灵活运 用这些性质解决问题. 10.如图,扇形 中, ,将扇形 绕点B逆时针旋转,得到扇形 ,若点O刚好落 在弧 上的点D处,则 的值为( ) A. B. C. D. 【答案】B 【知识点】根据旋转的性质求解、等边三角形的判定和性质 【分析】如图,连OD、AB、BC,延长AD交BC于H点,由旋转的性质可得BD=BO=OD=CD=OA, ∠BDC=90 ,可证 ABC是等边三角形,由线段垂直平分线的性质可得AH垂直平分BC,由等腰直角三角 形的性质和等边三角形的性质可得AC=2CH,AD= CH-CH=( -1)CH,即可求解. 【详解】解:如图,连OD、AB、BC,延长AD交BC于H点,∵将扇形OAB绕点B逆时针旋转,得到扇形BDC,若点O刚好落在弧AB上的点D处, ∴BD=BO=OD=CD=OA,∠BDC=90 , ∴∠OBD=60 ,即旋转角为60 , ∴∠ABC=60 ,又可知AB=BC, ∴ ABC是等边三角形, ∵AB=AC,BD=CD, ∴AH垂直平分BC, ∴∠CAH=30 , ∴AC=2CH,AH= CH, ∵BD=CD,∠BDC=90 ,DH⊥BC, ∴DH=CH, ∴AD= CH-CH=( -1)CH, ∴ , 故选:B . 【点睛】本题考查了旋转的性质,等边三角形的性质,利用CH表示AC和AD是本题的关键. 二、填空题 11.如图, 绕点 旋转 得到 ,则 与 的位置关系是 ,数量关系是 . 【答案】 平行 相等 【知识点】根据旋转的性质求解 【分析】(1)根据题意和旋转的性质,得到 ,再通过内错角相等,两直线平行,即可得出答案; (2)通过旋转的性质,即可得出答案. 【详解】(1)由旋转的性质,可得: , ∴ (内错角相等,两直线平行) (2)由旋转的性质,可得: 故答案为:平行;相等【点睛】本题考查旋转的性质,熟练掌握旋转的性质是解本题的关键. 12.如图,将 绕点B顺时针旋转到 位置,使得 ,若 ,则旋转角度为 . 【答案】 【知识点】根据旋转的性质求解 【分析】本题考查了旋转的性质,解题的关键是掌握旋转前后对应边的夹角等于旋转角. 【详解】解:∵ , , ∴ , 则旋转角为 . 故答案为: . 13.如图,将 绕点C顺时针旋转 得到 .若点A,D,E在同一条直线上, , 的度数为 . 【答案】 /75度 【知识点】根据旋转的性质求解、等边对等角、三角形的外角的定义及性质 【分析】本题主要考查了旋转的性质,解决这类问题关键是找准旋转角,利用旋转的性质等量转化角或线 段.根据旋转的性质和等腰三角形的性质,求出 和 度数,利用三角形外角的性质 即可. 【详解】解:∵将 绕点C顺时针旋转 得到 , ∴ , , , ∴ , ∵点A,D,E在同一条直线上,∴ . 故答案为: . 14.如图,把 放在量角器上,读得射线 、 分别经过刻度117和153,把 绕点 逆时针 方向旋转到 ,当 时,射线 经过刻度 . 【答案】45 【知识点】根据旋转的性质求解、几何图形中角度计算问题 【分析】根据量角器可知, ,再根据旋转的性质可知, ,然后结合已知条件求出 ,即可得到射线 经过刻度. 【详解】解: 射线 、 分别经过刻度117和153, , 由 绕点 逆时针方向旋转得到, , ,且 , , , 射线 经过刻度 , 故答案为:45. 【点睛】本题考查了读角、旋转的性质,角的计算,找出图形中角度之间的数量关系是解题关键. 15.直线 与 轴, 轴分别交于 、 两点,把 绕点 顺时针旋转 后得到 , 则点 的坐标是 .