当前位置:首页>文档>特训05利用导数证明不等式(三大题型)(解析版)_02高考数学_2025年新高考资料_一轮复习_2025年高考数学一轮复习《重难点题型与知识梳理•高分突破》(新高考专用)

特训05利用导数证明不等式(三大题型)(解析版)_02高考数学_2025年新高考资料_一轮复习_2025年高考数学一轮复习《重难点题型与知识梳理•高分突破》(新高考专用)

  • 2026-04-16 19:24:57 2026-04-16 05:06:14

文档预览

特训05利用导数证明不等式(三大题型)(解析版)_02高考数学_2025年新高考资料_一轮复习_2025年高考数学一轮复习《重难点题型与知识梳理•高分突破》(新高考专用)
特训05利用导数证明不等式(三大题型)(解析版)_02高考数学_2025年新高考资料_一轮复习_2025年高考数学一轮复习《重难点题型与知识梳理•高分突破》(新高考专用)
特训05利用导数证明不等式(三大题型)(解析版)_02高考数学_2025年新高考资料_一轮复习_2025年高考数学一轮复习《重难点题型与知识梳理•高分突破》(新高考专用)
特训05利用导数证明不等式(三大题型)(解析版)_02高考数学_2025年新高考资料_一轮复习_2025年高考数学一轮复习《重难点题型与知识梳理•高分突破》(新高考专用)
特训05利用导数证明不等式(三大题型)(解析版)_02高考数学_2025年新高考资料_一轮复习_2025年高考数学一轮复习《重难点题型与知识梳理•高分突破》(新高考专用)
特训05利用导数证明不等式(三大题型)(解析版)_02高考数学_2025年新高考资料_一轮复习_2025年高考数学一轮复习《重难点题型与知识梳理•高分突破》(新高考专用)
特训05利用导数证明不等式(三大题型)(解析版)_02高考数学_2025年新高考资料_一轮复习_2025年高考数学一轮复习《重难点题型与知识梳理•高分突破》(新高考专用)
特训05利用导数证明不等式(三大题型)(解析版)_02高考数学_2025年新高考资料_一轮复习_2025年高考数学一轮复习《重难点题型与知识梳理•高分突破》(新高考专用)
特训05利用导数证明不等式(三大题型)(解析版)_02高考数学_2025年新高考资料_一轮复习_2025年高考数学一轮复习《重难点题型与知识梳理•高分突破》(新高考专用)
特训05利用导数证明不等式(三大题型)(解析版)_02高考数学_2025年新高考资料_一轮复习_2025年高考数学一轮复习《重难点题型与知识梳理•高分突破》(新高考专用)
特训05利用导数证明不等式(三大题型)(解析版)_02高考数学_2025年新高考资料_一轮复习_2025年高考数学一轮复习《重难点题型与知识梳理•高分突破》(新高考专用)
特训05利用导数证明不等式(三大题型)(解析版)_02高考数学_2025年新高考资料_一轮复习_2025年高考数学一轮复习《重难点题型与知识梳理•高分突破》(新高考专用)
特训05利用导数证明不等式(三大题型)(解析版)_02高考数学_2025年新高考资料_一轮复习_2025年高考数学一轮复习《重难点题型与知识梳理•高分突破》(新高考专用)
特训05利用导数证明不等式(三大题型)(解析版)_02高考数学_2025年新高考资料_一轮复习_2025年高考数学一轮复习《重难点题型与知识梳理•高分突破》(新高考专用)
特训05利用导数证明不等式(三大题型)(解析版)_02高考数学_2025年新高考资料_一轮复习_2025年高考数学一轮复习《重难点题型与知识梳理•高分突破》(新高考专用)
特训05利用导数证明不等式(三大题型)(解析版)_02高考数学_2025年新高考资料_一轮复习_2025年高考数学一轮复习《重难点题型与知识梳理•高分突破》(新高考专用)
特训05利用导数证明不等式(三大题型)(解析版)_02高考数学_2025年新高考资料_一轮复习_2025年高考数学一轮复习《重难点题型与知识梳理•高分突破》(新高考专用)
特训05利用导数证明不等式(三大题型)(解析版)_02高考数学_2025年新高考资料_一轮复习_2025年高考数学一轮复习《重难点题型与知识梳理•高分突破》(新高考专用)
特训05利用导数证明不等式(三大题型)(解析版)_02高考数学_2025年新高考资料_一轮复习_2025年高考数学一轮复习《重难点题型与知识梳理•高分突破》(新高考专用)
特训05利用导数证明不等式(三大题型)(解析版)_02高考数学_2025年新高考资料_一轮复习_2025年高考数学一轮复习《重难点题型与知识梳理•高分突破》(新高考专用)
特训05利用导数证明不等式(三大题型)(解析版)_02高考数学_2025年新高考资料_一轮复习_2025年高考数学一轮复习《重难点题型与知识梳理•高分突破》(新高考专用)
特训05利用导数证明不等式(三大题型)(解析版)_02高考数学_2025年新高考资料_一轮复习_2025年高考数学一轮复习《重难点题型与知识梳理•高分突破》(新高考专用)
特训05利用导数证明不等式(三大题型)(解析版)_02高考数学_2025年新高考资料_一轮复习_2025年高考数学一轮复习《重难点题型与知识梳理•高分突破》(新高考专用)
特训05利用导数证明不等式(三大题型)(解析版)_02高考数学_2025年新高考资料_一轮复习_2025年高考数学一轮复习《重难点题型与知识梳理•高分突破》(新高考专用)
特训05利用导数证明不等式(三大题型)(解析版)_02高考数学_2025年新高考资料_一轮复习_2025年高考数学一轮复习《重难点题型与知识梳理•高分突破》(新高考专用)
特训05利用导数证明不等式(三大题型)(解析版)_02高考数学_2025年新高考资料_一轮复习_2025年高考数学一轮复习《重难点题型与知识梳理•高分突破》(新高考专用)
特训05利用导数证明不等式(三大题型)(解析版)_02高考数学_2025年新高考资料_一轮复习_2025年高考数学一轮复习《重难点题型与知识梳理•高分突破》(新高考专用)
特训05利用导数证明不等式(三大题型)(解析版)_02高考数学_2025年新高考资料_一轮复习_2025年高考数学一轮复习《重难点题型与知识梳理•高分突破》(新高考专用)
特训05利用导数证明不等式(三大题型)(解析版)_02高考数学_2025年新高考资料_一轮复习_2025年高考数学一轮复习《重难点题型与知识梳理•高分突破》(新高考专用)
特训05利用导数证明不等式(三大题型)(解析版)_02高考数学_2025年新高考资料_一轮复习_2025年高考数学一轮复习《重难点题型与知识梳理•高分突破》(新高考专用)
特训05利用导数证明不等式(三大题型)(解析版)_02高考数学_2025年新高考资料_一轮复习_2025年高考数学一轮复习《重难点题型与知识梳理•高分突破》(新高考专用)
特训05利用导数证明不等式(三大题型)(解析版)_02高考数学_2025年新高考资料_一轮复习_2025年高考数学一轮复习《重难点题型与知识梳理•高分突破》(新高考专用)
