当前位置:首页>文档>特训04特例法、构造法解导数小题(八大题型)(解析版)_02高考数学_新高考复习资料_2025年新高考复习_2025年高考数学一轮复习《重难点题型与知识梳理•高分突破》(新高考专用)

特训04特例法、构造法解导数小题(八大题型)(解析版)_02高考数学_新高考复习资料_2025年新高考复习_2025年高考数学一轮复习《重难点题型与知识梳理•高分突破》(新高考专用)

  • 2026-04-16 19:36:15 2026-04-16 05:04:05

文档预览

特训04特例法、构造法解导数小题(八大题型)(解析版)_02高考数学_新高考复习资料_2025年新高考复习_2025年高考数学一轮复习《重难点题型与知识梳理•高分突破》(新高考专用)
特训04特例法、构造法解导数小题(八大题型)(解析版)_02高考数学_新高考复习资料_2025年新高考复习_2025年高考数学一轮复习《重难点题型与知识梳理•高分突破》(新高考专用)
特训04特例法、构造法解导数小题(八大题型)(解析版)_02高考数学_新高考复习资料_2025年新高考复习_2025年高考数学一轮复习《重难点题型与知识梳理•高分突破》(新高考专用)
特训04特例法、构造法解导数小题(八大题型)(解析版)_02高考数学_新高考复习资料_2025年新高考复习_2025年高考数学一轮复习《重难点题型与知识梳理•高分突破》(新高考专用)
特训04特例法、构造法解导数小题(八大题型)(解析版)_02高考数学_新高考复习资料_2025年新高考复习_2025年高考数学一轮复习《重难点题型与知识梳理•高分突破》(新高考专用)
特训04特例法、构造法解导数小题(八大题型)(解析版)_02高考数学_新高考复习资料_2025年新高考复习_2025年高考数学一轮复习《重难点题型与知识梳理•高分突破》(新高考专用)
特训04特例法、构造法解导数小题(八大题型)(解析版)_02高考数学_新高考复习资料_2025年新高考复习_2025年高考数学一轮复习《重难点题型与知识梳理•高分突破》(新高考专用)
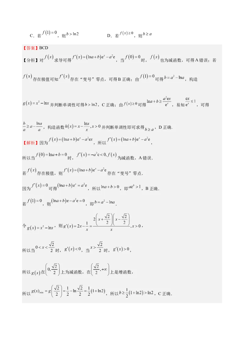
特训04特例法、构造法解导数小题(八大题型)(解析版)_02高考数学_新高考复习资料_2025年新高考复习_2025年高考数学一轮复习《重难点题型与知识梳理•高分突破》(新高考专用)
特训04特例法、构造法解导数小题(八大题型)(解析版)_02高考数学_新高考复习资料_2025年新高考复习_2025年高考数学一轮复习《重难点题型与知识梳理•高分突破》(新高考专用)
特训04特例法、构造法解导数小题(八大题型)(解析版)_02高考数学_新高考复习资料_2025年新高考复习_2025年高考数学一轮复习《重难点题型与知识梳理•高分突破》(新高考专用)
特训04特例法、构造法解导数小题(八大题型)(解析版)_02高考数学_新高考复习资料_2025年新高考复习_2025年高考数学一轮复习《重难点题型与知识梳理•高分突破》(新高考专用)
特训04特例法、构造法解导数小题(八大题型)(解析版)_02高考数学_新高考复习资料_2025年新高考复习_2025年高考数学一轮复习《重难点题型与知识梳理•高分突破》(新高考专用)
特训04特例法、构造法解导数小题(八大题型)(解析版)_02高考数学_新高考复习资料_2025年新高考复习_2025年高考数学一轮复习《重难点题型与知识梳理•高分突破》(新高考专用)
特训04特例法、构造法解导数小题(八大题型)(解析版)_02高考数学_新高考复习资料_2025年新高考复习_2025年高考数学一轮复习《重难点题型与知识梳理•高分突破》(新高考专用)
特训04特例法、构造法解导数小题(八大题型)(解析版)_02高考数学_新高考复习资料_2025年新高考复习_2025年高考数学一轮复习《重难点题型与知识梳理•高分突破》(新高考专用)
特训04特例法、构造法解导数小题(八大题型)(解析版)_02高考数学_新高考复习资料_2025年新高考复习_2025年高考数学一轮复习《重难点题型与知识梳理•高分突破》(新高考专用)
特训04特例法、构造法解导数小题(八大题型)(解析版)_02高考数学_新高考复习资料_2025年新高考复习_2025年高考数学一轮复习《重难点题型与知识梳理•高分突破》(新高考专用)
特训04特例法、构造法解导数小题(八大题型)(解析版)_02高考数学_新高考复习资料_2025年新高考复习_2025年高考数学一轮复习《重难点题型与知识梳理•高分突破》(新高考专用)
特训04特例法、构造法解导数小题(八大题型)(解析版)_02高考数学_新高考复习资料_2025年新高考复习_2025年高考数学一轮复习《重难点题型与知识梳理•高分突破》(新高考专用)
特训04特例法、构造法解导数小题(八大题型)(解析版)_02高考数学_新高考复习资料_2025年新高考复习_2025年高考数学一轮复习《重难点题型与知识梳理•高分突破》(新高考专用)
特训04特例法、构造法解导数小题(八大题型)(解析版)_02高考数学_新高考复习资料_2025年新高考复习_2025年高考数学一轮复习《重难点题型与知识梳理•高分突破》(新高考专用)
特训04特例法、构造法解导数小题(八大题型)(解析版)_02高考数学_新高考复习资料_2025年新高考复习_2025年高考数学一轮复习《重难点题型与知识梳理•高分突破》(新高考专用)