【答案】 【知识点】根据旋转的性质求解、几何问题(一次函数的实际应用) 【详解】旋转不改变图形的大小和性质,所得图形与原图形全等,根据全等三角形的性质,即可得到相应 线段的长. 解:直线y= -x+5与x轴,y轴分别交于A(3,0),B(0,5)两点. 旋转前后三角形全等. 由图易知点B′的纵坐标为OA长3,横坐标为OA+OB=OA+O′B′=3+5=8. 则点B’的坐标是 (8,3). 故答案为(8,3). 16.如图,在Rt△ABC中,∠ACB=90°,AC=6,BC=8,将△ABC绕点A逆时针旋转得到△AB′C′,点 B、C的对应点分别为点B'、C′,AB′与BC相交于点D,当B′C′∥AB时,则CD= . 【答案】 【知识点】根据旋转的性质求解、用勾股定理解三角形 【分析】设CD=x,由B′C′∥AB,可推得∠BAD=∠B′,由旋转的性质得:∠B=∠B′,于是得到∠BAD= ∠B,AC=AC′=4,AD=BD=8﹣x,由勾股定理可求解. 【详解】设CD=x, ∵B′C′∥AB, ∴∠BAD=∠B′,由旋转的性质得:∠B=∠B′,AC=AC′=6, ∴∠BAD=∠B, ∴AD=BD=8﹣x, ∴(8﹣x)2=x2+62, ∴x= , ∴CD= , 故答案为: . 【点睛】考核知识点:旋转的性质.理解旋转的性质是关键. 17.如图,在Rt△ABC中,∠ACB=90°,∠A=60°,AC=4,E为斜边AB的中点,点P是射线BC的一个动点,连接 AP、PE,将△AEP沿着边PE叠,折叠后得到△EPA,当折叠后△EPA与△BEP的重叠部分的面积恰好为△ABP 面积的四分之一,则BP的长 【答案】4或 . 【知识点】旋转综合题(几何变换) 【详解】分析: 根据30°角所对直角边等于斜边的一半可求出AB,即可得到AE的值,然后根据勾股定理求出 BC,①若 与AB交于点F,连接 ,如图1,易得 ,即可得到 , .从而可得四边形 是平行四边形,即可得到 ,从而可求出BP;②若 与 BC交于点G,连接 ,交EP与H,如图2,同理可得 , EG= ,根据三角形中位线 定理可得AP=4=AC,此时点P与点C重合 ,从而可求出BP. 详解:因为Rt△ABC中,∠ACB=90°,∠A=60°,AC=4,E为斜边AB的中点, 所以AB=8,AE=4,BC= ,①若PA’与AB交于点F,连接A’B,如图1. 由折叠可得AE=AE’=4,. 因为点E是AB的中点, 由题可得 , , , 所以四边形A’EPB是平行四边形, 所以BP=A’E=4; ②若EA’与BC交于点G,连接AA’,交EP与H,如图2. . 同理可得 , 因为 所以 , 所以点P与点C重合, 所以BP=BC= ,故答案为4或 点睛:本题主要考查30°的直角三角形的性质和三角形中位线的性质,解决本题的关键是要熟练掌握几何图形 的性质进行数形结合求解. 18.如图 ,在 ABC 中,AB=AC=10,BC=16,点 O 是 ABC 的重心,将线段 AO 绕点 A 逆时针旋 转至 O′,点 D△ 为线段 CO′的中点,连接 BD,则 BD 的最△大值为 . 【答案】 +2/2+ 【知识点】根据旋转的性质求解、与三角形中位线有关的求解问题、用勾股定理解三角形、重心的有关性 质 【分析】延长AO交BC于点E,延长CB到点F,使BF=BC,则BD是 CF O′ 的中位线,BD= F O′, △ 当点F、 、A在同一条直线上时,F 最长,BD= F O′最大,再求出F 即可得到BD 的最大值. 