当前位置:首页>文档>专题8.7向量法求距离、探索性及折叠问题(解析版)_02高考数学_新高考复习资料_2024年新高考资料_一轮复习资料_答案解析版

专题8.7向量法求距离、探索性及折叠问题(解析版)_02高考数学_新高考复习资料_2024年新高考资料_一轮复习资料_答案解析版

  • 2026-04-14 06:32:30 2026-04-14 06:07:23

文档预览

专题8.7向量法求距离、探索性及折叠问题(解析版)_02高考数学_新高考复习资料_2024年新高考资料_一轮复习资料_答案解析版
专题8.7向量法求距离、探索性及折叠问题(解析版)_02高考数学_新高考复习资料_2024年新高考资料_一轮复习资料_答案解析版
专题8.7向量法求距离、探索性及折叠问题(解析版)_02高考数学_新高考复习资料_2024年新高考资料_一轮复习资料_答案解析版
专题8.7向量法求距离、探索性及折叠问题(解析版)_02高考数学_新高考复习资料_2024年新高考资料_一轮复习资料_答案解析版
专题8.7向量法求距离、探索性及折叠问题(解析版)_02高考数学_新高考复习资料_2024年新高考资料_一轮复习资料_答案解析版
专题8.7向量法求距离、探索性及折叠问题(解析版)_02高考数学_新高考复习资料_2024年新高考资料_一轮复习资料_答案解析版
专题8.7向量法求距离、探索性及折叠问题(解析版)_02高考数学_新高考复习资料_2024年新高考资料_一轮复习资料_答案解析版
专题8.7向量法求距离、探索性及折叠问题(解析版)_02高考数学_新高考复习资料_2024年新高考资料_一轮复习资料_答案解析版
专题8.7向量法求距离、探索性及折叠问题(解析版)_02高考数学_新高考复习资料_2024年新高考资料_一轮复习资料_答案解析版
专题8.7向量法求距离、探索性及折叠问题(解析版)_02高考数学_新高考复习资料_2024年新高考资料_一轮复习资料_答案解析版
专题8.7向量法求距离、探索性及折叠问题(解析版)_02高考数学_新高考复习资料_2024年新高考资料_一轮复习资料_答案解析版
专题8.7向量法求距离、探索性及折叠问题(解析版)_02高考数学_新高考复习资料_2024年新高考资料_一轮复习资料_答案解析版
专题8.7向量法求距离、探索性及折叠问题(解析版)_02高考数学_新高考复习资料_2024年新高考资料_一轮复习资料_答案解析版
专题8.7向量法求距离、探索性及折叠问题(解析版)_02高考数学_新高考复习资料_2024年新高考资料_一轮复习资料_答案解析版
专题8.7向量法求距离、探索性及折叠问题(解析版)_02高考数学_新高考复习资料_2024年新高考资料_一轮复习资料_答案解析版
专题8.7向量法求距离、探索性及折叠问题(解析版)_02高考数学_新高考复习资料_2024年新高考资料_一轮复习资料_答案解析版
专题8.7向量法求距离、探索性及折叠问题(解析版)_02高考数学_新高考复习资料_2024年新高考资料_一轮复习资料_答案解析版
专题8.7向量法求距离、探索性及折叠问题(解析版)_02高考数学_新高考复习资料_2024年新高考资料_一轮复习资料_答案解析版
专题8.7向量法求距离、探索性及折叠问题(解析版)_02高考数学_新高考复习资料_2024年新高考资料_一轮复习资料_答案解析版
专题8.7向量法求距离、探索性及折叠问题(解析版)_02高考数学_新高考复习资料_2024年新高考资料_一轮复习资料_答案解析版
专题8.7向量法求距离、探索性及折叠问题(解析版)_02高考数学_新高考复习资料_2024年新高考资料_一轮复习资料_答案解析版
专题8.7向量法求距离、探索性及折叠问题(解析版)_02高考数学_新高考复习资料_2024年新高考资料_一轮复习资料_答案解析版
专题8.7向量法求距离、探索性及折叠问题(解析版)_02高考数学_新高考复习资料_2024年新高考资料_一轮复习资料_答案解析版
专题8.7向量法求距离、探索性及折叠问题(解析版)_02高考数学_新高考复习资料_2024年新高考资料_一轮复习资料_答案解析版
专题8.7向量法求距离、探索性及折叠问题(解析版)_02高考数学_新高考复习资料_2024年新高考资料_一轮复习资料_答案解析版
专题8.7向量法求距离、探索性及折叠问题(解析版)_02高考数学_新高考复习资料_2024年新高考资料_一轮复习资料_答案解析版
