当前位置:首页>文档>专题08三角函数、平面向量及解三角形新定义题(解析版)_02高考数学_2025年新高考资料_专项复习_解题思路训练2025年高考数学复习解答题提优秘籍(新高考专用)

专题08三角函数、平面向量及解三角形新定义题(解析版)_02高考数学_2025年新高考资料_专项复习_解题思路训练2025年高考数学复习解答题提优秘籍(新高考专用)

  • 2026-04-09 15:28:51 2026-04-09 15:11:29

文档预览

专题08三角函数、平面向量及解三角形新定义题(解析版)_02高考数学_2025年新高考资料_专项复习_解题思路训练2025年高考数学复习解答题提优秘籍(新高考专用)
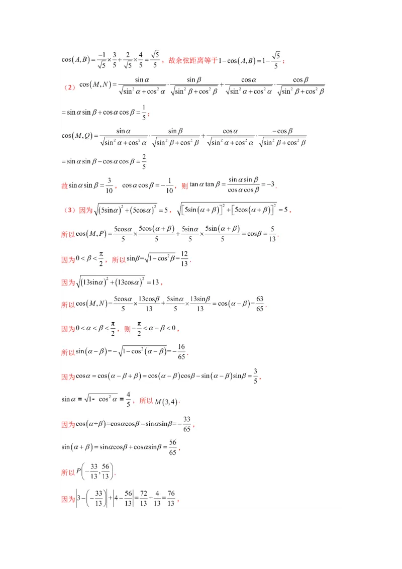
专题08三角函数、平面向量及解三角形新定义题(解析版)_02高考数学_2025年新高考资料_专项复习_解题思路训练2025年高考数学复习解答题提优秘籍(新高考专用)
专题08三角函数、平面向量及解三角形新定义题(解析版)_02高考数学_2025年新高考资料_专项复习_解题思路训练2025年高考数学复习解答题提优秘籍(新高考专用)
专题08三角函数、平面向量及解三角形新定义题(解析版)_02高考数学_2025年新高考资料_专项复习_解题思路训练2025年高考数学复习解答题提优秘籍(新高考专用)
专题08三角函数、平面向量及解三角形新定义题(解析版)_02高考数学_2025年新高考资料_专项复习_解题思路训练2025年高考数学复习解答题提优秘籍(新高考专用)
专题08三角函数、平面向量及解三角形新定义题(解析版)_02高考数学_2025年新高考资料_专项复习_解题思路训练2025年高考数学复习解答题提优秘籍(新高考专用)
专题08三角函数、平面向量及解三角形新定义题(解析版)_02高考数学_2025年新高考资料_专项复习_解题思路训练2025年高考数学复习解答题提优秘籍(新高考专用)
专题08三角函数、平面向量及解三角形新定义题(解析版)_02高考数学_2025年新高考资料_专项复习_解题思路训练2025年高考数学复习解答题提优秘籍(新高考专用)
专题08三角函数、平面向量及解三角形新定义题(解析版)_02高考数学_2025年新高考资料_专项复习_解题思路训练2025年高考数学复习解答题提优秘籍(新高考专用)
专题08三角函数、平面向量及解三角形新定义题(解析版)_02高考数学_2025年新高考资料_专项复习_解题思路训练2025年高考数学复习解答题提优秘籍(新高考专用)
专题08三角函数、平面向量及解三角形新定义题(解析版)_02高考数学_2025年新高考资料_专项复习_解题思路训练2025年高考数学复习解答题提优秘籍(新高考专用)
专题08三角函数、平面向量及解三角形新定义题(解析版)_02高考数学_2025年新高考资料_专项复习_解题思路训练2025年高考数学复习解答题提优秘籍(新高考专用)
专题08三角函数、平面向量及解三角形新定义题(解析版)_02高考数学_2025年新高考资料_专项复习_解题思路训练2025年高考数学复习解答题提优秘籍(新高考专用)
专题08三角函数、平面向量及解三角形新定义题(解析版)_02高考数学_2025年新高考资料_专项复习_解题思路训练2025年高考数学复习解答题提优秘籍(新高考专用)
专题08三角函数、平面向量及解三角形新定义题(解析版)_02高考数学_2025年新高考资料_专项复习_解题思路训练2025年高考数学复习解答题提优秘籍(新高考专用)
专题08三角函数、平面向量及解三角形新定义题(解析版)_02高考数学_2025年新高考资料_专项复习_解题思路训练2025年高考数学复习解答题提优秘籍(新高考专用)