特训04特例法、构造法解导数小题(八大题型)(解析版)_02高考数学_新高考复习资料_2025年新高考复习_2025年高考数学一轮复习《重难点题型与知识梳理•高分突破》(新高考专用)
特训04特例法、构造法解导数小题(八大题型)(解析版)_02高考数学_新高考复习资料_2025年新高考复习_2025年高考数学一轮复习《重难点题型与知识梳理•高分突破》(新高考专用)
特训04特例法、构造法解导数小题(八大题型)(解析版)_02高考数学_新高考复习资料_2025年新高考复习_2025年高考数学一轮复习《重难点题型与知识梳理•高分突破》(新高考专用)
特训04特例法、构造法解导数小题(八大题型)(解析版)_02高考数学_新高考复习资料_2025年新高考复习_2025年高考数学一轮复习《重难点题型与知识梳理•高分突破》(新高考专用)
特训04特例法、构造法解导数小题(八大题型)(解析版)_02高考数学_新高考复习资料_2025年新高考复习_2025年高考数学一轮复习《重难点题型与知识梳理•高分突破》(新高考专用)
特训04特例法、构造法解导数小题(八大题型)(解析版)_02高考数学_新高考复习资料_2025年新高考复习_2025年高考数学一轮复习《重难点题型与知识梳理•高分突破》(新高考专用)
特训04特例法、构造法解导数小题(八大题型)(解析版)_02高考数学_新高考复习资料_2025年新高考复习_2025年高考数学一轮复习《重难点题型与知识梳理•高分突破》(新高考专用)
特训04特例法、构造法解导数小题(八大题型)(解析版)_02高考数学_新高考复习资料_2025年新高考复习_2025年高考数学一轮复习《重难点题型与知识梳理•高分突破》(新高考专用)
特训04特例法、构造法解导数小题(八大题型)(解析版)_02高考数学_新高考复习资料_2025年新高考复习_2025年高考数学一轮复习《重难点题型与知识梳理•高分突破》(新高考专用)
特训04特例法、构造法解导数小题(八大题型)(解析版)_02高考数学_新高考复习资料_2025年新高考复习_2025年高考数学一轮复习《重难点题型与知识梳理•高分突破》(新高考专用)
特训04特例法、构造法解导数小题(八大题型)(解析版)_02高考数学_新高考复习资料_2025年新高考复习_2025年高考数学一轮复习《重难点题型与知识梳理•高分突破》(新高考专用)
特训04特例法、构造法解导数小题(八大题型)(解析版)_02高考数学_新高考复习资料_2025年新高考复习_2025年高考数学一轮复习《重难点题型与知识梳理•高分突破》(新高考专用)
特训04特例法、构造法解导数小题(八大题型)(解析版)_02高考数学_新高考复习资料_2025年新高考复习_2025年高考数学一轮复习《重难点题型与知识梳理•高分突破》(新高考专用)
特训04特例法、构造法解导数小题(八大题型)(解析版)_02高考数学_新高考复习资料_2025年新高考复习_2025年高考数学一轮复习《重难点题型与知识梳理•高分突破》(新高考专用)
特训04特例法、构造法解导数小题(八大题型)(解析版)_02高考数学_新高考复习资料_2025年新高考复习_2025年高考数学一轮复习《重难点题型与知识梳理•高分突破》(新高考专用)
特训04特例法、构造法解导数小题(八大题型)(解析版)_02高考数学_新高考复习资料_2025年新高考复习_2025年高考数学一轮复习《重难点题型与知识梳理•高分突破》(新高考专用)
特训04特例法、构造法解导数小题(八大题型)(解析版)_02高考数学_新高考复习资料_2025年新高考复习_2025年高考数学一轮复习《重难点题型与知识梳理•高分突破》(新高考专用)
特训04特例法、构造法解导数小题(八大题型)(解析版)_02高考数学_新高考复习资料_2025年新高考复习_2025年高考数学一轮复习《重难点题型与知识梳理•高分突破》(新高考专用)
特训04特例法、构造法解导数小题(八大题型)(解析版)_02高考数学_新高考复习资料_2025年新高考复习_2025年高考数学一轮复习《重难点题型与知识梳理•高分突破》(新高考专用)
特训04特例法、构造法解导数小题(八大题型)(解析版)_02高考数学_新高考复习资料_2025年新高考复习_2025年高考数学一轮复习《重难点题型与知识梳理•高分突破》(新高考专用)
特训04特例法、构造法解导数小题(八大题型)(解析版)_02高考数学_新高考复习资料_2025年新高考复习_2025年高考数学一轮复习《重难点题型与知识梳理•高分突破》(新高考专用)
特训04特例法、构造法解导数小题(八大题型)(解析版)_02高考数学_新高考复习资料_2025年新高考复习_2025年高考数学一轮复习《重难点题型与知识梳理•高分突破》(新高考专用)
特训04特例法、构造法解导数小题(八大题型)(解析版)_02高考数学_新高考复习资料_2025年新高考复习_2025年高考数学一轮复习《重难点题型与知识梳理•高分突破》(新高考专用)
特训04特例法、构造法解导数小题(八大题型)(解析版)_02高考数学_新高考复习资料_2025年新高考复习_2025年高考数学一轮复习《重难点题型与知识梳理•高分突破》(新高考专用)
特训04特例法、构造法解导数小题(八大题型)(解析版)_02高考数学_新高考复习资料_2025年新高考复习_2025年高考数学一轮复习《重难点题型与知识梳理•高分突破》(新高考专用)