专题8.7向量法求距离、探索性及折叠问题(解析版)_02高考数学_新高考复习资料_2024年新高考资料_一轮复习资料_答案解析版
专题8.7向量法求距离、探索性及折叠问题(解析版)_02高考数学_新高考复习资料_2024年新高考资料_一轮复习资料_答案解析版
专题8.7向量法求距离、探索性及折叠问题(解析版)_02高考数学_新高考复习资料_2024年新高考资料_一轮复习资料_答案解析版
专题8.7向量法求距离、探索性及折叠问题(解析版)_02高考数学_新高考复习资料_2024年新高考资料_一轮复习资料_答案解析版
专题8.7向量法求距离、探索性及折叠问题(解析版)_02高考数学_新高考复习资料_2024年新高考资料_一轮复习资料_答案解析版
专题8.7向量法求距离、探索性及折叠问题(解析版)_02高考数学_新高考复习资料_2024年新高考资料_一轮复习资料_答案解析版
专题8.7向量法求距离、探索性及折叠问题(解析版)_02高考数学_新高考复习资料_2024年新高考资料_一轮复习资料_答案解析版
专题8.7向量法求距离、探索性及折叠问题(解析版)_02高考数学_新高考复习资料_2024年新高考资料_一轮复习资料_答案解析版
专题8.7向量法求距离、探索性及折叠问题(解析版)_02高考数学_新高考复习资料_2024年新高考资料_一轮复习资料_答案解析版
专题8.7向量法求距离、探索性及折叠问题(解析版)_02高考数学_新高考复习资料_2024年新高考资料_一轮复习资料_答案解析版
专题8.7向量法求距离、探索性及折叠问题(解析版)_02高考数学_新高考复习资料_2024年新高考资料_一轮复习资料_答案解析版
专题8.7向量法求距离、探索性及折叠问题(解析版)_02高考数学_新高考复习资料_2024年新高考资料_一轮复习资料_答案解析版
专题8.7向量法求距离、探索性及折叠问题(解析版)_02高考数学_新高考复习资料_2024年新高考资料_一轮复习资料_答案解析版
专题8.7向量法求距离、探索性及折叠问题(解析版)_02高考数学_新高考复习资料_2024年新高考资料_一轮复习资料_答案解析版
专题8.7向量法求距离、探索性及折叠问题(解析版)_02高考数学_新高考复习资料_2024年新高考资料_一轮复习资料_答案解析版
专题8.7向量法求距离、探索性及折叠问题(解析版)_02高考数学_新高考复习资料_2024年新高考资料_一轮复习资料_答案解析版
专题8.7向量法求距离、探索性及折叠问题(解析版)_02高考数学_新高考复习资料_2024年新高考资料_一轮复习资料_答案解析版
专题8.7向量法求距离、探索性及折叠问题(解析版)_02高考数学_新高考复习资料_2024年新高考资料_一轮复习资料_答案解析版

文档信息

文档格式
docx
文档大小
2.810 MB
文档页数
40 页
上传时间
2026-04-14 06:07:23

文档内容

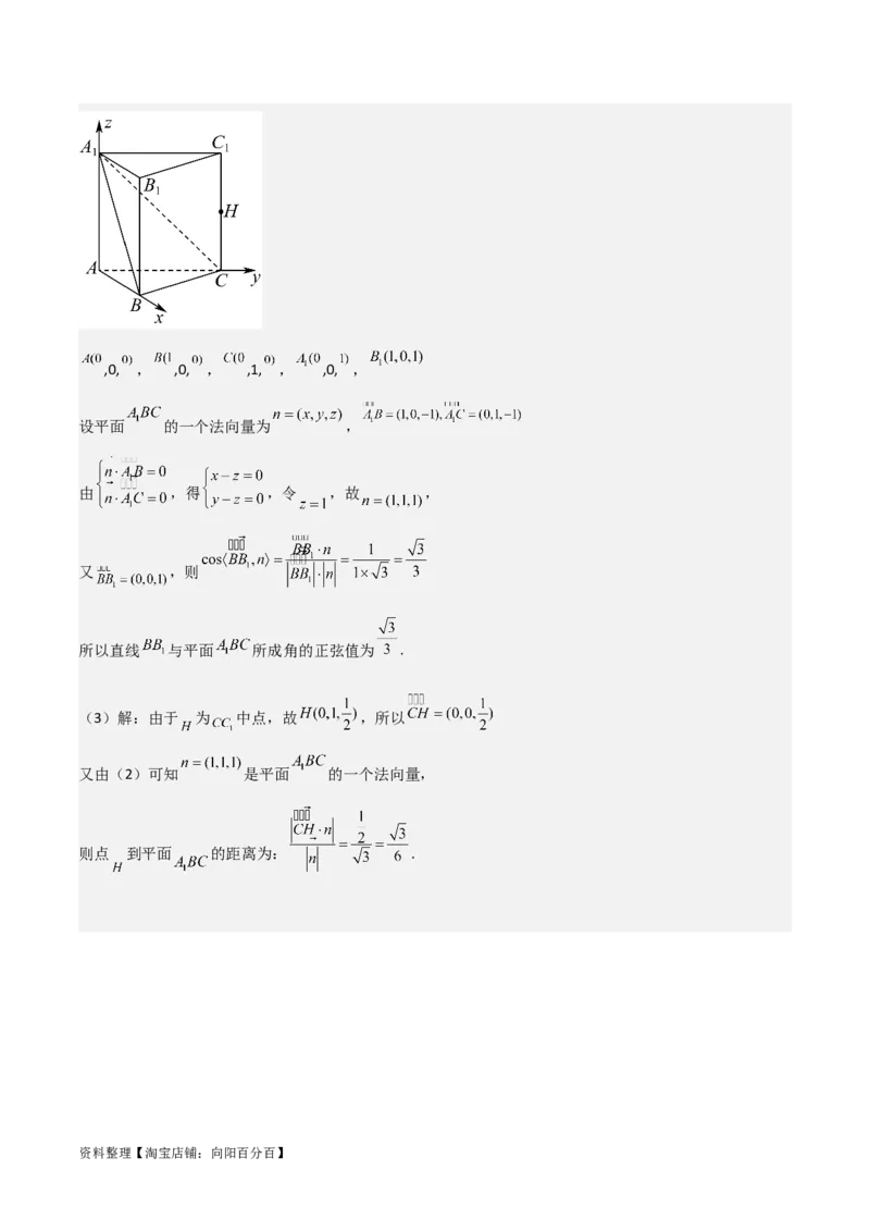
8.7 向量法求距离、探索性及折叠问题 知识点总结 1.点到平面的距离 若P是平面α外一点,PO⊥α,垂足为O,A为平面α内任意一点,设n为平面α的法向量, 则点P到平面α的距离d=. 2.点到直线的距离 如图(1),点P为直线l外一点,A是l上任意一点,在点P和直线l所确定的平面内,取一个 与直线l垂直的向量n,则点P到直线l的距离为d=. 如图(2),设e是直线l的方向向量,则点P到直线l的距离为d= | AP |sin 〈 AP , e 〉 . 3.线面距离、面面距离都可以转化为点到平面的距离. 典型例题分析 考向一 点到直线的距离 例1 如图,P为矩形ABCD所在平面外一点,PA⊥平面ABCD.若已知AB=3,AD=4,PA= 1,则点P到直线BD的距离为________. 资料整理【淘宝店铺:向阳百分百】答案 解析 如图,分别以AB,AD,AP所在直线为x轴、y轴、z轴建立空间直角坐标系, 则P(0,0,1),B(3,0,0),D(0,4,0), 则BP=(-3,0,1),BD=(-3,4,0), 故点P到直线BD的距离d===, 所以点P到直线BD的距离为. 考向二 点到平面的距离 例2 在棱长均为a的正三棱柱ABC-A B C 中,D是侧棱CC 的中点,则点 C 到平面AB D 1 1 1 1 1 1 的距离为( ) A.a B.a C.a D.a 答案 A 解析 以A为空间直角坐标原点,以垂直于 AC的直线为x轴,以AC所在直线为y轴,以 AA 所在直线为z轴建立空间直角坐标系. 