当前位置:首页>文档>第03讲勾股定理的应用(解析版)_北师大初中数学_8上-北师大版初中数学_旧版_05习题试卷_帮课堂2023-2024学年八年级数学上册同步学与练(北师大版)

第03讲勾股定理的应用(解析版)_北师大初中数学_8上-北师大版初中数学_旧版_05习题试卷_帮课堂2023-2024学年八年级数学上册同步学与练(北师大版)

  • 2026-04-14 12:39:55 2026-04-14 12:25:59

文档预览

第03讲勾股定理的应用(解析版)_北师大初中数学_8上-北师大版初中数学_旧版_05习题试卷_帮课堂2023-2024学年八年级数学上册同步学与练(北师大版)
第03讲勾股定理的应用(解析版)_北师大初中数学_8上-北师大版初中数学_旧版_05习题试卷_帮课堂2023-2024学年八年级数学上册同步学与练(北师大版)
第03讲勾股定理的应用(解析版)_北师大初中数学_8上-北师大版初中数学_旧版_05习题试卷_帮课堂2023-2024学年八年级数学上册同步学与练(北师大版)
第03讲勾股定理的应用(解析版)_北师大初中数学_8上-北师大版初中数学_旧版_05习题试卷_帮课堂2023-2024学年八年级数学上册同步学与练(北师大版)
第03讲勾股定理的应用(解析版)_北师大初中数学_8上-北师大版初中数学_旧版_05习题试卷_帮课堂2023-2024学年八年级数学上册同步学与练(北师大版)
第03讲勾股定理的应用(解析版)_北师大初中数学_8上-北师大版初中数学_旧版_05习题试卷_帮课堂2023-2024学年八年级数学上册同步学与练(北师大版)
第03讲勾股定理的应用(解析版)_北师大初中数学_8上-北师大版初中数学_旧版_05习题试卷_帮课堂2023-2024学年八年级数学上册同步学与练(北师大版)
第03讲勾股定理的应用(解析版)_北师大初中数学_8上-北师大版初中数学_旧版_05习题试卷_帮课堂2023-2024学年八年级数学上册同步学与练(北师大版)
第03讲勾股定理的应用(解析版)_北师大初中数学_8上-北师大版初中数学_旧版_05习题试卷_帮课堂2023-2024学年八年级数学上册同步学与练(北师大版)
第03讲勾股定理的应用(解析版)_北师大初中数学_8上-北师大版初中数学_旧版_05习题试卷_帮课堂2023-2024学年八年级数学上册同步学与练(北师大版)
第03讲勾股定理的应用(解析版)_北师大初中数学_8上-北师大版初中数学_旧版_05习题试卷_帮课堂2023-2024学年八年级数学上册同步学与练(北师大版)
第03讲勾股定理的应用(解析版)_北师大初中数学_8上-北师大版初中数学_旧版_05习题试卷_帮课堂2023-2024学年八年级数学上册同步学与练(北师大版)
第03讲勾股定理的应用(解析版)_北师大初中数学_8上-北师大版初中数学_旧版_05习题试卷_帮课堂2023-2024学年八年级数学上册同步学与练(北师大版)
第03讲勾股定理的应用(解析版)_北师大初中数学_8上-北师大版初中数学_旧版_05习题试卷_帮课堂2023-2024学年八年级数学上册同步学与练(北师大版)
第03讲勾股定理的应用(解析版)_北师大初中数学_8上-北师大版初中数学_旧版_05习题试卷_帮课堂2023-2024学年八年级数学上册同步学与练(北师大版)
第03讲勾股定理的应用(解析版)_北师大初中数学_8上-北师大版初中数学_旧版_05习题试卷_帮课堂2023-2024学年八年级数学上册同步学与练(北师大版)
第03讲勾股定理的应用(解析版)_北师大初中数学_8上-北师大版初中数学_旧版_05习题试卷_帮课堂2023-2024学年八年级数学上册同步学与练(北师大版)
第03讲勾股定理的应用(解析版)_北师大初中数学_8上-北师大版初中数学_旧版_05习题试卷_帮课堂2023-2024学年八年级数学上册同步学与练(北师大版)
第03讲勾股定理的应用(解析版)_北师大初中数学_8上-北师大版初中数学_旧版_05习题试卷_帮课堂2023-2024学年八年级数学上册同步学与练(北师大版)
第03讲勾股定理的应用(解析版)_北师大初中数学_8上-北师大版初中数学_旧版_05习题试卷_帮课堂2023-2024学年八年级数学上册同步学与练(北师大版)
第03讲勾股定理的应用(解析版)_北师大初中数学_8上-北师大版初中数学_旧版_05习题试卷_帮课堂2023-2024学年八年级数学上册同步学与练(北师大版)
第03讲勾股定理的应用(解析版)_北师大初中数学_8上-北师大版初中数学_旧版_05习题试卷_帮课堂2023-2024学年八年级数学上册同步学与练(北师大版)
第03讲勾股定理的应用(解析版)_北师大初中数学_8上-北师大版初中数学_旧版_05习题试卷_帮课堂2023-2024学年八年级数学上册同步学与练(北师大版)
第03讲勾股定理的应用(解析版)_北师大初中数学_8上-北师大版初中数学_旧版_05习题试卷_帮课堂2023-2024学年八年级数学上册同步学与练(北师大版)
第03讲勾股定理的应用(解析版)_北师大初中数学_8上-北师大版初中数学_旧版_05习题试卷_帮课堂2023-2024学年八年级数学上册同步学与练(北师大版)
第03讲勾股定理的应用(解析版)_北师大初中数学_8上-北师大版初中数学_旧版_05习题试卷_帮课堂2023-2024学年八年级数学上册同步学与练(北师大版)
第03讲勾股定理的应用(解析版)_北师大初中数学_8上-北师大版初中数学_旧版_05习题试卷_帮课堂2023-2024学年八年级数学上册同步学与练(北师大版)
第03讲勾股定理的应用(解析版)_北师大初中数学_8上-北师大版初中数学_旧版_05习题试卷_帮课堂2023-2024学年八年级数学上册同步学与练(北师大版)
第03讲勾股定理的应用(解析版)_北师大初中数学_8上-北师大版初中数学_旧版_05习题试卷_帮课堂2023-2024学年八年级数学上册同步学与练(北师大版)
第03讲勾股定理的应用(解析版)_北师大初中数学_8上-北师大版初中数学_旧版_05习题试卷_帮课堂2023-2024学年八年级数学上册同步学与练(北师大版)
第03讲勾股定理的应用(解析版)_北师大初中数学_8上-北师大版初中数学_旧版_05习题试卷_帮课堂2023-2024学年八年级数学上册同步学与练(北师大版)
第03讲勾股定理的应用(解析版)_北师大初中数学_8上-北师大版初中数学_旧版_05习题试卷_帮课堂2023-2024学年八年级数学上册同步学与练(北师大版)
第03讲勾股定理的应用(解析版)_北师大初中数学_8上-北师大版初中数学_旧版_05习题试卷_帮课堂2023-2024学年八年级数学上册同步学与练(北师大版)
第03讲勾股定理的应用(解析版)_北师大初中数学_8上-北师大版初中数学_旧版_05习题试卷_帮课堂2023-2024学年八年级数学上册同步学与练(北师大版)
第03讲勾股定理的应用(解析版)_北师大初中数学_8上-北师大版初中数学_旧版_05习题试卷_帮课堂2023-2024学年八年级数学上册同步学与练(北师大版)
第03讲勾股定理的应用(解析版)_北师大初中数学_8上-北师大版初中数学_旧版_05习题试卷_帮课堂2023-2024学年八年级数学上册同步学与练(北师大版)
第03讲勾股定理的应用(解析版)_北师大初中数学_8上-北师大版初中数学_旧版_05习题试卷_帮课堂2023-2024学年八年级数学上册同步学与练(北师大版)
第03讲勾股定理的应用(解析版)_北师大初中数学_8上-北师大版初中数学_旧版_05习题试卷_帮课堂2023-2024学年八年级数学上册同步学与练(北师大版)
第03讲勾股定理的应用(解析版)_北师大初中数学_8上-北师大版初中数学_旧版_05习题试卷_帮课堂2023-2024学年八年级数学上册同步学与练(北师大版)
第03讲勾股定理的应用(解析版)_北师大初中数学_8上-北师大版初中数学_旧版_05习题试卷_帮课堂2023-2024学年八年级数学上册同步学与练(北师大版)
第03讲勾股定理的应用(解析版)_北师大初中数学_8上-北师大版初中数学_旧版_05习题试卷_帮课堂2023-2024学年八年级数学上册同步学与练(北师大版)
第03讲勾股定理的应用(解析版)_北师大初中数学_8上-北师大版初中数学_旧版_05习题试卷_帮课堂2023-2024学年八年级数学上册同步学与练(北师大版)
第03讲勾股定理的应用(解析版)_北师大初中数学_8上-北师大版初中数学_旧版_05习题试卷_帮课堂2023-2024学年八年级数学上册同步学与练(北师大版)
第03讲勾股定理的应用(解析版)_北师大初中数学_8上-北师大版初中数学_旧版_05习题试卷_帮课堂2023-2024学年八年级数学上册同步学与练(北师大版)
第03讲勾股定理的应用(解析版)_北师大初中数学_8上-北师大版初中数学_旧版_05习题试卷_帮课堂2023-2024学年八年级数学上册同步学与练(北师大版)
第03讲勾股定理的应用(解析版)_北师大初中数学_8上-北师大版初中数学_旧版_05习题试卷_帮课堂2023-2024学年八年级数学上册同步学与练(北师大版)