特训04特例法、构造法解导数小题(八大题型)(解析版)_02高考数学_新高考复习资料_2025年新高考复习_2025年高考数学一轮复习《重难点题型与知识梳理•高分突破》(新高考专用)
特训04特例法、构造法解导数小题(八大题型)(解析版)_02高考数学_新高考复习资料_2025年新高考复习_2025年高考数学一轮复习《重难点题型与知识梳理•高分突破》(新高考专用)

文档信息

文档格式
docx
文档大小
2.873 MB
文档页数
45 页
上传时间
2026-04-16 05:04:05

文档内容

特训 04 特例法、构造法解导数小题(八大题型) 例1 已知函数f(x)是定义在R上的偶函数,设函数f(x)的导函数为f'(x), 若对任意x>0都有 2f(x)+xf'(x)>0成立,则( ) . A.4f(-2)<9f(3) B.4f(-2)>9f(3) C.2f(3)>3f(-2) D.3f(-3)<2f(-2) 一般解法:(构造法)令g(x)=x²f(x), 其导函数g'(x)=2xf(x)+x²f(x). 当x>0时,g(x)=x[2f(x)+xf'(x)]>0, 即函数g(x)在(0,+x)上单调递增. ∵函数f(x) 是定义在R上的偶函数, :f(-x)=f(x),∴g(-x)=(-x)}f(-x)=x}f(x)=g(x),即函数g(x)为偶函数, ∴g(-2)=g(2), 而g(2)f(x)- 1,f(1)=2018,则不等式 f(x)>2017ex-1+1的解集是________. . 一般解法:(构造法)构造F(x)= 特例法:令f(x)=2018ex-1 答案:(1,+∞) 目录:01 :抽象函数—比较大小问题 02 :抽象函数—利用导数解不等式 03 :抽象函数—求参数范围 04 :恒成立、存在性、有解问题 构造法解决导数问题 05 :最值问题 06 :零点、方程的根问题 07 :其他问题 08:分段函数 01 :抽象函数—比较大小问题 1.已知定义在 上的函数 的导数为 ,若 ,且 ,则下列式子中一定成 立的是( ) A. B. C. D. 【答案】C 【分析】设 ,得到 ,得到 在 上单调递增,再由 ,得到 , 结合选项,逐项判定,即可求解. 【解析】因为当 时, ,可得 , 令 ,可得 ,所以 在 上单调递增, 因为 ,可得 , 对于A中,由 ,即 ,所以 ,所以A不正确;对于B中,由 ,即 ,所以 ,所以B不正确; 对于C中,由 ,即 ,所以 ,所以C正确; 对于D中,由 ,即 ,所以 ,所以D不正确. 故选:C. 2.已知函数 在 上可导,其导函数为 ,若 满足: , ,则下列判断正确的是( ) A. B. C. D. 【答案】C 【分析】根据题意令 ,利用导数及题干所给条件求得 的单调性,利用函数的对称性,可 得 ,对其进行比较即可判断各选项. 【解析】令 ,则 , 函数 满足 , 当 时 在 上单调递增, 当 时 在 上单调递减, 又由 , 即函数 的图象关于 对称,从而 , 对于A, , , ,A错误;对于B, , , ,B错误; 对于C, , , ,C正确; 对于D, , , ,D错误. 故选:C 【点睛】关键点点睛:解决本题的关键是构造函数 ,利用导数法研究函数的单调性,结合函 数的对称性即可. 02 :抽象函数—利用导数解不等式 3.已知函数 的定义域为 ,且 ,对任意 , ,则不等式 的解集是( ) A. B. C. D. 【答案】A 【分析】设 ,由 恒成立, 在 上单调递减,由 可得 ,由单调性解不等式即可. 【解析】设 ,则 , 对任意 , , 恒成立,即 在 上单调递减, 由 可得 , ,解得 ,即解集为 . 故选:A 4.若函数 的定义域为 ,满足 , ,都有 ,则关于 的不等式 的解集为( )A. B. C. D. 【答案】D 【分析】本题为构造函数类型题,根据已知条件 结构特征可知 该部分是某 个函数的导函数变形所得,由问题中的不等式 提示可得到该函数为 ,再结 合函数的单调性情况即可进一步求解出答案. 【解析】因为 ,所以 , , 所以构造函数 ,则 , 所以 在 上单调递增,因为 ,所以 , 所以不等式 , 因为 在 上单调递增,所以 ,所以不等式的解集为 , 故选:D. 5.已知定义在R上的奇函数 满足 ,且当 时 ,则不等式 在 上的解集为 . 【答案】 【分析】先得出 的周期以及对称轴,再利用导数证明 在 上恒成立,通过对称性画出 函数 和 在 上的简图,由图象得出解集. 【解析】因为 为定义在R上的奇函数,则 ,且 , 所以 , 则 ,所以函数 为周期为4的函数,且图像关于 对称. 令 , , 则 , 所以函数 在 上单调递增, 所以当 时, ,即 . 设 , , 则 , 所以函数 在 上单调递减, 则当 时, ,即 , 所以 在 上恒成立, 结合对称性可画出函数 和 在 上的简图,如下图所示: 由图象可知,不等式 在 上的解集为 . 故答案为: . 【点睛】关键点睛:本题关键在于利用导数证明 在 上恒成立,进而结合图象进行求解. 6.设函数 在 上的导函数为 ,已知 , ,则不等式的解集是 . 【答案】 【分析】利用求导法则构造新函数,解出 代入不等式,运算即可得解. 【解析】解:由题意得 , ∴ ,令 , 则 , ∵ ,∴ ∴ , ∴ , 则有 ,解得 , 所以,所求解集为 . 