特训05利用导数证明不等式(三大题型)(解析版)_02高考数学_2025年新高考资料_一轮复习_2025年高考数学一轮复习《重难点题型与知识梳理•高分突破》(新高考专用)
特训05利用导数证明不等式(三大题型)(解析版)_02高考数学_2025年新高考资料_一轮复习_2025年高考数学一轮复习《重难点题型与知识梳理•高分突破》(新高考专用)
特训05利用导数证明不等式(三大题型)(解析版)_02高考数学_2025年新高考资料_一轮复习_2025年高考数学一轮复习《重难点题型与知识梳理•高分突破》(新高考专用)
特训05利用导数证明不等式(三大题型)(解析版)_02高考数学_2025年新高考资料_一轮复习_2025年高考数学一轮复习《重难点题型与知识梳理•高分突破》(新高考专用)
特训05利用导数证明不等式(三大题型)(解析版)_02高考数学_2025年新高考资料_一轮复习_2025年高考数学一轮复习《重难点题型与知识梳理•高分突破》(新高考专用)
特训05利用导数证明不等式(三大题型)(解析版)_02高考数学_2025年新高考资料_一轮复习_2025年高考数学一轮复习《重难点题型与知识梳理•高分突破》(新高考专用)
特训05利用导数证明不等式(三大题型)(解析版)_02高考数学_2025年新高考资料_一轮复习_2025年高考数学一轮复习《重难点题型与知识梳理•高分突破》(新高考专用)
特训05利用导数证明不等式(三大题型)(解析版)_02高考数学_2025年新高考资料_一轮复习_2025年高考数学一轮复习《重难点题型与知识梳理•高分突破》(新高考专用)
特训05利用导数证明不等式(三大题型)(解析版)_02高考数学_2025年新高考资料_一轮复习_2025年高考数学一轮复习《重难点题型与知识梳理•高分突破》(新高考专用)
特训05利用导数证明不等式(三大题型)(解析版)_02高考数学_2025年新高考资料_一轮复习_2025年高考数学一轮复习《重难点题型与知识梳理•高分突破》(新高考专用)
特训05利用导数证明不等式(三大题型)(解析版)_02高考数学_2025年新高考资料_一轮复习_2025年高考数学一轮复习《重难点题型与知识梳理•高分突破》(新高考专用)
特训05利用导数证明不等式(三大题型)(解析版)_02高考数学_2025年新高考资料_一轮复习_2025年高考数学一轮复习《重难点题型与知识梳理•高分突破》(新高考专用)
特训05利用导数证明不等式(三大题型)(解析版)_02高考数学_2025年新高考资料_一轮复习_2025年高考数学一轮复习《重难点题型与知识梳理•高分突破》(新高考专用)
特训05利用导数证明不等式(三大题型)(解析版)_02高考数学_2025年新高考资料_一轮复习_2025年高考数学一轮复习《重难点题型与知识梳理•高分突破》(新高考专用)
特训05利用导数证明不等式(三大题型)(解析版)_02高考数学_2025年新高考资料_一轮复习_2025年高考数学一轮复习《重难点题型与知识梳理•高分突破》(新高考专用)
特训05利用导数证明不等式(三大题型)(解析版)_02高考数学_2025年新高考资料_一轮复习_2025年高考数学一轮复习《重难点题型与知识梳理•高分突破》(新高考专用)
特训05利用导数证明不等式(三大题型)(解析版)_02高考数学_2025年新高考资料_一轮复习_2025年高考数学一轮复习《重难点题型与知识梳理•高分突破》(新高考专用)
特训05利用导数证明不等式(三大题型)(解析版)_02高考数学_2025年新高考资料_一轮复习_2025年高考数学一轮复习《重难点题型与知识梳理•高分突破》(新高考专用)
特训05利用导数证明不等式(三大题型)(解析版)_02高考数学_2025年新高考资料_一轮复习_2025年高考数学一轮复习《重难点题型与知识梳理•高分突破》(新高考专用)
特训05利用导数证明不等式(三大题型)(解析版)_02高考数学_2025年新高考资料_一轮复习_2025年高考数学一轮复习《重难点题型与知识梳理•高分突破》(新高考专用)
特训05利用导数证明不等式(三大题型)(解析版)_02高考数学_2025年新高考资料_一轮复习_2025年高考数学一轮复习《重难点题型与知识梳理•高分突破》(新高考专用)
特训05利用导数证明不等式(三大题型)(解析版)_02高考数学_2025年新高考资料_一轮复习_2025年高考数学一轮复习《重难点题型与知识梳理•高分突破》(新高考专用)
特训05利用导数证明不等式(三大题型)(解析版)_02高考数学_2025年新高考资料_一轮复习_2025年高考数学一轮复习《重难点题型与知识梳理•高分突破》(新高考专用)
特训05利用导数证明不等式(三大题型)(解析版)_02高考数学_2025年新高考资料_一轮复习_2025年高考数学一轮复习《重难点题型与知识梳理•高分突破》(新高考专用)
特训05利用导数证明不等式(三大题型)(解析版)_02高考数学_2025年新高考资料_一轮复习_2025年高考数学一轮复习《重难点题型与知识梳理•高分突破》(新高考专用)
特训05利用导数证明不等式(三大题型)(解析版)_02高考数学_2025年新高考资料_一轮复习_2025年高考数学一轮复习《重难点题型与知识梳理•高分突破》(新高考专用)
特训05利用导数证明不等式(三大题型)(解析版)_02高考数学_2025年新高考资料_一轮复习_2025年高考数学一轮复习《重难点题型与知识梳理•高分突破》(新高考专用)
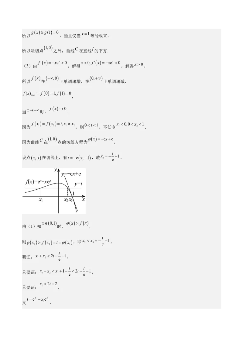
特训05利用导数证明不等式(三大题型)(解析版)_02高考数学_2025年新高考资料_一轮复习_2025年高考数学一轮复习《重难点题型与知识梳理•高分突破》(新高考专用)
特训05利用导数证明不等式(三大题型)(解析版)_02高考数学_2025年新高考资料_一轮复习_2025年高考数学一轮复习《重难点题型与知识梳理•高分突破》(新高考专用)

文档信息

文档格式
docx
文档大小
2.570 MB
文档页数
57 页
上传时间
2026-04-16 05:06:14

文档内容