第03讲勾股定理的应用(解析版)_北师大初中数学_8上-北师大版初中数学_旧版_05习题试卷_帮课堂2023-2024学年八年级数学上册同步学与练(北师大版)
第03讲勾股定理的应用(解析版)_北师大初中数学_8上-北师大版初中数学_旧版_05习题试卷_帮课堂2023-2024学年八年级数学上册同步学与练(北师大版)
第03讲勾股定理的应用(解析版)_北师大初中数学_8上-北师大版初中数学_旧版_05习题试卷_帮课堂2023-2024学年八年级数学上册同步学与练(北师大版)
第03讲勾股定理的应用(解析版)_北师大初中数学_8上-北师大版初中数学_旧版_05习题试卷_帮课堂2023-2024学年八年级数学上册同步学与练(北师大版)
第03讲勾股定理的应用(解析版)_北师大初中数学_8上-北师大版初中数学_旧版_05习题试卷_帮课堂2023-2024学年八年级数学上册同步学与练(北师大版)
第03讲勾股定理的应用(解析版)_北师大初中数学_8上-北师大版初中数学_旧版_05习题试卷_帮课堂2023-2024学年八年级数学上册同步学与练(北师大版)
第03讲勾股定理的应用(解析版)_北师大初中数学_8上-北师大版初中数学_旧版_05习题试卷_帮课堂2023-2024学年八年级数学上册同步学与练(北师大版)
第03讲勾股定理的应用(解析版)_北师大初中数学_8上-北师大版初中数学_旧版_05习题试卷_帮课堂2023-2024学年八年级数学上册同步学与练(北师大版)
第03讲勾股定理的应用(解析版)_北师大初中数学_8上-北师大版初中数学_旧版_05习题试卷_帮课堂2023-2024学年八年级数学上册同步学与练(北师大版)
第03讲勾股定理的应用(解析版)_北师大初中数学_8上-北师大版初中数学_旧版_05习题试卷_帮课堂2023-2024学年八年级数学上册同步学与练(北师大版)
第03讲勾股定理的应用(解析版)_北师大初中数学_8上-北师大版初中数学_旧版_05习题试卷_帮课堂2023-2024学年八年级数学上册同步学与练(北师大版)
第03讲勾股定理的应用(解析版)_北师大初中数学_8上-北师大版初中数学_旧版_05习题试卷_帮课堂2023-2024学年八年级数学上册同步学与练(北师大版)
第03讲勾股定理的应用(解析版)_北师大初中数学_8上-北师大版初中数学_旧版_05习题试卷_帮课堂2023-2024学年八年级数学上册同步学与练(北师大版)
第03讲勾股定理的应用(解析版)_北师大初中数学_8上-北师大版初中数学_旧版_05习题试卷_帮课堂2023-2024学年八年级数学上册同步学与练(北师大版)
第03讲勾股定理的应用(解析版)_北师大初中数学_8上-北师大版初中数学_旧版_05习题试卷_帮课堂2023-2024学年八年级数学上册同步学与练(北师大版)
第03讲勾股定理的应用(解析版)_北师大初中数学_8上-北师大版初中数学_旧版_05习题试卷_帮课堂2023-2024学年八年级数学上册同步学与练(北师大版)
第03讲勾股定理的应用(解析版)_北师大初中数学_8上-北师大版初中数学_旧版_05习题试卷_帮课堂2023-2024学年八年级数学上册同步学与练(北师大版)
第03讲勾股定理的应用(解析版)_北师大初中数学_8上-北师大版初中数学_旧版_05习题试卷_帮课堂2023-2024学年八年级数学上册同步学与练(北师大版)

文档信息

文档格式
docx
文档大小
7.790 MB
文档页数
60 页
上传时间
2026-04-14 12:25:59

文档内容

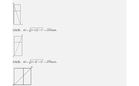
第 03 讲 勾股定理的应用 课程标准 学习目标 1.利用勾股定理及逆定理解决生活中的实际问题; 2.通过观察图形,探索图形间的关系,发展学生的空间观 ①利用勾股定理解决实际问题; 念. ②从实物中抽象出几何图形。 3.能够从实际问题中抽象出直角三角形,并能运用勾股定理 进行有关的计算和证明。 知识点01 勾股定理的应用 勾股定理的逆定理能帮助我们通过三角形三边之间的数量关系判断一个三角形是否是直角三角形,在 具体推算过程中,应用两短边的平方和与最长边的平方进行比较,切不可不加思考的用两边的平方和与第三边的平方比较而得到错误的结论. 【即学即练1】 1.(23-24八年级下·重庆开州·期中)如图,今年的冰雪灾害中,一棵大树在离地面3米处折断,树的顶端 落在离树杆底部4米处,那么这棵树折断之前的高度是( )米 A. B.5 C.8 D.7 【答案】C 【分析】此题主要考查了勾股定理的应用.运用勾股定理直接解答即可求出斜边,据此求解即可. 【详解】解: 米, 米, , 折断的部分长为 (米), 折断前高度为 (米). 故选:C. 2.(23-24八年级下·内蒙古呼和浩特·期中)如图(1),在某居民小区内有一块近似长方形的草坪,有极少 数人为了避开拐角走“捷径”,在草坪内走出了一条“路”,仅仅少走了几步路,却踩伤了花草,如图 (2),经过测量 , ,计算仅仅少走了 步.(假设 米为 步) 【答案】 【分析】本题考查勾股定理的应用,根据勾股定理求出路长,即三角形的斜边长,再求两直角边的和与斜 边的差即可求解.正确应用勾股定理是解题的关键. 【详解】解:根据题意知: , , , ∴ , ∴少走的距离是: , ∵ 米为 步,∴ 米为 步, ∴仅仅少走了 步. 故答案为: . 知识点02 平面展开图-最短路径问题 几何体中最短路径基本模型如下: 基本思路:将立体图形展开成平面图形,利用两点之间线段最短确定最短路线,构造直角三角形,利用 勾股定理求解 【即学即练1】 1.(23-24八年级下·安徽芜湖·阶段练习)(1)如图1,长方体的长为 ,宽为 ,高为 .求该 长方体中能放入木棒的最大长度; (2)如图2,长方体的长为 ,宽为 ,高为 .现有一只蚂蚁从点 处沿长方体的表面爬到点 G处,求它爬行的最短路程; (3)如图3,若将题中的长方体换成透明圆柱形容器(容器厚度忽略不计)的高为 ,底面周长为 ,在容器内壁离底部 的点 处有一饭粒,此时一只蚂蚁正好在容器外壁且离容器上沿 与饭粒 相对的点A处.求蚂蚁吃到饭粒需要爬行的最短路程是多少? 【答案】(1) (2) (3) 【分析】本题考查了平面展开—最短路径问题,将图形展开,利用轴对称的性质和勾股定理进行计算是解 题的关键. (1)利用勾股定理直接求出木棒的最大长度即可. (2)将长方体展开,利用勾股定理解答即可; (3)将容器侧面展开,建立 关于 的对称点 ,根据两点之间线段最短可知 的长度即为所求. 【详解】解:(1)由题意得:如图,该长方体中能放入木棒的最大长度是:; (2)①如图, , ②如图, , ③如图, , , ∴最短路程为 ; (3)∵高为 ,底面周长为 ,在容器内壁离容器底部 的点 处有一饭粒,此时蚂蚁正好在容 器外壁,离容器上沿 与饭粒相对的点 处, 将容器沿侧面展开,作 关于 的对称点 , , 连接 ,则 即为最短距离,∴ 题型一 应用勾股定理解决梯子滑落高度 【典例1】(23-24八年级下·甘肃武威·期中)如图,一架2.5米长的梯子 斜靠在竖直的墙 上,这时 梯子底部B到墙底端的距离为0.7米,考虑爬梯子的稳定性,现要将梯子顶部A沿墙下移0.4米到 处,问 梯子底部B将外移多少米? 【答案】梯子底部 外移0.8米. 【分析】本题考查正确运用勾股定理,在 中,根据已知条件运用勾股定理可将 的长求出,又 知 的长可得 的长,在 中再次运用勾股定理可将 求出, 的长减去 的长即为底 部 外移的距离. 【详解】解:在 中, , , 米, 又 , , 在 中, 米, 则 米. 故:梯子底部 外移0.8米. 【变式1】(23-24八年级下·广西柳州·期中)如图1是篮球架侧面示意图,小明为了测量篮板 的长度, 设计了如下方案:如图2, 垂直地面于点 ,线段 , 表示同一根竹竿,第一次将竹竿的一个端点与点 重合,另 一端点落在地面的点 处,第二次将竹竿的一个端点与点 重合,另一端点落在地面的点 处.测量得竹 竿的长为5米, 的长为3米, 的长为4米.根据以上测量结果,请你帮助小明求出篮板 的长度. 【答案】篮板 的长度为1米. 【分析】本题主要考查了勾股定理的实际应用,利用勾股定理分别求出 的长即可得到答案. 【详解】解:由题意得, 米, , 在 中,由勾股定理得 米, 在 中,由勾股定理得 米, ∴ 米, ∴篮板 的长度为1米. 【变式2】(23-24八年级下·辽宁大连·期中)一架 长的梯子,斜靠在一面墙上,梯子底端离墙 . (1)如图 , , ,求这架梯子的顶端距地面有多高? (2)如图 ,如果梯子靠墙下移,底端向右移动 至点 处,求它的顶端A沿墙下移多少米? 【答案】(1)这架梯子的顶端距地面有 (2)梯子的顶端 沿墙下移 【分析】本题考查了勾股定理的应用,熟练掌握利用勾股定理计算是解题的关键. (1)根据勾股定理,计算 得出答案即可; (2)根据 、 ,结合勾股定理计算 ,最后根据 得出 答案即可. 【详解】(1)解:∵ 于点 ,∴ , 在 中,根据勾股定理,得 , ∵ , , ∴ , 答:这架梯子的顶端距地面有 ; (2)解:由题意,得 , ∴ , ∵ , ∴在 中,根据勾股定理,得 , ∴ , ∴ , 答:梯子的顶端 沿墙下移 . 