当前位置:首页>文档>专题19数列大题训练(教师版)_02高考数学_通用版(老高考)复习资料_2024年复习资料_完备战2024年高考数学一轮复习考点帮(全国通用)_核心考点讲练

专题19数列大题训练(教师版)_02高考数学_通用版(老高考)复习资料_2024年复习资料_完备战2024年高考数学一轮复习考点帮(全国通用)_核心考点讲练

  • 2026-04-13 00:25:47 2026-04-12 23:12:11

文档预览

专题19数列大题训练(教师版)_02高考数学_通用版(老高考)复习资料_2024年复习资料_完备战2024年高考数学一轮复习考点帮(全国通用)_核心考点讲练
专题19数列大题训练(教师版)_02高考数学_通用版(老高考)复习资料_2024年复习资料_完备战2024年高考数学一轮复习考点帮(全国通用)_核心考点讲练
专题19数列大题训练(教师版)_02高考数学_通用版(老高考)复习资料_2024年复习资料_完备战2024年高考数学一轮复习考点帮(全国通用)_核心考点讲练
专题19数列大题训练(教师版)_02高考数学_通用版(老高考)复习资料_2024年复习资料_完备战2024年高考数学一轮复习考点帮(全国通用)_核心考点讲练
专题19数列大题训练(教师版)_02高考数学_通用版(老高考)复习资料_2024年复习资料_完备战2024年高考数学一轮复习考点帮(全国通用)_核心考点讲练
专题19数列大题训练(教师版)_02高考数学_通用版(老高考)复习资料_2024年复习资料_完备战2024年高考数学一轮复习考点帮(全国通用)_核心考点讲练
专题19数列大题训练(教师版)_02高考数学_通用版(老高考)复习资料_2024年复习资料_完备战2024年高考数学一轮复习考点帮(全国通用)_核心考点讲练
专题19数列大题训练(教师版)_02高考数学_通用版(老高考)复习资料_2024年复习资料_完备战2024年高考数学一轮复习考点帮(全国通用)_核心考点讲练
专题19数列大题训练(教师版)_02高考数学_通用版(老高考)复习资料_2024年复习资料_完备战2024年高考数学一轮复习考点帮(全国通用)_核心考点讲练
专题19数列大题训练(教师版)_02高考数学_通用版(老高考)复习资料_2024年复习资料_完备战2024年高考数学一轮复习考点帮(全国通用)_核心考点讲练
专题19数列大题训练(教师版)_02高考数学_通用版(老高考)复习资料_2024年复习资料_完备战2024年高考数学一轮复习考点帮(全国通用)_核心考点讲练
专题19数列大题训练(教师版)_02高考数学_通用版(老高考)复习资料_2024年复习资料_完备战2024年高考数学一轮复习考点帮(全国通用)_核心考点讲练
专题19数列大题训练(教师版)_02高考数学_通用版(老高考)复习资料_2024年复习资料_完备战2024年高考数学一轮复习考点帮(全国通用)_核心考点讲练
专题19数列大题训练(教师版)_02高考数学_通用版(老高考)复习资料_2024年复习资料_完备战2024年高考数学一轮复习考点帮(全国通用)_核心考点讲练
专题19数列大题训练(教师版)_02高考数学_通用版(老高考)复习资料_2024年复习资料_完备战2024年高考数学一轮复习考点帮(全国通用)_核心考点讲练
专题19数列大题训练(教师版)_02高考数学_通用版(老高考)复习资料_2024年复习资料_完备战2024年高考数学一轮复习考点帮(全国通用)_核心考点讲练
专题19数列大题训练(教师版)_02高考数学_通用版(老高考)复习资料_2024年复习资料_完备战2024年高考数学一轮复习考点帮(全国通用)_核心考点讲练
专题19数列大题训练(教师版)_02高考数学_通用版(老高考)复习资料_2024年复习资料_完备战2024年高考数学一轮复习考点帮(全国通用)_核心考点讲练
专题19数列大题训练(教师版)_02高考数学_通用版(老高考)复习资料_2024年复习资料_完备战2024年高考数学一轮复习考点帮(全国通用)_核心考点讲练
专题19数列大题训练(教师版)_02高考数学_通用版(老高考)复习资料_2024年复习资料_完备战2024年高考数学一轮复习考点帮(全国通用)_核心考点讲练
专题19数列大题训练(教师版)_02高考数学_通用版(老高考)复习资料_2024年复习资料_完备战2024年高考数学一轮复习考点帮(全国通用)_核心考点讲练
专题19数列大题训练(教师版)_02高考数学_通用版(老高考)复习资料_2024年复习资料_完备战2024年高考数学一轮复习考点帮(全国通用)_核心考点讲练
专题19数列大题训练(教师版)_02高考数学_通用版(老高考)复习资料_2024年复习资料_完备战2024年高考数学一轮复习考点帮(全国通用)_核心考点讲练
专题19数列大题训练(教师版)_02高考数学_通用版(老高考)复习资料_2024年复习资料_完备战2024年高考数学一轮复习考点帮(全国通用)_核心考点讲练
专题19数列大题训练(教师版)_02高考数学_通用版(老高考)复习资料_2024年复习资料_完备战2024年高考数学一轮复习考点帮(全国通用)_核心考点讲练
专题19数列大题训练(教师版)_02高考数学_通用版(老高考)复习资料_2024年复习资料_完备战2024年高考数学一轮复习考点帮(全国通用)_核心考点讲练
专题19数列大题训练(教师版)_02高考数学_通用版(老高考)复习资料_2024年复习资料_完备战2024年高考数学一轮复习考点帮(全国通用)_核心考点讲练
专题19数列大题训练(教师版)_02高考数学_通用版(老高考)复习资料_2024年复习资料_完备战2024年高考数学一轮复习考点帮(全国通用)_核心考点讲练
专题19数列大题训练(教师版)_02高考数学_通用版(老高考)复习资料_2024年复习资料_完备战2024年高考数学一轮复习考点帮(全国通用)_核心考点讲练
专题19数列大题训练(教师版)_02高考数学_通用版(老高考)复习资料_2024年复习资料_完备战2024年高考数学一轮复习考点帮(全国通用)_核心考点讲练
专题19数列大题训练(教师版)_02高考数学_通用版(老高考)复习资料_2024年复习资料_完备战2024年高考数学一轮复习考点帮(全国通用)_核心考点讲练
专题19数列大题训练(教师版)_02高考数学_通用版(老高考)复习资料_2024年复习资料_完备战2024年高考数学一轮复习考点帮(全国通用)_核心考点讲练
专题19数列大题训练(教师版)_02高考数学_通用版(老高考)复习资料_2024年复习资料_完备战2024年高考数学一轮复习考点帮(全国通用)_核心考点讲练
专题19数列大题训练(教师版)_02高考数学_通用版(老高考)复习资料_2024年复习资料_完备战2024年高考数学一轮复习考点帮(全国通用)_核心考点讲练
专题19数列大题训练(教师版)_02高考数学_通用版(老高考)复习资料_2024年复习资料_完备战2024年高考数学一轮复习考点帮(全国通用)_核心考点讲练
专题19数列大题训练(教师版)_02高考数学_通用版(老高考)复习资料_2024年复习资料_完备战2024年高考数学一轮复习考点帮(全国通用)_核心考点讲练
专题19数列大题训练(教师版)_02高考数学_通用版(老高考)复习资料_2024年复习资料_完备战2024年高考数学一轮复习考点帮(全国通用)_核心考点讲练