1 由ABC-A B C 是棱长均为a的正三棱柱,D是侧棱CC 的中点, 1 1 1 1 故A(0,0,0),B,D,C (0,a,a), 1 1 所以AB1=,DC1=,AD=, 设平面AB D的法向量是n=(x,y,z), 1 所以取n=(,1,-2), 故点C 到平面AB D的距离d===a. 1 1 资料整理【淘宝店铺:向阳百分百】感悟提升 1.点线距的求解步骤: 直线的单位方向向量a→所求点到直线上一点的向量PP′及其在直线的方向向量a上的投影向 量→代入公式. 2.点面距的求解步骤: (1)求出该平面的一个法向量; (2)找出从该点出发的平面的任一条斜线段对应的向量; (3)求出法向量与斜线段对应向量的数量积的绝对值,再除以法向量的模,即可求出点到平面 的距离. 考向三 探索性问题 例 3 (2023·厦门质检)在三棱柱 ABC-A B C 中,四边形 AA B B 是菱形,AB⊥AC,平面 1 1 1 1 1 AA B B⊥平面ABC,平面A B C 与平面AB C的交线为l. 1 1 1 1 1 1 (1)证明:A B⊥B C. 1 1 (2)已知∠ABB =60°,AB=AC=2,l上是否存在点P,使A B与平面ABP所成角为30°?若 1 1 存在,求B P的长度;若不存在,请说明理由. 1 (1)证明 因为四边形AA B B为菱形, 1 1 所以A B⊥AB . 1 1 因为平面AA B B⊥平面ABC,平面AA B B∩平面ABC=AB,AC 平面ABC,AC⊥AB, 1 1 1 1 所以AC⊥平面AA 1 B 1 B. ⊂ 又A B 平面AA B B,所以AC⊥A B. 1 1 1 1 又因为⊂ AB 1 ∩AC=A, 所以A B⊥平面AB C. 1 1 又B C 平面AB C,所以A B⊥B C. 1 1 1 1 ⊂ 资料整理【淘宝店铺:向阳百分百】(2)解 l上不存在点P,使A B与平面ABP所成角为30°.理由如下: 1 取A B 的中点D,连接AD. 1 1 因为∠ABB =60°,所以∠AA B =60°. 1 1 1 又AA =A B , 1 1 1 所以△AA B 为等边三角形, 1 1 所以AD⊥A B . 1 1 因为A B ∥AB,所以AD⊥AB. 1 1 又平面AA B B⊥平面ABC,平面AA B B∩平面ABC=AB,AD 平面AA B B, 1 1 1 1 1 1 所以AD⊥平面ABC. ⊂ 以A为原点,以AB,AC,AD的方向分别为x轴,y轴,z轴正方向建立空间直角坐标系 A- xyz, 则A(0,0,0),B(2,0,0),C(0,2,0),A (-1,0,),B (1,0,),AC=(0,2,0), 1 1 AB=(2,0,0),AB1=(1,0,). 因为AC∥A C ,AC⊄平面A B C , 1 1 1 1 1 A C 平面A B C , 1 1 1 1 1 所以⊂ AC∥平面A 1 B 1 C 1 , 又AC 平面AB C,平面A B C ∩平面AB C=l, 1 1 1 1 1 所以A ⊂ C∥l. 假设l上存在一点P,使A B与平面ABP所成角为30°. 1 设B1P=λAC(λ∈R),则B1P=(0,2λ,0), 所以AP=AB1+B1P=(1,2λ,). 设n=(x,y,z)为平面ABP的一个法向量, 则即 令y=-,则z=2λ,可取n=(0,-,2λ). 又A1B=(3,0,-), 资料整理【淘宝店铺:向阳百分百】所以sin 30°=|cos〈n,A1B〉|===, 即3+4λ2=4λ2,此方程无解, 因此l上不存在点P,使A B与平面ABP所成角为30°. 1 感悟提升 1.对于存在判断型问题的求解,应先假设存在,把要成立的结论当作条件,据此 列方程或方程组,把“是否存在”问题转化为“点的坐标是否有解,是否有规定范围内的 解”等. 2.对于位置探究型问题,通常借助向量,引进参数,综合已知和结论列出等式,解出参数. 训练2 如图,四棱锥S-ABCD的底面是正方形,每条侧棱的长都是底面边长的倍,P为侧棱 SD上的点. (1)求证:AC⊥SD; (2)若SD⊥平面PAC,求平面PAC与平面DAC夹角的大小; (3)在(2)的条件下,侧棱SC上是否存在一点E,使得BE∥平面PAC.若存在,求SE∶EC的值; 若不存在,试说明理由. (1)证明 连接BD,设AC交BD于点O,连接SO.由题意知SO⊥平面ABCD,以O为坐标原 点,以OB,OC,OS分别为x轴、y轴、z轴正方向,建立坐标系O-xyz. 