【变式3】(23-24八年级下·黑龙江哈尔滨·期中)如图1,一个梯子 长为5米,顶端A靠在墙 上, 这时梯子下端B与墙角C之间的距离是4米. (1)求梯子的顶端与墙角C之间的距离. (2)如图2,将梯子的底端B向C方向挪动1米,若在墙 的上方点E处须悬挂一个广告牌,点E与C之 间的距离是4.2米,试判断:此时的梯子的摆放位置能否够到点E处? 【答案】(1)3米 (2)不能 【分析】本题考查了勾股定理的应用,解题的关键是熟练掌握勾股定理求边长; (1)根据勾股定理求边长即可; (2)先求出底端B向C方向挪动1米后底端到墙角C的距离,再由勾股定理求解梯子的顶端到达的高度, 再与E的高度进行比较即可; 【详解】(1)解:由题意知 米, , 在 中, 米, 梯子的顶端与墙角C之间的距离是3米; (2)不能,理由如下:设B向C方向挪动1米到 ,此时A向上挪动到 ,则 米, 米, 米, 米, 米, 在 中, 米, , , 梯子的摆放位置不能够到点E处; 题型二 应用勾股定理解决旗杆高度 【典例1】(23-24八年级下·河南漯河·期中)如图①, 为直立在水平操场上的旗杆,旗绳自然下垂, 发现旗绳的长度比旗杆的高度多 ,现在要测量旗杆的高度(不许将旗杆放倒). (1)第一小组的方法是将旗绳的底端从点B滑动到点C,并使旗绳 笔直,如图②,此时测量得出 , 请按此方法求出旗绳 的长度; (2)第二小组的方法是利用 高的标杆 ,将旗绳的底端与标杆顶端D重合,并移动标杆至旗绳 笔直, 且标杆 垂直于地面,如图③,请利用(1)中的结论求出标杆和旗杆的水平距离的长度). 【答案】(1) (2) 【分析】本题考查了勾股定理的应用,解题的关键将实际问题转化为几何问题. (1)根据题意可知 构成直角三角形,设 ,根据勾股定理即可求得 的长度; (2)过点D作 ,垂足为F,于是构成矩形 ,在直角三角形 中利用勾股定理即可求得 的长,即为标杆和旗杆的水平距离的长度.【详解】(1)设旗绳 的长度为 ,则旗杆 的长为 , 解得: ,即 . 答:旗绳 的长度为 . (2)由题意可知: 过点D作 ,垂足为F, 则 , 答:标杆与旗杆的水平距离为 . 【变式1】(23-24八年级下·湖北荆门·期中)为了测量学校旗杆 的高度,某数学兴趣小组发现系在旗 杆顶端A的绳子垂到了地面B并多出了一段 的长度为1米,把绳子拉直向左走5米后,绳子底端C正 好落在地面D处,请通过以上信息求出旗杆的高度. 【答案】12米 【分析】本题主要考查了勾股定理的实际应用,设旗杆 的高度为x米,则 (米),在 中由勾股定理得 ,解方程即可得到答案. 【详解】解:由题意知 米, 设旗杆 的高度为x米,则 (米),在 中,由勾股定理得 , ∴ , 解得 , ∴ 米. 答;旗杆 的高度为12米. 【变式2】(23-24八年级下·吉林·阶段练习)如图,数学兴趣小组要测量旗杆 的高度,同学们发现系 在旗杆顶端的绳子垂到地面多出一段的长度为1米,小迪同学将绳子 拉直,测出绳子末端C到旗杆底 部B的距离为5米. (1)求旗杆 的高度; (2)小迪在C处,用手拉住绳子的末端,伸直手臂(拉绳处E与脚底F的连线与地面垂直),后退至将绳子刚 好拉直为止,测得小迪手臂伸直后离地的高度 为2米,且小迪与旗杆的水平距离相等,即 .求小迪需要后退的距离 的长度(结果保留根号). 【答案】(1)旗杆 的高度为 米 (2)小迪需要后退的距离 的长度为 米 【分析】本题考查勾股定理的实际应用: (1)设旗杆的高度为 米,根据系在旗杆顶端的绳子垂到地面多出一段的长度为1米,将绳子 拉直, 测出绳子末端C到旗杆底部B的距离为5米,列出方程进行求解即可; (2)勾股定理求出 的长,再用 进行计算即可. 【详解】(1)解:设旗杆的高度为 米,则绳子的长为 米, 由勾股定理,得: , 解得: ; 即:旗杆 的高度为 米; (2)由(1)可知,绳子的长度为 米, 由题意,得: 米, 米, ∴由勾股定理,得: 米, ∴ 米,∴ (米); 答:小迪需要后退的距离 的长度为 米. 【变式3】(23-24八年级下·湖北武汉·期中)武汉光谷中央生态大走廊大草坪上,不仅有空轨旅游专线, 而且视野开阔,阻挡物少,成为不少市民放风筝的最佳场所.某校801班的小明和小亮学习了“勾股定 理”之后,为了测得风筝的垂直高度 ,他们进行了如下操作:①测得水平距离 的长为15米;②根 据手中剩余线的长度计算出风筝线 的长为25米;③牵线放风筝的小明的身高为1.6米. (1)求风筝的垂直高度 ; (2)如果小明站在原地想风筝沿 方向下降12米,则他应该往回收线多少米? (3)小亮想一边收线,一边后退,也使风筝沿 方向下降12米,且让收线的长度和后退的距离相等.试问 小亮的想法能否实现,如果能实现,请求出收线的长度;如果不能实现,请说明理由. 【答案】(1)21.6米 (2)8米 (3)4.2米 【分析】本题考查了勾股定理的应用,熟记勾股定理是解题的关键. (1)根据勾股定理求出 的长即可得出结果; (2)设他应该往回收线 米,根据勾股定理得出方程求解即可; (3)设收线的长度为 米,根据勾股定理得出方程求解即可. 【详解】(1)解:在 中,由勾股定理得, (米), (米); 风筝的垂直高度 为21.6米. (2)解:设他应该往回收线 米, 根据勾股定理得, , 解得 , 答:他应该往回收线8米. (3)解:设收线的长度为 米,如图,则 米, (米 , 米, 根据勾股定理得, , 解得 , 答:收线的长度为4.2米. 题型三 应用勾股定理解决小鸟飞行的距离 【典例1】(23-24八年级下·新疆喀什·期中)如图,一只小鸟旋停在空中 点, 点到地面的高度 米, 点到地面 点( , 两点处于同一水平面)的距离 米. (1)求出 的长度; (2)若小鸟竖直下降到达 点( 点在线段 上),此时小鸟到地面 点的距离与下降的距离相同,求小 鸟下降的距离. 【答案】(1) 米 (2)小鸟下降的距离为 米 【分析】本题主要考查了勾股定理的实际应用,熟练的掌握勾股定理是解题的关键. (1)在直角三角形中运用勾股定理即可解答; (2)在 中,根据勾股定理即可解答. 【详解】(1)由题意知 , ∵ 米, 米. 在 中 米,(2)设 , 到达D点(D点在线段 上),此时小鸟到地面C点的距离与下降的距离相同, 则 , , 在 中, , , 解得 , 小鸟下降的距离为 米. 【变式1】(23-24八年级下·浙江台州·期中)如图,有两棵树,分别记为 , .其中一棵树 高12 米,另一棵树 高6米,两棵树相距8米.若一只小鸟从树梢A飞到树梢C,求小鸟飞行的最短距离. 【答案】小鸟飞行的最短路程为10米 【分析】本题主要考查了勾股定理的应用,根据“两点之间线段最短”可知:小鸟沿着两棵树的顶端进行 直线飞行,所行的路程最短,运用勾股定理可将两点之间的距离求出.解题的关键是将现实问题建立数学 模型,运用数学知识进行求解. 【详解】解:如图,过 点作 于点 ,则四边形 是长方形,连接 . ∵ 米, 米, 米, ∴ 米, 米, 米, 在 中, (米), 故小鸟飞行的最短路程为10米. 【变式2】(2024八年级下·全国·专题练习)如图,一只小鸟旋停在空中A点,A点到地面的高度 米,A点到地面C点(B,C两点处于同一水平面)的距离 米.(1)求出 的长度; (2)若小鸟竖直下降到达D点(D点在线段 上),此时小鸟到地面C点的距离与下降的距离相同,求小 鸟下降的距离. 【答案】(1)15米; (2) 米 【分析】本题主要考查了勾股定理得实际应用,熟练地掌握勾股定理是解题的关键. (1)在直角三角形中运用勾股定理即可解答; (2)在 中,根据勾股定理即可解答. 【详解】(1)由题意知 , ∵ 米, 米. 在 中 米, (2)设 , 到达D点(D点在线段 上),此时小鸟到地面C点的距离与下降的距离相同, 则 , , 在 中, , , 解得 , 小鸟下降的距离为 米. 题型四 应用勾股定理解决大树折断前的高度 【典例1】(23-24八年级下·西藏日喀则·期中)如图,一次“台风”过后,一根旗杆被台风从离地面3米 处吹断,倒下的旗杆的顶端落在离旗杆底部4米处,那么这根旗杆被吹断裂前至少有多高?【答案】8米 【分析】本题考查了勾股定理的应用,据勾股定理,计算 ,后根据树高为 计算即可. 【详解】如图: 由题意得: , , , ∴ , ∴ (米) 答:根旗杆被吹断裂前高为8米. 【变式1】(23-24八年级下·安徽蚌埠·期中)《九章算术》是我国古代最重要的数学著作之一,在“勾 股”章中记载了一道“折竹抵地”问题:“今有竹高一丈,末折抵地,去根四尺,问折者高几何?”翻译 成数学问题是:在 中, ,求 的长. 【答案】 【分析】本题考查勾股定理的应用,利用勾股定理建立方程是解题的关键.在 中利用勾股定理建 立方程即可求出 . 【详解】解:∵ , ∴ , 在 中, , , 即 , 解得 . 【变式2】(22-23八年级上·陕西西安·期中)我国古代的数学名著《九章算术》中记载“今有竹高一丈,末折抵地,去本三尺.问:折者高几何?”译文:一根竹子,原高一丈,虫伤有病,一阵风将竹子折断, 其竹梢恰好着地,着地处离原竹子根部3尺远.问:原处还有多高的竹子?