专题19数列大题训练(教师版)_02高考数学_通用版(老高考)复习资料_2024年复习资料_完备战2024年高考数学一轮复习考点帮(全国通用)_核心考点讲练
专题19数列大题训练(教师版)_02高考数学_通用版(老高考)复习资料_2024年复习资料_完备战2024年高考数学一轮复习考点帮(全国通用)_核心考点讲练
专题19数列大题训练(教师版)_02高考数学_通用版(老高考)复习资料_2024年复习资料_完备战2024年高考数学一轮复习考点帮(全国通用)_核心考点讲练
专题19数列大题训练(教师版)_02高考数学_通用版(老高考)复习资料_2024年复习资料_完备战2024年高考数学一轮复习考点帮(全国通用)_核心考点讲练
专题19数列大题训练(教师版)_02高考数学_通用版(老高考)复习资料_2024年复习资料_完备战2024年高考数学一轮复习考点帮(全国通用)_核心考点讲练
专题19数列大题训练(教师版)_02高考数学_通用版(老高考)复习资料_2024年复习资料_完备战2024年高考数学一轮复习考点帮(全国通用)_核心考点讲练
专题19数列大题训练(教师版)_02高考数学_通用版(老高考)复习资料_2024年复习资料_完备战2024年高考数学一轮复习考点帮(全国通用)_核心考点讲练
专题19数列大题训练(教师版)_02高考数学_通用版(老高考)复习资料_2024年复习资料_完备战2024年高考数学一轮复习考点帮(全国通用)_核心考点讲练
专题19数列大题训练(教师版)_02高考数学_通用版(老高考)复习资料_2024年复习资料_完备战2024年高考数学一轮复习考点帮(全国通用)_核心考点讲练
专题19数列大题训练(教师版)_02高考数学_通用版(老高考)复习资料_2024年复习资料_完备战2024年高考数学一轮复习考点帮(全国通用)_核心考点讲练
专题19数列大题训练(教师版)_02高考数学_通用版(老高考)复习资料_2024年复习资料_完备战2024年高考数学一轮复习考点帮(全国通用)_核心考点讲练
专题19数列大题训练(教师版)_02高考数学_通用版(老高考)复习资料_2024年复习资料_完备战2024年高考数学一轮复习考点帮(全国通用)_核心考点讲练
专题19数列大题训练(教师版)_02高考数学_通用版(老高考)复习资料_2024年复习资料_完备战2024年高考数学一轮复习考点帮(全国通用)_核心考点讲练
专题19数列大题训练(教师版)_02高考数学_通用版(老高考)复习资料_2024年复习资料_完备战2024年高考数学一轮复习考点帮(全国通用)_核心考点讲练
专题19数列大题训练(教师版)_02高考数学_通用版(老高考)复习资料_2024年复习资料_完备战2024年高考数学一轮复习考点帮(全国通用)_核心考点讲练
专题19数列大题训练(教师版)_02高考数学_通用版(老高考)复习资料_2024年复习资料_完备战2024年高考数学一轮复习考点帮(全国通用)_核心考点讲练
专题19数列大题训练(教师版)_02高考数学_通用版(老高考)复习资料_2024年复习资料_完备战2024年高考数学一轮复习考点帮(全国通用)_核心考点讲练
专题19数列大题训练(教师版)_02高考数学_通用版(老高考)复习资料_2024年复习资料_完备战2024年高考数学一轮复习考点帮(全国通用)_核心考点讲练
专题19数列大题训练(教师版)_02高考数学_通用版(老高考)复习资料_2024年复习资料_完备战2024年高考数学一轮复习考点帮(全国通用)_核心考点讲练

文档信息

文档格式
docx
文档大小
2.728 MB
文档页数
52 页
上传时间
2026-04-12 23:12:11

文档内容

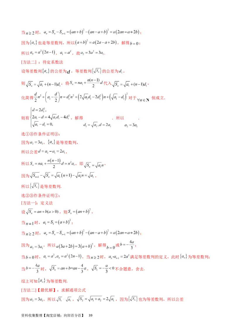
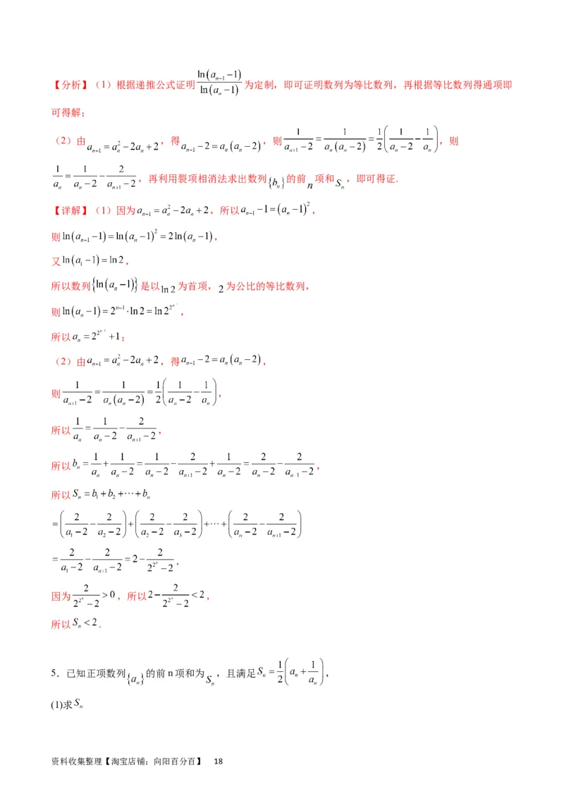
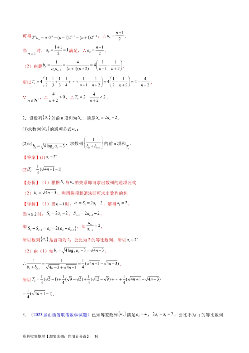
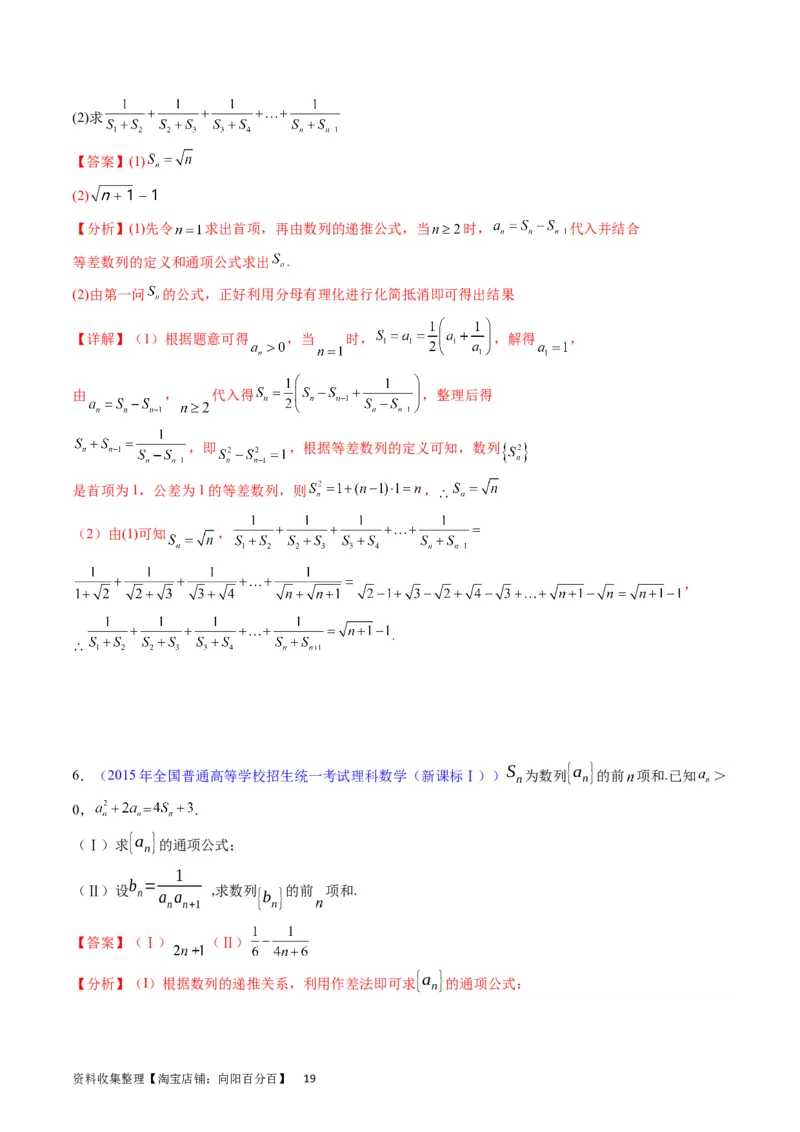
专题 19 数列大题训练 题型一、等差、等比数列的应用 1.(2019年全国统一高考数学试卷(文科)(新课标Ⅱ))已知 是各项均为正数的等比数列, . (1)求 的通项公式; (2)设 ,求数列 的前n项和. 【答案】(1) ;(2) . 【分析】(1)本题首先可以根据数列 是等比数列将 转化为 , 转化为 ,再然后将其带入 中,并根据数列 是各项均为正数以及 即可通过运算得出结果; (2)本题可以通过数列 的通项公式以及对数的相关性质计算出数列 的通项公式,再通过数列 的 通项公式得知数列 是等差数列,最后通过等差数列求和公式即可得出结果. 【详解】(1)因为数列 是各项均为正数的等比数列, , , 所以令数列 的公比为 , , , 所以 ,解得 (舍去)或 , 所以数列 是首项为 、公比为 的等比数列, . (2)因为 ,所以 , , , 所以数列 是首项为 、公差为 的等差数列, . 【点睛】本题考查数列的相关性质,主要考查等差数列以及等比数列的通项公式的求法,考查等差数列求 和公式的使用,考查化归与转化思想,考查计算能力,是简单题. 2.已知等差数列 中, , . (1)求 的通项公式; (2)求数列的 前n项和 . 【答案】(1) ;(2) . n 【分析】(1)利用等差数列通项公式的基本量运算即得; (2)利用求和公式即得. 【详解】(1)设等差数列 的公差为d,因为 , , 资料收集整理【淘宝店铺:向阳百分百】 1所以 ,解得 , 所以 ; (2) . n 3.记数列 的前 项和为 , , , . (1)证明数列 为等差数列,并求通项公式 ; (2)记 ,求 . 【答案】(1)证明见解析, ;(2) 【分析】(1)由 可得出 ,结合等差数列的定义可证明结论成立,确定数列 的首项和公 差,即可求得数列 的通项公式; (2)求得 ,利用等差数列的求和公式可求得 的值. 【详解】(1)证明: , , ,则 ,即 ,解得 , 所以, ,即 , 所以,数列 是以 为首项,以 为公差的等差数列,故 . (2)解: , 所以, . 4.(2023年云南省模拟考试数学试题)已知等差数列 的前 项和为 ,且 . (1)求 的通项公式; (2)试求出所有的正整数 ,使得对任意正整数 ,均有 . 【答案】(1) ;(2) 或10或11. 【分析】(1)利用基本量法可求首项与公差,故可求通项. (2)求出 及其最小值,故可得关于 的不等式,据此可求所有的正整数 . 【详解】(1)设 的公差为 ,则 ,解得 , d 故 . 资料收集整理【淘宝店铺:向阳百分百】 2(2)由(1)可知, . 当 时, 取得最小值-100. 由 恒成立,得 ,解得 . 因为 ,所以 或10或11. 5.记等差数列 的前n项和为 , . (1)求数列 的通项公式; (2)记 ,求数列 的前n项和 . 【答案】(1) ;(2) . 【分析】(1)根据已知条件列出关于首项和公差的方程组即可求解; (2)根据等比数列求和公式即可求解. 【详解】(1)由题可知 ,解得 , , ∴ ; (2)∵ ,∴ , ∴ 是首项为3,公比为9的等比数列, ∴ ﹒ 6.(2023年江西省模拟数学试题)已知正项等差数列 前 项和为 ,______, .请从 条件① , ;条件② ,且 , , 成等比数列,两个条件中任选一个填在上面的 横线上,并完成下面的两个问题. (1)求数列 的通项公式; (2)记数列 的前 项和为 ,证明: . 