特训 05 利用导数证明不等式(三大题型) 利用导数证明数列不等式的常用方法: (1)利用函数中经典不等式放缩,根据放缩的方向,将函数中经典不等式转化为数列不等式,将不可求 和的数列放缩成可求和的数列 (2)结论再造,利用上一问中得到的函数结论,构造出函数不等式,进而转化为数列不等式,再进行放 缩求和. (3)数列思想求通项,通过求出不等式两侧对应数列的通项公式,进而作差构造函数. 以上办法的实质都是构建了函数不等式与数列不等式之间的关系,进而利用数列求和来解决问题. 目录: 01 :移项构造函数证明不等式 02 :分拆函数法证明不等式 03 :放缩后构造函数证明不等式 01 :移项构造函数证明不等式 例1 已知函数f(x)=ex-3x+3a(e为自然对数的底数,a∈R). (1)求f(x)的单调区间与极值; (2)求证:当a>ln ,且x>0时,>x+-3a. (1)解 由f(x)=ex-3x+3a,x∈R, 知f′(x)=ex-3,x∈R. 令f′(x)=0,得x=ln 3, 于是当x变化时,f′(x),f(x)的变化情况如下表: x (-∞,ln 3) ln 3 (ln 3,+∞) f′(x) - 0 + f(x)  极小值  故f(x)的单调递减区间是(-∞,ln 3),单调递增区间是(ln 3,+∞), f(x)在x=ln 3处取得极小值,极小值为f(ln 3)=eln 3-3ln 3+3a=3(1-ln 3+a),无极大值. (2)证明 待证不等式等价于ex>x2-3ax+1, 设g(x)=ex-x2+3ax-1,x>0,于是g′(x)=ex-3x+3a,x>0. 由(1)及a>ln =ln 3-1知 g′(x)的最小值为g′(ln 3)=3(1-ln 3+a)>0. 于是对任意x>0,都有g′(x)>0, 所以g(x)在(0,+∞)内单调递增. 于是当a>ln =ln 3-1时,对任意x∈(0,+∞),都有g(x)>g(0). 而g(0)=0,从而对任意x∈(0,+∞),g(x)>0. 即ex>x2-3ax+1,故>x+-3a. 感悟提升 待证不等式的两边含有同一个变量时,一般地,可以直接构造“左减右”或“右减左”的函数, 利用导数研究其单调性等相关函数性质证明不等式. 训练1已知函数 . (1)当 时, (ⅰ)求 在点 处的切线方程; (ⅱ)求 的最小值; (2)当 时,若不等式 恒成立,求实数 的取值范围; (3)当 时,证明 . (1)解:当 时, , ,(ⅰ) ,所以 在点 处的切线方程为 ,即 ;(ⅱ)当 时, ,当 时, ,所以函数 在 上递减,在 上递增,所以 ; (2)解: ,令 ,则 ,当 ,即 时, , ,所以函数 在 上递增,所以 ,即 , ,所以函数 在 上递增,所以 ,所以 满足题意;当 ,即 时,令 ,则 ,当 时, ,所以函数 在 上递减,所以当 时, ,即当 时, ,所以 函数 在 上递减,此时 ,与题意矛盾,综上所述,实数 的取值范围为 ; (3)证明:由(2)得,当 时, ,即 ,要证 ,只需要 证明 ,只需要证明 ,只需要证明 ,令 ,则 ,所以函数 在 上递增,所以 ,所以 ,所以 . 【分析】(1)求导,(ⅰ)根据导数的几何意义即可得出答案; (ⅱ)根据导数的符号求出函数的单调区间,从而可得函数的最小值; (2)求出函数的导函数,根据 分 和 两种情况讨论,从而可得出答案; (3)由(2)可得,当 时, ,则要证 , 只需要证明 ,只需要证明 ,构造函数 ,再利 用导数证明 即可得证. 02 :分拆函数法证明不等式例2 证明:对一切x∈(0,+∞),都有ln x>-成立. 证明 问题等价于证明xln x>-(x∈(0,+∞)). 设f(x)=xln x,f′(x)=1+ln x,易知x=为f(x)的唯一极小值点, 则f(x)=xln x(x∈(0,+∞))的最小值是-,当且仅当x=时取到. 设m(x)=-(x∈(0,+∞)),则m′(x)=,由m′(x)<0,得x>1时,m(x)单调递减; 由m′(x)>0得0<x<1时,m(x)单调递增,易知m(x) =m(1)=-,当且仅当x=1时取到.从而对一切 max x∈(0,+∞),xln x≥-≥-,两个等号不同时取到,所以对一切x∈(0,+∞)都有ln x>-成立. 感悟提升 1.若直接求导后导数式比较复杂或无从下手时,可将待证式进行变形,构造两个函数,从而找 到可以传递的中间量,达到证明的目标.在证明过程中,等价转化是关键,此处g(x) ≥f(x) 恒成立,从而 min max f(x)≤g(x)恒成立. 2.等价变形的目的是求导后简单地找到极值点,一般地,ex与ln x要分离,常构造xn与ln x,xn与ex的积、 商形式.便于求导后找到极值点. 训练2 已知函数f(x)=eln x-ax(x∈R). (1)讨论函数f(x)的单调性; (2)当a=e时,证明:xf(x)-ex+2ex≤0. (1)解 f′(x)=-a(x>0), ①若a≤0,则f′(x)>0,f(x)在(0,+∞)上单调递增; ②若a>0,则当00; 当x>时,f′(x)<0,∴f(x)在上单调递增,在上单调递减. 综上,当a≤0时,f(x)在(0,+∞)上单调递增;当a>0时,f(x)在上单调递增,在上单调递减. (2)证明 法一 ∵x>0,∴只需证f(x)≤-2e, 当a=e时,由(1)知,f(x)在(0,1)上单调递增,在(1,+∞)上单调递减, ∴f(x) =f(1)=-e. max 记g(x)=-2e(x>0), 则g′(x)=, ∴当01时,g′(x)>0,故g(x)在(0,1)上单调递减; 在(1,+∞)上单调递增, ∴g(x) =g(1)=-e. min 综上,当x>0时,f(x)≤g(x),即f(x)≤-2e,即xf(x)-ex+2ex≤0. 法二 由题意知,即证exln x-ex2-ex+2ex≤0, 从而等价于ln x-x+2≤. 设函数g(x)=ln x-x+2, 则g′(x)=-1. ∴当x∈(0,1)时,g′(x)>0, 当x∈(1,+∞)时,g′(x)<0, 故g(x)在(0,1)上单调递增,在(1,+∞)上单调递减,从而g(x)在(0,+∞)上的最大值为g(1)=1. 设函数h(x)=,则h′(x)=. ∴当x∈(0,1)时,h′(x)<0, 当x∈(1,+∞)时,h′(x)>0, 故h(x)在(0,1)上单调递减,在(1,+∞)上单调递增, 从而h(x)在(0,+∞)上的最小值为h(1)=1. 综上,当x>0时,g(x)≤h(x),即xf(x)-ex+2ex≤0. 03 :放缩后构造函数证明不等式 例3 已知x∈(0,1),求证:x2-<. 证明 法一 要证x2-<, 只需证ex<ln x, 又易证ex>x+1(0<x<1), ∴只需证明ln x+(x+1)>0. 即证ln x+1-x3+-x2>0, 而x3<x,x2<x(0<x<1), ∴只需证ln x+1-2x+>0, 令g(x)=ln x+1-2x+, 则g′(x)=-2-=-, 而2x2-x+1>0恒成立, ∴g′(x)<0, ∴g(x)在(0,1)上单调递减, ∴当x∈(0,1)时,g(x)>g(1)=0, 即ln x+1-2x+>0. ∴x2-<. 法二 ∵x∈(0,1),∴ex∈(1,e), ∴要证x2-<成立, 只需证ex<ln x成立, 只需证x2-<ln x, 又x2<x(0<x<1), ∴只需证ln x+-x>0, 令h(x)=ln x+-x, 则h′(x)=--1=-, 而x2-x+1>0恒成立,∴h′(x)<0, ∴h(x)在(0,1)上单调递减, ∴当x∈(0,1)时,h(x)>h(1)=0, ∴ln x+-x>0,∴x2-<. 