设底面边长为a,则高SO=a, 于是S,D,C,B. 于是,OC=,SD=, 则OC·SD=0,故OC⊥SD,从而AC⊥SD. (2)解 由题设知,平面PAC的一个法向量DS=, 资料整理【淘宝店铺:向阳百分百】平面DAC的一个法向量OS=. 则cos〈OS,DS〉==, 所以平面PAC与平面DAC夹角的大小为30°. (3)解 在棱SC上存在一点E使BE∥平面PAC. 根据第(2)问知DS是平面PAC的一个法向量, 且DS=,CS=,BC=. 设CE=tCS, 则BE=BC+CE=BC+tCS=. 又BE·DS=0,得-+0+a2t=0, 则t=, 当SE∶EC=2∶1时,BE⊥DS. 由于BE⊄平面PAC,故BE∥平面PAC. 因此在棱SC上存在点E,使BE∥平面PAC,此时SE∶EC=2∶1. 考向四 折叠问题 例4(1) (2023·济南调研)如图,矩形ABCD中,AB=2,BC=1,将△ACD沿AC折起,使得 点D到达点P的位置,连接PB,PB=. (1)证明:平面PAB⊥平面ABC; (2)求直线PC与平面ABC所成角的正弦值. (1)证明 因为BC=1,PC=2,PB=, 所以BC2+PB2=PC2,所以BC⊥PB, 又因为BC⊥AB,PB∩AB=B,PB,AB 平面PAB, 所以BC⊥平面PAB, ⊂ 因为BC 平面ABC, 所以平面⊂ ABC⊥平面PAB. (2)解 作PO⊥AB于点O,以O为坐标原点,以过 O垂直于平面PAB的直线为x轴,OB, OP所在直线分别为y,z轴,建立空间直角坐标系. 资料整理【淘宝店铺:向阳百分百】易得OB=,OP=, 所以P,C, 所以PC=, 易知平面ABC的一个法向量为n=(0,0,1), 所以cos〈PC,n〉==-, 所以直线PC与平面ABC所成角的正弦值为. (2)(2023·苏北四市质检)已知一圆形纸片的圆心为O,直径AB=2,圆周上有C,D两点.如图, OC⊥AB,∠AOD=,点P 是BD上的动点.沿 AB 将纸片折为直二面角,并连接 PO,PD, PC,CD. (1)当AB∥平面PCD时,求PD的长; (2)当三棱锥P-COD的体积最大时,求二面角O-PD-C的余弦值. 解 (1)因为AB∥平面PCD,AB 平面OPD, 平面OPD∩平面PCD=PD,所以⊂ AB∥PD, 又∠AOD=,所以∠ODP=∠OPD=, 所以∠POD=, 又OD=OP=1,所以PD=. (2)由题意知OC⊥平面POD, 而S =·OD·OP·sin∠DOP, △DOP 所以当OD⊥OP时,三棱锥P-COD的体积最大. 易知OC,OD,OP两两垂直,以O为坐标原点,OC,OP,OD的方向分别为x轴,y轴,z 资料整理【淘宝店铺:向阳百分百】轴的正方向,建立如图所示的空间直角坐标系O-xyz, 则C(1,0,0),D(0,0,1),P(0,1,0), 故PC=(1,-1,0),DP=(0,1,-1). 设平面CPD的法向量为n =(x,y,z). 1 则即 取y=1,得x=1,z=1, 得平面CPD的一个法向量为n =(1,1,1). 1 易知平面OPD的一个法向量为n =(1,0,0), 2 设二面角O-PD-C为θ, 则cos θ==, 所以二面角O-PD-C的余弦值为. 感悟提升 翻折问题中的解题关键是要结合图形弄清翻折前后变与不变的关系,尤其是隐含 的垂直关系.一般地翻折后还在同一个平面上的性质不发生变化,不在同一平面上的性质发生 变化. 基础题型训练 一、单选题 1.在空间直角坐标系 中,已知 ,且平面 的法向量为 ,则 到平面 的距离等于( ) A. B.4 C. D. 【答案】C 资料整理【淘宝店铺:向阳百分百】【分析】根据向量法计算可得. 【详解】依题意 ,平面 的法向量为 , 所以点 到平面 的距离 . 故选:C 2.空间中有三点 , , ,则点P到直线MN的距离为( ) A. B. C.3 D. 【答案】A 【分析】根据空间中点线距离的向量求法即可求解. 【详解】因为 ,所以 的一个单位方向向量为 . 因为 ,故 , , 所以点 到直线 的距离为 . 故选:A 3.已知空间三点 ,则 到直线 的距离为( ) A. B. C. D. 【答案】B 【分析】根据给出的三个点求出 、 和 ,求出 和 ,即可求出 到直线 的距 离. 【详解】由题意,空间三点 , , 资料整理【淘宝店铺:向阳百分百】∴ , , ∴ 到直线 的距离为: , 故选:B. 4.已知空间三点 , , ,则 到直线 的距离为( ) A.1 B.2 C.3 D. 