( 丈 尺) 【答案】 【分析】竹子折断后刚好构成一直角三角形,设竹子折断处离地面 尺,则斜边为 尺.利用勾股定 理解题即可. 【详解】解:设竹子折断处离地面 尺,则斜边为 尺, 根据勾股定理得: , 解得: , 故原处还有 尺高的竹子. 【点睛】本题考查了勾股定理的应用,解题的关键是利用题目信息构造直角三角形,从而运用勾股定理求 解. 【变式3】(23-24八年级上·河北保定·期中)如图,一根直立的旗杆高 ,因刮大风旗杆从点C处折断, 顶部B着地且离旗杆底部A的距离为 . (1)求旗杆在距地面多高处折断(即求 的长度). (2)工人在修复的过程中,发现在折断点C的下方 的点D处,有一条明显的裂痕,将旗杆C处修复后, 若下次大风将旗杆从点D处吹断,则距离旗杆底部 米处是否有被砸伤的风险? 【答案】(1) (2)有危险,见解析 【分析】本题考查了勾股定理的应用,(1)根据题意, ,结合 ,代入计算即可. (2)根据 , ,得到 ,求得 ,根据勾股定理求出 的长,比较后判断 即可. 【详解】(1)根据题意, , , ∵ , ∴ , 解得 , 故 的长度为3米. (2)根据(1)得 , , ∴ , ∴ , ∴ , ∵ , , 且 , ∴ , 故有危险. 题型五 应用勾股定理解决水杯中的筷子问题 【典例1】(23-24八年级下·陕西延安·期中)如图,圆柱形茶杯内部底面的直径为 ,若将长为 的筷子沿底面放入杯中,茶杯的高度为 ,则筷子露在茶杯口外的部分 的最短长度是多少? 【答案】筷子露在茶杯口外的部分 的最短长度是 【分析】本题考查的是勾股定理的应用,根据题意画出图形,根据筷子露在杯子口外的最短长度以及筷子 的长度,求出筷子插入茶杯的最大长度,根据勾股定理求出 的长度是解答此题的关键. 【详解】解:由题意,得 , , , 由勾股定理,得 , ∴ ,∴筷子露在茶杯口外的部分 的最短长度是 . 【变式1】(23-24八年级下·广东汕尾·阶段练习)如图,有一个水池,其底面是边长为16尺的正方形,一 根芦苇 生长在它的正中央,高出水面部分 的长为2尺,如果把该芦苇沿与水池边垂直的方向拉向岸 边,那么芦苇的顶部B恰好碰到岸边的 ,则这根芦苇 的长是多少尺? 【答案】这根芦苇 的长是17尺. 【分析】本题主要考查勾股定理的应用,熟悉数形结合的解题思想是解题关键. 如图所示,设芦苇长 尺,则水深 尺,根据题意得到 尺,根据勾股定理建 立方程,求出的方程的解即可得到芦苇的长. 【详解】解:如图所示, 设芦苇长 尺,则水深 尺, 因为 尺,所以 尺 在 中, , 解得: , ∴ 尺. ∴芦苇长17尺. 【变式2】(23-24八年级下·云南昭通·阶段练习)《九章算术》中有一道“引葭赴岸”问题:“今有池一 丈,葭生其中央,出水一尺,引葭赴岸,适与岸齐.问水深,葭长各几何?”题意是:有一个池塘,其底 面是边长为10尺的正方形,一棵芦苇生长在它的中央,高出水面部分为1尺.如果把该芦苇沿与水池边垂 直的方向拉向岸边,那么芦苇的顶部恰好碰到岸边.求水深和芦苇长各是多少尺? 【答案】水深 尺,芦苇长 尺 【分析】此题主要考查了勾股定理的应用.我们可以将其转化为数学几何图形,如图所示,根据题意,可 知 的长为 尺,则 尺,设出 尺,表示出水深 ,根据勾股定理建立方程,求出的方程的解即可得到芦苇的长和水深. 【详解】解:依题意画出图形,设芦苇长 尺,则水深 尺, 因为 尺,所以 尺, 在 中, , 解之得 , 即水深 尺,芦苇长 尺. 【变式3】(23-24八年级上·江苏盐城·期中)如图,一个直径为 (即 )的圆柱形杯子,在 杯子底面的正中间点E处竖直放一根筷子,筷子露出杯子外 (即 ),当筷子 倒向杯壁时 (筷子底端不动),筷子顶端正好触到杯壁D,求筷子 的长度. 【答案】 【分析】设杯子的高度是 ,则筷子的高度为 ,根据勾股定理列出方程,解方程即可得到答案, 根据勾股定理列出方程是解题的关键. 【详解】解:设杯子的高度是 ,则筷子的高度为 , ∵杯子的直径为 ,∴ , 在 中,由勾股定理得: , 解得 , ∴筷子 . 答:筷子 的长度为 . 题型六 应用勾股定理解决航海问题 【典例1】(23-24八年级下·安徽安庆·阶段练习)一艘轮船从 港向南偏西 方向航行 到达 岛, 再从 岛沿 方向航行 到达 岛, 港到航线 的最短距离是 . (1)若轮船速度为 小时,求轮船从 岛沿 返回 港所需的时间. (2) 岛在 港的什么方向? 【答案】(1)从 岛返回 港所需的时间为3小时 (2) 岛在 港的北偏西 【分析】本题考查了勾股定理的应用,方向角问题,是基础知识比较简单. (1) 中,利用勾股定理求得 的长度,则 ;然后在 中,利用勾股定理来 求 的长度,则时间间路程 速度; (2)由勾股定理的逆定理推知 .由方向角的定义作答. 【详解】(1)由题意 , 中, ,得 . . . . (小时). 答:从 岛返回 港所需的时间为3小时.(2) , . . . 岛在 港的北偏西 . 【变式1】(23-24七年级上·辽宁朝阳·期中)如图,一艘轮船先从A地出发行驶到B地,又从B地行驶到 C地,B地在A地南偏西的方向,距离A地80海里,C地在B地北偏西的方向,距离B地100海里. (1)表示出B地相对于C地的位置; (2)求A,C两地之间的距离. 【答案】(1)B地在C地南偏东 的方向,距离C地100海里 (2) 海里 【分析】本题考查了方向角,勾股定理等知识,熟练掌握勾股定理是解题的关键. (1)结合图形观察即可求解; (2)判断 ,然后利用勾股定理求解即可. 【详解】(1)解:如图, ∵C地在B地北偏西 的方向,距离B地100海里 ∴B地在C地南偏东 的方向,距离C地100海里; (2)解:根据题意,得 , ∴ 海里, 即A,C两地之间的距离 海里. 【变式2】(23-24八年级上·江苏泰州·期中)一辆轿车从 地以 的速度向正东方向行驶,同时一 辆货车以 速度从 地向正北方向行驶,2小时后两车同时到达 走向公路上的 两地.(1)求 两地的距离; (2)若要从 地修建一条最短新路 到达公路 ,求 的距离. 【答案】(1) ; (2) . 【分析】本题考查了方位角、勾股定理的应用等知识,解题的关键是: (1)直接利用勾股定理求解即可; (2)根据等面积法求解即可. 【详解】(1)解:根据题意,得 , , , ∴ , 即 两地的距离为 ; (2)解:根据等面积法知: , 即 , ∴ , 即 的距离为 【变式3】如图,甲,乙两条轮船同时从港口A出发,甲轮船以每小时30海里的速度向东北方向航行,乙 船以每小时15海里的速度沿着北偏东 方向航行,1小时后,甲船接到命令要与乙船会合,于是甲船在 B处改变航向,沿南偏东 方向航行,结果甲,乙两船在小岛C处相遇.假设乙船的速度和航向保持不 变,求:(结果保留根号) (1)港口A与小岛C之间的距离; (2)甲船从B处行至小岛C的速度. 【答案】(1) 海里(2) 海里/时 【分析】(1)自B作 ,垂足为M,根据题意知 ,可推知 , , 分别在 与 中依据已知的特殊角、已知边 ,可逐一求出 的长, 于是 的长度可求出. (2)先依据 的距离与乙船航行的速度可求得乙船航行的时间,然后求出甲船从B处行至小岛C的时间, 最后求得甲船此段航行的速度. 【详解】(1)如图,过点B作 ,垂足为M, 由题意得, , °, 设 指示南北方向,点N在线段 上,则 , ∴ . 由题意知, , ∴ 在 中, 海里, ∴ 海里, 海里, 在 中, , ∴ 海里, ∴ 海里, 答:港口A与小岛C之间的距离为 海里; (2)在 中, 海里, ∴ (海里), ∴乙船行驶的时间为 小时, ∴甲船从B处行至小岛C的时间为 (小时). ∴甲船从B处行至小岛C的速度为 (海里/时), 答:甲船从B处行至小岛C的速度为 海里/时.【点睛】本题主要考查了与方向角有关的计算题,涉及勾股定理的应用、含30°角的直角三角形等知识点, 解题的关键是准确理解“方向角”. 题型七 应用勾股定理解决河的宽度 【典例1】 (23-24八年级下·河北唐山·期中)如图,池塘边有两点 ,点 是与 方向成直角的 方向上一点,测得 长为 米, 长为 米.求 两点间的距离( 取 ). 【答案】 米. 【分析】本题考查了勾股定理的应用,利用勾股定理直接计算即可求解,掌握勾股定理的应用是解题的关 键. 【详解】解:由题意可得 , ∵ 米, 米, ∴ 米, 答: 两点间的距离为 米. 【变式1】(23-24八年级下·广东东莞·期中)如图,某人欲横渡一条河,由于水流的影响,实际上岸地点 A处偏离欲到达地点B处 ,结果他在水中实际游的路程比河的宽度多 .求该河的宽度 的长. 【答案】 米 【分析】本题主要考查了勾股定理的应用,解题的关键是熟练掌握勾股定理,在一个直角三角形中,两条 直角边分别为a、b,斜边为c,那么 .设 米,则 米,根据勾股定理得出 ,求出 即可得出答案. 【详解】解:根据题意可知:设 米,则 米, 在 中, , , 即 , 解得: , 即 米, 答.该河的宽度 为75米.【变式2】(22-23八年级下·陕西延安·期末)如图,湖的两岸有 两棵景观树,在与 垂直的 方向 上取一点 ,测得 米, 米.求两棵景观树之间的距离. 【答案】两棵景观树之间的距离是12米 【分析】根据勾股定理:在直角三角形中两直角边的平方和等于斜边的平方计算即可. 