感悟提升 某些不等式,直接构造函数不易求其最值,可以适当地利用熟知的函数不等式 ex≥x+1,1- ≤ln x≤x-1等进行放缩,有利于简化后续导数式的求解或函数值正负的判断;也可以利用局部函数的有界 性进行放缩,然后再构造函数进行证明. 训练3 证明:exln x+>1. 证明 不等式exln x+>1等价于(exln x+2)>1, 由常用不等式ex≥x+1,故ex-1≥x. 即≥1,故只需证exln x+2>1, 令f(x)=exln x+2(x>0), 则f′(x)=e(ln x+1), 易得当x∈时,f′(x)<0; x∈时,f′(x)>0, 故f(x)>f=1,原不等式得证. 方法技巧:指对同构 在解决指对混合不等式时,如恒成立求参数取值范围或证明不等式,有一部分题是命题者利用函数单调性 构造出来的,如果我们能找到这个函数模型(即不等式两边对应的同一函数),无疑大大加快解决问题的速 度.找到这个函数模型的方法,我们称为同构法. (1)五个常见变形: xex=ex+ln x,=ex-ln x,=eln x-x,x+ln x=ln xex,x-ln x=ln . (2)三种基本模式 ①积型:aea≤bln b――――――――→ ②商型:<――――――――→ ③和差型:ea±a>b±ln b――――――――→ 例 (1)已知函数f(x)=aex-1-ln x+ln a. 若f(x)≥1,求a的取值范围. 解 f(x)的定义域为(0,+∞), f(x)=aex-1-ln x+ln a=eln a+x-1-ln x+ln a≥1, 等价于eln a+x-1+ln a+x-1≥ln x+x=eln x+ln x. 令g(x)=ex+x,上述不等式等价于g(ln a+x-1)≥g(ln x). 显然g(x)为单调增函数,所以又等价于ln a+x-1≥ln x,即ln a≥ln x-x+1. 令h(x)=ln x-x+1, 则h′(x)=-1=. 当x∈(0,1)时,h′(x)>0,h(x)单调递增; 当x∈(1,+∞)时,h′(x)<0,h(x)单调递减,所以h(x) =h(1)=0,所以ln a≥0,即a≥1,a的取值范围是 max[1,+∞). (2)已知函数f(x)=aex-ln x-1,证明:当a≥时,f(x)≥0. 证明 当a≥时,f(x)≥-ln x-1, 所以只需证明-ln x-1≥0, 由于-ln x-1≥0⇔ex≥eln ex⇔xex≥exln ex⇔xex≥eln exln ex, 令g(x)=xex, 由g′(x)=ex(x+1)>0知g(x)为增函数, 又易证x≥ln ex=ln x+1, 所以g(x)≥g(ln ex), 即xex≥eln exln ex成立. 故当a≥时,f(x)≥0. 一、解答题 1.(2024·山东菏泽·模拟预测)已知函数 . (1)求函数 的单调区间; (2)若 ,证明: . 【答案】(1) 的单调递减区间为 ,没有单调递增区间 (2)证明见解析 【分析】(1)利用导数求解函数单调性即可. (2)对要证不等式进行化简,再由第(1)问结论证明 即可. 【解析】(1) , 令 ,所以 , 由 可得 ,由 可得 , 所以 在 上单调递增,在 上单调递减,所以 . 又因为 ,所以 ,即 ,且 至多在一个点处取到 . 所以 在 上单调递减, 故 的单调递减区间为 ,没有单调递增区间. (2)证明 , 只需证: , 即证: , 令 ,所以 , 只需证: , 即证: , 由(1)知,当 时, 在 上单调递减, 所以当 时, , 即 , 所以 . 【点睛】关键点点睛:本题考查导数证明不等式问题.其关键点是对要证不等式进行化简,即证明 ,再结合第1问求得的单调性证明即可. 2.(2023·天津·二模)已知 ,函数 . (1)当 时,求 的单调区间; (2)当 时,设 的导函数为 ,若 恒成立,求证:存在 ,使得 ;(3)设 ,若存在 ,使得 ,证明: . 【答案】(1)递增区间为 ,递减区间为 ; (2)证明见解析; (3)证明见解析; 【分析】(1)当 时,求得 ,结合导数的符号,即可求解; (2)当 时,求得 ,根据题意 恒成立,取 ,得到 ,即可证明; (3)设 ,得到 ,转化为 ,设 ,求得 ,根据 ,得到 ,进而得到 ,进而证得结论. 【解析】(1)由函数 ,可得其定义域为 , 当 时,可得 ,则 , 当 时,可得 , 单调递减; 当 时,可得 , 单调递增, 函数 的单调递增区间为 ,单调递减区间为 . (2)当 时,可得 ,则 ,恒成立,即 恒成立,令 , 若 ,则 ,存在 ,使得 , 即 ,不符合题意, , 取 ,则 ,可得 即存在 ,使得 . (3)由函数 ,可得 , 设 ,由 ,可得 , 则 , 又由 ,可得 , 函数 为单调递增函数, ,即 , , 设 ,可得 , 当 时, ,即 , , 即 , , 代入可得: , 则 , .【点睛】方法点睛:对于利用导数研究不等式的恒成立与有解问题的求解策略: (1)通常要构造新函数,利用导数研究函数的单调性,求出最值,从而求出参数的取值范围; (2)利用分离变量,构造新函数,直接把问题转化为函数的最值问题. (3)根据恒成立或有解求解参数的取值时,一般涉及分离参数法,但压轴试题中很少碰到分离参数后构 造的新函数能直接求出最值点的情况,若参变分离不易求解问题,就要考虑利用分类讨论法和放缩法,注 意恒成立与存在性问题的区别. 3.(2024·四川眉山·三模)已知函数 . (1)若过点 可作曲线 两条切线,求 的取值范围; (2)若 有两个不同极值点 . ①求 的取值范围; ②当 时,证明: . 【答案】(1) ; (2)① ;②证明见解析. 【分析】(1)求出函数 的导数,设出切点坐标,求出切线方程,结合切线过的点构造函数 ,探讨函数 有两个零点的 的值范围. (2)①由 有两个零点,结合零点的意义分离参数,求出直线 与函数 图 象有两个公共点的 的值范围;②由方程根的意义可得 ,分析所证不等式,换元并证明 即可. 【解析】(1)依题意, , 设过点 的直线与曲线 相切时的切点为 ,斜率 ,切线方程为 ,而点 在切线上, 则 ,即有 , 由过点 可作曲线 两条切线,得方程 有两个不相等的实数根, 令 ,则函数 有2个零点, 求导得 , ①若 ,由 ,得 或 ,由 ,得 , 即函数 在 , 上单调递增,在 上单调递减, 则当 时, 取得极大值;当 时, 取得极小值, 又 , 当 时, 恒成立,因此函数 最多1个零点,不合题意; ②若 , 恒成立,函数 在 上单调递增, 因此函数 最多1个零点,不合题意; ③若 ,由 ,得 或 ,由 ,得 , 即函数 在 , 上单调递增,在 上单调递减, 则当 时, 取得极大值;当 时, 取得极小值,又 , 显然当 时, 恒成立,因此函数 最多1个零点,不合题意; ④若 ,显然 ,当 时, ,当 时, , 函数在 上单调递增,在 上单调递减,当 时, 取得最大值 , 要函数 有2个零点,必有 ,得 ,当 时, , 而函数 在 上的值域为 ,因此 在 上的值域为 , 当 时,令 ,求导得 ,函数 在 上单调递减, 则 , , 而函数 在 上单调递减,值域为 , 因此函数 在 上的值域为 , 于是当 时,函数 有两个零点, 所以过点 可作曲线 两条切线时, 的取值范围是 . (2)①由(1)知, , 由函数 有两个极值点 ,得 ,即 有两个实数根 , 令 ,求导得 ,当 时, ,当 时, , 函数 在 上单调递增, 上单调递减, , 且 ,当 时,函数 恒成立,因此当 时, 有两个实数根 所以函数 有两个极点时, 的取值范围是 . ②由 ,即 ,得 , 要证明 ,只需证明 , 而 ,令 ,则 ,欲证明 , 即证明 ,只需证明 即可, 令 , 求导得 , 则 在 时单调递增,故 , 则 ,令 在 时单调递增,则 , 因此 ,即 , 所以 . 