【点睛】本题考查函数的导数的应用和一元二次不等式的解法,关键在于恰当构造函数.构造函数的主要思 路有: (1)条件中出现 和 时,适当转换后考虑根据商的求导法则令 ; (2)条件中出现 和 时,适当转换后考虑根据积的求导法则令 . 7.已知函数 是定义在 上的偶函数,其导函数为 ,且当 时, ,则不等 式 的解集为 . 【答案】 【分析】构造函数 ,由已知得出 为偶函数,且在 上是增函数,在 上为减函数,将 转化为 求解即可. 【解析】令 ,则 , 当 时, , 所以当 时, , 即 在 上是增函数,由题意 是定义在 上的偶函数, 所以 ,又 , 所以 是偶函数,所以 在 上递减, 所以 , 即不等式等价为 , 所以 ,所以 . 故答案为: . 8.已知 为定义域 上函数 的导函数,且 , , 且 ,则不等式 的解集为 . 【答案】 【分析】根据导数的对称性求得原函数的对称性,构造函数,通过不等式可得新函数导数与零的大小,可 得其单调性,解得答案. 【解析】由 ,整理可得 ,则函数 关于成中心对称, 所以 关于直线 成轴对称,当 时, ,由 ,则 , 由函数 的导数为 , 则函数 在 上单调递增,易知在 上单调递减, 当 时, ;当 时, , 所以不等式 的解集为 , 故答案为: . 【点睛】本题的接解题关键在于根据已知等式得到函数的对称性,利用构造函数的思想解题. 03 :抽象函数—求参数范围 9.设定义域为 的偶函数 的导函数为 ,若 也为偶函数,且 ,则实数 的取值范围是( ) A. B. C. D. 【答案】A 【分析】先令 ,判断 的单调性及奇偶性,由已知结合函数的单调性及奇偶性即可求 解不等式. 【解析】因为 为偶函数, 所以 ,所以 , 令 , 因为 为偶函数,则 ,即 , 即 , 所以 , 当 时, ,即 在 上单调递减,则 在 上单调递增, 由 ,即 , 所以 ,即 ,解得 或 , 即实数 的取值范围是 . 故选:A. 【点睛】关键点点睛:本题解答的关键是令 ,从而推导出 ,即可得到函数的 单调性. 10.已知函数 在 上连续且存在导函数 ,对任意实数 满足 ,当 时, .若 ,则 的取值范围是 . 【答案】 【分析】首先变形等式,并构造函数 ,并判断函数的对称性和单调性,将不等式变形为 ,利用函数的性质,即可求解不等式. 【解析】由 ,可得 . 令 ,则 , ,所以 的图象关于直线 对称. 当 时, ,所以 , 又 在 上连续,所以 在 上单调递增,且在 上单调递减,由 ,可得 ,即 , 所以 ,解得 . 故答案为: 【点睛】关键点点睛:本题的关键是根据条件构造函数 ,利用函数 的性质,求解不等式. 04 :恒成立、存在性、有解问题 11.已知定义在 上的单调递增函数 满足 恒成立,其中 是函数 的导函数.若 ,则实数 的取值范围为( ) A. B. C. D. 【答案】D 【分析】由题意可得 ,构造函数 ,讨论函数 的单调性,将 转化为 ,结合单调性解不等式即可求解. 【解析】由题意知, 在 上单调递增,则 , 不等式 恒成立转化为 ,即 , 设 ,则 , 所以 在 上单调递减,则 , 由 ,得 , 即 ,所以 ,解得 , 即实数m的取值范围为 . 故选:D12.设函数 ,则函数 的最小值为 ;若对任意 ,存在 不等式 恒成立,则正数 的取值范围是 . 【答案】 【分析】利用导数研究函数单调性,求最小值;令 , ,问题转 化为 ,利用导数和基本不等式求两个函数最小值即可. 【解析】 的导数为 , 则 时, , 单调递减; 时, , 单调递增, 可得 在 处取得极小值,且为最小值 ; 令 , , 又对任意 ,存在 , 有 恒成立,即 恒成立,即 ; 时, ,当且仅当 时取得最小值2, , , 则 时, , 单调递减; 时, , 单调递增, 可得 在 处取得极小值,且为最小值 ;所以 ,由 ,可得 . 所以 的取值范围是 . 【点睛】方法点睛: 不等式恒成立问题,构造一个适当的函数,利用它的单调性进行解题,是一种常用技巧.许多问题,如果运 用这种思想去解决,往往能获得简洁明快的思路,有着非凡的功效. 13.已知 ,对任意的 ,不等式 恒成立,则 的取值范围为( ) A. B. C. D. 【答案】B 【分析】对已知不等式进行变形,通过构造函数法,利用导数的性质、参变量分离法进行求解即可. 【解析】由题意 ,不等式即 ,进而转化为 , 令 ,则 , 当 时, ,所以 在 上单调递增. 则不等式等价于 恒成立. 因为 ,所以 , 所以 对任意 恒成立,即 恒成立. 设 ,可得 , 当 单调递增,当 单调递减. 所以 有最大值 ,于是 ,解得 . 故选:B 【点睛】方法点睛:将已知条件转化为 ,通过构造函数 ,进而利用导数得到,进而计算求得结果. 14.若关于 的不等式 在 内有解,则正实数 的取值范围是( ) A. B. C. D. 【答案】A 【分析】将由不等式转化为 ,令 ,得到 ,令函数 ,问题转化为存在 ,使得 ,利用导数求得函数 的单调性, 结合 ,得到 且 ,即可求解. 【解析】由不等式 ,即 , 令 ,即有 , 又由 ,所以函数 在 上单调递增, 因为 ,所以 , 令 ,问题转化为存在 ,使得 , 因为 ,令 ,可得 ;令 ,得 , 所以 在 上单调递增,在 上单调递减, 又因为 ,所以当 时, ,若存在 ,使得 成立,只需 且 , 解得 ,因为 ,所以 . 故选:A. 