专题08三角函数、平面向量及解三角形新定义题(解析版)_02高考数学_2025年新高考资料_专项复习_解题思路训练2025年高考数学复习解答题提优秘籍(新高考专用)
专题08三角函数、平面向量及解三角形新定义题(解析版)_02高考数学_2025年新高考资料_专项复习_解题思路训练2025年高考数学复习解答题提优秘籍(新高考专用)
专题08三角函数、平面向量及解三角形新定义题(解析版)_02高考数学_2025年新高考资料_专项复习_解题思路训练2025年高考数学复习解答题提优秘籍(新高考专用)
专题08三角函数、平面向量及解三角形新定义题(解析版)_02高考数学_2025年新高考资料_专项复习_解题思路训练2025年高考数学复习解答题提优秘籍(新高考专用)

文档信息

文档格式
docx
文档大小
0.996 MB
文档页数
16 页
上传时间
2026-04-09 15:11:29

文档内容

专题 08 三角函数、平面向量及解三角形新定义题 1.(23-24高一下·江西·阶段练习)对于分别定义在 , 上的函数 , 以及实 数 ,若任取 ,存在 ,使得 ,则称函数 与 具有关 系 .其中 称为 的像. (1)若 , ; , ,判断 与 是否 具有关系 ,并说明理由; (2)若 , ; , ,且 与 具有关系 ,求 的像; (3)若 , ; , ,且 与 具有关系 ,求实数 的取值范围. 【答案】(1)不具有,理由见解析; (2) 或 或 ; (3) 或 , 【分析】(1)根据具有关系 的定义及三角函数的值域判断即可; (2)根据具有关系 及三角函数的性质计算即可; (3)利用三角函数的性质先确定 ,根据具有关系 的定义得出 ,再根据二次函数的动轴定区间分类讨论计算即可. 【详解】(1) 与 不具有关系 , 理由如下: 时, , ,所以 , 则 与 不具有关系 ; (2)由题意可知, 所以 , 又 ,所以 , 解之得 或 或 , 即 的像为 或 或 ; (3)对于 ,则 ,所以 , 即 , 因为 与 具有关系 , 所以要满足题意需 ,使得 即可. 令 , 令 ,则 ,设 , ①若 ,即 时, , 则 , ②若 ,即 时, , 则 , ③若 ,即 时, , 则 或 ,显然无解, ④若 ,即 时, ,则 或 ,显然无解, 综上所述: 或 , 2.(23-24高一下·上海·阶段练习)人脸识别技术在各行各业的应用改变着人类的生活,所 谓人脸识别,就是利用计算机分析人脸视频或者图像,并从中提取出有效的识别信息,最 终判别对象的身份,在人脸识别中为了检测样本之间的相似度主要应用距离的测试,常用 测量距离的方式有曼哈顿距离和余弦距离.若二维空间有两个点 , ,则曼 哈顿距离为: ,余弦相似度为: ,余弦距离为 (1)若 , ,求A,B之间的曼哈顿距离 和余弦距离; (2)已知 , , ,若 , ,求 的值 (3)已知 , 、 , ,若 , ,求 、 之间的曼哈 顿距离. 【答案】(1) ,余弦距离等于 (2) (3) 【分析】(1)根据公式直接计算即可. (2)根据公式得到 , ,计算得到答案. (3)利用两角和与差的正弦、余弦公式可求出点 、 的坐标,结合题中定义可求得 、 之间的曼哈顿距离. 【详解】(1) ,,故余弦距离等于 ; (2) ; 故 , ,则 . (3)因为 , , 所以 . 因为 ,所以 . 因为 , 所以 . 因为 ,则 , 所以 . 因为 , ,所以 . 因为 , , 所以 . 因为 ,所以 、 之间的曼哈顿距离是 . 3.(23-24高一下·上海杨浦·期中)定义函数 为“正余弦”函数.结合学过 的知识,可以得到该函数的一些性质:容易证明 为该函数的周期,但是否是最小正周期 呢?