【详解】解:如图,延长AO交BC于点E,延长CB到点F,使BF=BC, ∵ BF=BC ∴点B是CF的中点 ∵点 D 为线段 CO′的中点, ∴BD是 CF O′ 的中位线 △ ∴BD= F O′ ∵线段 AO 绕点 A 逆时针旋转至O′, ∴点O′ 在以点A为圆心,AO为半径的圆上运动,如图,∴ 当点F、 、A在同一条直线上时,F 最长,BD= F O′最大, ∵ 点O是 ABC的重心 ∴AE是 AB△C的中线 △ ∴BE=CE= BC=8 ∵AB=AC ∴ ABC是等腰三角形 ∴△AE⊥BC ∴∠AEB=90° ∵AB=10 ∴AE= ∵O为 ABC的重心 △ ∴AO= AE=4 ∵BF=BC=16,BE=8, ∴EF=BE+BF=24 ∴AF= 由旋转的性质知A =AO=4 ∴F =FA+A = +4 ∴BD= F = ( +4)= +2 即BD 的最大值为 +2 故答案为: +2 【点睛】此题考查了等腰三角形的判定和性质、三角形的中位线定理、勾股定理、旋转的性质、重心的性 质等知识,添加适当的辅助线和辅助圆是解决此题的关键. 三、解答题 19.如图,在平面直角坐标系中, 的顶点坐标分别是 ,按要求完成下列问题.(1)将 向左平移2个单位长度得到 ,直接写出点 的坐标; (2)将 绕点A顺时针旋转 得到 ,画出 ,并写出 的坐标; (3)点C的坐标为 ,用作图的方法在x轴上确定一点M,使 最小,并写出点M的坐标. 【答案】(1)见详解, (2)见详解, (3)见详解, 【知识点】画旋转图形、坐标与图形变化——轴对称、平移(作图)、坐标与图形 【分析】本题考查了平移作图、旋转作图,轴对称的性质. (1)先分别作出平移后的 ,再依次连接,即可作答. (2)先分别作出旋转后的 ,再依次连接,即可作答. (3)先作 关于 轴的对称点 ,再连接 ,与 轴的交点,即可作答. 【详解】(1)解: 如图所示:∴ ; (2)解: 如图所示: ∴ ; (3)解:作 关于 轴的对称点 , ∴ , ∵点C的坐标为 , ∴连接 ,与 轴的交点,即为 ,∴ ,两点之间,线段最短, ∴ . 20.在长方形 中, , ,点P在线段 上运动,将线段 绕点B顺时针旋转 至 ,连接 , . (1)如图1,当E点落在 边上时,求 的长度; (2)如图2,在运动过程中,当线段 最短时,求 的度数; (3)连接 ,当 为等腰三角形时,直按写出 的长度. 【答案】(1) (2) (3) 或 【知识点】根据旋转的性质求解、矩形性质理解、用勾股定理解三角形、全等的性质和SAS综合(SAS) 【分析】(1)根据四边形 是长方形, , 得 , ,根据将线 段 绕点B顺时针旋转 至 得 , ,则 ,设 ,则 ,在 中,关根据勾股定理得 计算得 ,则 , ,即可得; (2)以 为边在直线 的右侧作等边三角形 ,连接 交 于点G,则 ,根据 , 得 是等边三角形,即可得 ,根据角之间的关系得 ,利用 证明 ,则 , ,当点 E在经过点F且与 垂直的直线 上运动,当 时,线段 最短,根据 得 ,根据 得 ,则 ,即 , ,,根据 , , 得 ,则 , ,则 ,即可得 ; (3)分情况讨论,当点P与点A重合,作 于点H,则 ,根据 , 得 ,利用 证明 ,则 , 时等腰三角形,根据 得 ,根据勾股定理得 ,则 ,即可得 ,当 是等腰三角形,且 ,即可得 . 