【点睛】思路点睛:涉及函数的双零点问题,不管待证的是两个变量的不等式,还是导函数的值的不等式, 都是把双变量的等式或不等式转化为一元变量问题求解,途径都是构造一元函数. 4.(2024·重庆·模拟预测)已知函数 . (1)求证: ; (2)若 是 的两个相异零点,求证: . 【答案】(1)证明见解析 (2)证明见解析 【分析】(1)设 ,求导,分析函数的单调性,确定函数的值域可证明该问题. (2)求 ,分析函数单调性,求出极值;根据 的两个相异零点,可确定 的取值范围,并分别得 到 的取值范围,推导出 的取值范围.【解析】(1)令 ,则 . 令 ,得 ;令 ,得 . 所以 在 上单调递减,在 上单调递增. 所以 ,所以 . (2)易知函数 的定义域是 . 由 ,可得 . 令 得 ;令 得 . 所以 在 上单调递减,在 上单调递增, 所以 . ①当 ,即 时, 至多有1个零点,故不满足题意. ②当 ,即 时, . 因为 在 上单调递增,且 .所以 , 所以 在 上有且只有1个零点,不妨记为 ,且 . 由(1)知 ,所以 . 因为 在 上单调递减, ,所以 在 上有且只有1个零点,记为 ,且 . 所以 ,所以 . 同理,若记 则有 , 综上所述, . 【点睛】方法点睛:导函数中常用的两种常用的转化方法:一是利用导数研究含参函数的单调性,常化为 不等式恒成立问题.注意分类讨论与数形结合思想的应用;二是函数的零点、不等式证明常转化为函数的 单调性、极(最)值问题处理. 5.(2024·黑龙江双鸭山·模拟预测)已知函数 . (1)当 时,讨论 的单调性; (2)若 是 的两个极值点,证明: . 【答案】(1) 在 上单调递减,在 上单调递增 (2)证明见解析 【分析】(1)将 代入函数解析式,求出导函数,解导数不等式即可得到 的单调区间; (2)根据 是 的两个极值点,结合韦达定理可得 , ,要证明 ,即转化为求证 ,即证明 令,构造函数 ,利用导数研究 在 的单调性即可得证. 【解析】(1)当 时, 的定义域为 , 所以 ,令 ,解得 , 当 时, ,当 时, , 故 在 上单调递减,在 上单调递增. (2) , 由题意可知, 是方程 的两根, 则 ,解得 ,所以 , , 要证 , 即证 , 只需证 , 需证 令 ,则需证 , 设 ,则 ,所以函数 在 上单调递减,所以 ,因此 由 得, ,所以 , 故 得证, 【点睛】方法点睛:对于利用导数研究不等式的恒成立与有解问题的求解策略: (1)通常要构造新函数,利用导数研究函数的单调性,求出最值,从而求出参数的取值范围; (2)利用可分离变量,构造新函数,直接把问题转化为函数的最值问题. (3)根据恒成立或有解求解参数的取值时,一般涉及分离参数法,但压轴试题中很少碰到分离参数后构 造的新函数能直接求出最值点的情况,进行求解,若参变分离不易求解问题,就要考虑利用分类讨论法和 放缩法,注意恒成立与存在性问题的区别. 6.(2024·安徽蚌埠·模拟预测)已知函数 ,其中 . (1)若 ,证明: 时, ; (2)若函数 在其定义域内单调递增,求实数 的值; (3)已知数列 的通项公式为 ,求证: . 【答案】(1)证明见解析 (2) (3)证明见解析 【分析】(1)构建 ,利用导数判断其单调性,结合单调性分析证明; (2)求导可得 ,分 、 和 三种情况,结合导数分析单调性即可; (3)根据(1)(2)分析可得 ,进而可得 ,根据题意结合裂项相消法分析证明. 【解析】(1)由题意可知: 等价于 ,其中 . 构建 , 则 , 可知 在 上单调递减,则 时, , 所以 时, . (2)由题意可知: , 则 ①若 ,则 ,由 可得 , 可知 在 上单调递减,不合题意; ②若 ,则 , 可知 上为增函数,符合题意; ③若 ,则 ,由 可得 , 可知 在 上单调递减,不合题意; 综上所述: . (3)由(2)知: 在 上单调递增,所以 时, ,即 , 由(1)知: 时, , 则 , 所以 时, , 令 得: , 即 , 因为 , 所以 , 由 知: ,又因为 , 所以 , 所以 . 【点睛】方法点睛:利用导数证明不等式的基本步骤 (1)作差或变形; (2)构造新的函数 ;(3)利用导数研究 的单调性或最值; (4)根据单调性及最值,得到所证不等式. 特别地:当作差或变形构造的新函数不能利用导数求解时,一般转化为分别求左、右两端两个函数的最值 问题. 7.(2024·山东·模拟预测)已知函数 ,其中 . (1)当 时,判断 的单调性; (2)若 存在两个极值点 . (ⅰ)证明: ; (ⅱ)证明: 时, . 【答案】(1) 在 上单调递增 (2)(ⅰ)证明见解析;(ⅱ)证明见解析 【分析】(1)求出函数的导函数,令 , ,利用导数说明 的单调性,求出 ,即可得到 的单调性; (2)(ⅰ)结合(1)及题意可知 有两个不相等的实数根,即可求出 的取值范围,从而得到 ,分析可知只需证明 ,即证 ,令 ,利用导数说 明函数的单调性,即可得证; (ⅱ)由(ⅰ)知 , 及 在 上的单调性,从而得到 ,再构造函数,利用导数证明 ,即可得证.【解析】(1)函数 的定义域为 , 则 , 令 , ,则 , 所以当 时 ,当 时 , 所以 在 上单调递减,在 上单调递增, 所以 在 处取得极小值,即最小值,所以 , 所以 在 上恒成立, 所以 在 上单调递增; (2)(ⅰ)由(1)可知 在 上的最小值为 , 当 时 ,当 时 , 若 存在两个极值点 ,则 有两个不相等的实数根 , 所以 ,解得 , 又 ,所以 , 且当 时 ,即 ,则 单调递增, 当 时 ,即 ,则 单调递减, 当 时 ,即 ,则 单调递增, 所以 为 的极大值点, 为 的极小值点,因为 ,所以 , 要证 ,即证 ,又 , 只需证 , 即证 ,即证 , 令 ,则 , 所以 在 上单调递增, 所以 ,即 成立, 所以 ; (ⅱ)由(ⅰ)知 , , 且当 时 ,当 时 , 所以 在 上单调递减,在 上单调递增, 所以 , 令 ,则 , 所以 在 上单调递增,所以 ,即 , 所以 , 所以 . 