【点睛】方法技巧:已知函数零点(方程根)的个数,求参数的取值范围问题的三种常用方法: 1、直接法,直接根据题设条件构建关于参数的不等式(组),再通过解不等式(组)确定参数的取值范 围; 2、分离参数法,先分离参数,将问题转化成求函数值域问题加以解决; 3、数形结合法,先对解析式变形,在同一平面直角坐标系中作出函数的图象,然后数形结合求解. 结论拓展:与 和 相关的常见同构模型 ① ,构造函数 或 ; ② ,构造函数 或 ; ③ ,构造函数 或 . 15.已知函数 在 上存在单调递减区间,则实数 的取值范围为( ) A. B. C. D. 【答案】D 【分析】根据题意,转化为 在 上有解,得到 在 上有解,令 ,利用导数求得函数的单调性与最大值,即可求解. 【解析】因为函数 ,可得 ,因为函数 在 上存在单调递减区间, 可得 在 上有解, 即 在 上有解, 令 ,则 ,且 , 当 时, ,所以 ; 当 时, ,所以 , 所以 在 上单调递增,在 上单调递减,故 ,所以 . 故选:D. 【点睛】结论点睛:“恒成立问题”与“有解问题”在等价转化上的区别: 恒成立问题 有解问题 ① 恒成立 ; 恒成立 ① 有解 ; . 有解 . ② 恒成立 ; ② 有解 ; 恒成立 . 有解 . ③ 恒成立 ③ 有解 ; ; 恒成立 有解 . . ④ ,使得 ④ . .16.已知函数 及其导函数 的定义域均为 ,且 恒成立, ,则不等 式 的解集为( ) A. B. C. D. 【答案】A 【分析】构造函数 ,由导数求得函数单调性,利用单调性解不等式. 【解析】由 ,有 , 令 ,则 ,所以 在区间 上单调递增. 又 ,得 ,所以 , 所以 ,解得 . 故选:A 【点睛】关键点点睛: 本题关键点在于利用导数运算法则构造函数,令 ,由导数证明单调递增,不等式 变形为 ,利用单调性解即可. 17.已知函数 的定义域为 ,导函数为 ,不等式 恒成 立,且 ,则不等式 的解集为( ) A. B. C. D. 【答案】A 【分析】设 , ,则由题意可知 ,设 , ,则有 ,不等式等价于 ,利用单调性求解即可.【解析】设 , ,不等式 恒成立,可知 , 设 , ,则 , , 且 , 于是 在 上单调递增,注意到 , 不等式 ,等价于 , 即 ,得 ,解出 . 故选:A. 【点睛】方法点睛:证明不等式,构造一个适当的函数,利用它的单调性进行解题,是一种常用技巧.许多 问题,如果运用这种思想去解决,往往能获得简洁明快的思路,有着非凡的功效. 05 :最值问题 18.已知函数 , ,若 ,则 的最大值是( ) A. B.0 C. D. 【答案】B 【分析】先求得 的表达式,再构造函数,并利用导数求得其最大值,进而求得 的最大值 【解析】设 ,则有 ,解之得 , ,解之得 ,则有 令 ,则 令 ,则 恒成立, 则 时, 单调递减,又 , 则 时, , , 单调递增, 时, , , 单调递减,则 ,则 的最大值为0. 故 的最大值是0. 故选:B 19.若对任意的 ,且 ,都有 ,则 的最小值是( ) A. B. C. D. 【答案】B 【分析】将 变形为 ,构造函数 ,可判断 在 上单调递减,进而利用导数求出 的递减区间,列出不等式,即可得答案. 【解析】由题意知 ,且 , 故 ,即 , 故 ,令 ,则 在 上单调递减, 又 , 当 时, , 在 上单调递增, 当 时, , 在 上单调递减, 故 ,则 , 即 的最小值是 , 故选:B 06 :零点、方程的根问题20.若函数 在 上没有零点,则实数 的取值范围为( ) A. B. C. D. 【答案】D 【分析】 在 上没有零点,即 上 ,则 ,构造函数 ,利用导数研究 的值域即可得出结果. 【解析】 , 因为 在 上没有零点,所以在 上 , 时, , 时, 即可,令 , 且 , , 所以 时, 或 , 所以 时, , 单调递增, 且 ,时, , 单调递减, 时, , 单调递增, , , 时, .所以 的值域为 , 因为 ,所以实数 的取值范围为 . 故选:D 21.若方程 在 上有实根,则a的取值范围是( ) A. B. C. D. 【答案】C 【分析】根据题意,化简得到 ,设 ,得到 ,求得 ,得到 为增函数,转化为方程 在 上有实根,设 , 利用导数求得函数 的单调性,结合 ,进而求得 的范围. 【解析】由 ,可得 ,即 , 因为 ,可得 ,所以 ,其中 , 设 ,则 , 又因为 ,所以 在 上为增函数,所以 ,即 , 所以问题转化为方程 在 上有实根, 设 ( ),则 ,所以 在 上是减函数, 所以 ,解得 . 故选:C. 【点睛】关键点睛:解本题的关键是通过函数 的单调性,把 在 上有实根转化 为 在 上有实根,对于既含有指数式又含有对数式的等式或不等式,直接求导会出现越求导 式子越复杂的情况,此时可通过同构函数,再利用函数的单调性,把问题转化为较为简单的函数的导数问 题. 07 :其他问题 22.不等式 的解集为( ) A. B. C. D. 【答案】B 【分析】不等式等价于 ,构造函数 ,求导,确定 单调性,利用单调性解不等式即可. 【解析】由 , 即 ,得 , 设 ,则 ,所以 在 上单调递减, 故由 得 ,所以 ,解得 . 故选:B. 【点睛】方法点睛:同构法解不等式 将不等式两边整理为结构相同的形式,由此构造新函数,本题中将不等式整理为 ,从而构造函数 ,不等式化为 ,由 的单调性解不等式. 23.