【详解】(1)解:∵四边形 是长方形, , , ∴ , , ∵将线段 绕点B顺时针旋转 至 , ∴ , , ∴ , ∴设 ,则 , 在 中,关根据勾股定理得, , , , , , ∴ , ∴ , ∴ ; (2)解:如图所示,以 为边在直线 的右侧作等边三角形 ,连接 交 于点G,∴ , ∵ , , ∴ 是等边三角形, ∴ , ∴ , ∵ , , ∴ , 在 和 中, , ∴ , ∴ , , ∴点E在经过点F且与 垂直的直线 上运动,当 时,线段 最短, ∵ , ∴ , ∵ , ∴ , ∴ , ∴ , ∴ , ∴ , ∵ , , ,∴ , ∴ , ∴ , ∴ , ∴ , ∴ 的度数为 ; (3) 的长度为 或 ,理由如下: 解:如图所示,点P与点A重合,作 于点H, 则 , ∵ , , ∴ , 在 和 中, , ∴ , ∴ , ∴ 是等腰三角形, ∵ , ∴ , ∴ , ∴ , ∴ ,如图所示, 是等腰三角形,且 , ∴ , 综上, 的长度为 或 . 【点睛】本题考查了矩形的性质,等边三角形的判定与性质,旋转的性质,全等三角形的判定与性质,勾 股定理,垂线段最短,掌握这些知识点,添加辅助线是解题的关键,此题难度较大. 21.(1)观察推理:如图1,ΔABC中,∠ACB=90°,AC=BC,直线l过点C,点A,B在直线l同侧, BD⊥l,AE⊥l,垂足分别为D,E.求证: ; (2)类比探究:如图2, 中,∠ACB=90°,AC=4,将斜边AB绕点A逆时针旋转 90°至 ,连接 ,求 的面积; (3)拓展提升:如图3,等边 中,EC=BC=3cm,点O在BC上且OC=2cm,动点P从点E沿射线EC以 1cm/s速度运动,连接OP,将线段OP绕点O逆时针旋转120°得到线段OF,设点P运动的时间为t秒,当 秒时, ,请说明理由. 【答案】(1)证明见解析;(2)8;(3)1,理由见解析. 【知识点】旋转综合题(几何变换)、等边三角形的判定和性质、全等三角形综合问题 【分析】(1)由“AAS”证明△AEC≌△CDB; (2)作B′D⊥AC于D,由“AAS”证明△B′AD≌△ABD,可得B′D=AC=4,即可求出面积; (3)先证明三角形POC是等边三角形,得CP的长度,即可求解.【详解】(1) ∵BD⊥l,AE⊥l, ∴∠AEC=∠BDC=90°, ∵∠EAC+∠ACE=90°,∠BCD+∠ACE=90°, ∴∠EAC=∠BCD, 在△AEC和△CDB中, , ∴△AEC≌△CDB; (2)如图,作B′D⊥AC于D, ∵斜边AB绕点A逆时针旋转90°至AB′, ∴AB′=AB,∠B′AB=90°, 即∠B′AC+∠BAC=90°, 而∠B+∠CAB=90°, ∴∠B=∠B′AC, 在△B′AD和△ABD中, , ∴△B′AD≌△ABD, ∴B′D=AC=4, ∴△AB′C的面积= ×4×4=8; (3)由题意得: ,则 ,∵OF∥ED, ∴∠POF+∠OPC=180°, ∵∠POF=120°, ∴∠OPC=60°, ∵△BEC是等边三角形, ∴∠BCE=60°=∠OPC, ∴∠E=∠OPC=60°, ∴△COP是等边三角形, ∴PC=OC=2cm, ∴ ,解得 , 即当t=1秒时,OF∥ED, 故答案为:1. 【点睛】本题考查几何变换综合题,解题的关键是掌握全等三角形的性质和判定,等边三角形的性质和判 定,旋转的性质. 22.已知,在四边形 中, ,连接 . (1)如图1,若 , , ,求 的面积; (2)如图2,若 , 平分 ,求证: ; (3)如图3,在(2)的条件下,若点P是射线 上一动点,连接 .将线段 绕着点D顺时针旋转 , 点P的对应点为 ,若 ,请直接写出 的最小值. 