【答案】B 【分析】首先求出 、 ,再根据夹角公式求出 ,从而求出 ,再根据距离公 式计算可得. 【详解】解:因为 , , ,所以 , , 则 , , , 所以 ,则 , 所以 到直线 的距离为 . 故选:B 5.在空间直角坐标系 中,平面 的法向量为 , 已知 ,则P到平面 的距离等于 ( ) A. B. C. D. 【答案】C 【分析】根据点面距的向量公式计算. 资料整理【淘宝店铺:向阳百分百】【详解】 所求距离为 . 故选:C. 6.已知正方体 的棱长为2, 、 分别为上底面 和侧面 的中心,则点 到平面 的距离为( ) A. B. C. D. 【答案】A 【分析】建立空间直角坐标系,利用向量法得出点 到平面 的距离. 【详解】建立如图所示的空间直角坐标系 , , , , , , 设平面 的法向量为 , ,令 ,得 资料整理【淘宝店铺:向阳百分百】则点 到平面 的距离为 . 故选:A 二、多选题 7.如图,在正四棱柱 中, , 为四边形 对角线的交点,下列结论 正确的是( ) A.点 到侧棱的距离相等 B.正四棱柱外接球的体积为 C.若 ,则 平面 D.点 到平面 的距离为 【答案】BD 【分析】利用正四棱柱的体对角线等于外接球直径,以及空间位置关系的向量方法证明和空间距离的向量 方法计算方法即可求解. 【详解】对于A, 到侧棱 的距离等于 , 到侧棱 的距离相等且等于 ,故A错误; 对于B,设正四棱柱外接球的直径为 ,则有 , 即 ,所以外接球的体积等于 ,故B正确; 对于C,建立空间直角坐标系,如图, 资料整理【淘宝店铺:向阳百分百】则 , 因为 ,所以 , 所以 , , , 所以 ,所以 与平面 不垂直,故C错误; 对于D,由以上知,设平面 的法向量为 , 则有 , , ,即 ,令 则 , 所以 , 因为 ,所以点 到平面 的距离为 ,故D正确. 故选:BD. 8.[多选题]下列命题中正确的是( ). A.可以用 求空间两点A,B的距离 资料整理【淘宝店铺:向阳百分百】B.设 是平面 的法向量,AB是平面 的一条斜线,点A在平面 内,则点B到 的距离为 C.若直线l与平面 平行,直线l上任意一点与平面 内任意一点的距离就是直线l与平面 的距离 D.若平面 与平面 平行,则平面 内任意一点到平面 的距离就是平面 与平面 之间的距离 【答案】ABD 【分析】根据向量数量积的定义可知A正确;由点到平面的距离,面面距的定义以及向量公式易知B,D 正确;根据点面距与线面距的定义可知C错误. 【详解】根据向量数量积的定义可知A显然正确,由点到平面的距离,面面距的定义以及向量公式易知 B,D正确.C中,直线l上任意一点到平面 的垂线段的长度为直线l与平面 的距离,故C错误. 故选:ABD. 三、填空题 9.已知点 在平面 内, 为平面 的一个法向量,则点 到平面 的距离为 ___________. 【答案】 / 【分析】先求得向量 ,再利用公式即可求得点 到平面 的距离 【详解】由 , ,可得 又点 在平面 内, 为平面 的一个法向量, 则点 到平面 的距离 故答案为: 10.如图,在棱长为2的正方体 中, 分别是 的中点,则直线 到平面 的距离为_______. 资料整理【淘宝店铺:向阳百分百】【答案】 【解析】由 平面 确定点 到平面 的距离就是直线 到平面 的距离,建立坐标系求 出平面 的法向量为 ,最后由 得出答案. 【详解】因为 ,由线面平行的判定定理可知, 平面 则点 到平面 的距离就是直线 到平面 的距离 以点 为坐标原点,建立如下图所示的空间直角坐标系: 设平面 的法向量为 ,则 取 ,则 资料整理【淘宝店铺:向阳百分百】则点 到平面 的距离为 故答案为: 11.一个正方体的平面展开图如图所示,AB=1,则在原来的正方体中,线段CF的中点到直线AM的距离 为________. 【答案】 / 【分析】先将展开图还原成正方体,以A为原点建立空间直角坐标系,利用空间向量的数量积公式及投影 定义即可求出线段CF的中点到直线AM的距离. 【详解】将展开图还原成正方体,以A为原点建立如图所示的空间直角坐标系,由图知 , , ,设CF的中点为G,则 , , . 故G到AM的距离 . 资料整理【淘宝店铺:向阳百分百】故答案为: 12. 为矩形 所在平面外一点, 平面 ,若已知 , , ,则点 到 的距离为__. 