【答案】(1) ;(2)证明见解析 【分析】(1)若选①,根据等差数列性质可得 ,再计算等差数列基本量即可; (2)代入可得 ,再根据等比数列求和证明即可. 资料收集整理【淘宝店铺:向阳百分百】 3【详解】(1)若选①,由 ,得 , 又因为 ,所以 ,则 ,解得 ; 故 . 若选②,设等差数列 的公差为 ,∵ ,且 , , 成等比数列, ∴ ,即 ,解得: 或 (舍), ∴ , . (2) ,所以 . ∴ ,即得证. 7.(2018年全国普通高等学校招生统一考试文科数学(天津卷))设{a n }是等差数列,其前n项和为 S n (n∈N¿ );{b n }是等比数列,公比大于0,其前n项和为 T n (n∈N¿ ).已知b 1 =1, b 3 =b 2 +2 , b =a +a , b =a +2a . 4 3 5 5 4 6 S T 8.(Ⅰ)求 和 ; n n 9.(Ⅱ)若 S n +(T 1 +T 2 +…+T n )=a n +4b n ,求正整数n的值. 【答案】(Ⅰ) , ;(Ⅱ)4. 【分析】(I)由题意得到关于 的方程,解方程可得 ,则 .结合题意可得等差数列 q 的首项和公差为 ,则其前 项和 . n (II)由(I),知 据此可得 解得 (舍),或 .则n的 值为4. 【详解】(I)设等比数列 的公比为q,由 b 1 =1 , b 3 =b 2 +2 ,可得 . 因为 ,可得 ,故 .所以, . 设等差数列 的公差为d.由 ,可得 . 资料收集整理【淘宝店铺:向阳百分百】 4由 ,可得 从而 ,故 ,所以, . 2×(1−2n ) (II)由(I),有T +T +…+T =21 +22 +…+2n )−n= −n=2n+1 −n−2. 1 2 n 1−2 由 S +(T +T +…+T )=a +4b , n 1 2 n n n n(n+1) 可得 +2n+1 −n−2=n+2n+1 , 2 整理得 解得 (舍),或 .所以n的值为4. 点睛:本小题主要考查等差数列、等比数列的通项公式及前n项和公式等基础知识.考查数列求和的基本方 法和运算求解能力. 8.已知数列 的前n项和为 ,满足 , . (1)求数列 的通项公式; (2)记 ,求数列 的前100项的和 . 【答案】(1) , ;(2) 【分析】(1)利用 ,整理可得数列 是等比数列,求其通项公式即可; b ,b ,b ,b (2)求出 ,然后分组求和. 4k 4k−1 4k−2 4k−3 【详解】(1)当 时, , 整理得 , 又 ,得 则数列 是以-2为首项,-2为公比的等比数列. 则 , (2)当 时, , 当 时, , 当 时, , 资料收集整理【淘宝店铺:向阳百分百】 5当 时, , 则 . 题型二、分组求和法 1.(2023届新高考Ⅰ卷调研模拟考试数学试题)已知数列 的首项 ,且满足 . (1)求证:数列 为等比数列: (2)若 ,求满足条件的最大整数 . 【答案】(1)证明见解析; (2)50 【分析】(1)两边取倒数,再同时减2,根据等比数列的定义,即可证明. (2)利用等比数列求和公式求和,再根据函数单调性,即可求解. 【详解】(1)证明:由 ,可得 , 又 故数列 为等比数列. (2)由(1)可知 ,故 . 令 ,易知 随 的增大而增大, ,故满足 的最大整 数为50. 2.(2023届河北省一模数学试题)设数列 的前n项和为 ,且 . (1)求 的通项公式; (2)若 ,求数列 的前n项和 . 资料收集整理【淘宝店铺:向阳百分百】 6【答案】(1) ; (2) 【分析】(1)根据 与 的关系,即可求得数列 的通项公式; (2)根据题意,由分组求和法结合等差数列与等比数列的求和公式,即可得到结果. 【详解】(1)当 时, ,解得 . 当 时, ,则 ,即 , 从而 是首项为1,公比为2的等比数列,所以 , 且当 时,也满足, 所以故 . (2)由(1)可得 ,则 , 故 . 3.已知数列 满足 . (1)求数列 的通项公式; (2)当 时,求数列 的前n项和为 . 【答案】(1) ; (2) 【分析】(1)当 时可得 ,令 ,则 ,即可得到数列 是首项为 ,公比 为 的等比数列,从而求出 ,即可求出数列 的通项公式; (2)利用分组求和法及等差数列前 项和公式求和即可; 【详解】(1)解:当 时, ,则 ,令 ,则 , 又因为 ,所以数列 是首项为 ,公比为 的等比数列, 资料收集整理【淘宝店铺:向阳百分百】 7所以 ,即 ,从而 ; (2)解:因为 , 所以 . 4.(2023届安徽省联盟二模数学试题)已知首项为3的数列 的前n项和为 ,且 . (1)求证:数列 为等比数列; (2)求数列 的前n项和 . 【答案】(1)证明见解析;(2) 【分析】(1)根据 ,得出 与 的关系,进一步变形得出等比数列; (2)利用分组求和法及等比数列求和公式求得结果. 【详解】(1)由题意得, ,即 , 故 ,即 , 又 ,故数列 是以 为首项, 为公比的等比数列. (2)由(1)知, ,即 . 数列 的前 项和为 , n 数列 的前 项和为 , n 故 . 5.已知数列 的前 项和为 ,且对任意的 有 . (1)证明:数列 为等比数列; (2)求数列 的前 项和 . 【答案】(1)证明见解析; (2) 资料收集整理【淘宝店铺:向阳百分百】 8【分析】(1)令 可求得 的值,令 ,由 可得 ,两式作差可得出 ,结合等比数列的定义可证得结论成立; (2)求得 ,利用分组求和法可求得 . 【详解】(1)证明:当 时, ,则 ;. 当 时,由 可得 . 两式相减得 ,即 , . 因为 ,则 , ,以此类推可知,对任意的 , , 所以,数列 构成首项为 ,公比为 的等比数列. (2)解:由(1) ,故 ,则 . 所以, . 6.已知等比数列 满足 , . (1)求数列 的通项公式; (2)若 ,求数列 的前 项和 . 【答案】(1) ; (2) 【分析】(1)直接利用等比数列的通项公式求解即可; (2)分组后利用等差数列、等比数列的求和公式求出结果即可. 【详解】(1)设等比数列 的公比为 , 由已知,得 ,解得 , ; (2)由(1)得 , , 资料收集整理【淘宝店铺:向阳百分百】 9. 题型三、错位相减法 1.(2023届安徽省、云南省、吉林省、黑龙江省适应性测试数学试题)记数列 的前n项和为 ,且 . (1)求数列 的通项公式; (2)设m为整数,且对任意 , ,求m的最小值. 【答案】(1) (2)7 【分析】(1)由数列 与 的关系可得 ,再结合等比数列的通项可得解; (2)利用错位相减法求出 ,结合范围即可得解. 【详解】(1)因为 ,所以 , 当 时, ,故 , 且 不满足上式, 故数列 的通项公式为 (2)设 ,则 , 当 时, , 故 , 资料收集整理【淘宝店铺:向阳百分百】 10于是 . 整理可得 ,所以 , 又 ,所以符合题设条件的 的最小值为7. m 2.(2023年安徽省模拟数学试题)已知数列 满足 (1)求证:数列 是等比数列; (2)设 ,求 的前 项和 【答案】(1)证明见解析; (2) 【分析】(1)根据题干条件构造出 ,结合等比数列定义证明结论; (2)先求出 的通项,利用分组求和法和错位相减法求出结果. 【详解】(1)因为 , 所以 ,又 , 所以 , ∴数列 是首项为 ,公比为 的等比数列. (2)由(1)知, ,∴ , ∵ ,∴ , ∴ 令 两式相减 , 所以 所以 , 资料收集整理【淘宝店铺:向阳百分百】 11又 , ∴ . 