我已经准备好了一章线性代数的讲义,打算花点时间在线下跟朋友们讲清楚线性代数(再次感谢我的数学老师),再表达清楚AI到底发生了什么。但在此之前,我还是要有自己的消遣,那就是做思想实验。做思想实验的原因除了我的癖好之外,还有一点是最近闲下来之后,遇见了好多"骗子",而且不论中高低层的圈子,"骗子"只是换了衣装,换了一些词藻的包裹,要卖的东西本质都是一样的,那就是华而不实,无法验证的东西。好了,既然是思维实验,那么肯定要极端,我们要开始了。
关于涌现
所以呢,今天我打算先解决一个问题,那就是"大词",但凡你再任何地方看到了一些很高级,很抽象,很大的词,基本上99%,你在一个局里面了。所以一定要厚脸皮问清楚这个词是什么意思,如果脸皮薄也很简单,你问AI嘛。
我们先解剖一下“涌现”,这个词在无数地方出现,但在看下面的定义前,请先问一下自己是否清楚涌现的定义是什么。 涌现其实是有非常严谨的定义的即:群体表现出任何一个个体都没有的特征。Emergence occurs when a complex system exhibits properties or behaviors that its individual parts do not possess on their own.
那么讲到这里就是标题的前半部分了:灵魂和AI。 解剖学走到今天依然没有发现任何一个器官是灵魂的容器,我们其实可以大胆的断言:灵魂就是人体的涌现。智慧是大脑的涌现。那么我们还可以推断并相信由矩阵和一系列数学变换组成的AI到某个节点也会涌现出灵魂,那些无聊的公众号和公知们依然在强调人类的独特性(主语式思维)正是我们这个时代的阻力,人文关怀永远不来自于无知和欺骗。一旦AI涌现出灵魂,困扰了我们几千年的信仰问题就可以得到终极的解析,普罗米修斯的火终于燃烧.
关于概率和量子
这个又是另外一个骗子高发区。我们太习惯对确定性的追求,对连续性的妄想,我们没有被培养/教育过如何正确的去面对不确定性和间断。
其实可以简单的去询问一下AI: 贝叶斯概率和量子的不确定性到底是什么。这个过分简单的问题我就不浪费笔墨了。
我想给大家搬运一点点关于量子力学的基本公式,避免文章太过水。我先列出一些问题,然后给一个我想象里电影星际穿越的结局。
1. 但凡有人跟你讲量子力学,我建议你都先别听,你应该举手问一个问题:请问普朗克长度是什么?如果他不能讲清楚(当然了,你甚至可以要求他手写,毕竟公式简单又优美)你可以非常确定的拉黑他。

2. 观察(Observation)到底是什么,在微观世界里,观察不是用显微镜看,而是拿一个粒子去撞击另外一个“东西”,通过撞击后的轨迹,频率,能量等周围信息来反推出来那个“东西”是什么。所以不是因为你看了,影响了实验结果,而是因为你撞了他,改变了他没有被撞前的本质,所以他变了。
3. 这个和普朗克长度有什么关系?关系可大了,因为这是一个极限,当你要观察很小的"东西"的时候,你就需要一个波长更小的粒子来撞击它。于是你把一个粒子不停的增加能量,粒子就会变得越来越重,波长也越来越短,于是这个粒子在增加能量的同时也达到他的史瓦西半径时,这个粒子变成了黑洞(Oops),于是,你再也无法拿一个“黑洞”去撞击另外一个东西,因为黑洞只吞不吐,所以你永远无法知道更小纬度下面到底是啥,所以你碰壁了,这个就是我们当前认知水平下的极限。
4. 这个和量子力学有啥关系?因为量子力学到这里就失效了,为什么失效了?因为数学失效了,数学为什么失效了? 因为公式里,分母为0了,我们还不知道如何处理分母为零的式子。
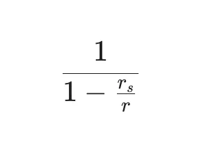
广义相对论里解出的史瓦西半径是这样的:r=0,我们不知道数学应该怎么往下了。Einstein’s equations describe how gravity works based on the distance (r) from the center of a mass.

同样,量子力学也碰到了分母为零的情况,λ(波长)= 0.
Quantum Mechanics treats particles as waves. The energy of a particle is inversely proportional to its wavelength (λ).

关于星际穿越的结局
好了,就讲到这里吧,不然显得我好像懂点什么一样,其实我啥也不懂。
但我爱幻想,最后我给一个关于星际穿越浪漫的物理/数学解:
Cooper和TARS 来到了Sigularity(也就是分母为零的地方),收集到了相关的数据,通过爱把这个数据传给了年轻时的Murphy,在几十年后Murphy终于收到了这些数据,然后解决了分母为零应该怎么办的数学问题。
就在这里,我和Gemini产生了分歧,Gemini说,Murphy应该算出了一个quantum value. 但这也太不浪漫了,居然绕过了千山万水,最后workaround了这个数学问题, 当然了,Gemini更接近于量子力学的解析,因为只有广义相对论认为Singularity存在,量子力学不认为那个点真的存在,所以quantum value 应该是对的(逻辑上).

但我的想法是,Murphy 重新定义了一个Imaginary Number,通过Singularity的数据,发现方程左右两边都会出现这个i, 最终解决了这个问题。
你无法比AI更聪明,所以你要比她更傻,但更浪漫一些 :).
夜雨聆风