【详解】解:在Rt 中,由勾股定理,得: , (米). 答:两棵景观树之间的距离是12米. 【点睛】本题考查了勾股定理的实际应用,解题关键是熟练应用勾股定理. 【变式3】(22-23八年级下·湖南长沙·阶段练习)如图,某渡船从点B处沿着与河岸垂直的路线 横渡, 由于受水流的影响,实际沿着 航行,上岸地点C与欲到达地点A相距70米,结果发现 比河宽 多10米. (1)求该河的宽度 ;(两岸可近似看作平行) (2)设实际航行时,速度为每秒5米,从C回到A时,速度为每秒4米,求航行总时间. 【答案】(1) 米 (2)航行总时间为67.5秒 【分析】(1)根据题意可知 为直角三角形,根据勾股定理就可求出直角边 的距离.(2)根据时间 路程 速度,求出行驶的时间即可. 【详解】(1)解:设 米,则 米, 在 中,根据勾股定理得: , 解得: , 答:河宽240米. (2)解: (秒), (秒), (秒), 答:航行总时间为67.5秒. 【点睛】本题考查勾股定理的应用,熟练掌握勾股定理,列出方程是解题的关键. 题型八 应用勾股定理解决台阶上地毯长度 【典例1】(23-24八年级上·山东枣庄·阶段练习)某会展中心在会展期间准备将高 、长 、宽 的 楼道铺上地毯,已知地毯每平方米30元,请你帮助计算一下,铺完这个楼道至少需要多少元? 【答案】1020 【分析】地毯的长是楼梯的竖直部分与水平部分的和,即 与 的和,在直角 中,根据勾股定理 即可求得 的长,地毯的长与宽的积就是面积,再乘地毯每平方米的单价即可求解. 【详解】解:由勾股定理得 , 则地毯总长为 , 则地毯的总面积为 (平方米), 所以铺完这个楼道至少需要 (元). 故答案为:1020. 【点睛】本题考查了勾股定理的应用,正确理解地毯的长度的计算是解题的关键. 【变式1】(23-24八年级上·河南南阳·阶段练习)如图,在一个高 米,长 米的楼梯表面铺地毯,则该 地毯的长度至少是 米.【答案】 【分析】本题考查勾股定理的应用,解题的关键是知道求地毯长度即求 在直角三角形 中, 已知 , ,根据勾股定理即可求得 的值,根据题意求地毯长度即求得 即可. 【详解】解:将水平地毯下移,竖直地毯右移即可发现:地毯长度为直角三角形 的两直角边之和,即 , 根据勾股定理可得 米, 故地毯长度为 米, 故答案为: . 【变式2】(22-23八年级下·安徽宣城·期中)为庆祝“党的二十大”胜利召开,市活动中心组建合唱团进 行合唱表演,欲在如图所示的阶梯形站台上铺设红色地毯,已知这种地毯每平方米售价为30元,站台宽为 ,则购买这种地毯至少需要 元. 【答案】2100 【分析】利用勾股定理求出水平的直角边长,然后求出需要地毯的总长度,进而可得需要地毯的总面积, 然后可得答案. 【详解】解:由勾股定理得,水平的直角边 , 所以地毯水平部分的和是水平边的长,竖直部分的和是竖直边的长, 所以需要地毯的总长度为 , 所以需要地毯的总面积为 , 所以购买这种地毯至少需要 元, 故答案为:2100. 【点睛】本题考查了勾股定理,平移的应用,解题的关键是结合图形分析得出地毯水平部分的和是水平边的长,竖直部分的和是竖直边的长. 【变式3】(21-22八年级下·重庆九龙坡·期末)如图有一个四级台阶,它的每一级的长、宽分别为18分米、 4分米. (1)如果给台阶表面8个矩形区域铺上定制红毯,需要定制红毯的面积为432平方分米,那么每一级台阶的 高为多少分米? (2)A和C是这个台阶上两个相对的端点,台阶角落点A处有一只蚂蚁,想到台阶顶端点C处去吃美味的食 物,则蚂蚁沿着台阶面从点A爬行到点C的最短路程为多少分米? 【答案】(1)每一级台阶的高为2分米. (2)蚂蚁沿着台阶面从点A爬行到点C的最短路程为30分米. 【分析】(1)设每一级台阶的高为x分米,根据题意列方程即可得到结论; (2)先将图形平面展开,再用勾股定理根据两点之间线段最短进行解答. 【详解】(1)解:设每一级台阶的高为x分米, 根据题意得,18×(4+x)×4=432, 解得x=2, 答:每一级台阶的高为2分米; (2)四级台阶平面展开图为长方形,长为18分米,宽为(2+4)×4=24分米, 则蚂蚁沿台阶面从点A爬行到C点最短路程是此长方形的对角线长. 由勾股定理得:AC= (分米), 答:蚂蚁沿着台阶面从点A爬行到点C的最短路程为30分米. 【点睛】本题考查了平面展开−最短路径问题,用到台阶的平面展开图,只要根据题意判断出长方形的长 和宽即可解答. 题型九 应用勾股定理解决汽车是否超速问题 【典例1】(23-24八年级下·广东广州·期中)某段公路限速是 .“流动测速小组”的小王在距离此 公路 的A处观察,发现有一辆可疑汽车在公路上疾驶,他赶紧拿出红外测距仪,可疑汽车从 处行 驶 后到达 处,测得 ,若 .求出速度并判断可疑汽车是否超速?【答案】 ,超速了 【分析】本题考查了勾股定理,解题的关键是掌握直角三角形两直角边平方和等于斜边平方. 先根据勾股定理求出 ,再根据速度公式求出速度,即可解答. 【详解】解:∵ , , , ∴根据勾股定理可得: , ∴该汽车的速度为 , ∵ , ∴可疑汽车超速了. 【变式1】(23-24八年级下·广西玉林·期中)某路段限速标志规定:小汽车在此路段上的行驶速度不得超 过 ,如图,一辆小汽车在该笔直路段 上行驶,某一时刻刚好行驶到路对面的车速检测仪 的正前 方 的点 处, 后小汽车行驶到点 处,测得此时小汽车与车速检测仪 间的距离为 , . (1)求 的长. (2)这辆小汽车超速了吗?并说明理由. 【答案】(1) (2)这辆小汽车不超速,理由见解析 【分析】本题考查了勾股定理的应用,由勾股定理求出 的长是解题的关键.(1)由勾股定理求出 的长即可;(2)求出这辆小汽车的速度,即可解决问题. 【详解】(1)解:根据题意得: , , , , 答: 的长为 ; (2)解:这辆小汽车不超速,理由如下: 该小汽车的速度为 , 这辆小汽车不超速.【变式2】(23-24八年级上·广东佛山·期中)某段公路限速是100km/h.“流动测速小组”的小王在距离 此公路400m的A处观察,发现有一辆可疑汽车在公路上疾驶,他赶紧拿出红外测距仪,可疑汽车从C处 行驶10s后到达B处,测得 ,若 . (1)求BC的长度; (2)求出速度判断可疑汽车是否超速? 【答案】(1) m; (2)可疑汽车已经超速. 【分析】本题考查的是勾股定理的应用. (1)根据勾股定理求出敌方汽车行驶的距离; (2)根据速度的计算公式计算即可. 【详解】(1)解:由题意得, m, m, 由勾股定理得, m; (2)解: km/h, , 答:可疑汽车已经超速. 【变式3】(23-24八年级下·河北廊坊·阶段练习)“为了安全,请勿超速”.如图,一条公路建成通车, 在某路段 上限速60千米小时,为了检测车辆是否超速,在公路 旁设立了观测点C,从观测点C测 得一小车从点A到达点B行驶了5秒,已知 , 米, 米. (1)请求出观测点C到公路 的距离; (2)此车超速了吗?请说明理由.(参考数据: ) 【答案】(1)观测点C到公路 的距离为 米(2)此车没有超速,理由见解析 【分析】此题主要考查了勾股定理的应用;熟练掌握勾股定理是解决问题的关键. (1)过点C作 于H,先求出 的长,再用勾股定理求解即可; (2)先求出 的长,再求出 的长,进而求出汽车的速度,即可得出答案. 【详解】(1)过点C作 于H, 在 中, , . 米 米 米 即观测点C到公路 的距离为 米. (2) 米, 米 米 ∴车速为 米/秒 千米/小时 米秒, ∴此车没有超速. 题型十 应用勾股定理解决是否受台风影响问题 【典例1】(23-24八年级下·四川泸州·期中) 年7月五号台风“杜苏芮”登陆,使我国很多地区受到 严重影响.据报道,这是今年以来对我国影响最大的台风,风力影响半径 (即以台风中心为圆心, 为半径的圆形区域都会受台风影响).如图,线段 是台风中心从 市向西北方向移动到 市的 大致路线, 是某个大型农场,且 .若 , 之间相距 , , 之间相距 .(1)判断农场 是否会受到台风的影响,请说明理由. (2)若台风中心的移动速度为 ,则台风影响该农场持续时间有多长? 【答案】(1)会受到台风的影响,理由见解析; (2)台风影响该农场持续时间为 . 【分析】( )勾股定理求出 , 过点 作 ,垂足为 ,根据面积法求出 ,判断即可; ( )假设台风在线段 上移动时,会对农场 造成影响,得 , ,由勾股 定理,可得 的长度,再除以速度即可得到时间; 此题考查了勾股定理的应用,应用勾股定理解决实际问题,正确理解题意确定直角三角形利用勾股定理进 行计算是解题的关键. 【详解】(1)会受到台风的影响,理由: 如图,过点 作 ,垂足为 , 因为在 中, , , , 所以 , 因为 , 所以 , 所以 , 因为 ,所以农场 会受到台风的影响; (2)如图,假设台风在线段 上移动时,会对农场 造成影响,所以 , , 由勾股定理,可得 , 因为台风的速度是 , 所以受台风影响的时间为 , 答:台风影响该农场持续时间为 . 【变式1】(2024·湖南永州·模拟预测)如图某货船以 海里 的速度将一批重要的物资由 处运往正西 方向的 处,经 的航行到达,到达后必须立即卸货.