3.(2017年全国普通高等学校招生统一考试文科数学(天津卷))已知 为等差数列,前n项和为 , 是首项为2的等比数列,且公比大于0, . (Ⅰ)求 和 的通项公式; (Ⅱ)求数列 的前n项和 . 【答案】(Ⅰ) . .(Ⅱ) . 【详解】试题分析:根据等差数列和等比数列通项公式及前 项和公式列方程求出等差数列首项 和公差 及等比数列的公比 ,写出等差数列和等比孰劣的通项公式,利用错位相减法求出数列的和,要求计算 要准确. 试题解析:(Ⅰ)设等差数列 的公差为 ,等比数列 的公比为 .由已知 ,得 ,而 ,所以 .又因为 ,解得 .所以, . 由 ,可得 .由 ,可得 ,联立①②,解得 ,由此可 得 . 所以, 的通项公式为 , 的通项公式为 . (Ⅱ)解:设数列 的前 项和为 ,由 ,有 , , 上述两式相减,得 . 得 . 所以,数列 的前 项和为 . 【考点】等差数列、等比数列、数列求和 【名师点睛】利用等差数列和等比数列通项公式及前 项和公式列方程组求数列的首项和公差或公比,进 而写出通项公式及前 项和公式,这是等差数列、等比数列的基本要求,数列求和方法有倒序相加法,错 位相减法,裂项相消法和分组求和法等,本题考查错位相减法求和. 资料收集整理【淘宝店铺:向阳百分百】 124.(2023年渝琼辽(新高考2卷)名校仿真模拟联考数学试题)已知数列 的前n项和为 , ,且 . , . (1)求数列 和 的通项公式; (2)若 ,求数列 的前n项和 . 【答案】(1) , (2) 【分析】(1)根据对数运算得 ,利用等比数列定义求通项公式,利用等差中项判断数列 为等 差数列,建立方程求出公差,从而可得 的通项; (2)利用错位相减法计算即可. 【详解】(1)∵ ,∴ ,则 ,所以 为等比数列, 又 ,得 ,所以 , 由 知 是等差数列,且 , , ∴ ,得 , .∴ . (2)因为 , ,所以 , 所以 则 上面两式作差得 , ∴ 5.已知数列{a }为等差数列, , ,数列{b }的前n项和为 ,且满足 . n n (1)求 {a } 和 {b } 的通项公式; n n (2)若 ,数列{c }的前n项和为 ,且 对 恒成立,求实数m的取值范围. n 【答案】(1) ; 资料收集整理【淘宝店铺:向阳百分百】 13(2) 【分析】(1)求解等差数列{a }通项公式,只需设参数 ,d列方程组即可求解,数列{b }通过已知前 n n n项和 求解通项公式 ; (2)需要先用错位相减法求得数列{c n }的前n项和为 ,代入不等式中对n分类讨论,转化为最值问题, 求出m范围即可. 【详解】(1)解:等差数列 {a } 中,设公差为d, n 则 数列{ }中的前n项和为 ,且 ① 当 时, ,当 时, ② ②-①得: 故数列{ }是以1为首项,3为公比的等比数列,所以 . (2)解:数列{c }中, . n 则 所以 故 ,所以 ∵ 对 恒成立. 当 为奇数时, , n 当 为偶数时, n 综上:实数m的取值范围为 . 6.(2023届广西摸底测试数学(理)试题)设数列 的前 项和为 ,且满足 (1)求数列 的通项公式 ; (2)设数列 满足 ,求数列 的前 项和 . 资料收集整理【淘宝店铺:向阳百分百】 14【答案】(1) ;(2) 【分析】(1) 型的数列,利用公式 来解决. (2) ,等差数列与等比数列的积数列的求和,用错位相减法. 【详解】(1)因为 , 当 时, ,解得 当 , 时, ,所以 ,得 即 ,可知数列 是首项为1,公比为5的等比数列,所以 (2)由(1)可知 ,所以 ,所以 , 所以 ,则 , 两式相减,可得 . , 化简得 题型四、裂项相消法 1.已知数列 的前 项和为 ,且有 . (1)求数列 的通项公式; (2)设 为数列 的前 项和,证明: . 【答案】(1) (2)证明见解析 【分析】(1)递推一项作差即可求解; (2)根据题意求出 ,利用裂项相消求和即可证明. 【详解】(1)由题 , 当 时, ,∴ ; 当 时,由 , 所以 ,两式相减, 资料收集整理【淘宝店铺:向阳百分百】 15可得 ,∴ . 当 时, 满足,∴ . (2)由题 , 所以 , ∵ ,∴ ,∴ . 2.设数列 的前n项和为 ,满足 . (1)求数列 的通项公式 ; (2)记 ,求数列 的前n项和 . 【答案】(1) (2) 【分析】(1)根据 与 的关系即可求出数列的通项公式 (2) ,利用裂项相消法即可求出数列的和. 【详解】(1)当 时, ,解得 , 当 时, , , 即 ,即 , 所以数列 是首项为2,公比为2的等比数列,所以 . (2)由(1)知 , , 所以 . 3.(2023届山西省联考数学试题)已知等差数列 满足 , ,公比不为 的等比数列 资料收集整理【淘宝店铺:向阳百分百】 16满足 , . (1)求 与 通项公式; (2)设 ,求 的前n项和 . 【答案】(1) , , (2) , 【分析】(1)由等差数列、等比数列的定义计算基本量即可求通项公式; (2)根据等比数列的求和公式及裂项相消求和即可. 【详解】(1)设 的公差为d,因为 , , 所以 ,解得 ,从而 , 所以 ; 设 的公比为q,因为 ,所以 ,解得 , 因为 ,所以 , 所以 . (2)由上可知: ,所以 , 所以 , 所以 , . 4.(2023届广东省二模数学试题)已知数列 满足 , . (1)证明数列 是等比数列,并求数列 的通项公式; (2)若 ,数列 的前 项和 ,求证: . 【答案】(1)证明见解析, (2)证明见解析 资料收集整理【淘宝店铺:向阳百分百】 17【分析】(1)根据递推公式证明 为定制,即可证明数列为等比数列,再根据等比数列得通项即 可得解; (2)由 ,得 ,则 ,则 ,再利用裂项相消法求出数列 的前 项和 ,即可得证. 【详解】(1)因为 ,所以 , 则 , 又 , 所以数列 是以 为首项, 为公比的等比数列, 则 , 所以 ; (2)由 ,得 , 则 , 所以 , 所以 , 所以 , 因为 ,所以 , 所以 . 5.已知正项数列 的前n项和为 ,且满足 , (1)求 资料收集整理【淘宝店铺:向阳百分百】 18(2)求 【答案】(1) (2) 【分析】(1)先令 求出首项,再由数列的递推公式,当 时, 代入并结合 等差数列的定义和通项公式求出 . (2)由第一问 的公式,正好利用分母有理化进行化简抵消即可得出结果 【详解】(1)根据题意可得 ,当 时, ,解得 , 由 , 代入得 ,整理后得 ,即 ,根据等差数列的定义可知,数列 是首项为1,公差为1的等差数列,则 , (2)由(1)可知 , , . S {a } 6.(2015年全国普通高等学校招生统一考试理科数学(新课标Ⅰ)) 为数列 的前 项和.