已知 ,则 的大小关系是( ) A. B. C. D. 【答案】C 【分析】构造函数 ,求导可得 在 上单调递增,即可得 ,从 而得出 大小,构造函数 ,求导可得 在 上单调递增,即可得 ,从而得出 大小,即可得结论. 【解析】解:设 , ,所以 , ,所以 单调递增, 则 , 所以 ,则 ; , , 当 时, ,所以 在 上单调递增,所以 , 所以 ,故 ,故 . 故选:C. 08:分段函数 24.已知函数 ,若方程 有且仅有两不等实根,则实数a的取值范围是 . 【答案】 【分析】由题意,构造函数 ,方程 有且仅有两不等实根,即直线 与函数 的图象有两个交点,作出函数的图象,根据交点的情况得到答案. 【解析】当 时,方程 可化为 ,即 , 当 时,方程 可化为 ,即 , 令 ,方程 有且仅有两不等实根,即直线 与函数 的图象 有两个交点, 当 时, , , 当 时, , 单调递增;当 时, , 单调递减;当 时, 取 极小值-2. 当 时, , , 当 时, , 单调递减;当 时, , 单调递增;当 时, 取极小 值-2.根据以上信息,作出 的图象如图, 由图可知,当 或 时,直线 与函数 的图象有两个交点,即方程 有 且仅有两不等实根. 故答案为: . 25.已知函数 ,则 的零点为 ,若 ,且 ,则 的取值范围是 . 【答案】 【分析】根据分段函数以及零点的定义,令 即可解得函数的零点;由 可知 在1 的左右两侧,分别代入计算得出 的关系式,将 消元之后构造函数即可求得其取值范围. 【解析】令 , 即 ,解得 不合题意,舍去; 或 ,解得 ,符合题意; 所以,函数 的零点为 . 由 ,且 可知,当 时, ,不合题意; 当 时, ,不合题意; 所以, 分别属于两个区间,不妨取 , 则 ,即 ; 所以, 则 , 令 ,所以 令 ,得 , 当 时, ,即函数 在 上为单调递减; 当 时, ,即函数 在 上为单调递增; 所以函数 在 时取最小值, 即 ,即 所以 的取值范围是 . 故答案为: ; 【点睛】方法点睛:本题在求解 的取值范围时首先应确定两个变量的取值范围,根据等量关系将双 变量问题消元,转换成单变量问题后构造函数,利用自变量取值范围即可求得结果. 26.已知函数 ,点 是函数 图象上不同的两个点,设 为坐标原点,则 的取值范围是 . 【答案】【分析】设切点坐标为 ,求得切线方程为 ,将原点代入该 切线方程求得 ,构造函数 ,利用导数求得函数 的单调性,得到切线方程为 ,再设过原点的切线为 ,联立方程组,结合 ,求得切线为 ,设直线 与 的夹角为 ,结合 ,即可求解. 【解析】当 时, ,可得 ,所以 在 上单调递增, 当 时, ,作出函数 的大致图象,如图所示, 设过原点的直线与函数 的图象相切的直线方程为 , 其中切点坐标为 ,则切线方程为 , 将原点代入该切线方程可得 ,即 , 构造函数 ,其中 ,则 , 所以函数 在 上单调递减,且 , 可得 ,所以 ,切线方程为 , 又由函数 ,设过原点的切线方程为 , 联立方程组 ,整理得 , 令 ,解得 或 (舍去),即切线方程为 设直线 与 的夹角为 ,直线 的倾斜角为 ,则 ,可得 , 结合图象可知,当 均在 的图象上时, ,可得 ,所以 . 故答案为: . 【点睛】 方法技巧:已知函数零点(方程根)的个数,求参数的取值范围问题的三种常用方法: 1、直接法,直接根据题设条件构建关于参数的不等式(组),再通过解不等式(组)确定参数的取值范 围2、分离参数法,先分离参数,将问题转化成求函数值域问题加以解决; 3、数形结合法,先对解析式变形,在同一平面直角坐标系中作出函数的图象,然后数形结合求解. 结论拓展:与 和 相关的常见同构模型 ① ,构造函数 或 ; ② ,构造函数 或 ; ③ ,构造函数 或 . 一、单选题 1.(2024·辽宁·模拟预测)已知a, ,若 , ,则b的可能值为( ) A.2.5 B.3.5 C.4.5 D.6 【答案】B【分析】构造函数 ,求导确定其单调性,结合 可得答案. 【解析】由 得 ,设 ,则 , 又 , 当 时, , 单调递增, 当 时, , 单调递减. 因为 ,所以 . 结合选项可知B正确,ACD错误. 故选:B. 2.(2024·广东深圳·模拟预测)已知函数 ,若 恒成立,则正实数 的取值 范围是( ) A. B. C. D. 【答案】C 【分析】分离参数 ,整理为 ,构造函数 ,单调递增,得 到 ,再构造 ,进而得到 ,从而 . 【解析】 , ,且 , 两边加上 得 , 设 ,则 ,所以 单调递增, ,即 , 令 则 , 的定义域是 ,当 时, , 单调递增,当 时, , 单调递减, 当 时, 取得极大值即为最大值, , , . 故选:C. 【点睛】方法点睛:将等式两边整理为结构相同的形式,由此构造新函数,本题中将 整理为 ,从而构造函数 求解. 3.(2024·河南·模拟预测)已知 ,对任意的 ,不等式 恒成立,则实数 的取 值范围为( ) A. B. C. D. 【答案】B 【分析】根据题意,转化为 恒成立,令 ,利用导数求得 为单调递增函数, 得到 恒成立,进而转化为 恒成立,构造函数 ,利用导数求得 单调 性和最小值,即可求解. 【解析】因为 ,所以整理不等式 , 可得 ,转化为 恒成立, 令 ,则 , 因为 ,所以 在 上单调递增,所以 恒成立, 又因为 ,所以 ,所以 对任意的 恒成立,即 恒成立, 构造函数 ,则 , 当 时, , 单调递增;当 时, , 单调递减, 所以,当 时, ,所以 ,即 . 