【点睛】方法点睛:利用导数证明不等式的基本步骤: (1)作差或变形; (2)构造新的函数 ; (3)利用导数研究 的单调性或最值; (4)根据单调性及最值,得到所证不等式. 特别地:当作差或变形构造的新函数不能利用导数求解时,一般转化为分别求左、右两端两个函数的最值 问题. 8.(2024·全国·模拟预测)设整数 , 且 ,函数 . (1)证明: ; (2)设 ,证明: ; (3)设 ,证明: . 【答案】(1)证明见解析; (2)证明见解析; (3)证明见解析 【分析】(1)通过求导数得到函数的单调性,从而得到函数的最小值 ,从而 ; (2)构造函数 ,求导数得到函数的单调性,从而得到函数的最大值 ,从 而 ,所以 ;(3)利用(1)(2)中的结论, , ,得到 , 放缩证明. 【解析】(1) .因为 , ,所以 单调 递增. 因此,当 时, , 单调递减;当 时, , 单调递增,所以 . (2)设 ,则 ,所以 在 上单调递减, 故 ,从而当 时, . (3)由(1)知 ,所以 ,再利用 , 于是 因此, . 【点睛】方法点睛:常见的放缩公式 ; ; ; 9.(2024·安徽合肥·二模)已知曲线 在点 处的切线为 . (1)求直线 的方程; (2)证明:除点 外,曲线 在直线 的下方;(3)设 ,求证: . 【答案】(1) ; (2)证明见解析; (3)证明见解析. 【分析】(1)求导,得到 ,利用导数的几何意义写出切线方程; (2)令 ,二次求导得到函数单调性,结合特殊点函数值,得到所以 , 当且仅当 等号成立,得到证明; (3)求导得到 的单调性,结合函数图象得到 ,不妨令 ,结合曲线 在 点 的切线方程为 ,得到 ,转化为证明 ,又 ,只要证 ,令 ,求导得到函数单调性,结合特殊点函数值得到答案. 【解析】(1)因为 , 所以 , 所以直线 的方程为: ,即 (2)令 ,则 , 令 ,则 , 由 ,解得 ,由 ,解得 , 所以 在 上单调递减,在 上单调递增, 当 时, , 所以 在 上单调递减,在 上单调递增,所以 ,当且仅当 等号成立, 所以除切点 之外,曲线 在直线 的下方. (3)由 ,解得 ,解得 , 所以 在 上单调递增,在 上单调递减, , 当 时, . 因为 ,则 ,不妨令 . 因为曲线 在 点的切线方程为 , 设点 在切线上,有 ,故 , 由(1)知 时, , 则 ,即 , 要证: , 只要证: , 只要证: , 又 ,只要证: , 令 , 则 , 易证 在 上单调递增,在 上单调递减, 所以 , 所以 在 上单调递减,所以 成立, 所以原命题成立. 【点睛】关键点点睛:本题关键是利用函数在零点处的切线方程,得到 ,且 ,从 而只需证明 ,再勾股函数进行求解. 10.(2024·甘肃白银·三模)设函数 , . (1)讨论 的单调性. (2)证明: . (3)当 时,证明: . 【答案】(1) 的增区间为 ,减区间为 , (2)证明见解析 (3)证明见解析 【分析】(1)对 求导,利用导数与函数单调性间的关系,求出 和 的解,即可求出 结果;(2)对 求导,利用导数与函数单调性间的关系,求出 的单调区间,进而求出 的最小值,即 可证明结果; (3)根据条件及(2)中结果得到 ,构造函数 ,利用导数与函数单调性间的关系, 得到 在区间 上单调递减,从而得到 ,即可证明结果. 【解析】(1)因为 ,易知定义域为 , , 由 ,得到 ,由 ,得到 或 , 所以 的增区间为 ,减区间为 , . (2)因为 ,易知定义域为 , , 当 时, ,当 时, , 即 在区间 上单调递减,在区间 上单调递增, 所以 . (3)由(2)知 ,当且仅当 时取等号,所以 ,当且仅当 时取等号, 要证明 ,即证明 , 令 ,则 在区间 上恒成立, 又 ,所以 ,所以 ,命题得证. 【点睛】关键点点晴:本题的关键在于第(3)问,通过转换,要证明 ,即证明,再构造函 ,利用 的单调性及(2)中结论解决问题. 11.(2024·贵州遵义·一模)已知函数 , . (1)求 的单调区间; (2)若对于正实数 ,满足 . (i)证明: ; (ii)证明: . 【答案】(1)单调递增区间 ,无递减区间 (2)(i)证明见解析;(ii)证明见解析 【分析】(1)求得 ,结合 ,得到 ,即可求解; (2)(i)设 ,当 时,得到 ,得到 和 , 根据 ,得到 ,再由 ,令 ,求得 单调递 增,进而证得 ; (ii)要证 ,转化为证 ,设 ,利用导数求得 在 单 调递增,得到 ,进而得到 ,即可得证. 【解析】(1)解:由函数 ,其定义域为 , 可得 ,因为 ,所以 ,所以 在 单调递增, 所以函数 单调递增区间为 ,无递减区间. (2)解:(i)由 , , 设 ,其中 , 当 时, , ,所以 恒成立, 所以 ,可得 ,同理可得 , 又因为 ,所以 , 又由 ,令 ,可得 , 所以 在 上单调递增,所以 恒成立, 所以 在 上单调递增, 又因为 ,所以 . (ii)要证 ,即证 , 只需证 ,即证 , 因为 ,可得 , 设 ,则 在 上恒成立, 所以 在 单调递增, 又因为 ,所以 ,所以 , 所以 ,所以 ,从而 ,所以 . 【点睛】方法技巧:对于利用导数研究不等式的恒成立与有解问题的求解策略: 1、通常要构造新函数,利用导数研究函数的单调性,求出最值,从而求出参数的取值范围; 2、利用可分离变量,构造新函数,直接把问题转化为函数的最值问题. 3、根据恒成立或有解求解参数的取值时,一般涉及分离参数法,但压轴试题中很少碰到分离参数后构造 的新函数能直接求出最值点的情况,进行求解,若参变分离不易求解问题,就要考虑利用分类讨论法和放 缩法,注意恒成立与存在性问题的区别. 12.(2024·辽宁·模拟预测)已知函数 . (1)当 时,判断 在区间 内的单调性; (2)若 有三个零点 ,且 . (i)求 的取值范围; (ii)证明: . 【答案】(1) 在 上单调递减,在 上单调递增 (2)(i) ;(ii)证明见解析 【分析】(1)多次求导后,借助导数的单调性及正负即可判断原函数的单调区间; (2)(i)原条件可转化 有三个不等实根,从而构造函数 ,研究该函数即可得;(ii)借 助的 单调性,得到 ,从而将证明 ,转化为证明 ,再设 ,从而将 三个变量的问题转化为单变量问题,即可构造函数 ,证明其在 上大于 即可.【解析】(1)当 时, , , 令 , , 令 ,可得 , 则当 时, ,当 时, , 即 在 上单调递减,在 上单调递增, 又 , , 故当 时, ,当 时, , 故 在 上单调递减,在 上单调递增; (2)(i) 有三个零点,即 有三个根, 由 不是该方程的根,故 有三个根 ,且 , 令 , , 故当 时, ,当 时, , 即 在 、 上单调递增,在 上单调递减, ,当 时, , 时, , 当 时, , 时, , 故 时, 有三个根; (ii)由 在 上单调递增, ,故 ,由(i)可得 ,且 , 即只需证 ,设 ,则 , 则有 ,即有 ,故 , , 则 ,即 , 即只需证 , 令 , 则 恒成立, 故 在 上单调递增, 则 ,即得证. 