【答案】(1) (2)见解析 (3) 的最小值是【知识点】根据旋转的性质求解、用勾股定理解三角形、等边三角形的判定和性质、含30度角的直角三角 形 【分析】本题考查了旋转的性质,等边三角形的判定与性质,直角三角形的性质,垂线段最短, (1)过点C作 于点M,则 ,根据 得 ,在 中, ,根据勾股定理得, ,计算得 ,即可得; (2)延长 得到E,使 ,连接 ,根据 , 平分 得 ,则 是等边三角形, , ,即可得 ,根据 , 得 ,利用 可证明 ,则 ,根据 ,即可得; (3)由(2)知, ,根据线段 绕着点D顺时针旋转 ,点P的对应点为 的 , 根据点P是射线 上一动点得 时, 最小,根据 得 ,则 ,即可得; 掌握旋转的性质,等边三角形的判定与性质,直角三角形的性质,垂线段最短,添加辅助线是解题的关键. 【详解】(1)解:如图所示,过点C作 于点M, ∴ , ∵ , ∴ , 在 中, ,根据勾股定理得, , ∴ , , ∴ ; (2)证明:如图所示,延长 得到E,使 ,连接 ,∵ , 平分 , ∴ , ∴ 是等边三角形, ∴ , , ∴ , ∵ , , ∴ , 在 和 中, ∴ , ∴ , ∵ , ∴ ; (3)解:由(2)知, , ∵线段 绕着点D顺时针旋转 ,点P的对应点为 , ∴ , ∵点P是射线 上一动点, ∴ 时, 最小, ∵ , ∴ , ∴ ,∴ 的最小值是 . 23.如图,抛物线 与x轴交于点A(−2,0)和 ,与y轴交于点C. (1)求抛物线的表达式; (2)作射线 ,将射线 绕点A顺时针旋转 交抛物线于另一点D,在射线 上是否存在一点H,使 的周长最小,若存在,求出点H的坐标;若不存在,请说明理由; (3)在(2)的条件下,点Q为抛物线的动点,过Q点作x轴的垂线交射线 与P点,点Q从A点出发,P 点随之运动,当 是以 为腰的等腰三角形时,直接写出Q点的坐标. 【答案】(1) (2)存在, (3) 点的坐标为 或 或 【知识点】特殊三角形问题(二次函数综合)、线段周长问题(二次函数综合)、根据旋转的性质求解、待定系 数法求二次函数解析式 【分析】(1)由抛物线与x轴两交点坐标,可得抛物线交点式为 ,去括号即得到抛物线 的表达式; (2)由于点H在射线 上运动,点C、B在射线 的同侧,求 的周长最小即求 最小, 作点C关于直线 的对称点 即有 ,只要点 、H、B在同一直线上时, 最小.求点C坐标,即求直线 解析式,由射线 是由射线 旋转 得 到可求得直线 解析式.由点A为 中点求得点 坐标,即求得直线 解析式,把直线 与直线 解析式联立成方程组,求得的解即为点H坐标.(3)设 ,由直线 : 可得 ,则 , ,分两种情况:①当 时, ②当 时,根据等腰三角形的性质即可求解. 【详解】(1)解:∵抛物线 与x轴交于点A(−2,0)和 , ∴交点式为 , ∴抛物线的表示式为 ; (2)解:在射线 上存在一点H,使 的周长最小, 如图,延长 到 ,使 ,连接 , 与 交点即为满足条件的点H, ∵ 时, , ∴ , ∴ , ∴ ,直线 解析式为 , ∵射线 绕点A顺时针旋转 得射线 , ∴ , ∴ , ∴直线 解析式为 , ∵ , ∴ , 垂直平分 , ∴ ,∴当 、H、B在同一直线上时, 最小, 设直线 解析式为 , ∴ ,解得: , ∴直线 : , ∵ ,解得: , ∴点H坐标为 ; (3)解:设 ,则 , ∴ , , ①当 时, , ∴ 或 , 解得 (舍去)或 (舍去), ∴Q点的坐标为 或 ; ②当 时,如图,∵ 轴, ∴ , ∴ , ∴ (舍去), ∴Q点的坐标为(0,2). 