故选:B. 【点睛】方法点睛:对于利用导数研究不等式的恒成立与有解问题的求解策略: 1、合理转化,根据题意转化为两个函数的最值之间的比较,列出不等式关系式求解; 2、构造新函数,利用导数研究函数的单调性,求出最值,从而求出参数的取值范围; 3、利用可分离变量,构造新函数,直接把问题转化为函数的最值问题. 4、根据恒成立或有解求解参数的取值时,一般涉及分离参数法,但压轴试题中很少碰到分离参数后构造 的新函数能直接求出最值点的情况,进行求解,若参变分离不易求解问题,就要考虑利用分类讨论法和放 缩法,注意恒成立与存在性问题的区别. 4.(2024·广东广州·模拟预测)已知定义在 上的函数 的导函数为 ,且 .对于 任意的实数 ,均有 成立,若 ,则不等式 的解集为( ) A. B. C. D. 【答案】D 【分析】构造函数 ,然后由已知可得 的单调性,最后将不等式转化为 ,即可得到答案. 【解析】 ,令 , 则 ,则 在 上单调递增.由 , 为奇函数,得 ,则 , 从而原不等式 可化为 ,即 ,此即为 . 由于 在 上单调递增,故这等价于 ,所以不等式的解集为 . 故选:D. 【点睛】关键点点睛:本题的关键点在于构造新的函数并利用已知条件. 5.(2024·河北衡水·模拟预测)已知函数 有两个零点 ,且 ,则下列命题正确 的是( ) A. B. C. D. 【答案】D 【分析】根据零点可将问题转化为 ,构造 ,求导即可根据函数的单调性得函数的大 致图象,即可根据图象求解A,根据极值点偏移,构造函数 ,结合函数的单调性即 可求解B,根据 可得 ,即可求解C,根据不等式的性质即可求解D. 【解析】由 可得 ,令 ,其中 , 则直线 与函数 的图象有两个交点, , 由 可得 ,即函数 的单调递增区间为 , 由 可得 ,即函数 的单调递减区间为 , 且当 时, ,当 时, , , 如下图所示:由图可知,当 时,直线 与函数 的图象有两个交点,故A错误; 由图可知, , 因为 ,由 可得 ,由 可得 , 所以,函数 的增区间为 ,减区间为 ,则必有 , 所以, ,则 , 令 ,其中 , 则 ,则函数 在 上单调递减, 所以, ,即 ,即 , 又 ,可得 , 因为函数 的单调递减区间为 ,则 ,即 ,故B错误; 由 ,两式相加整理可得 , 所以, ,可得 ,故C错误; 由图可知 ,则 ,又因为 ,所以, ,故D正确.故选:D. 【点睛】方法点睛:利用导数证明或判定不等式问题: 1.通常要构造新函数,利用导数研究函数的单调性与极值(最值),从而得出不等关系; 2.利用可分离变量,构造新函数,直接把问题转化为函数的最值问题,从而判定不等关系; 3.适当放缩构造法:根据已知条件适当放缩或利用常见放缩结论,从而判定不等关系; 4.构造“形似”函数,变形再构造,对原不等式同解变形,根据相似结构构造辅助函数. 6.(2024·全国·模拟预测)已知函数 在 上恰有两个极值点,则实数a的取 值范围是( ) A. B. C. D. 【答案】D 【分析】函数 在 上恰有两个极值点, 在 上有两个变号零点,分离常数得 , 转化为两函数图象有两个不同的交点,利用数形结合思想进行求解;或直接求函数 的单调性,求图 象在 上与 轴有两个交点的条件. 【解析】解法一: 由题意可得 ,因为函数 在 上恰有两个极值点,所以 在 上有两个变号零点. 令 ,可得 ,令 , 则直线 与函数 , 的图象有两个不同的交点, , 当 时, ,所以 在 上单调递增,当 时, ,所以 在 上单调递减, 又 ,当x趋近于0时, 趋近于+∞,当x趋近于π时, 趋近于+∞, 所以可作出 的图象如图所示,数形结合可知 , 即实数a的取值范围是 , 故选:D. 解法二 由题意可得 .因为函数 在 上恰有两个极值点,所以 在 上 有两个变号零点. 当 时, 在 上恒成立,不符合题意. 当 时,令 ,则 , 当 时, , 单调递增,当 时, , 单调递减, 因为 , ,所以 ,则 ,即实数a的取值范围是 , 故选:D.【点睛】方法点睛: 导函数中常用的两种常用的转化方法:一是利用导数研究含参函数的单调性,常化为不等式恒成立问题. 注意分类讨论与数形结合思想的应用;二是函数的零点、不等式证明常转化为函数的单调性、极(最)值问 题处理,构造一个适当的函数,利用它的单调性进行解题,是一种常用技巧. 7.(2024·湖南邵阳·二模)已知函数 的定义域为 为 的导函数.若 ,且 在 上恒成立,则不等式 的解集为( ) A. B. C. D. 【答案】D 【分析】设 ,利用导数求得 在 上单调递减,把不等式转化为 ,即可求 解. 【解析】设函数 ,可得 , 所以函数 在 上单调递减, 由 ,可得 ,即 , 可得 ,所以 ,即不等式 的解集为 . 故选:D. 8.(2024·陕西商洛·模拟预测)已知函数 ,若对任意的 ,当 时,都 有 ,则实数 的取值范围为( ) A. B. C. D. 【答案】C 【分析】构造函数 ,求导,分离参数求最值即可.【解析】不等式 等价于 , 令 ,根据题意对任意的 , 当 时, ,所以函数 在 上单调递减, 所以 在 上恒成立, 即 在 上恒成立. 令 ,则 , 所以当 时, , 单调递增, 当 时, 单调递减.所以 ,所以 . 故选:C. 【点睛】结论点睛:对于恒成立问题,常用到以下两个结论: (1) 恒成立 ; (2) 恒成立 . 