此时,接到气象部门的通知,一台风中心、以 海里 的速度由 处向北偏西 方向移动,距台风中心 海里以内的圆形区域会受到影响.( )问: (1) 处是否会受到台风的影响?请说明理由. (2)如果 处受到台风影响,那么求出影响的时间. 【答案】(1)会受台风影响,理由见解析 (2) 小时 【分析】本题主要考查含30度直角三角形的性质及勾股定理解三角形,解题的关键是理解题意,灵活运用 相关知识. (1) 处是否会受到台风影响,其实就是 到 的垂直距离是否超过 海里,如果超过则不会影响, 反之受影响,过点 作 交 于点 ,求出 即可求解; (2))结合题意可得在点 右侧相同的距离内点 也受影响,即可求出时间;将实际问题转化为数学问 题,构造出与实际问题有关的直角三角形是解题的关键. 【详解】(1)解:如图1,过点 作 交 于点 ,在 中, , , 海里, 海里, , 会受台风影响; (2)如图2, 如图, 海里, 在 中, 海里, 同时在点 右侧相同的距离内点 也受影响, 小时, 影响的时间为 小时. 【变式2】(23-24八年级下·云南昭通·期中)6号台风“烟花”风力强,累计降雨量大,影响范围大,有 极强的破坏力.如图,台风“烟花”中心沿东西方向 由A向B移动,已知点C为一海港,且点C与直 线 上的两点A、B的距离分别为 , ,又 ,经测量,距离台风中心 及以内的地区会受到影响. (1)海港C受台风影响吗?为什么? (2)若台风中心的移动速度为20千米/时,则台风影响该海港持续的时间有多长? 【答案】(1)会受到影响,理由见解析 (2) 小时【分析】本题考查的是勾股定理在实际生活中的运用,解答此类题目的关键是构造出直角三角形,再利用 勾股定理解答. (1)利用勾股定理的逆定理得出 是直角三角形,进而得出 的度数;利用三角形面积得出 的长,进而得出海港 是否受台风影响; (2)利用勾股定理得出 以及 的长,进而得出台风影响该海港持续的时间. 【详解】(1)海港 受台风影响,理由: , , , , 是直角三角形, ; 过点 作 于 , 是直角三角形, , , , 以台风中心为圆心周围 以内为受影响区域, 海港 受台风影响; (2)如图, 当 , 时,正好影响 港口, , , 台风的速度为20千米 小时, (小时). 答:台风影响该海港持续的时间为10小时. 【变式3】(23-24八年级下·内蒙古鄂尔多斯·期中)如图,公路 和公路 在点P处交汇,且 ,在A处有一所中学, 米,此时有一辆消防车在公路 上沿 方向以每秒5米的 速度行驶,假设消防车行驶时周围100米以内有噪音影响.(1)学校是否会受到影响?请说明理由. (2)如果受到影响,则影响时间是多长? 【答案】(1)学校受到噪音影响.理由见解析 (2)学校受影响的时间为32秒. 【分析】本题主要考查了含 直角三角形的性质、等腰三角形的性质、勾股定理等知识点,正确作出辅 助线、构造直角三角形成为解题的关键. (1)如图:作 于B,根据含 直角三角形的性质可得 ,然后与 比较即可; (2)如图:以点A为圆心, 为半径作 交 于C、D,由等腰三角形的性质可得 ,再运 用勾股定理求得 ,即 ,最后求出影响时间即可. 【详解】(1)解:学校受到噪音影响.理由如下: 如图:作 于B, ∵ , ∴ , ∵ , ∴消防车在公路 上沿 方向行驶时,学校受到噪音影响. (2)解:如图:以点A为圆心, 为半径作 交 于C、D, ∵ , ∴ , 在 中, , ∴ , ∴ , ∵消防车的速度 , ∴消防车在线段 上行驶所需要的时间 (秒), ∴学校受影响的时间为32秒. 题型十一 应用勾股定理解决选扯距离相离问题 【典例1】(23-24八年级下·广东珠海·期中)如图,在笔直的铁路上A、B两点相距 ,C,D为两村庄, 于A, 于B.现要在 上建一个中转站E,使得C,D两村到E站的距离相等,求 的长. 【答案】 的长为 【分析】本题考查的是勾股定理,比较简单,需要熟练掌握勾股定理的基础知识. 先设 ,则 ,再根据勾股定理计算即可得出答案. 【详解】解:设 ,则 , 由勾股定理得: 在 中, , 在 中, , 由题意可知: , 所以 , 解得: 即 的长为 . 【变式1】(23-24八年级下·湖北荆州·阶段练习)如图,直线l为一条公路,A,D两处各有一个村庄, 于点B, 于点C, 千米, 千米, 千米.现需要在 上建立一个物资调 运站E,使得E到A,D两个村庄距离相等,请求出E到C的距离. 【答案】E到C的距离为 千米 【分析】本题考查了勾股定理的应用,设 千米,则 千米,由 根据勾股定理可 得关于 的方程,解方程即得结果. 【详解】如图,设 千米,则 千米, 在 中,根据勾股定理, , 在 中,根据勾股定理, , ∵ , ∴ ,即 , 解得: , 即E到C的距离为 千米.【变式2】(23-24八年级下·重庆开州·阶段练习)如图,开州大道上 两点相距 为两商场, 于 于 .已知 .现在要在公路 上建一个土特产产品收购站 , 使得 两商场到 站的距离相等, (1)求 站应建在离 点多少 处? (2)若某人从商场 以 的速度匀速步行到收购站 ,需要多少小时? 【答案】(1) 站应建在离 站 处 (2)需要2小时 【分析】本题考查了勾股定理的应用,利用勾股定理正确建立方程是解题关键. (1)先根据垂直的定义可得 ,再根据勾股定理可得 , , 从而可得 ,设 ,则 ,据此建立方程,解方程即可得; (2)由勾股定理求出 ,用路程除以速度即可得出时间. 【详解】(1)解:∵使得 两村到 站的距离相等, ∴ , ∵ , , ∴ , ∴ , , ∴ , 设 ,则 , ∵ , ∴ , 解得: , ∴ , 答: 站应建在离 站 处;(2)解: , (小时) 答:需要2小时. 【变式3】(23-24七年级上·山东淄博·期中)为推进乡村振兴,把家乡建设成为生态宜居、交通便利的美 丽家园,某地大力修建崭新的公路如图所示,现从A地分别向C、D、B三地修了三条笔直的公路 和 ,C地、D地、B地在同一笔直公路上,公路 和公路 互相垂直,又从D地修了一条笔直的公 路 与公路 在H处连接,且公路 和公路 互相垂直,已知 千米, 千米, 千米. (1)求公路 的长度; (2)若修公路 每千米的费用是200万元,请求出修建公路 的总费用. 【答案】(1) 千米 (2)600万元 【分析】本题考查了勾股定理的应用,熟练掌握勾股定理是解题的关键. (1)根据勾股定理得出 千米,再求出 千米即可得出答案; (2)根据面积相等得出 ,求出 即可得出答案. 【详解】(1)解:∵ , 千米, 千米, ∴ 千米, ∵ 千米, ∴ 千米; (2)解:∵ , ∴ , ∴ 千米 ∴修建公路 的费用为 (万元). 题型十二 应用勾股定理解决几何图形中最短路径问题 【典例1】(23-24八年级下·山东聊城·期中)综合与实践 【问题情境】数学综合与实践活动课上,老师提出如下问题:一个三级台阶,它每一级的长、宽、高分别为20、3、2, A和B是一个台阶两个相对的端点. 【探究实践】 老师让同学们探究:如图①,若A点处有一只蚂蚁要到B点去吃可口的食物,那么蚂蚁沿着台阶爬到B点 的最短路程是多少? (1)同学们经过思考得到如下解题方法:如图②,将三级台阶展开成平面图形,可得到长为20,宽为15 的长方形,连接 ,经过计算得到 长度为______,就是最短路程. 【变式探究】 (2)如图③,是一只圆柱形玻璃杯,该玻璃杯的底面周长是30 cm,高是8 cm,若蚂蚁从点A出发沿着 玻璃杯的侧面到点B,则蚂蚁爬行的最短距离为______. 【拓展应用】 (3)如图④,圆柱形玻璃杯的高9 cm,底面周长为16 cm,在杯内壁离杯底4 cm的点A处有一滴蜂蜜, 此时,一只蚂蚁正好在外壁上,离杯上沿1 cm,且与蜂蜜相对的点B处,则蚂蚁从外壁B处到内壁A处所 爬行的最短路程是多少?(杯壁厚度不计) 【答案】(1)25;(2)17 cm;(3)B处到内壁A处所爬行的最短路程是10 cm 【分析】本题考查勾股定理最短路径问题: (1)直接利用勾股定理进行求解即可; (2)将圆柱体展开,利用勾股定理求解即可; (3)将玻璃杯侧面展开,作 关于 的对称点 ,根据两点之间线段最短可知 的长度即为所求,利 用勾股定理求解即可得. 【详解】解:(1)由勾股定理,得: ; 故答案为:25; (2)将圆柱体展开,如图,由题意,得: , , 由勾股定理得: ; 故答案为:17 cm. (3)如图,将玻璃杯侧面展开,作 关于 的对称点 ,作 ,交 延长线于点 ,连接 ,由题意得: , , ∵底面周长为 , , , 由两点之间线段最短可知,蚂蚁从外壁 处到内壁 处所走的最短路程为 , 【变式1】(23-24八年级下·江西新余·期中)如图,透明的圆柱形容器(容器厚度忽略不计)的高为 ,底面周长为 ,在容器内壁离容器底部 的点B处有一饭粒,此时一只蚂蚁正好在容器外壁, 且离容器上沿3cm的点A处,求蚂蚁吃到饭粒器爬行的最短路径的长 【答案】 【分析】本题考查了轴对称的性质、平面展开-最短路径问题,勾股定理的应用等,正确利用侧面展开图、 熟练运用相关知识是解题的关键.将容器侧面展开,作点 关于 的对称点 ,根据两点之间线段最短 可知 的长度即为所求,然后利用勾股定理求解即可. 