已知 > n n 0, = . (Ⅰ)求{a }的通项公式; n 1 b = (Ⅱ)设 n a a ,求数列 {b } 的前 项和. n n+1 n 【答案】(Ⅰ) (Ⅱ) 【分析】(I)根据数列的递推关系,利用作差法即可求{a }的通项公式: n 资料收集整理【淘宝店铺:向阳百分百】 191 b = (Ⅱ)求出 ,利用裂项法即可求数列 的前 项和. n a a {b } n n+1 n 【详解】解:(I)由a2 +2a =4S +3,可知a2 +2a =4S +3两式相减得 n n n n+1 n+1 n+1 a 2 −a2 n +2(a n+1 −a n )=4a n+1, n+1 即2(a −a )=a2 −a2 =(a +a )(a −a ), n+1 n n+1 n n+1 n n+1 n ∵ a >0 ,∴ a −a =2 , n n+1 n ∵a2 +2a =4a +3, 1 1 1 ∴ a =−1 (舍)或 a =3 , 1 1 则 {a n } 是首项为3,公差d=2的等差数列, ∴{a }的通项公式 a =3+2(n−1)=2 : n n n+1 (Ⅱ)∵ a =2 , n n+1 1 1 1 1 1 ∴ b = = = ( − ), n a a (2n+1)(2n+3) 2 2n+1 2n+3 n n+1 1 1 1 1 1 1 1 1 1 1 1 1 ∴数列 的前 项和 T = ( − + − +…+ − )= ( − )= − . {b n } n 2 3 5 5 7 2n+1 2n+3 2 3 2n+3 6 4n+6 【点睛】本题主要考查数列的通项公式以及数列求和的计算,利用裂项法是解决本题的关键. 7.(2018年全国普通高等学校招生统一考试理科数学(天津卷))设 是等比数列,公比大于0,其前 项和为 , 是等差数列.已知 , , , . (I)求 和 的通项公式; (II)设数列 的前 项和为 , (i)求 ; (ii)证明 . 【答案】(Ⅰ) , ;(Ⅱ)(i) .(ii)证明见解析. 【详解】分析:(I)由题意得到关于q的方程,解方程可得 ,则 .结合等差数列通项公式可 得 (II)(i)由(I),有 ,则 . 资料收集整理【淘宝店铺:向阳百分百】 20(ii)因为 ,裂项求和可得 . 详解:(I)设等比数列 的公比为q.由 可得 .因为 ,可得 , 故 . 设等差数列 的公差为d, 由 ,可得 由 ,可得 从而 故 所以数列 的通项公式为 , 数列 的通项公式为 (II)(i)由(I),有 , 故 . (ii)因为 , 所以 . 点睛:本题主要考查数列通项公式的求解,数列求和的方法,数列中的指数裂项方法等知识,意在考查学 生的转化能力和计算求解能力. 题型五、并项求和法 1.(2020年天津市高考数学试题)已知 为等差数列, 为等比数列, . (Ⅰ)求 和 的通项公式; (Ⅱ)记 的前 项和为 ,求证: ; 资料收集整理【淘宝店铺:向阳百分百】 21(Ⅲ)对任意的正整数 ,设 求数列 的前 项和. 【答案】(Ⅰ) , ; (Ⅱ)证明见解析; (Ⅲ) . 【分析】(Ⅰ)由题意分别求得数列的公差、公比,然后利用等差、等比数列的通项公式得到结果; (Ⅱ)利用(Ⅰ)的结论首先求得数列 前n项和,然后利用作差法证明即可; (Ⅲ)分类讨论n为奇数和偶数时数列的通项公式,然后分别利用指数型裂项求和和错位相减求和计算 和 的值,据此进一步计算数列 的前 项和即可. 2n 【详解】(Ⅰ)设等差数列 的公差为d,等比数列 的公比为q. 由 , ,可得d=1. 从而 的通项公式为 . 由 , 又q≠0,可得 ,解得q=2, 从而 的通项公式为 . (Ⅱ)证明:由(Ⅰ)可得 , 故 , , 从而 , 所以 . (Ⅲ)当 为奇数时, , n 当 为偶数时, , n 对任意的正整数 ,有 , n 和 ① 资料收集整理【淘宝店铺:向阳百分百】 22由①得 ② 由①②得 , 由于 , 从而得: . 因此, . 所以,数列 的前 项和为 . 2n 【点睛】本题主要考查数列通项公式的求解,分组求和法,指数型裂项求和,错位相减求和等,属于中等 题. 2.(2019年天津市高考数学试卷(理科))设 是等差数列, 是等比数列.已知 . (Ⅰ)求 和 的通项公式; (Ⅱ)设数列 满足 其中 . (i)求数列 的通项公式; (ii)求 . 【答案】(Ⅰ) ; (Ⅱ)(i) (ii) 【分析】(Ⅰ)由题意首先求得公比和公差,然后确定数列的通项公式即可; (Ⅱ)结合(Ⅰ)中的结论可得数列 的通项公式,结合所得的通项公式对所求的数列通项公式进行等 价变形,结合等比数列前 项和公式可得 的值. n 【详解】(Ⅰ)设等差数列 的公差为 ,等比数列 的公比为 . 资料收集整理【淘宝店铺:向阳百分百】 23依题意得 ,解得 , 故 , . 所以, 的通项公式为 , 的通项公式为 . (Ⅱ)(i) . 所以,数列 的通项公式为 . (ii) . 【点睛】本题主要考查等差数列、等比数列的通项公式及其前n项和公式等基础知识.考查化归与转化思想 和数列求和的基本方法以及运算求解能力. 3.(2023年河南省模拟数学(文科)试题)已知数列 满足 ,数列 为等比数列且公比 ,满足 . (1)求数列 的通项公式; (2)数列 的前 项和为 ,若 ,记数列 满足 求数列 的前 项和 . 【答案】(1) ; (2) 【分析】(1)根据等比数列基本量的关系可得 公比,再进而可得 为等差数列即可; (2)由 得, ,再根据分组求和方法求解即可. 【详解】(1)因为 , 令 得 ,又数列 为等比数列,设公比为 有 ,而 ,解得 ,则 , 因此 ,即数列 是以1为首项,2为公差的等差数列,所以 . 资料收集整理【淘宝店铺:向阳百分百】 24(2)由①知数列 是公比为2的等比数列, 由 得, , 解得 ,则 , 因此 , 即有数列 的奇数项是以1为首项4为公差的等差数列,偶 数项是以4为首项4为公比的等比数列,所以 4.(2023届河南三模理数试题)在等比数列 中, ,且 , , 成等差数列. (1)求 的通项公式; (2)设 ,数列 的前n项和为 ,求满足 的k的值. 【答案】(1) ; (2)40或37. 【分析】(1)利用等比数列的通项公式,结合等差中项的意义求出公比及首项作答. (2)由(1)的结论求出 ,再分奇偶求和作答. 【详解】(1)设 的公比为q,由 ,得 , 解得 , 由 , , 成等差数列, 得 , 即 ,解得 , 所以数列 的通项公式是 . (2)由(1)知, , , 当 为偶数时, ,令 ,得 ; k 当 为奇数时, ,令 ,得 , k 资料收集整理【淘宝店铺:向阳百分百】 25所以 或37. 5.(2023年黑龙江省模拟考试数学试题)已知数列 满足 . (1)求 的通项公式; (2)已知 ,求数列 的前20项和. 【答案】(1) ; (2)5 【分析】(1)根据题意,由条件可得 ,然后与原式作差,即可得到结 果; (2)根据题意,由分组求和即可得到结果. 【详解】(1)当 时,可得 , 当 时, , , 上述两式作差可得 , 因为 满足 , 所以 的通项公式为 . (2)因为 , 所以 , . 10 + =5 22 所以数列 的前20项和为5. 6.(2023年山东省模拟数学试题)已知数列 是等差数列, 是各项均为正数的等比数列,数列 的前n项和为 ,且 , , . 资料收集整理【淘宝店铺:向阳百分百】 26(1)求数列 , 的通项公式; (2)令 ,求数列 的前12项和 . 【答案】(1) , (2)2796 【分析】(1)由数列 是等差数列, 是各项均为正数的等比数列,设出公差和公比,根据题意列出 方程组求解即可; (2)根据题意写出数列 通项公式,用分组求和法,结合等差等比求和公式求解即可. 【详解】(1)设数列 的公差为d,数列 的公比为 , 由题意可得, , 即 , 所以 , 因为 ,所以 , 所以 , . (2)由(1)可得 , 所以 的所有奇数项组成以1为首项,4为公差的等差数列; 所有偶数项组成以2为首项,4为公比的等比数列. 所以, . 题型六、倒序相加法 资料收集整理【淘宝店铺:向阳百分百】 271.