当前位置:首页>文档>第四章 1 认识三角形 第3课时_北师大初中数学_7下-北师大版初中数学_7下-初中数学北师大版(2025春季新版)持续更新_3导学案(齐全)

第四章 1 认识三角形 第3课时_北师大初中数学_7下-北师大版初中数学_7下-初中数学北师大版(2025春季新版)持续更新_3导学案(齐全)

  • 2026-04-14 23:58:01 2026-04-14 23:58:01

文档预览

第四章 1 认识三角形 第3课时_北师大初中数学_7下-北师大版初中数学_7下-初中数学北师大版(2025春季新版)持续更新_3导学案(齐全)
第四章 1 认识三角形 第3课时_北师大初中数学_7下-北师大版初中数学_7下-初中数学北师大版(2025春季新版)持续更新_3导学案(齐全)
第四章 1 认识三角形 第3课时_北师大初中数学_7下-北师大版初中数学_7下-初中数学北师大版(2025春季新版)持续更新_3导学案(齐全)
第四章 1 认识三角形 第3课时_北师大初中数学_7下-北师大版初中数学_7下-初中数学北师大版(2025春季新版)持续更新_3导学案(齐全)
第四章 1 认识三角形 第3课时_北师大初中数学_7下-北师大版初中数学_7下-初中数学北师大版(2025春季新版)持续更新_3导学案(齐全)
第四章 1 认识三角形 第3课时_北师大初中数学_7下-北师大版初中数学_7下-初中数学北师大版(2025春季新版)持续更新_3导学案(齐全)
第四章 1 认识三角形 第3课时_北师大初中数学_7下-北师大版初中数学_7下-初中数学北师大版(2025春季新版)持续更新_3导学案(齐全)
第四章 1 认识三角形 第3课时_北师大初中数学_7下-北师大版初中数学_7下-初中数学北师大版(2025春季新版)持续更新_3导学案(齐全)
第四章 1 认识三角形 第3课时_北师大初中数学_7下-北师大版初中数学_7下-初中数学北师大版(2025春季新版)持续更新_3导学案(齐全)
第四章 1 认识三角形 第3课时_北师大初中数学_7下-北师大版初中数学_7下-初中数学北师大版(2025春季新版)持续更新_3导学案(齐全)
第四章 1 认识三角形 第3课时_北师大初中数学_7下-北师大版初中数学_7下-初中数学北师大版(2025春季新版)持续更新_3导学案(齐全)