【答案】 / 【分析】方法一:过 作 ,交 于 ,连结 ,则可得 是点 到 的距离,然后求解即 可,方法二:建立空间直角坐标系,利用空间向量求解即可 【详解】方法一 矩形 中, , , , 过 作 ,交 于 ,连结 , 平面 , 平面 , , 又 , , 平面 , ∵ 平面 , ,即 是点 到 的距离, , , 资料整理【淘宝店铺:向阳百分百】, 点 到 的距离为 . 方法二 ∵ 平面 , 平面 , ∴ , ∵ ∴ 三线两两垂直, ∴以 为原点, 所在的直线分别为 轴建立空间直角坐标系,如图所示, , , , 点 到 的距离为 故答案为: 四、解答题 13.如图, 是圆柱 的一条母线, 是底面的一条直径, 是圆 上一点,且 , . 资料整理【淘宝店铺:向阳百分百】(1)求直线 与平面 所成角的大小; (2)求点 到平面 的距离. 【答案】(1) (2) 【分析】(1)利用线面垂直的判定定理找到线面角,进而在直角三角形中求解;(2)作垂线找到点到平面 的距离,利用等面积法求解. 【详解】(1) 平面 平面 是底面的一条直径, 又 平面 平面 所以 平面 是直线 与平面 所成角, 因为 ,所以 所以 所以直线 与平面 所成角的大小 资料整理【淘宝店铺:向阳百分百】(2) 过 作 ,垂足为 , 由(1)得 平面 平面 所以平面 平面 , 又因为平面 平面 , 平面 , , 所以 平面 , 根据等面积法 , 即 到平面 的距离等于 . 14.如图在棱长为2的正方体 中,点E是AD的中点,求: (1)异面直线 和 所成的角的余弦值 资料整理【淘宝店铺:向阳百分百】(2)点 到平面 的距离 【答案】(1) (2) 【分析】(1)(2)建立空间直角坐标系,利用空间向量法计算可得. 【详解】(1)解:如图建立空间直角坐标系,则 , , , , , 则 , ,所以 , 所以异面直线 和 所成的角的余弦值为 . (2)解:因为 , , , 设平面 的法向量为 , 所以 ,即 ,令 ,则 , 所以点 到平面 的距离 . 资料整理【淘宝店铺:向阳百分百】15.在平行四边形 中, , , , ,且 平面ABCD,求点P到直 线BC的距离. 【答案】1 【分析】建立空间直角坐标系,利用空间向量求解点到直线的距离. 【详解】以B为坐标原点,BD所在直线为x轴,BA所在直线为y轴,垂直平面ABCD向上为z轴,建立空 间直角坐标系,则因为 , , ,由勾股定理得: ,所以 , ,设点P到直线BC的距离为 ,则 ,则 ,所以 . 16.如图,在三棱柱 中, 平面 , 的中点为 . 资料整理【淘宝店铺:向阳百分百】(1)求证: ; (2)求直线 与平面 所成角的正弦值; (3)求点 到平面 的距离. 【答案】(1)证明见解析 (2)直线 与平面 所成角的正弦值为 (3)点 到平面 的距离为 . 【分析】(1)先证明 平面 ,再利用线面垂直的性质证明 即可; (2)建立如图空间直角坐标系,利用线面夹角公式求出即可; (3)根据(2)中坐标系,先得点 的坐标,在利用空间中点到平面距离公式求解即可. 【详解】(1)解: 平面 , 平面 ,所以 , 又 ,所以 ,又 , 平面 故 平面 ,又 平面 , 所以 ; (2)解:建立如图空间直角坐标系, 资料整理【淘宝店铺:向阳百分百】,0, , ,0, , ,1, , ,0, , 设平面 的一个法向量为 , 由 ,得 ,令 ,故 , 又 ,则 所以直线 与平面 所成角的正弦值为 . (3)解:由于 为 中点,故 ,所以 又由(2)可知 是平面 的一个法向量, 则点 到平面 的距离为: . 资料整理【淘宝店铺:向阳百分百】提升题型训练 一、单选题 1.已知直线l的方向向量为 ,平面 的法向量为 ,若直线l与平面 垂直,则实 数x的值为( ) A. B. C. D.10 【答案】A 【分析】由题意得 ,利用空间向量的坐标运算计算即可. 【详解】由题意得 ,则 ,即 ,解得 . 故选:A. 2.棱长为 的正四面体 中,则 等于( ) A. B. C. D. 【答案】A 【分析】利用空间向量数量积的运算性质可求得 的值. 【详解】 . 故选:A. 3.在空间中,已知动点P(x,y,z)满足z=0,则动点P的轨迹是 A.平面 B.直线 C.不是平面,也不是直线 D.以上都不对 【答案】A 资料整理【淘宝店铺:向阳百分百】【详解】试题分析:如图, 在空间中,已知动点P(x,y,z)满足z=0,则动点P的轨迹是坐标平面xOy面. 考点:轨迹方程 4.四棱锥 中, ,则这个四棱锥的高为( ) A. B. C. D. 【答案】A 【分析】求出平面 的法向量 ,计算法向量 与 的夹角得出 与平面 的夹角,从而可求 出 到平面 的距离. 