(2023届广东省模拟数学试题)已知函数 满足 ,若数列 满足: . (1)求数列 的通项公式; (2)若数列 满足 , ( ),数列 的前n项和为 ,若 对一切 恒 成立,求实数 的取值范围. 【答案】(1) , ; (2) 【分析】(1)由 ,运用倒序相加求和,可得所求通项公式; (2)由(1)可得 的通项公式,由数列的裂项相消求和可得 ,再由参数分离和配方法求得最值,即 可得到所求的取值范围. 【详解】(1)因为 , 由 ①, 则 ②, 所以 可得: , 故 , . (2)由(1)知, , 则 时, , 所以 . 又由 对一切 恒成立, 可得 恒成立, 资料收集整理【淘宝店铺:向阳百分百】 28即有 对一切 恒成立. 当 时, 取得最大值 ,所以 ; 故实数 的取值范围是 . 2.已知 为等比数列,且 ,若 ,求 的值. 【答案】2021 【分析】利用函数解析式和等比数列的性质求得 ,继而求出答案 【详解】因为 为等比数列, ,所以 , 因为 , 所以 , 同理可得 , 所以 3.已知函数 对任意的 ,都有 ,数列 满足 … .求数列 的通项公式. 【答案】 【分析】由题得 ,所以 … .① (n−1) (n−2) (1) a =f (1)+f +f +…+f +f (0).②,两式相加即得解. n n n n 【详解】因为 , . 资料收集整理【淘宝店铺:向阳百分百】 29故 … .① (n−1) (n−2) (1) a =f (1)+f +f +…+f +f (0).② n n n n ①+②,得 , . 所以数列 的通项公式为 . 4.设函数 ,设 , . (1)计算 的值. (2)求数列 的通项公式. 【答案】(1)2 (2) 【分析】(1)直接计算 可得答案; (2)由(1)的计算结果,当 时, 利用倒序相加法可得答案. 【详解】(1) ; (2)由题知,当 时, , 又 ,两式相加得 , 所以 , 又 不符合 , 所以 . 资料收集整理【淘宝店铺:向阳百分百】 305.已知函数 , ,正项等比数列 满足 ,则 值是多少?. 【答案】 【分析】先证明 ,由等比数列的性质可得 ,即 ,继而可得 ,倒序相加法即可得解. 【详解】因为 , 所以 . 因为数列 是等比数列,所以 , 即 . 设 ①, 又 +…+ ②, ①+②,得 ,所以 . 资料收集整理【淘宝店铺:向阳百分百】 31题型七、数列中的结构不良问题 1.(2023年安徽省教学质量抽测数学试题)已知数列 是首项为2的等差数列,数列 是公比为2的 等比数列,且数列 的前 项和为 . (1)求数列 的通项公式; (2)设__________,求数列 的前 项和为 . ① ,② ,③ .从这三个条件中任选一个填入上面横线中,并回答问题. 【答案】(1) , (2)选择见解析,答案见解析 【分析】(1)根据条件求出 , ,再根据数列 为等差数列,数列 为等比数列,即可求出 结果; (2)选择条件①,利用错位相减法即可求出结果,选择条件②,利用裂项相消法即可求出结果,选择条 件③,利用分组求和法即可求出结果. 【详解】(1)设数列 的公差为 ,数列 的首项为 , 由题知, , 因为 ,解得 , 所以 , 又 ,即 ,解得 , 所以 . 所以数列 的通项公式为 ,数列 的通项公式为 . (2)选条件①: , 则 , 故 ,两式相减得 , 资料收集整理【淘宝店铺:向阳百分百】 32. 选条件②: , , . 选条件③: , , . 2.(2023年江西省模拟考试数学试题)从① ;②前 项和 满足 , ;③ 中任选一个,并将序号填在下面的横线上,再解答已知数列 中, ,且_____. (1)求数列 的通项公式; (2)设 ,数列 的前 项和 ,证明: . (注:如果选择多个条件分别解答,按第一个解答计分) 【答案】(1) (2)证明见解析. 【分析】(1)选①,利用等式变形得 ,可得 ;选②,利用 可得 ,可 得 ;选③先变形为 后用累加法可得 ; (2) ,利用裂项相消法可得. 【详解】(1)若选①:当 时,由 得 , 整理得 , 因 ,故 , 故 是以 为首项以 为公差的等差数列, 资料收集整理【淘宝店铺:向阳百分百】 33所以 ; 若选②:当 时,由 得 , 两式相减得 , 整理得 , 因 ,故 , 故 是以 为首项以 为公差的等差数列, 所以 ; 若选③:由 得 , 得 , 故当 时, , 所以 ; 又 ,满足 , 故 . (2) , 故 , 因 ,当 越大时, 越大,故 . 3.(2023年江西省模拟数学试题)已知正项等差数列 前 项和为 ,______, .请从 条件① , ;条件② ,且 , , 成等比数列,两个条件中任选一个填在上面的 横线上,并完成下面的两个问题. 资料收集整理【淘宝店铺:向阳百分百】 34(1)求数列 的通项公式; (2)记数列 的前 项和为 ,证明: . 【答案】(1) (2)证明见解析 【分析】(1)若选①,根据等差数列性质可得 ,再计算等差数列基本量即可; (2)代入可得 ,再根据等比数列求和证明即可. 【详解】(1)若选①,由 ,得 , 又因为 ,所以 , 则 ,解得 ; 故 . 若选②,设等差数列 的公差为 ,∵ ,且 , , 成等比数列, ∴ ,即 ,解得: 或 (舍), ∴ , . (2) ,所以 . ∴ ,即得证. 4.(2023年安徽省调研测试数学试题)已知数列 的前 项和为 . (1)求数列 的通项公式; (2)设 ,求数列 的前 项和 . 【答案】(1) (2) 资料收集整理【淘宝店铺:向阳百分百】 35【分析】(1)利用 即可求出通项公式; (2)求出 ,利用错位相减法求和. 【详解】(1)当 时, , 当 时,因为 ①,所以 ②, ①-②得 ,即 ,所以 , 又因为 ,所以 , 所以,当 时, 是以4为首项,2为公比的等比数列,所以 . 所以 . (2)因为 ,所以,当 时, , 当 时, , 所以 , 所以 , 则数列 的前 项和为 , 当 时, 当 时, , , ①-②得 , , , 所以 . 当 时, 也满足. 故数列 的前 项和 . 5.(2023届海南模拟数学试题)已知数列 的各项均为正数且均不相等,记 为 的前 项和,从 下面①②③中选取两个作为条件,证明另外一个成立. 资料收集整理【淘宝店铺:向阳百分百】 36①数列 是等比数列;② ;③ 是等比数列. 注:若选择不同的组合分别解答,则按第一个解答计分. 【答案】证明见解析 【分析】选择①②为条件,③为结论,可推出 ,即可求得 ,继而得 的表达式,即可证明结论; 选择①③为条件,②为结论,即得 ,再利用条件求得q的值,化简即可证明结论; 选择②③为条件,①为结论,设等比数列 的公比为 ,即得 ,从 而推出 ,可得 ,结合 ,求得 ,化简 即可证明结论. 【详解】选择①②为条件,③为结论. 证明过程如下: 设等比数列 的公比为 且 , 则 , 由 得 ,所以 , 则 ,即 , 所以 ,即 , 所以 , 所以 是以 为首项,2为公比的等比数列. 选择①③为条件,②为结论. 证明过程如下: 设等比数列 的公比为 且 , 则 , 所以 ,(*) 因为 是等比数列, 所以 , 即 . 所以 . 因为 ,所以化简整理得 , 资料收集整理【淘宝店铺:向阳百分百】 37即 ,因为 ,所以 , 代入(*)式,得 ,即 . 选择②③为条件,①为结论. 证明过程如下: 设等比数列 的公比为 且 , 则 , 当 时, , 所以 , 又因为 ,所以 ,因为 ,所以 , 所以 , 得 , 因为当 时,上式恒成立, 所以 是首项为 ,公比为2的等比数列. 