【点睛】方法点睛:极值点偏移问题的一般题设形式: 1.若函数 存在两个零点 且 ,求证: ( 为函数 的极值点); 2.若函数 中存在 且 满足 ,求证: ( 为函数 的极值点); 3.若函数 存在两个零点 且 ,令 ,求证: ; 4.若函数 中存在 且 满足 ,令 ,求证: . 13.(2024·河南南阳·一模)已知函数 . (1)若函数 在 上单调递增,求 的取值范围. (2)若函数 的两个零点分别是 ,且 ,证明:① 随着 的增大而减小; ② . 【答案】(1) (2)①证明见解析:②证明见解析 【分析】(1)利用导数判断原函数单调性,卡端点列出不等式求解即可. (2)①合理判断 有两个零点,构造 与 的函数,求其单调性即可. ②求出关键点的函数值,结合不等式的运算性质证明不等关系即可. 【解析】(1)若函数 在 上单调递增,易知 , 令 , ,令 , , 所以 在 上单调递减,在 上单调递增, 故原命题等价于求 ,且 ,故 ,解得 , 即 的取值范围为 . (2)①引理:对 ,必有 成立,令 , 故 ,令 , ,令 , , 故 在 上单调递减,在 上单调递增, 则 ,即 恒成立,故 成立, 设 ,则 ,即 , 可得 的最小值为而 ,当 时, , 且由引理知 ,故 , 由零点存在性定理得 有两个零点 , 结合 可得 , 故当 时,两个根一定会存在,设 是关于 的函数,记为 , 我们同样可以定义为:对 ,存在唯一的 ,使得 , 且这个 就是关于 的方程 中的较大根,此时已有 , 此时发现 是 上的函数,则证明 在 上单调递减即可, 由于 , 首先,我们有 , ,所以 , , 其次,我们实际上有 ,(因为要么 ,要么 ), 所以 ,若 ,则 , , 然后考虑 ,显然我们有 , 若 ,则 ,所以另一根一定小于 ,从而 , 若 ,由于 是关于 的较大根,故 , 即 ,解得 ,但是对任意的 时, 关于 的方程 的较小根都不超过 , 要么 ,解得 ,要么 ,所以 是较大根,从而 ,这表明 与 关于 对称, 所以我们只需要证明 在 上单调递减, 这里 是 的较大根,且 , 由于 ,故对 ,设 , 则 , , 从而由 是较大根,知 , , 也意味着 位于单调递增区间, 设 ,由于当 时, , 所以 , 而 ,方程的较小根一定不超过 , 这表明 的较大根 一定成立,所以 , 这就证明了 在 上单调递减,从而一定在 上单调递减, 故 随着 的增大而减小得证. ②由①知 有两个零点 ,且 , 由于 , 由引理又有 , 而根据单调性得,当 或 时,必有 , 所以 ,可得 即 ,原不等式得证. 【点睛】关键点点睛:本题考查导数,解题关键是利用零点存在性定理证明函数有两个零点,然后构造函 数,转化为证明函数单调性问题求解即可. 14.(2024·广东·模拟预测)已知 . (1)讨论 的单调性; (2)若 存在两个零点 ,证明: 存在三个零点 ,且 (3)在(2)的条件下,证明: . 【答案】(1)答案见解析 (2)证明见解析 (3)证明见解析 【分析】(1)对 求导,对 分类讨论即可求解; (2)一方面首先有 ,进一步 ,从而我们只需要证明 在 上 还存在一个零点即可,对此我们可以不断求导结合零点存在定理分析即可得证; (3)设 , ,通过分析得出要证 ,只需要证明: ,一方 面可以构造函数 来说明 ,另一方面由 , ,结合 单调性来说明 ,由此即可得证. 【解析】(1) ,如果 则 ,所以 在R上递减; 如果 ,则 的符号以 为分界线,左边负右边正,所以 在 递减,在 递增; (2)由于 有两个零点 , 故 ,而且 ,也就是 , 所以 , 如果 或 , 那么 , 所以 有零点 , 同时,由于 且 ,所以 , 而 ,令 , 则 ,令 , 则 , 这表明 递增, 同时由于 , 所以在 上有一实数u,满足 , 且 时, , 时, . 所以 在 递减,在 递增. 假设 ,就意味着 在 和 上均递增,所以 ,矛盾. 所以 , 从而 在 和 上各有一零点 , 且在 和 上大于0,在 上小于0. 那么由于 , 我们知道 , 所以 上一定还有 的零点 . 综上所述, 存在三个零点 ,且 ; (3)设 , , 则有: , 但 , 要证 ,只需要证明: , 首先,容易说明当 时, , 实际上 ,这也就是说此时 , 而 意味着 , 上一问已证 ,同时由于 是 的零点(可导函数取极值的必要条件), 所以 , 在这里对某个函数 ,我们定义函数列: , 换言之 是 进行 次求导后得到的函数,从而令 , , 则 , 所以 时, , 所以 时, , 所以 时, , 即 , 所以 , 又因为 , 所以 ,从而 , 也就是 , 由于 , 而 在 上小于0,在 上大于0, 故 , 又由于 , ,而 在 上递减,在 上递增, 故 , 综上, ,从而 . 【点睛】关键点点睛:第三问的关键是构造函数 来说明 , 由此即可顺利得证. 证. 15.(2024·全国·模拟预测)已知当 时, , , . (1)证明: ; (2)已知 ,证明: ( 可近似于3.14). 【答案】(1)证明见解析; (2)证明见解析. 【分析】(1)令 ,求导得到函数单调性,得到 ,要证 ,只需证 ,构造 , ,二次求导得到单调性,得到 ,证明出 ,证明出不等式; (2)变形得到 ,两边同时除以 得到: ,证明出不等式. 【解析】(1)令 ,∴ 在 上恒成立, ∴ 在 上单调递增, ∴ , ∴ , ∴ , 要证 ,只需证 , ∵ , ∴只需证 , 令 , , ∴ , ∴ , 令 , , ∴ , 又∵当 时, , ∴当 时, , ∴ 在 上单调递减, ∴ , ∴当 时, ,∴ 在 上单调递减 ∴ , ∴ , ∴ , ∴综上所述,当 时, ,证毕. (2)∵当 时, , ∴ , ∴ , ∴ ,① 将①式两边同时乘以 得到: ,② ∵ ,但当 时, , ∴ , 将②式两边同时除以 得到: , ∴ , ∴ , ∴当 时, ,证毕. 【点睛】方法点睛:证明不等式或比较两函数大小,需构造函数,并根据导函数得到函数单调性,结合特殊 点函数值得到结论. 16.(2024·福建福州·模拟预测)已知函数 . (1)讨论 的单调性;(2)求证: ; (3)若 且 ,求证: . 【答案】(1) 在区间 上单调递减 (2)证明见解析 (3)证明见解析 【分析】(1)求 ,令 ,求 ,讨论 的大小可证得 ,即 ,即可得出 的单调性; (2)法一:要证 ,即证 ,记 ,讨论 的 单调性和最值即可证明;法二:通过构造函数结合已知条件放缩要证 即证 即可. (3)法一:由(1)可知 为减函数,所以 ,要证 即证 ,构造函数证明即可;法二:先证 ,即 ,则 ,再结合基本不等式即可证明. 【解析】(1) 的定义域为 , , 记 , 当 时, 单调递增;当 时, 单调递减,所以 ,即 , 所以 在区间 上单调递减. (2)法一:先证 ,记 , 则 , 记 ,则 ,所以 时, 递增; 时, 递减. 