【详解】解:设平面 的法向量为 , , ,则 , ,令 可得 , ,即 ,2, , , 设 与平面 所成角为 ,则 , 于是 到平面 的距离为 ,即四棱锥 的高为 . 故选: . 【点睛】本题考查了空间向量在立体几何中的应用,属于基础题. 5.如图在直三棱柱ABC﹣ABC 中,棱AB,BC,BB 两两垂直且长度相等,点P在线段AC 上运动,异 1 1 1 1 1 1 面直线BP与BC所成的角为θ,则θ的取值范围是 1 资料整理【淘宝店铺:向阳百分百】A. B. C. D. 【答案】C 【分析】建立空间直角坐标系,利用向量的夹角公式,根据二次函数求范围可得. 【详解】建立如图所示的空间直角坐标系,设棱长为1, 则 , 设 ,则 , 所以 , 令 ,则 资料整理【淘宝店铺:向阳百分百】所以 ,即 因为 所以 故选:C. 6.已知正四棱锥 侧面和底面的棱长都为2,P为棱BC上的一个动点,则点P到平面SAD的距离 是( ) A. B. C. D. 【答案】D 【分析】证明 平面SAD,可得故点P到平面SAD的距离即为点B到平面SAD的距离,建立如图所示 的空间直角坐标系,利用向量法即可得出答案. 【详解】解:由题可知 , 平面SAD, 平面SAD, 所以 平面SAD, 故点P到平面SAD的距离即为点B到平面SAD的距离, 如图建立空间直角坐标系: 则 , , , , 所以 , , , 设平面SAD的法向量为 , 则有 ,可取 , 则点B到平面SAD的距离为 即点P到平面SAD的距离为 . 故选:D. 资料整理【淘宝店铺:向阳百分百】二、多选题 7.有下列四个命题,其中正确的命题有( ) A.已知A,B,C,D是空间任意四点,则 B.若两个非零向量 与 满足 + = ,则 . C.分别表示空间向量的有向线段所在的直线是异面直线,则这两个向量可以是共面向量. D.对于空间的任意一点O和不共线的三点A,B,C,若 (x,y,z ),则P, A,B,C四点共面. 【答案】ABC 【分析】根据空间向量的加法的几何意义、平行向量的定义,结合共面的定义逐一判断即可. 【详解】A:因为 ,所以本选项命题正确; B:由 ,所以 ,所以本选项命题正确; C:根据平移,当空间向量的有向线段所在的直线是异面直线时,这两个向量可以是共面向量,所以本选 项命题正确; D:只有当 时,P,A,B,C四点才共面,所以本选项命题不正确, 故选:ABC 8.已知正方体 ,则下列结论中正确的有( ) A. 资料整理【淘宝店铺:向阳百分百】B. 平面 C.线段 被平面 分成两段,其长线段与短线段长度比为 D.正方体 被平面 分割为大小两个几何体的体积比为 【答案】ABD 【解析】以点 为坐标原点, 、 、 所在直线分别为 、 、 轴建立空间直角坐标系,设正方 体 的棱长为 ,利用空间中两点间的距离公式可判断A选项的正误;求出平面 的一 个法向量,可判断B选项的正误;求出点 、 到平面 的距离,可判断C选项的正误;求出三棱锥 的体积,可判断D选项的正误. 【详解】以点 为坐标原点, 、 、 所在直线分别为 、 、 轴建立空间直角坐标系, 如下图所示,设正方体 的棱长为 , 则 、 、 、 、 、 、 、 . 对于A选项, ,A选项正确; 资料整理【淘宝店铺:向阳百分百】对于B选项,设平面 的法向量为 , , , 由 ,可得 ,取 ,可得 , 所以, 平面 ,B选项正确; 对于C选项, ,点 到平面 的距离为 , ,点 到平面 的距离为 , 所以,线段 被平面 分成两段,其长线段与短线段长度比为 , C选项错误; 对于D选项, , 所以,正方体 被平面 分割为大小两个几何体的体积比为 ,D选项正 确. 故选:ABD. 【点睛】方法点睛:求点 到平面 的距离,方法如下: (1)等体积法:先计算出四面体 的体积,然后计算出 的面积,利用锥体的体积公式可计算 出点 到平面 的距离; (2)空间向量法:先计算出平面 的一个法向量 的坐标,进而可得出点 到平面 的距离为 . 三、填空题 9.在空间直角坐标系中,点 和点 间的距离是__________. 资料整理【淘宝店铺:向阳百分百】【答案】 【分析】利用空间两点间的距离公式即得. 【详解】∵点 和点 , ∴点 和点 间的距离是 . 故答案为: . 10.已知直线 的一个方向向量为 ,平面 的一个法向量为 ,且 ,则 ________. 【答案】6 【分析】依题意可得 ,即可得到 ,根据空间向量数量积的坐标表示得到方程,解之即可. 