6.(2021年全国高考甲卷数学(理)试题)已知数列 的各项均为正数,记 为 的前n项和,从 下面①②③中选取两个作为条件,证明另外一个成立. ①数列 是等差数列:②数列 是等差数列;③ . 注:若选择不同的组合分别解答,则按第一个解答计分. 【答案】证明过程见解析 【分析】选①②作条件证明③时,可设出 ,结合 的关系求出 ,利用 是等差数列可证 ;也可分别设出公差,写出各自的通项公式后利用两者的关系,对照系数,得到等量关系,进行证 明. 选①③作条件证明②时,根据等差数列的求和公式表示出 ,结合等差数列定义可证; 选②③作条件证明①时,设出 ,结合 的关系求出 ,根据 可求 ,然后可证 是等差数列;也可利用前两项的差求出公差,然后求出通项公式,进而证明出结论. 【详解】选①②作条件证明③: [方法一]:待定系数法+ 与 关系式 设 ,则 , 当 时, ; 资料收集整理【淘宝店铺:向阳百分百】 38当 时, ; 因为 也是等差数列,所以 ,解得 ; 所以 , ,故 . [方法二] :待定系数法 设等差数列 的公差为d,等差数列 的公差为 , 则 ,将 代入 , 化简得 对于 恒成立. 则有 ,解得 .所以 . 选①③作条件证明②: 因为 , 是等差数列, 所以公差 , 所以 ,即 , 因为 , 所以 是等差数列. 选②③作条件证明①: [方法一]:定义法 设 ,则 , 当 时, ; 当 时, ; 因为 ,所以 ,解得 或 ; 当 时, ,当 时, 满足等差数列的定义,此时 为等差数列; 当 时, , 不合题意,舍去. 综上可知 为等差数列. [方法二]【最优解】:求解通项公式 因为 ,所以 , ,因为 也为等差数列,所以公差 资料收集整理【淘宝店铺:向阳百分百】 39,所以 ,故 ,当 时, ,当 时,满足上式,故 的通项公式为 ,所 以 , ,符合题意. 【整体点评】这类题型在解答题中较为罕见,求解的关键是牢牢抓住已知条件,结合相关公式,逐步推演, 选①②时,法一:利用等差数列的通项公式是关于 的一次函数,直接设出 ,平方后得 到 的关系式,利用 得到 的通项公式,进而得到 ,是选择①②证明③的通 式通法;法二:分别设出 与 的公差,写出各自的通项公式后利用两者的关系,对照系数,得到等 量关系 , ,进而得到 ;选①③时,按照正常的思维求出公差,表示出 及 ,进 而由等差数列定义进行证明;选②③时,法一:利用等差数列的通项公式是关于 的一次函数,直接设出 ,结合 的关系求出 ,根据 可求 ,然后可证 是等差数列;法二:利 用 是等差数列即前两项的差 求出公差,然后求出 的通项公式,利用 ,求出 的通项公式,进而证明出结论. 7.(2021年全国高考甲卷数学(文)试题)记 为数列 的前n项和,已知 ,且数列 是等差数列,证明: 是等差数列. 【答案】证明见解析. 【分析】先根据 求出数列 的公差d,进一步写出 的通项,从而求出 的通项公式, 最终得证. 【详解】∵数列 是等差数列,设公差为 ∴ , ∴ , ∴当 时, 当 时, ,满足 , ∴ 的通项公式为 , ∴ ∴ 是等差数列. 资料收集整理【淘宝店铺:向阳百分百】 40【点睛】在利用 求通项公式时一定要讨论 的特殊情况. 题型八、强化训练第一问 1.(2023届高三一轮复习联考(三)全国卷理科数学试题)已知数列 满足 . 求 的通项公式; 【答案】 ; 【分析】根据所给递推关系,得出 ,两式相减即可求解; 【详解】由题,当 时, ,即 . ① 当 时, ② ①-②得 , 所以 . 当 时, 也适合 , 综上, . 2.已知数列 的首项 ,且满足 . 证明:数列 为等比数列,并求出数列 的通项公式; 【答案】 【分析】对已知等式两边取倒数,再利用等比数列的定义证明,进而求得通项公式; 【详解】由 ,两边取倒数得 , 即 ,即 资料收集整理【淘宝店铺:向阳百分百】 41故数列 是首项为 ,公比为3的等比数列, 所以 , ,即 所以数列 的通项公式为 . 3.(2023届云南省教学质量检测数学试题)已知数列 的前 项和为 , ,且满足 设 ,证明: 是等比数列 【答案】证明见解析 【分析】由题设可得 ,整理变形得 ,结合等比数列定义即可证结论; 【详解】由题设, ,则 , 所以 ,即 ,而 , 故 是首项与公比都为 的等比数列. 4.(2014年全国普通高等学校招生统一考试文科数学(新课标Ⅰ))已知 是递增的等差数列, , 是方程x2 −5x+6=0的根. 求 的通项公式; 【答案】 ;. 【分析】方程x2 −5x+6=0的两根为 ,由题意得 ,在利用等差数列的通项公式即可得出; 【详解】方程x2 −5x+6=0的两根为2,3. 由题意得 a =2 , a =3 . 2 4 1 3 设数列 的公差为 ,则 ,故 d= ,从而得 a = . {a } d a −a =2d 2 1 2 n 4 2 1 所以 的通项公式为 a = n+1 . {a } n 2 n 5.(2014年全国普通高等学校招生统一考试文科数学(安徽卷))数列 满足 , 资料收集整理【淘宝店铺:向阳百分百】 42, . 证明:数列 是等差数列; 【答案】证明见解析; 【详解】试题分析:将 的两边同除以 ,得到 ,由等差数列的 定义,即可作出证明; a a a a 证明:由已知可得 n+1 = n +1,即 n+1 − n =1. n+1 n n+1 n {a } a 所以 n 是以 1 =1为首项,1为公差的等差数列. n 1 6.(2015年全国普通高等学校招生统一考试文科数学(浙江卷))已知数列 和 满足, 求 与 ; 【答案】 ; 【详解】根据数列递推关系式,确定数列的特点,得到数列的通项公式;(2)根据(1)问得到新的数列 的通项公式,利用错位相减法进行数列求和. 试题解析:由 ,得 . 当 时, ,故 . 当 时, ,整理得 , 所以 . 7.(2018年全国普通高等学校招生统一考试数学(浙江卷))已知等比数列 {a } 的公比q>1,且 n a +a +a =28 ,a +2是 a , a 的等差中项. 3 4 5 4 3 5 求q的值; 【答案】 ; 【分析】分析:根据条件、等差数列的性质及等比数列的通项公式即可求解公比; 【详解】详解:由 是 的等差中项得 , 所以 ,解得 . 由 得 , 资料收集整理【淘宝店铺:向阳百分百】 43因为 q>1 ,所以 . 8.设数列 满足 . 求 的通项公式; 【答案】 ; 【解析】利用递推公式,作差后即可求得 的通项公式. 【详解】数列 满足 时, ∴ ,∴ 当 时, ,上式也成立 ∴ 9.等比数列 的各项均为正数,且 . 求数列 的通项公式; 【答案】 ; 【分析】根据题意列出方程组,求出首项与公比,即可求出等比数列的通项公式即可; {a } 【详解】设数列 n 的公比为q, 由a2 =9a a 得a2 =9a2 , 3 2 6 3 4 1 1 所以 q = .由条件可知 ,故 q= . 2 9 q>0 3 1 由 得 ,所以 a = . 2a +3a =1 2a +3a q=1 1 3 1 2 1 1 1 故数列 的通项公式为 a = . {a } n 3n n 10.(2021年天津高考数学试题)已知 是公差为2的等差数列,其前8项和为64. 是公比大于0 的等比数列, . 求 和 的通项公式; 【答案】(I) , ; 资料收集整理【淘宝店铺:向阳百分百】 44【分析】由等差数列的求和公式运算可得 的通项,由等比数列的通项公式运算可得 的通项公式; 【详解】因为 是公差为2的等差数列,其前8项和为64. 