文档信息

文档格式
docx
文档大小
0.140 MB
文档页数
7 页
上传时间
2026-04-14 23:58:01

文档内容

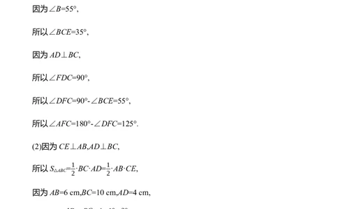
1 认识三角形 第 3 课时 课时学习目标 素养目标达成 了解三角形的角平分线、高、中线,并 空间观念、几何直观、推理能力 能在具体的三角形中作出它们 基础主干落实 博观约取 厚积薄发 新知要点 对点小练 如图,(1)若AM是△ABC的中线,BC=12 cm,则BM=CM= 6 cm; (2)若AD是△ABC的角平分线,则 1 ∠BAD=∠DAC= ∠ BAC ; 2 (3)若AH是△ABC的高,则△ABH是 直 角 三角形. 重点典例研析 精钻细研 学深悟透 【重点1】三角形三条重要线段的画法及辨识 【典例1】如图,在△ABC中,∠C=90°,D,E是AC上两点,且AE=DE,BD平分 ∠EBC,那么下列说法中不正确的是(C)A.BE是△ABD的中线 B.BD是△BCE的角平分线 C.∠1=∠2=∠3 D.BC是△ABE的高 【举一反三】 1.如图所示,已知AD⊥BC,GC⊥BC,CF⊥AB,D,C,F是垂足,下列说法中错误的是 (D) A. ABC中,CF是AB边上的高 △ B. AGC中,CF是AG边上的高 △ C. GBC中,GC是BC边上的高 △ D. BFC中,CG是BF边上的高 △ 2.如图,若∠1=∠2,∠3=∠4,则下列结论错误的是(D) A.AD是△ABC的角平分线 B.CE是△ACD的角平分线1 C.∠3= ∠ACB 2 D.CE是△ABC的角平分线 【技法点拨】 三条重要线段在三角形中的位置 1.中线、角平分线:都在三角形的内部,均交于一点. 2.高: (1)锐角三角形:三条高都在三角形内部(如图1),交点在内部. (2)直角三角形:一条在内部,两条为直角边(如图2),交点为直角顶点. (3)钝角三角形:一条在内部,两条在外部(如图3),三条高没有交点,但三条高所在 的直线交于三角形外一点. 【重点2】三角形三条重要线段的作用 【典例2】如图, ABC中,AB=6 cm,BC=10 cm,CE⊥AB,AD⊥BC,AD和CE交于 △ 点F. (1)若∠B=55°,求∠AFC的度数; (2)若AD=4 cm,求CE的长.【自主解答】(1)因为CE⊥AB, 所以∠CEB=90°, 因为∠B=55°, 所以∠BCE=35°, 因为AD⊥BC, 所以∠FDC=90°, 所以∠DFC=90°-∠BCE=55°, 所以∠AFC=180°-∠DFC=125°. (2)因为CE⊥AB,AD⊥BC, 1 1 所以S = ·BC·AD= ·AB·CE, ABC 2 2 △ 因为AB=6 cm,BC=10 cm,AD=4 cm, AD·BC 4×10 20 所以CE= = = (cm). AB 6 3 【举一反三】 1.如图, ABC中,AD是BC边上的中线,BE是△ABD中AD边上的中线,若△ABC △ 的面积是24,则△ABE的面积为(B)A.5 B.6 C.9 D.12 2.如图,在△ABC中,AE是中线,AD是角平分线,AF是高线,下列结论不一定成立的 是(D) 1 A.BC=2CE B.∠BAD= ∠BAC 2 C.∠AFB=90° D.AE=CE 素养当堂测评 (10分钟·16分) 1.(4分·几何直观)如图,在△ABC中,边AB上的高是(C) A.AF B.BE C.CE D.BD 2.(4分·推理能力)如图, ABC的角平分线AD、中线BE相交于点O.有下列两个 △ 结论:①AO是△ABE的角平分线;②BO是△ABD的中线.其中(A)A.只有①正确 B.只有②正确 C.①和②都正确 D.①和②都不正确 3.(8分·几何直观、推理能力)如图,在△ABC中BE是角平分线,点D在边AB上(不 与点A,B重合),CD与BE交于点O. (1)若CD是中线,BC=4,AC=3,则△BCD与△ACD的周长差为 ; (2)若∠ABC=64°,CD是高,求∠BOC的度数; (3)若∠A=80°,CD是角平分线,求∠BOC的度数. 【解析】(1)因为CD是中线, 所以BD=AD, 因为BC=4,AC=3, 所以C =BC+BD+CD=4+AD+CD,C =AD+CD+AC=3+AD+CD, BCD ACD △ △ 所以C -C =1; BCD ACD △ △ 答案:1(2)因为CD是△ABC的高,所以∠CDB=90°, 因为∠ABC=64°,BE是△ABC的角平分线, 1 1 所以∠ABE= ∠ABC= ×64°=32°, 2 2 所以∠BOC=∠CDB+∠ABE=90°+32°=122°; (3)因为∠A=80°, 所以∠ABC+∠ACB=180°-∠A=180°-80°=100°, 因为BE,CD是△ABC的角平分线, 1 1 所以∠OBC= ∠ABC,∠OCB= ∠ACB, 2 2 1 1 所以∠OBC+∠OCB= (∠ABC+∠ACB)= ×100°=50°, 2 2 所以∠BOC=180°-(∠OBC+∠OCB)=180°-50°=130°. 训练升级,请使用 “课时过程性评价 二十三”