【详解】解:如图, 高为 ,底面周长为 ,在容器内壁离容器底部 的点 处有一饭粒,此时 蚂蚁正好在容器外壁,离容器上沿 与饭粒相对的点 处, 将容器侧面展开,作 关于 的对称点 ,连接 ,则 即为最短距离, , , 即蚂蚁吃到饭粒需爬行的最短路径的长是 . 【变式2】(23-24八年级下·辽宁铁岭·阶段练习)如图所示,一个实心长方体盒子,长 ,宽 , 高 ,一只蚂蚁从顶点A出发,沿长方体的表面爬到对角顶点 处,问怎样走路线最短?最短路线长为多少?(点拨:分三种情况讨论解答) 【答案】把长方体沿 展开,蚂蚁沿着 的路线爬行的路程最短,最短距离为5. 【分析】本题主要考查了勾股定理的实际应用,把长方体沿 展开,把长方体沿 展开,把长方体沿 展开,三种情况利用勾股定理求出对应的最短距离即可得到答案. 【详解】解:如图所示,把长方体沿 展开,则蚂蚁沿着 的路线爬行的路程最短, 由题意得, , ∴由勾股定理得 ; 如图所示,把长方体沿 展开,则蚂蚁沿着 的路线爬行的路程最短, 由题意得, , ∴由勾股定理得 ; 如图所示,把长方体沿 展开,则蚂蚁沿着 的路线爬行的路程最短, 由题意得, , ∴由勾股定理得 ; ∵ , ∴把长方体沿 展开,蚂蚁沿着 的路线爬行的路程最短,最短距离为5. 【变式3】(23-24八年级下·河北沧州·期中)【阅读材料】如图1,有一个圆柱,它的高为 ,底面圆的周长为 ,在圆柱下底面的点A处有一只蚂蚁,它想 吃到上底面与点A相对的点B处的食物,蚂蚁沿圆柱侧面爬行的最短路程是多少? 【方法探究】 对于立体图形中求最短路程问题,应把立体图形展开成平面图形,再确定A,B两点的位置,依据“两点 之间线段最短”,结合勾股定理,解决相应的问题.如图2,在圆柱的侧面展开图中,点A,B对应的位置 如图所示,利用勾股定理即可求出蚂蚁爬行的最短路程线段 的长. 【方法应用】 (1)如图3,圆柱形玻璃容器的高为 ,底面周长为 ,在外侧距下底 的点S处有一蜘蛛,与 蜘蛛相对的圆柱形容器的上口外侧距开口处 的点F处有一苍蝇,试求急于捕获苍蝇充饥的蜘蛛,所走 的最短路线的长度. (2)如图4,长方体的棱长 , ,假设昆虫甲从盒内顶点 开始以 的速度 在盒子的内部沿棱 向下爬行,同时昆虫乙从盒内顶点A以相同的速度在盒内壁的侧面上爬行,那么昆 虫乙至少需要多长时间才能捕捉到昆虫甲?【答案】(1)34cm;(2) 秒. 【分析】题目主要考查圆柱及棱柱的展开图,勾股定理解三角形,最短距离等问题,理解题意,熟练掌握 运用勾股定理是解题关键. (1)根据题意将圆柱展开,然后利用勾股定理求解即可; (2)设昆虫甲从顶点 沿棱 向顶点C爬行的同时,昆虫乙从顶点A按路径 爬行,爬行捕 捉到昆虫甲需x秒.在 中,利用勾股定理列出方程求解即可. 【详解】解:(1)如图1,这是圆柱形玻璃容器的侧面展开图,线段 就是蜘蛛走的最短路线. 由题意可得在 中, , , , ∴ , ∴蜘蛛所走的最短路线的长度为34cm. (2)设昆虫甲从顶点 沿棱 向顶点C爬行的同时,昆虫乙从顶点A按路径 爬行,爬行捕 捉到昆虫甲需x秒. 如图2,在 中, ∵长方体的棱长 , , ∴ , , , , ∴ , 解得 . 答:昆虫乙至少需要 秒才能捕捉到昆虫甲.一、单选题 1.(24-25九年级上·安徽·假期作业)如图,一棵树在离地面6米处断裂,树的顶部落在离底部8米处,树 折断之前的高度是( ) A.6米 B.8米 C.10米 D.16米 【答案】D 【分析】此题考查了勾股定理的应用,根据图形,可以知道两直角边的长度,从而构造直角三角形,根据 勾股定理就可求出斜边的长,即可得解. 【详解】解:由题意得: 米, 米, , ∴ 米, (米 . 树折断之前有16米. 故选:D. 2.(23-24八年级下·浙江台州·期中)如图,有两棵树,一棵高12米,另一棵高6米,两树相距8米,一 只鸟从一棵树的树梢 飞到另一棵树的树梢,问小鸟至少飞行( )米. A.8 B.9 C.10 D.11 【答案】C 【分析】本题考查了勾股定理的应用,过C点作 于E,连接 ,则四边形 是矩形,得 ,则 ,再由勾股定理求出 的长即可. 【详解】解:如图,过C点作 于E,连接 ,则 是矩形, 设大树高为 ,小树高为 , , 在 中,由勾股定理得: 即小鸟至少飞行 , 故选:C. 3.(23-24八年级下·河南安阳·阶段练习)一艘轮船以 海里/时的速度从港口 出发向东北方向航行,另 一艘轮船以 海里/时的速度同时从港口 出发向东南方向航行,离开港口 小时后,两船相距( ) A. 海里 B. 海里 C. 海里 D. 海里 【答案】A 【分析】本题考查了勾股定理的运用,熟练运用勾股定理是解题的关键;根据两艘轮船出发的方向,可以 得到 ,结合勾股定理求解即可. 【详解】根据题意,如图所示, 可知, , , , 在 中, , , 解得: , 故两船相距 海里 故选:A 4.(23-24八年级下·安徽马鞍山·期末)将一根长为 的筷子,置于底面直径为 ,高为 的圆 柱形水杯中,设筷子露在杯子外面的长度为 ,则 的取值的范围是( ) A. B. C. D.【答案】B 【分析】本题主要考查了勾股定理的应用,明确题意,准确构造直角三角形是解题的关键.如图,当筷子 的底端在 点时,筷子露在杯子外面的长度最短;当筷子的底端在 点时,筷子露在杯子外面的长度最长. 然后分别利用已知条件根据勾股定理即可求出 的取值范围. 【详解】解:如图1所示,当筷子的底端在 点时,筷子露在杯子外面的长度最长, , 如图2所示,当筷子的底端在 点时,筷子露在杯子外面的长度最短, 在 中, , , , 此时 , 的取值范围是 . 故选:B. 5.(23-24八年级下·河北廊坊·阶段练习)如图,在学校工地的一根空心钢管外表面距离左侧管口2cm的 点M处有一只小蜘蛛,它要爬行到钢管内表面距离右侧管口5cm的点N处觅食,已知钢管横截面的周长为 18cm,长为15cm,则小蜘蛛需要爬行的最短距离是( ) A.5cm B.4cm C. cm D.15cm 【答案】C 【分析】本题考查勾股定理,理解几何体侧面展开图等.根据题意先画出几何体的侧面展开图,利用勾股 定理即可得到本题答案.【详解】解:如下图,画出钢管的侧面展开图,作点 关于右侧关口的对称点 ,连接 , ∵钢管横截面的周长为18cm, ∴ , ∵由题意得: , ∴ , ∴小蜘蛛需要爬行的最短距离为 cm. 故选:C. 二、填空题 6.(23-24八年级下·湖北宜昌·期中)如图,学校教学楼前有一块长为4米,宽为3米的长方形草坪,有极 少数人为了避开拐角走“捷径”,在草坪内走出了一条“径路”,却踩伤了花草.算一算他们仅仅少走了 步(假设2步为1米). 【答案】4 【分析】本题考查了勾股定理,掌握勾股定理是解题的关键. 分别计算走拐角的路程和走“径路”的路程,相减即可求解. 【详解】走拐角的路程: (米), 走“径路”的路程: (米), 走“径路”比走拐角少走的路程: (米), 少走的步数: (步) 故答案为:4. 7.(23-24八年级下·河北沧州·期中)如图,淇淇由A地沿北偏东 方向骑行 至B地,然后再沿北 偏西 方向骑行 至C地,则A,C两地之间的距离为 .【答案】10 【分析】本题考查方位角,勾股定理,根据题意画出图形,证明 是直角三角形是解题的关键.根据 题意画出图形,易证 是直角三角形,利用勾股定理即可求解. 【详解】解:如图, 根据题意,得 , , , , , ∴ , ∴ , ∴ , 故答案为:10. 8.(23-24八年级下·福建厦门·期中)我国古代数学著作《九章算术》中的一个问题:今有池方一丈,葭 生其中央,出水一尺。引葭赴岸,适与岸齐。问水深、葭长各几何?这道题的意思是:有一个正方形的池 塘,池塘的边长为一丈,有一棵芦苇生长在池塘的正中央,并且芦苇高出水面部分有一尺,如果把芦苇拉 向岸边则恰好碰到岸沿,则芦苇的高度为 尺(丈和尺是长度单位,1丈 尺,1尺= 米).【答案】13 【分析】本题考查正确运用勾股定理.善于观察题目的信息是解题以及学好数学的关键.找到题中的直角 三角形,设水深为x尺,根据勾股定理解答. 【详解】解:1丈 尺 设水深为x尺,则芦苇长为 尺, 根据勾股定理得: , 解得: , 芦苇的长度 (尺), 故答案为:13. 9.(23-24八年级下·四川南充·期中)如图,圆柱形纸杯高为 ,底面周长为 ,在杯内壁底的点 处有一滴蜂蜜,此时一只蚂蚁正好在杯外壁,离杯上沿 与蜂蜜相对的点 处,则蚂蚁从外壁 处爬行 到内壁 处的最短距离为 (杯壁厚度不计). 【答案】 【分析】本题考查了平面展开-最短路径问题,将图形展开,利用轴对称的性质和勾股定理进行计算是解题 的关键.将杯子侧面展开,作A关于 的对称点 ,连接 ,则 即为最短距离,利用勾股定理进 行计算即可. 【详解】如图,将杯子侧面展开,作A关于 的对称点 ,连接 ,则 即为最短距离, ∴ , ∴ ∴蚂蚁从外壁 处爬行到内壁 处的最短距离为 故答案为: . 10.(23-24八年级下·山东潍坊·期中)将矩形纸片 折叠,如图所示,已知 , , ,则蚂蚁从点A处到达点C处 需要走的最短路程是 .【答案】26 【分析】本题考查平面展开—最短路径问题,两点之间线段最短,勾股定理,要注意培养空间想象能力, 解题的关键是熟练掌握两点之间线段最短.