所以 ,所以 ,又 ,所以 ,故 . 再证 ,即证 ,记 , 则 , 记 ,则 ,所以 在 递增, 所以 ,所以 ,即 , 所以 . 法二:构造函数 , 当 时, 单调递增, ,所以 , 构造函数 , 当 时, 单调递增;当 时, 单调递减. 所以 ,即 ,即 成立. 所以 ,所以 , 则只需证明 ,即 ,而 显然成立, 所以 . (3)法一:由(2)知 的最大值为0. 因为 且 ,则 之中至少有一个大于1, 不妨设 ,则 ,由(1)可知 为减函数,所以 , 所以 , 因为 , 记 ,则 , 因为 ,所以 ,所以 ,所以 . 法二:先证 ,记 , 则 , 记 ,则 ,所以 时, 递增; 时, 递减. 所以 ,所以 ,又 ,所以 ,故 .所以 , 因为 且 , 所以 , 所以 ,所以 ,则 . 【点睛】方法点睛:利用导数证明不等式问题,方法如下: (1)直接构造函数法:证明不等式 (或 )转化为证明 (或 ),进而构造辅助函数 ; (2)适当放缩构造法:一是根据已知条件适当放缩;二是利用常见放缩结论; (3)构造“形似”函数,稍作变形再构造,对原不等式同解变形,根据相似结构构造辅助函数. 17.(2024·山东潍坊·三模)一个完美均匀且灵活的项链的两端被悬挂, 并只受重力的影响,这个项链形 成的曲 线形状被称为悬链线.1691年,莱布尼茨、惠根斯和约翰・伯努利等得到“悬链线”方程 ,其中 为参数.当 时,就是双曲余弦函数 ,类似地双曲正弦函数 ,它们与正、余弦函数有许多类似的性质. (1)类比三角函数的三个性质: ①倍角公式 ; ②平方关系 ; ③求导公式 写出双曲正弦和双曲余弦函数的一个正确的性质并证明; (2)当 时,双曲正弦函数 图象总在直线 的上方,求实数 的取值范围;(3)若 ,证明: 【答案】(1)答案见解析,证明见解析 (2) (3)证明见解析 【分析】(1)类比,写出平方关系,倍角关系和导数关系,并进行证明; (2)构造函数 , ,求导,分 和 两种情况,结合基本不等式,隐零点, 得到函数单调性,进而得到答案; (3)结合新定义将所证变为 ,设函数 ,即证 ,先利用导数求得 在 上单调递增,再设 ,利用导数得其单调性及 ,从而 , 得证. 【解析】(1)平方关系: ; 倍角公式: ; 导数: . 理由如下:平方关系, ; 倍角公式: ; 导数: , ; 以上三个结论,证对一个即可.(2)构造函数 , ,由(1)可知 , ①当 时,由 , 又因为 ,故 ,等号不成立, 所以 ,故 为严格增函数, 此时 ,故对任意 , 恒成立,满足题意; ②当 时,令 , 则 ,可知 是严格增函数, 由 与 可知,存在唯一 ,使得 , 故当 时, ,则 在 上为严格减函数, 故对任意 , ,即 ,矛盾; 综上所述,实数 的取值范围为 ; (3)因为 , 所以原式变为 , 即证 , 设函数 ,即证 , , 设 , , 时 , 在 上单调递增,即 在 上单调递增, 设 ,则 , 由于 在 上单调递增, ,所以 ,即 ,故 在 上单调递增, 又 ,所以 时, , 所以 ,即 , 因此 恒成立,所以原不等式成立,得证. 【点睛】思路点睛:对新定义的题型要注意一下几点: (1)读懂定义所给的主要信息筛选出重要的关键点 (2)利用好定义所给的表达式以及相关的条件 (3)含有参数是要注意分类讨论的思想. 18.(2024·江西赣州·二模)给出以下三个材料: ①若函数 的导数为 , 的导数叫做 的二阶导数,记作 .类似地,二阶导数 的导数叫做 的三阶导数,记作 ,三阶导数 的导数叫做 的四阶导数…,一般地,n -1阶导数的导数叫做 的n阶导数,即 , ; ②若 ,定义 ;③若函数 在包含 的某个开区间 上具有n 阶的导数,那么对于 有 ,我们将 称为 函数 在点 处的n阶泰勒展开式.例如, 在点 处的n阶泰勒展开式为 .根据以上三段材料,完成下面的题目: (1)若 , 在点 处的3阶泰勒展开式分别为 , ,求出 , ;(2)比较(1)中 与 的大小; (3)证明: . 【答案】(1) , (2) (3)证明见解析 【分析】(1)利用n阶泰勒展开式的定义,求解 , ; (2)两函数作差,通过构造函数,利用导数求最值的方法比较大小; (3)借助泰勒展开式,利用导数得到函数单调性,证明不等式. 【解析】(1) ,则有 , , ∴ , , , ∴ 同理可得: . (2)由(1)知: , , 令 ,则 , ∴ ,∴ 在R上单调递增, 又 ,∴在 上 , 单调递减;在 上 , 单调递增, ∴ ,即 , 故 (3)令 ,则由(2)知, ,所以 在R上单调递增,又 , 所以当 时, , ; 当 时, , ; 当 时, , , ∴ 在点 处的4阶泰勒展开式为: , ∴ ,当且仅当x=0时取等号, ①当 时, ,当且仅当x=0时取等号, 所以 ②当 时,设 , , , , 若 ,由于 ,所以, , ,从而 若 , , 所以, 时, 单调递减,从而 ,即 . 综上: . 【点睛】方法点睛: “新定义运算”指的是使用新定义的运算方法求解数学问题,这些新定义的运算可以是像“阶乘”、“斐波那契数列”这样的经典运算,也可以是一些比较新奇的概念,要透彻理解新定义的本质,严格按照 新定义运算规则进行计算,与相关基础数学知识联系去解决问题. 19.(2024·江苏扬州·模拟预测)帕德近似是法国数学家帕德发明的用多项式近似特定函数的方法.给定 两个正整数m,n,函数 在 处的 阶帕德近似定义为: ,且满足: , , ,…, .注: , , , ,…已知 在 处的 阶帕德近似 为 . (1)求实数a,b的值; (2)当 时,试比较 与 的大小,并证明; (3)已知正项数列 满足: , ,求证: . 【答案】(1) , . (2) ,证明见解析 (3)证明见解析 【分析】(1)由帕德近似定义 , , ,直接求解; (2)由(1)求得 ,比较 与 的大小只需比较1与 的⼤⼩,令 ,求导找出单调性、最值即可证明; (3)结合题意知 ,令 ,结合(2)可得,构造数列,进而推出 , 另一方面 ,令 , 利用导数,即可证明结论. 【解析】(1)由题意得 , , ,故 , , 解得 , . (2)由上可得 ,要比较 与 的⼤⼩, ,只需比较1与 的⼤⼩, 令 , , 所以 ,从而可得 在 上单调递增, 所以 ,即 , 所以 . (3)设 , , 当 时, , 在 上单调递减, 当 时, , 在 上单调递增, 故 ,即 ,当且仅当 时等号成立;由题意知 ,令 , , 故该函数在 上递减, 故可得 ,即 ,可得 ; 一方面:由(2)可得 , 又因为 , 所以可得 ,即 ,即 , 即 , 故 , 即 ,所以 . 另一方面:要证明 , 两边同时除以 ,原式 令 , 由基本不等式, 故 ,所以 在 单调递增, 所以 ,得证. 【点睛】关键点睛:本题考查了导数新定义问题,解答的关键是要理解导数的新定义,并由此解决问题,难点在于(3)中的不等式证明,解答时要结合 进行放缩,并结合构造函数进行证明.