我们继续探究: .可得: 也 为函数 的周期.但是否为该函数的最小正周期呢?我们可以分区间研究 的单调性:函数 在 是严格减函数,在 上严格 增函数,再结合 ,可以确定: 的最小正周期为 .进一步 我们可以求出该函数的值域了.定义函数 为“余正弦”函数,根据阅读材 料的内容,解决下列问题: (1)求“余正弦”函数的定义域; (2)判断“余正弦”函数的奇偶性,并说明理由; (3)探究“余正弦”函数的单调性及最小正周期,说明理由,并求其值域. 【答案】(1) (2)偶函数,理由见解析 (3) 在 是严格减函数,在 上严 格增函数;最小正周期为 ;理由见解析.值域为 . 【分析】(1)根据函数定义域的求法,求得 的定义域. (2)根据函数奇偶性的定义,求得 的奇偶性. (3)结合题目所给的解题思路,求得 的单调区间、最小正周期、值域. 【详解】(1) 的定义域为 . (2)对于函数 , ,所以 是偶函数. (3) , 在区间 上递减, 在区间 上递增,所以 在 上递减. 在区间 上递增, 在区间 上递增,所以 在 上递增.所以 的最小正周期为 , 在 上是严格减函数,在 上是严格增函数. 结合 的单调性可知, 的值域为 . 4.(23-24高一下·四川巴中·阶段练习)定义非零向量 的“相伴函数”为 ,向量 称为为函数 的“相伴 向量”(其中O为坐标原点). (1)求 的“相伴向量”; (2)求(1)中函数 的“相伴向量”模的取值范围; (3)当向量 时,其“相伴函数”为 ,若 ,方程 存在4个不相等的实数根,求实数 的取值范围. 【答案】(1) (2) (3) 【分析】(1)先利用两角和余弦公式展开化简函数,再根据相伴函数的概念求解即可; (2)结合向量模的坐标运算公式,根据辅助角公式化简函数,利用正弦函数性质求解即 可; (3)由定义得 并化简(化为一个角的一个三角函数形式),解方程 得 或 , 求得两根,然后作出函数 , 的图象,由图象可得 且 有两根的 的范围. 【详解】(1) , 所以函数的“相伴向量” . (2) ,, , 的取值范围为 ; (3) , 当 时, , 由 ,得: , ∴ 或 , 由 ,即 ,而 ,解得 或 , 即 在 上有两个根, 方程 在 上存在4个不相等的实数根, 当且仅当 且 在 上有两个不等实根, 在同一坐标系内作出函数 在 上的图象和直线 ,如图, 方程 在 上有两个不等实根, 当且仅当函数 在 上的图象和直线 有两个公共点, 观察图象知: 或 , 解得 或 , 所以实数 的取值范围是 . 5.(23-24高二上·北京·期中) 个有次序的实数 所组成的有序数组 称为一个 维向量,其中 称为该向量的第 个分量.特别地,对 一个 维向量 ,若 ,称 为 维信号向量.设,则 和 的内积定义为 ,且 . (1)直接写出4个两两垂直的4维信号向量. (2)证明:不存在14个两两垂直的14维信号向量. (3)已知 个两两垂直的2024维信号向量 满足它们的前 个分量都是相同的,求 证: . 【答案】(1) (2)证明见解析 (3)证明见解析 【分析】(1)根据题意,结合两两垂直的定义,即可求解; (2)根据题意,不妨设 ,得到 有7 个分量为 ,设 的前7个分量中有 个 ,得到7个分量中有 个 ,进而求得 的 值,即可求解; (3)任取 ,得到 ,设 的第 个分量 之和为 ,结合 ,列出不等式,即可求解. 