当前位置:首页>文档>专题1.1关于整式乘除的扩展知识(解析版)_北师大初中数学_7下-北师大版初中数学_7下-初中数学北师大版(旧版)赠送_06专项讲练

专题1.1关于整式乘除的扩展知识(解析版)_北师大初中数学_7下-北师大版初中数学_7下-初中数学北师大版(旧版)赠送_06专项讲练

  • 2026-04-12 23:59:50 2026-04-12 23:17:20

文档预览

专题1.1关于整式乘除的扩展知识(解析版)_北师大初中数学_7下-北师大版初中数学_7下-初中数学北师大版(旧版)赠送_06专项讲练
专题1.1关于整式乘除的扩展知识(解析版)_北师大初中数学_7下-北师大版初中数学_7下-初中数学北师大版(旧版)赠送_06专项讲练
专题1.1关于整式乘除的扩展知识(解析版)_北师大初中数学_7下-北师大版初中数学_7下-初中数学北师大版(旧版)赠送_06专项讲练
专题1.1关于整式乘除的扩展知识(解析版)_北师大初中数学_7下-北师大版初中数学_7下-初中数学北师大版(旧版)赠送_06专项讲练
专题1.1关于整式乘除的扩展知识(解析版)_北师大初中数学_7下-北师大版初中数学_7下-初中数学北师大版(旧版)赠送_06专项讲练
专题1.1关于整式乘除的扩展知识(解析版)_北师大初中数学_7下-北师大版初中数学_7下-初中数学北师大版(旧版)赠送_06专项讲练
专题1.1关于整式乘除的扩展知识(解析版)_北师大初中数学_7下-北师大版初中数学_7下-初中数学北师大版(旧版)赠送_06专项讲练
专题1.1关于整式乘除的扩展知识(解析版)_北师大初中数学_7下-北师大版初中数学_7下-初中数学北师大版(旧版)赠送_06专项讲练
专题1.1关于整式乘除的扩展知识(解析版)_北师大初中数学_7下-北师大版初中数学_7下-初中数学北师大版(旧版)赠送_06专项讲练
专题1.1关于整式乘除的扩展知识(解析版)_北师大初中数学_7下-北师大版初中数学_7下-初中数学北师大版(旧版)赠送_06专项讲练
专题1.1关于整式乘除的扩展知识(解析版)_北师大初中数学_7下-北师大版初中数学_7下-初中数学北师大版(旧版)赠送_06专项讲练
专题1.1关于整式乘除的扩展知识(解析版)_北师大初中数学_7下-北师大版初中数学_7下-初中数学北师大版(旧版)赠送_06专项讲练

文档信息

文档格式
docx
文档大小
0.366 MB
文档页数
8 页
上传时间
2026-04-12 23:17:20

文档内容

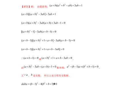
专题 1.1 关于整式乘除的扩展知识 配方法最值问题 【例1】已知代数式 可以利用完全平方公式变形为 ,进而可知 的 最小值是 ,依此方法,代数式 的最小值是 2 . 【解答】解: , , , 的最小值是2 故答案为:2 【变式训练1】对于代数式 ,利用完全平方公式,可求其最小值是 2 . 【解答】解: , 则代数式 的最小值是2 故答案为:2 【变式训练2】多项式 的最小值为 . 【解答】解:原式 , 当两完全平方式都取0时原式取得最小值 . 故答案为: . 【变式训练3】已知 ,当 、 各取何值时, 的值最小?【解答】解: , 由于 等于两个非负数的和加上5,所以最小值是 ,即 , 即 , , , . 故 , , . 【变式训练4】若 ,则 的最小值是 9 9 . 【解答】解: , , , , 最小值为99,此时 , . 故答案为99 三项完全平方 【例2】 ; 【解答】原式 ; 【变式训练1】计算: ; 【解答】解:; 【变式训练2】 【解答】 立方和与立方差公式 立 方 和 公 式 : a3+b3=(a+b)(a2−ab+b2) 立方差公式:a3−b3=(a−b)(a2+ab+b2) 【例3】由 , 即 .我们把这个等式叫做立方公式.下列应用这个立方公式进行 的变形不正确的是 A. B. C. D. 【解答】解: 立方公式 . . ; 符 合以上公式,故 正确; . ; 符合以上公式,故 正确;. ; 符合以上公式, 故 正确; . 不符合以上公式,故 正确; 故选: . 【变式训练1】实数 , 满足 ,则 1 或 . 【解答】解: 由题意得: 或 , 由 整理得: , 又 , 是实数, 所以上述方程有实数解, 也就是: , 故: ,代入上式解得 , 所以此时 ; 综上所述可得: 或 .故答案为: 1 或 . 【变式训练2】若 , ,则 的值是 A. B. C. D. 【解答】解:由 , ,有 . 又因 ,则 , . 由 故 . 故选: . 【变式训练3】若 , ,则 . 【解答】解: , , , , . 故答案为: . 【变式训练4】已知 , , 等于 A.10 B.20 C.30 D.40 【解答】解: , , , ,故 , , 解得: . 故选: . 【变式训练5】已 知 有 理 数 , , 满 足 , , 则 A.1 B.3 C.6 D.27 【解答】解:根据题意可令: , , .明显满足条件要求, 那么计算 . 故选: . 大除法 大除法是指多项式除以多项式. 多项式除以多项式一般用竖式进行演算: (1)把被除式、除式按某个字母作降幂排列,并把所缺的项用零补齐. (2)用被除式的第一项除以除式第一项,得到商式的第一项. (3)用商式的第一项去乘除式,把积写在被除式下面(同类项对齐),消去相等项,把不 相等的项结合起来. (4)把减得的差当作新的被除式,再按照上面的方法继续演算,直到余式为零或余式的次 数低于除式的次数时为止,被除式=除式×商式+余式.若余式为零,说明这个多项式能被 另一个多项式整除. 【例4】 所以,商为 ,余数为-5【变式训练1】求 除以 所得的商式和余数 所以, 商式为 ,余数为 5 【变式训练2】求多项式 除以 所得的商式和余数 所以, 商式为 , 余数为7.