二、多选题 9.(2024·江西·二模)若 恒成立,则实数 的取值可以是( ) A.0 B. C. D. 【答案】ABD 【分析】分类讨论 的取值范围,构造函数,结合导函数与函数单调性、最值的关系即可求解. 【解析】由题知, , ①当 时, 在 恒成立, ②当 时,由 ,则 ,即 恒成立,设 ,则 ,令 得 , 所以当 时, ,则 在 单调递减, 当 时, ,则 在 单调递增, 所以 ,则 , 所以 ,即 满足题意; ③当 时,设 ,则 ,令 , , 当 时, ,则 在 单调递减, 当 时, ,则 在 单调递增, 所以 在 单调递增,且 , , 所以 ,使得 ; 当 时, ,即 ,设 , 则 ,所以 在 上单调递减, 所以当 时, ; 当 时, 即 ,设 , 则 ,设 , ,设 , 则 , 可知 在 内单调递增,所以 ,即 , 所以 , 所以 , 所以 在 上单调递增, 所以当 时, , 又因为当 时, , 所以当 时, ,解得 , 又 ,所以 , 综上, , 故选:ABD 【点睛】关键点点睛:当 时, ,使得 ,当 时,设 , 求得最小值 ;当 时,设 ,求得最小值 ,令 即可. 10.(2024·浙江·二模)设定义在R上的函数 的导函数为 ,若 ,均有 , 则( ) A. B. ( 为 的二阶导数) C. D. 是函数 的极大值点 【答案】AB 【分析】由 ,令 ,即可判断A;由已知得 ,即得函数 ,确定 ,从而可得 ,求导数,即可判断B;令 ,判断其单调性,即 可判断C;根据极值点与导数的关系可判断D. 【解析】由 , ,令 ,则 ,A正确; 当 时,由 得 ,故 , 即 ,则 (c为常数),则 , 满足该式,故 ,则 , 将 代入 中,得 , 即 ,而 ,故 , 则 , , , 故 ,B正确; 令 , ,故 在 上单调递增, 故 ,即 ,C错误; 由于 ,令 ,即得 , 令 ,即得 , 故 在 上单调递减,在 上单调递增, 故 是函数 的极小值点,D错误, 故选:AB 11.(2024·全国·模拟预测)已知函数 ,其中 为自然对数的底数,则( ) A.若 为减函数,则 B.若 存在极值,则C.若 ,则 D.若 ,则 【答案】BCD 【分析】对 求导可得 ,当 时, 也为减函数,可得A错误;若 存在极值可知 存在“变号”零点,可得B正确;由 可得 ,构造 并判断单调性可得 ,C正确;由 可得 ,易知 ,可得 ,构造函数 并判断单调性即可求得 ,D正确. 【解析】因为 ,所以 , 所以当 时, 为减函数,A错误. 若 存在极值,则 存在“变号”零点. 因为 可得 ,所以 ,即 ,B正确. 若 ,则 ,即 . 令 ,则 , 所以当 时, ,当 时, , 所以 在 上为减函数,在 上是增函数, 所以 ,所以 ,C正确.若 ,即 .由 ,得 ,即 , 所以 ,易知 ,所以 . 设 , . 设 ,所以 在 上单调递增, 结合 ,当 时, 在 上单调递减; 当 时, 在 上单调递增. 所以 ,所以 ,即 ,D正确. 故选:BCD. 【点睛】方法点睛:在求解参数取值范围时,往往根据已知条件得出变量之间的基本关系,通过构造函数 得出函数单调性即可求得参数取值范围. 三、填空题 12.(2024·陕西安康·模拟预测)已知实数 满足 ,则 【答案】2 【分析】由题意变形可得 ,构造函数 ,结合函数单调性可得 ,即可得 解. 【解析】由 ,则 ,即 ,由 ,则 , 即有 ,即 , 令 ,有 , 则 ,故 在 上单调递增,故 , 则 .故答案为: . 【点睛】关键点点睛:本题关键点在于得到 ,从而构造函数 ,结合单调性得到 . 13.(2024·四川凉山·三模)已知函数 的零点为 ,则 . 【答案】 【分析】先零点代入函数解析式得 ,构造函数 ,利用导数研究其单调性得 , 再根据 的单调性计算即可. 【解析】 为函数零点 , . 令 , 显然 时, , 时, , 在 上单调递减,在 上单调递增, , 令 , , 显然 时, ,即 在 上单调递增, 则 ,所以 . 故答案为: 【点睛】思路点睛:先将零点代入函数解析式通过同型构造得 ,之后判定函数 的单调性得出 ,再根据 的单调性计算即可. 14.(2024·吉林·二模)若实数 满足 ,则称 为函数 与 的“关联数”. 若 与 在实数集 上有且只有3个“关联数”,则实数 的取值范围为 . 【答案】 或 , 【分析】由题意可得 仅有3个解,即 仅有3个解,由此构造函数 ,利 用导数判断其单调性,结合函数奇偶性,可作出函数图象,进而将方程的解转化为函数图象的交点问题, 数形结合,列出不等式,即可求得答案. 【解析】由题意可知 与 在实数集 上有且只有3个“关联数”, 即 仅有3个解,即 仅有3个解, 显然不是该方程的解,则 ,即 仅有3个解, 设 ,定义域关于原点对称,且满足 。 即 为奇函数, 考虑 时的情况, , , 当 时, ,即 在 上单调递增, 当 时, ,即 在 上单调递减, 则函数极大值为 ,且当 时, ;当 时, ; 结合函数 为奇函数,即可作出函数 的图象如图示:由于 仅有3个解,故 与函数 的图象仅有3个交点, 结合图象可得 或 , 即 或 , 故答案为: 或 【点睛】方法点睛:根据题意将“关联数”转化为方程的解,进而将方程的解的问题转化为函数图象的交 点问题,结合方程的特征构造函数,利用导数判断其单调性,作出图象,数形结合,即可求解.