【详解】(1)解:根据题意,结合维向量的定义, 则两两垂直的4维信号向量可以为: . (2)解:假设存在14个两两垂直的14维信号向量 , 因为将这14个向量的某个分量同时变号或将某两个位置的分量同时互换位置,任意两个向 量的内积不变, 所以,不妨设 , 因为 ,所以 有7个分量为 , 设 的前7个分量中有 个 ,则后7个分量中有 个 , 所以 ,可得 ,矛盾, 所以不存在14个两两垂直的14维信号向量. (3)解:任取 ,计算内积 ,将所有这些内积求和得到 , 则 , 设 的第 个分量之和为 , 则从每个分量的角度考虑,每个分量为 的贡献为所以 , 令 所以 ,所以 . 6.(23-24高一下·山东·阶段练习)克罗狄斯 托勒密(约90-168年)是希腊著名的数学 家、天文学家和地理学家.他一生有很多发明和贡献,其中托勒密定理和托勒密不等式是欧 几里得几何中的重要定理.托勒密不等式内容如下:在凸四边形 中,两组对边乘积的 和大于等于两对角线的乘积,即 ,当 四点共圆时等号成 立.已知凸四边形 中, . (1)当 为等边三角形时,求线段 长度的最大值及取得最大值时 的边长; (2)当 时,求线段 长度的最大值. 【答案】(1) , 的边长为 (2) 【分析】(1)设 ,由托勒密不等式得到 ,当 四点共圆 时等号成立,从而得到 ,由余弦定理得到 ; (2)在 中,利用正弦定理得到 ,由余弦定理得到 ,两式相减结合基本不等式得到 ,由三 角恒等变换和有界性得到 ,得到 ,求出 ,由余弦定理求出 ,利用托勒密不等式得到 . 【详解】(1)设 ,因为 ,所以 , 所以 ,当 四点共圆时等号成立,因为 , , 在 中, , 所以 ,所以 的边长为 ; (2)设 ,在 中,因为 , 所以 ,所以 , 因为 .所以 , 当且仅当 时等号成立, 因为 ,所以 , 所以 , 由 ,故 , 因为 , , 所以 ,所以 . 【点睛】方法点睛:解三角形中最值或范围问题,通常涉及与边长,周长有关的范围问 题,与面积有关的范围问题,或与角度有关的范围问题,常用处理思路: ①余弦定理结合基本不等式构造不等关系求出答案; ②采用正弦定理边化角,利用三角函数的范围求出最值或范围,如果三角形为锐角三角 形,或其他的限制,通常采用这种方法; ③巧妙利用三角换元,实现边化角,进而转化为正弦或余弦函数求出最值. 7.(23-24高一下·福建厦门·阶段练习)在 中, 对应的边分别为 (1)求 ; (2)奥古斯丁.路易斯.柯西(Augustin Louis Cauchy,1789年-1857年),法国著名数学 家.柯西在数学领域有非常高的造诣.很多数学的定理和公式都以他的名字来命名,如柯 西不等式、柯西积分公式.其中柯西不等式在解决不等式证明的有关问题中有着广泛的应 用. ①用向量证明二维柯西不等式: ②已知三维分式型柯西不等式: ,当且仅当 时等号成立.若 是 内一点,过 作 垂线,垂足分别 为 ,求 的最小值.【答案】(1) (2)①证明见解析,② 【分析】(1)根据条件,边转角得到 ,再利用余弦定理,即可求出结 果; (2)①利用数量积的定义,得到 ,再利用数量积和模的坐标表示,即可证 明结果;②根据条件及三角形面积公式,利用 ,得到 ,结合余弦定理,令 ,得到 ,再求出 的范围,即 可求出结果. 【详解】(1)由正弦定理得 即 由余弦定理有 ,若 ,等式不成立,则 ,所以 , 因为 ,所以 . (2)①设 ,由 ,得 , 从而 ,即 ② . 又 . 由三维分式型柯西不等式有 . 当且仅当 即 时等号成立. 由余弦定理 得 ,所以 即 , 则 ,令 ,则 .因为 ,得 ,当且仅当 时等号成立, 所以 ,则 , 令 ;则 在 上递减, 当 即 时, 有最大值 ,此时 有最小值 . 8.(23-24高一下·上海·期中)将所有平面向量组成的集合记作 .如果对于向量 ,存在唯一的向量 与之对应,其中坐标 由 确定, 则把这种对应关系记为 或者 ,简记为 .例如 就是一种对应关系.