所以 ,所以 , 所以 ; 设等比数列 的公比为 , 所以 ,解得 (负值舍去), 所以 ; 11.(2023年上海市模拟数学试题)在数列 中, , . 证明数列 是等比数列; 【答案】见解析 【分析】由题意构造数列 ,再利用等比数列的定义即可证明; 【详解】因为 ,所以 , 所以 ,所以数列 是以 为首项, 为公比的等比数列. 12.(2023年陕西省模拟(理科)数学试题)已知等比数列 的公比 ,前 项和为 ,且 . 求数列 的通项公式; 【答案】 【分析】由题意可得出 ,解方程求出 ,再由等比数列的通项公式即可求出数列 的通 项公式; 【详解】由已知可得: , 所以 ,两式相除可得: , 即 ,即 , 资料收集整理【淘宝店铺:向阳百分百】 45解得 或 (舍), . 13.(2023年江苏省模拟数学试题)已知等差数列 的前n项和为 ,数列 为等比数列,满足 是 与 的等差中项. 求数列 的通项公式; 【答案】 , ; 【分析】设等差数列 的公差为 ,等比数列 的公比为 ,利用 , 求出 值即 d 可得到 的通项公式;再由题意得 ,结合 可求出 值,进一步可得 的通项公式; 【详解】设等差数列 的公差为d,等比数列 的公比为 , 因为 ,所以 ,解得 ,所以 , 由题意知: ,因为 ,所以 , 解得 ,所以 ; 14.设数列 的首项 n=1,2,3, ⋯ 判断数列 是否为等比数列,并证明你的结论; 【答案】是,证明见解析 【分析】根据题设条件,可得 ,由等比数列的定义可得结论; 1 【详解】数列 出是以a+ 为首项, 为公比的等比数列,证明如下: 3 ∵ 又 ∴数列{ }是 为首项, 为公比的等比数列. 15.(2023年广东省模拟数学试题)已知数列 满足 , . 记 ,证明数列 为等比数列,并求数列 的通项公式; 资料收集整理【淘宝店铺:向阳百分百】 46【答案】证明见详解, 【分析】根据题意结合等比数列的定义分析证明,进而求通项公式; 【详解】由题意可知: , 且 , 所以数列 是以首项 ,公比 的等比数列,可得 . 16.数列 满足: , . 求数列 的通项公式; 【答案】 , 【分析】根据递推关系得 ,再验证 满足条件即可求得答案; 【详解】解:当 , ,① , ,② ①-②得 (*) 在①中令 ,得 ,也满足(*),所以 , . 17.(2023年全国名校大联考数学试题)在数列 中, , ,且对任意的 ,都有 . 证明: 是等比数列,并求出 的通项公式; 【答案】证明见解析, ; 【分析】由 ,可得 ,即 是等比数列,可求得 ,变形为 ,即可得到 是等差数列,可求得 ,从而求得 ; 【详解】证明:因为 , ,所以 . 因为 ,所以 , 又 ,则有 , 所以 , 所以 是以4为首项,2为公比的等比数列. 所以 ,所以 , 资料收集整理【淘宝店铺:向阳百分百】 47又 ,所以 是以1为首项,1为公差的等差数列, 所以 ,所以 . 18.(2023届福建省模拟考试数学试题)已知数列 的前 项的积记为 ,且满足 证明:数列 为等差数列; 【答案】证明见解析 【分析】将 代入到 中,得 ,结合等差数列的定义可证结论正确; 【详解】当 时, ,得 , 当 时, ,所以 , 所以数列 是首项为 ,公差为 的等差数列. 19.设数列 满足 求数列 的通项公式. 【答案】 = 【分析】由 ,求出 时的通项公式,再检验 是否满足所求通项公式即可; 【详解】因为 , 所以当 时, , 则 即 又当 时, 则 ,满足 故 20.(2024届重庆市适应性月考数学试题)已知数列 满足 , 资料收集整理【淘宝店铺:向阳百分百】 48记 ,求证: 为等比数列; 【答案】证明见解析 【分析】由 可知 结合 可得 进而可证 为等比数列; 【详解】证明: 且 , 又 , 为以4为首项,2为公比的等比数列. 21.(2023年安徽省阶段性测试数学试题)已知数列 的前 项和 . )求 ; 【答案】 【分析】利用 与 的关系求解; 【详解】当 时, , 当 时, , , 作差得 , 故 22.(2023年江西省模拟数学试题)在数列 中, , ,且 .设 为满足 的 的个数. 求 , 的值; 取值范围. 【答案】 , 【分析】由递推式判断 是等差数列,利用等差通项公式求基本量,进而得到 ,结合已知可得 ,即可写出对应项; 资料收集整理【淘宝店铺:向阳百分百】 49【详解】因为 ,所以 ,则 是等差数列, 设数列 的公差为 ,由 ,则 ,解得 ,则 , 因为 是满足 的 的个数,所以 , 则 , . 23.(2023年浙江省名校联盟联考数学试题) , ,递增数列 前 项和为 . (1)证明: 为等比数列并求 ; (2)记 , 为使 成立的最小正整数,求 . 【答案】(1)证明见解析; 【分析】由题意可得 为递增数列: ,( ),根据等比数列定义即可证明结论, 并求得 ; 【详解】证明:由于 , , 当 时, ; 当 时, 依次取值为 ,( )时,总存在 使得 成 立, 证明该结论,只需证明 能被3整除, 由于 , 即 能被3整除,即上述结论成立, 当 时, , 由于 能被3整除, 则 不是3的倍数, 即 时,不适合题意; 综合上述, 为递增数列: ,( ), 故 ,即 是以 为首项,公比为4的等比数列, 则 . 资料收集整理【淘宝店铺:向阳百分百】 5024.(2023年福建省模拟考试数学试题)数列 满足 , ,λ为常数 是否存在实数λ,使得数列 成为等比数列,若存在,找出所有的λ,及对应的通项公式;若不存在,说 明理由; 【答案】存在, , 【分析】假设存在实数λ,使得数列 成为等比数列,根据 可求出 可得答案; 【详解】假设存在实数λ,使得数列 成为等比数列, 则有 , , , 因为 ,所以数列 成为等比数列,存在 , ; 25.(2023年广东省联考数学试题)正数数列 满足 ,且 成等差数列, 成等比数列. 求 的通项公式; 【答案】 ; . 【分析】根据题意,由等差中项与等比中项的性质列出方程,结合递推关系可得数列 是以 为首项, 为公差的等差数列,再由数列 的通项公式可得数列 的通项公式; 【详解】 成等差数列, 成等比数列, , , 数列 为正数数列, , 当 时, , , ,且 ,则 , , , , , , 数列 是以 为首项, 为公差的等差数列, , , 当 时, 满足上式, , 资料收集整理【淘宝店铺:向阳百分百】 51当 时, , 当 时, 满足上式, . 26.(2023年山西省模拟数学试题)若数列 满足 ,则称数列 为“平方递推数列".已知数 列 中, ,点 在函数 的图象上,其中n为正整数, (1)证明:数列 是“平方递推数列”,且数列 为等比数列; 【答案】证明见解析 【分析】根据“平方递推数列”的定义和等比数列的定义进行证明即可; 【详解】 点 在函数 的图象上, , , 数列 是“平方递推数列”, 因为 , 对 两边同时取对数得 , 数列 是以1为首项、2为公比的等比数列; 27.(2024届湖北省新起点摸底考试数学试题)已知 是数列 的前 项和, , . 求数列 的通项公式; 【答案】 【分析】利用 与 的关系,结合累乘法即可求出数列 的通项公式; 【详解】由 ,则 , 两式相减得: , 整理得: , 即 时, , 所以 时, , 又 时, ,得 ,也满足上式. 故 . 资料收集整理【淘宝店铺:向阳百分百】 52