综上所述,当 是以 为腰的等腰三角形时,Q点的坐标为 或 或 (0,2). 【点睛】本题是二次函数综合题,考查了二次函数的图象与性质,旋转的性质,轴对称求最短路径,等腰 三角形的性质,解二元一次方程组.其中第(3)题要分类讨论,避免漏解. 24.如图1,点 为线段 上一点,一副直角三角板的直角顶点与点 重合,直角边 、 在线段 上, . (1)将图1中的三角板 绕着点 沿顺时针方向旋转到如图2所示的位置,若 ,则 ________;猜想 与 的数量关系为________; (2)将图1中的三角板 绕着点 沿逆时针方向按每秒 的速度旋转一周,三角板 不动,请问 几秒时 所在的直线平分 ? (3)将图1中的三角板 绕着点 沿逆时针方向按每秒 的速度旋转一周,同时三角板 绕着点 沿顺时针方向按每秒 的速度旋转(随三角板 停止而停止),请计算几秒时 与 的角 分线共线. 【答案】(1)145°,180°;(2)3秒或15秒后OD所在的直线平分∠AOB;(3) 秒或 或 秒后 与 的角分线共线. 【知识点】旋转综合题(几何变换)、几何图形中角度计算问题【分析】(1)根据互余关系先求出∠AOD,再由角的和差求出结果; (2)当沿逆时针方向旋转45°或225°时,OD所在的直线平分∠AOB,由此便可求得结果; (3)①当∠COD和∠AOB角平分线夹角为180时,②当∠COD和∠AOB角平分线重合时,即夹角为0°,③ 当∠COD和∠AOB角平分线重合后再次夹角为180°时,列出关于t的方程进行解答. 【详解】解:(1)∵∠COD=90°,∠AOC=35°, ∴∠AOD=∠COD-∠AOC=55°, ∵∠AOB=90°, ∴∠BOD=∠AOB+AOD=145°, ∵∠BOD=∠AOD+∠AOC+BOC, ∴∠AOC+∠BOD=∠AOC+∠AOD+∠AOC+∠BOC=∠COD+∠AOB=90°+90°=180°, ∴∠AOC+∠BOD=∠=180°, 故答案为:145°,180°; (2)根据题意可得, 当旋转45°或225°时,OD所在的直线平分∠AOB, 所以,旋转时间为:45°÷15°=3(秒),225°÷15°=15(秒), 则3秒或15秒后OD所在的直线平分∠AOB; (3)起始位置∠COD和∠AOB角平分线夹角为90°, ①当∠COD和∠AOB角平分线夹角为180时, , 解得 (秒); ②当∠COD和∠AOB角平分线重合时,即夹角为0°, , 解得: (秒); ③当∠COD和∠AOB角平分线重合后再次夹角为180°时, , 解得: (秒); 综上, 秒或 或 秒后 与 的角分线共线. 【点睛】本题是一个图形旋转综合题,考查了旋转性质,互余角的性质,一元一次方程的应用,射线所在 直线平分角,分为两种情况,射线在角内,射线在角外,应考虑全面,第(3)小题分三种情况研究平分角,从中找出t的方程,是解决难点的突破口,难度较大. 25.某研究性学习小组在学习第三章第4节《简单的图案设计》时,发现了一种特殊的四边形,如图1, 在四边形 中, , ,我们把这种四边形称为“等补四边形”.如何求“等补 四边形”的面积呢? 探究一: (1)如图2,已知“等补四边形” ,若 ,将“等补四边形” 绕点 顺时针旋转 , 可以形成一个直角梯形(如图3).若 , ,则“等补四边形”的面积为______ 探究二: (2)如图4,已知“等补四边形” ,若 ,将“等补四边形”绕点 顺时针旋转 ,再 将得到的四边形按上述方式旋转 ,可以形成一个等边三角形(如图5).若 , ,求 “等补四边形” 的面积. 