若在 的条件下 有最大值,则 称此最大值为对应关系 的模,并把 的模记作 ;若存在非零向量 及实数 使 得 ,则称 为 的一个特征值. (1)如果 ,求 ; (2)如果 ,计算 的特征值,并求相应的 ; (3)若 ,要使 有唯一的特征值,实数 应满足什 么条件?试找出一个对应关系 ,同时满足以下两个条件:①有唯一的特征值 ,② ,并验证 满足这两个条件. 【答案】(1) (2) ,其中 且 (3) ,答案见解析 【分析】(1)利用向量的坐标运算可得 ,可求得 ,可求得 . (2)利用向量相等的条件可得 ,进而可求得 ,进而可得 其 中 且 .(3)利用 ,可得 ,进而可得 ,进而可证明当 时, 有唯一的特征值,且 . 【详解】(1)由题意 ,所以 ,当 时, , 最大值也为2,所以 . (2)由 ,可得: , 解此方程组可得: ,解得 . 当 时,解方程组 ,此时这两个方程是同一个方程 , 所以此时方程有无穷多个解,为 (写出一个即可),其中 且 . (3) ,可得 . 因为 都不为0,从而向量 与 平行, 所以存在实数 满足 ,即 . 要使 存在且唯一,则 应满足: . 当 时, 有唯一的特征值,且 .具体证明为: 由 的定义可知: ,所以 为特征值. 此时 满足: ,所以有唯一的特征值. 在 的条件下 ,从而有 . 【点睛】关键点点睛:新定义题型,考查数乘向量的坐标运算,相等向量的坐标的关系, 考查运算求解能力与转化能力,学生的阅读理解能力是解本题的关键. 9.(2024·全国·模拟预测)设有 维向量 , ,称 为向量 和 的内积,当 ,称向量 和 正交.设 为全体由 和1构成的 元数组对应的向量的集合.(1)若 ,写出一个向量 ,使得 . (2)令 .若 ,证明: 为偶数. (3)若 , 是从 中选出向量的个数的最大值,且选出的向量均满足 ,猜 测 的值,并给出一个实例. 【答案】(1) (答案不唯一) (2)证明见解析 (3) ,答案见解析. 【分析】(1)根据定义写出满足条件的即可; (2)根据 ,结合定义,求出 ,即可得证; (3)利用反证法求证. 【详解】(1)由定义,只需满足 ,不妨取 (答案不唯一). (2)对于 , ,2, , ,存在 , , , , 使得 . 当 时, ;当 时, .令 , . 所以 . 所以 为偶数. (3)当 时,可猜测互相正交的4维向量最多有4个,即 .不妨取 , , , , 则有 , , , , , . 若存在 ,使 ,则 或 或 . 当 时, ; 当 时, ; 当 时, , 故找不到第5个向量与已知的4个向量互相正交. 【点睛】关键点点睛:新定义问题,理解定义内容、会运用新定义运算,是解决问题的关 键. 10.(23-24高一下·上海徐汇·)设复平面中向量 对应的复数为 ,给定某个非零实数 ,称向量 为 的 向量. (1)已知 , ,求 ; (2)对于复平面中不共线的三点 , , ,设 , , ,求 ; (3)设 , , 的 向量分别为 , , ,已知 , , ,求 的坐标(结果用 , , 表示). 【答案】(1) ;(2) ;(3) .【分析】(1)根据新定义求得向量 ,然后由数量积的坐标表示计算; (2)根据新定义得变换后新三角形与原三角形相似,得相似比,从而得面积比; (3)根据新定义,得出 的坐标(用 表示),然后由三角形面积计算可得 . 【详解】(1)由题意 , ,所以 ,同理 , 所以 ; (2)由(1)知 , , 所以 ,所以 与 的三边成比例,比值为 , 所以 ; (3)由(1)知 , , , ,所以 , , , 所以 . 【点睛】本题考查向量与复数的新定义,解题关键是由新定义得出原来点的坐标和新点坐 标的关系,从而得出向量的关系,变换后的三角形与原三角形相似,而利用变换后点的坐 标结合三角形面积易得原坐标.