【详解】 ,且直线 的一个方向向量为 ,平面 的一个法向量为 , , ,即 ,解得 . 故答案为: 11.已知矩形ABCD中,AB=1,BC= ,将矩形ABCD沿对角线AC折起,使平面ABC与平面ACD垂 直,则B与D之间的距离为__________. 【答案】 【分析】过B,D分别向AC作垂线,垂足分别为M,N.则可求得AM= ,BM= ,CN= ,DN= , MN=1.再求出 = + + ,平方即得| |= . 【详解】过B,D分别向AC作垂线,垂足分别为M,N.则可求得AM= ,BM= ,CN= ,DN= , MN=1. 由于 = + + , 资料整理【淘宝店铺:向阳百分百】∴| |2=( + + )2=| |2+| |2+| |2+2( · + · + · )=( )2+12+( )2+2(0+0+ 0)= , ∴| |= . 故答案为 【点睛】(1)本题主要考查空间向量的线性运算和向量的模的计算,意在考查学生对这些知识的掌握水 平和分析推理能力.(2)空间向量 的模 . 12.如图,锐二面角 的棱上有 , 两点,直线 , 分别在这个二面角的两个半平面内,且 都垂直于 .已知 , , ,则锐二面角 的平面角的余弦值是 ___________. 【答案】 【分析】根据题意得 ,两边平方,利用向量的数量积运算,即可得到答案; 【详解】设锐二面角 的平面角为 , ,则 ,则 . 故答案为: 资料整理【淘宝店铺:向阳百分百】四、解答题 13.在空间四边形 中,连接 ,设M,G分别是 的中点,化简下列各向量表达式: (1) ; (2) . 【答案】(1) (2) 【分析】根据空间向量的线性运算即可得到结果. (1) , ∵G是 的中点, ∴ ; (2) ∵M是 的中点, ∴ , ∴ . 14.如图,正方形 的边长为2, 的中点分别为C, ,正方形 沿着 折起形成三 资料整理【淘宝店铺:向阳百分百】棱柱 ,三棱柱 中, . (1)证明:当 时,求证: 平面 ; (2)当 时,求二面角 的余弦值. 【答案】(1)详见解析;(2) 【分析】(1)要证明线面垂直,转化为证明线线垂直,关键证明 , ; (2)以点 为原点,建立空间直角坐标系,分别求平面 和平面 的法向量,利用法向量公式求 二面角 的余弦值. 【详解】(1)当 时,点 是 的中点, 因为 ,所以 ,又 , 所以 ,所以 , 因为 , ,所以 平面 , 平面 所以 ,且 , 所以 平面 ; 资料整理【淘宝店铺:向阳百分百】(2)因为 , , 两两互相垂直,所以以点 为原点,以 , , 作为 轴的正方向, 建立空间直角坐标系,如下图, 平面 ,所以向量 是平面 的法向量, , , , , , 设平面 的法向量 , 所以 ,即 ,令 , , , 所以平面 的一个法向量 , , 所以二面角 的余弦值是 15.如图,在四棱锥 中,底面 是矩形, 平面 , , , 是 中点. 资料整理【淘宝店铺:向阳百分百】(1)求直线 与平面 的夹角余弦值; (2)求平面 和平面 的夹角的余弦值. 【答案】(1) ;(2) . 【分析】(1)建立空间直角坐标系,利用向量法计算出直线 与平面 的夹角的正弦值,再转化为 余弦值. (2)利用向量法计算出平面 和平面 的夹角的余弦值. 【详解】(1)建立如图所示空间直角坐标系. , 设平面 的法向量为 , 则 ,故可设 , 设直线 与平面 的夹角为 , 则 , . (2)平面 的法向量为 , 资料整理【淘宝店铺:向阳百分百】设平面 和平面 的夹角为 , 则 . 16.如图,正四棱锥 的底面面积为4,一条侧棱长为 . (1)求PA和DC的所成角的余弦值; (2)求侧棱PA和侧面PBC所成角的正弦值. 【答案】(1) (2) 【分析】(1)因为 ,则PA和DC的所成的角为 或其补角,由余弦定理求解即可; 资料整理【淘宝店铺:向阳百分百】(2)连接 交于点 ,连接 ,则易知 两两垂直,故以 为原点, 分别为 轴建立空间直角坐标系,利用向量法求解即可 【详解】(1)因为正四棱锥 的底面面积为4,一条侧棱长为 , 所以 , 又 , 所以PA和DC的所成的角为 或其补角, 因为 , 所以PA和DC的所成角的余弦值为 ; (2)连接 交于点 ,连接 , 则易知 两两垂直, 故以 为原点, 分别为 轴建立空间直角坐标系, 则 , , 设平面 的一个法向量为 , 则 , 即 ,令 ,则 , 设PA和平面PBC所成的角为 , 则 , 资料整理【淘宝店铺:向阳百分百】所以PA和平面PBC所成角的正弦值为 资料整理【淘宝店铺:向阳百分百】