根据题意画出矩形纸片的平面展开图,根据两点之间线段最短 连接 即可. 【详解】如图, 根据题意可得:展开图中的 , . 在 中, 由勾股定理可得: , 即蚂蚁从点A处到达点C处需要走的最短路程是 . 故答案为:26. 三、解答题 11.(22-23八年级下·陕西咸阳·阶段练习)如图,公路上A、B两站相距25km,在公路 附近有C、D两 所学校, 于点A, 于点B.已知 ,现要在公路上建设一个青少年 活动中心E,要使得C、D两所学校到E的距离相等,则E应建在距点A多远处? 【答案】 【分析】本题考查了勾股定理的应用,利用勾股定理正确建立方程是解题关键. 先根据垂直的定义可得 ,再根据勾股定理可得 , ,从而 可得 ,设 ,则 ,据此建立方程,解方程即可得. 【详解】解:∵使得 两村到 站的距离相等, ∴ ,∵ , , ∴ , ∴ , , ∴ , 设 ,则 , ∵ , , ∴ , 解得: , ∴ , 答: 站应建在离 站 处. 12.(23-24八年级下·广西崇左·期中)如图,琪琪在离水面高度 的岸边C处,用绳子拉停在B处的小 船靠岸,开始时绳子 的长为 . (1)开始时,小船距岸A的距离为_______ ; (2)若琪琪收绳 后,船到达D处,求小船向岸A移动的距离 的长. 【答案】(1)12 (2) 【分析】此题主要考查了勾股定理的应用,关键是学握从题中抽象出勾股定理这一数学模型,画出准确的 示意图.领会数形结合的思想的应用. (1)在 中,利用勾股定理计算出 长; (2)根据题意可得 长,然后再次利用勾股定理计算出 长,再利用 可得 长. 【详解】(1)解:在 中, , , 故答案为:12; (2)∵琪琪收绳 后,船到达 处, , , . 13.(23-24八年级下·重庆南川·期中)如图,要在河边修一个水泵站,分别向A、B两村送水,已知A、B两村到江边的距离分别为 和 ,且A、B两村相距 . (1)水泵站应修建在何处,可使所用水管最短,请在图中设计出水泵站P的位置; (2)若铺设水管的费用为每千米4000元,为了使铺设水管费用最节省,请求出最节省铺设水管的费用为多 少元? 【答案】(1)见解析 (2)60000元 【分析】本题考查最短路线问题,作出辅助线,构造出最短路线为斜边的直角三角形是解题的关键. (1)作点 关于河边所在直线的对称点 ,连接 交直线于 ,则点 为水泵站的位置; (2)利用了轴对称的性质,勾股定理,两点之间线段最短的性质即可求解. 【详解】(1)解:作点 关于河边所在直线的对称点 ,连接 交直线于 ,则点 为水泵站的位置, 此时, 的长度之和最短,即所铺设水管最短; (2)过 点作直线的垂线,过 作直线的平行线,设这两线交于点 ,则 .过 作 于 , 依题意: , , , (负值已舍去), 由题意得: , , , , (负值已舍去), , , 答:最节约铺设水管的费用为60000元. 14.(23-24八年级上·云南文山·期末)如图, 经过 村和 村的笔直公路 旁有一块山地正在开发, 现 需要在 处进行爆破.已知 处与 村的距离为900米, 处与 村的距离为1200米,且 .(1)求 两村的距离; (2)为了安全起见,爆破点 周围半径750米范围内不得进入,在进行爆破时,公路 段是否有危险而需 要封锁? 请说明理由. 【答案】(1) 米 (2)没有危险不需要封锁,理由见解析 【分析】本题考查勾股定理的实际应用、等面积法求线段长,根据题意,数形结合,利用勾股定理及等面 积法求出线段长即可得到答案,熟练掌握勾股定理及等面积法是解决问题的关键. (1)根据题意,数形结合,利用勾股定理求解即可得到答案; (2)过点 作 ,如图所示,利用等面积法求出 ,根据题意比较即可得到答案. 【详解】(1)解: 处与 村的距离为900米, 处与 村的距离为1200米,且 , , 答: 两村的距离为 米; (2)解:没有危险不需要封锁, 理由如下: 过点 作 ,如图所示: 利用面积相等得到 ,即 ,解得 , 爆破点 周围半径750米范围内不得进入, , 在进行爆破时,公路 段没有危险不需要封锁. 15.(23-24八年级下·安徽合肥·期末)体会空气动力,展示飞天梦想−−纸飞机大 比赛中,小明同学的 纸飞机刚好飞越过学校操场的旗杆,同学们都好奇纸飞机究竟飞了多高,于是小明测得从旗杆顶端垂直挂 下来的升旗用的绳子比旗杆长2米(如图1),将绳子拉直时,测得拉绳子的手到地面的距离 为1米, 到旗杆的距离 为9米(如图2).(1)若旗杆的高度 米,那么绳子的长度可以表示为______米(用含x的代数式表示); (2)计算小明同学的纸飞机飞越的高度是多少? 【答案】(1) (2)小明同学的纸飞机飞越的高度是13米. 【分析】此题主要考查了勾股定理的应用,根据勾股定理列出方程是解题的关键. (1)由题意即可得出结论; (2)在 中,由勾股定理列出方程,解方程即可. 【详解】(1)解:设 米,则绳子长为 米, 故答案为: ; (2)在 中, 米, 米, 米, 由勾股定理得: , 解得: , 答:小明同学的纸飞机飞越的高度是13米. 16.(23-24八年级下·山东德州·期中)吊车在作业过程中会对周围产生较大的噪声.如图,吊车在工地点 处, 为附近的一条街道,已知点 与直线 上两点 、 的距离分别为 和 , , 若吊车周围 以内会受噪声影响. (1)求 的度数; (2)街道上的居民会受到噪声的影响吗?如果会受影响,求出受影响的居民的范围;如果不会受影响,请说 明理由. 【答案】(1) (2)会受到影响,会影响位于吊车垂直位置左右 街道上的居民,理由见解析 【分析】本题考查了勾股定理的应用,灵活运用勾股定理以及勾股定理的逆定理是解题的关键. (1)根据勾股定理的逆定理求解即可;(2)过点 作 于点 ,根据等面积法求出 ,结合题意可得街道上的居民会受到噪声 的影响,当 , 时,此范围内的居民会受影响.由勾股定理得 ,推出 ,即可求解. 【详解】(1)解: , , , , , 是直角三角形, ; (2)街道上的居民会受到噪声的影响, 理由如下:如图,过点 作 于点 , 由(1)得 , , , 解得: , 吊车周围 以内会受到噪声的影响, 街道上的居民会受到噪声的影响. 当 , 时,此范围内的居民会受影响. , , 即会影响位于吊车垂直位置左右 街道上的居民,即 范围内的居民会受影响.(说法合理即可) 17.(23-24九年级下·山东聊城·阶段练习)如图,长方体的长为 ,宽为 ,高为 ,点 与点 之间的距离为 ,一只蚂蚁要沿着长方体的表面从点 爬到点 去吃一滴蜜糖.(1)求点 到点 的距离; (2)蚂蚁从点 爬到点 的最短路程是多少? 【答案】(1)点 到点 的距离为 (2) 【分析】考查平面展开-最短路径问题,勾股定理,解题的关键是注意分类讨论,画出示意图. (1)过点B作长方体宽的垂线,垂足为H,连接 ,根据勾股定理求解即可; (2)分三种情况讨论:把左侧面展开到水平面上,连接 ,如图1 ;把右侧展开到正面上,连接 , 如图2 ;把向上的面展开到正面上,连接 ,如图3,然后利用勾股定理分别计算各情况下的 ,比较 即可. 【详解】(1)解:如图,过点B作长方体宽的垂线,垂足为H,连接 , 由长方体的性质得到: , , , 点 到点 的距离为 ; (2)解:如图1,把左侧面展开到水平面上,连接 ,由题意可得: , , 在 中,根据勾股定理得: , 如图2,把右侧展开到正面上,连接 , 由题意得: , 在 中,根据勾股定理得: 则需要爬行的最短距离是 ; 如图3,把向上的面展开到正面上,连接 , 由题意可得: , 在 中,根据勾股定理得: ;同理,把向上的面展开到后面时, ; ∵ , ∴则需要爬行的最短距离是 . 18.(23-24八年级下·广西防城港·期中)【综合实践】 【问题情境】消防云梯的作用是用于高层建筑火灾等救援任务,它能让消防员快速到达高层救援现场,如 图,已知一架云梯 长 斜靠在一面墙上,这时云梯底端距墙角的距离 , . 【独立思考】(1)求这架云梯顶部距离地面 的长度. 【深入探究】(2)消防员接到命令,按要求将云梯从顶部A下滑到 位置上(云梯长度不改变),则底 部B沿水平方向向前滑动到 位置上,若 ,求 的长度. 【问题解决】(3)在演练中,墙边距地面 的窗口有求数声,消防员需调整云梯去救援被困人员.经验 表明,云梯靠墙摆放时,如果云梯底端离墙的距离不小于云梯长度的 ,则云梯和消防员相对安全,在相 对安全的前提下,云梯的顶端能否到达 高的窗口去救援被因人员? 【答案】(1) 长为 ;(2) 的长度为 ;(3)在相对安全的前提下,云梯的项端能到达 高的窗口去救援被困人员 【分析】本题考查了勾股定理的应用. (1)根据勾股定理即可求出; (2)先求出 ,根据勾股定理求出 ,进一步即可求出 ; (2)当云梯的顶端到达24m高的窗口时,根据勾股定理得云梯的底端距离墙的距离为 ,根据 , 即可得到在相对安全的前提下,云梯的顶端能到达 高的窗口去救援被困人员. 【详解】解:(1)在 中, , 答:OA长为 ; (2) , , 在 中, ,答: 的长度为 ; (3)当云梯的顶端到达 高的窗口时,根据勾股定理得云梯的底端距离墙的距离为: , , , ∴在相对安全的前提下,云梯的项端能到达 高的窗口去救援被困人员.