探究三: (3)由以上探究可知,对一些特殊的“等补四边形”,只需要知道 , 的长度,就可以求它的面积. 那么如图6,已知“等补四边形” ,连接 ,若 , , ,试求出“等补四 边形” 的面积(用含 , 的代数式表示). 【答案】(1) ;(2) ;(3) 【知识点】根据旋转的性质求解、四边形其他综合问题、用勾股定理解三角形、等边三角形的判定和性质 【分析】本题考查“等补四边形”,旋转、等边三角形,勾股定理的知识等,解题的关键是掌握“等补四 边形”的性质,旋转的性质,等边三角形的性质,勾股定理的运用,即可. (1)根据旋转的性质,则四边形的面积等于直角梯形面积的一半,结合题意,求出直角梯形的面积,即可; (2)根据旋转的性质,四边形的面积等于等边三角形的面积的 ,根据等边三角形的性质,则 , ,根据直角三角形的中 所对的直角边等于斜边的一半, ,根据勾股定理 求出三角形的高,即可求出等边三角形的面积,即可; (3)作 于点 ,根据等补四边形 中, ,推出, ; 当点 , , 在同一直线上,则 , 求出 ,根据 ,则 , 求出 ,根据“等补四边形” 的面积等于 的面积,即可. 【详解】(1)等补四边形”的面积为 , 故答案为: . (2)如图,过点 作 交于点 , 根据题意可得: , ∵ 是等边三角形, ∴ , , ∴ , 在 中, , , ∴ , ∴ , ∴“等补四边形” 的面积为: . (3)如图,将 绕点 顺时针旋转得到 , 作 于点 ,∴ , , , , 在等补四边形 中, , ∴ , ∴点 , , 在同一直线上, ∴ , ∵ , ∴ , 在 中, ∵ , ∴ , ∴ , ∴“等补四边形” 的面积等于 的面积: . 26.实践与探究 【问题提出】已知三条射线 、 、 ,若其中一条射线平分另两条射线所组成的角时(如下图中 ),我们称 、 、 组成的图形为“角分图形”. 【问题探究】在一次数学活动课上,小明和小亮同学用一个含 角的直角三角板做分角实验.如图1,在 直线 上取一点 ,过点 作射线 ,使 .将一直角三角板的直角顶点放在点 处,一边 在射线 上,另一边 在直线 的下方. 小明同学将图1中的三角板绕点 逆时针旋转 ,使一边 在 的内部,如图2.小明发现此时 、 、 组成的图形为“角分图形”,请说明理由.【类比探究】 小亮同学将图1中的三角板绕点 以每秒 的速度沿逆时针方向旋转一周,在旋转的过程中,第 秒时, 发现射线 、 、 恰好构成“角分图形”,请求出 的值. 【问题拓展】 小明同学将图1中的三角板绕点 顺时针旋转至图3,使 在 的内部,问题:在旋转过程中, 与 的差是否发生变化?若不变,请求出这个差值;若变化,请求出差的变化范围. 【答案】问题探究:见详解 类比探究: 秒或 秒或 秒 问题拓展:不变, 【知识点】根据旋转的性质求解、角平分线的有关计算、几何图形中角度计算问题 【分析】本题考查了角分线的定义、旋转的性质、角度的加减等知识,由图和正确分类讨论是解题的关键. 问题探究:利用已知条件,旋转的性质和角平分线定义即可得出答案; 类比探究:由分类讨论和旋转的性质,结合题意即可得出答案; 问题拓展:通过设未知数,并根据角的和与差的运算消去未知数即可得出答案. 【详解】解: 问题探究:由题意可知, 、 、 组成的图形为“角分图形”; 类比探究: 当射线 在中间时 此时 位于 上方,且此时 转过的角度为 (秒) 当射线 在中间时 此时 转过的角度为 (秒) 当射线 在中间时 此时 转过的角度为 (秒) 综上所述, 秒或 秒或 秒; 问题拓展: 不变,差值为 设 , .