一医疗业务概况
工作数量指标
指标名称 | 2017年*月 | 2016年*月 | 增减量 | 增减率 |
医疗收入(亿元) | ||||
总诊疗人次 | ||||
门急诊人次 | ||||
健康体检人次 | ||||
出院人数 | ||||
病房手术人次 |
工作质量指标
指标名称 | 2017年*月 | 2016年*月 | 增减率 |
平均住院日 | |||
床位使用率 | |||
门诊均次费用 | |||
住院均次费用 | |||
药品比例 |
二门急诊工作情况
1两院区门急诊工作指标
两院区门急诊量与去年同期对比
项目 | 2017年*月 | 2016年*月 | 增减量 | 增减率(%) | |
门 诊 量 | 总院 | ||||
分院 | |||||
全院 | |||||
急 诊 量 | 总院 | ||||
分院 | |||||
全院 | |||||
门急诊总量 | 总院 | ||||
分院 | |||||
全院 | |||||
健康 体检 | 总院 | ||||
分院 | |||||
全院 | |||||
总诊疗 人次 | 总院 | ||||
分院 | |||||
全院 |
备注:上表显示的“总诊疗人次”指门急诊总人次与健康体检人数之和。


两院区门诊均次费用与门诊药品比例
项目 | 2017年*月 | 2016年*月 | 增减量 | 增减率(%) | |
门诊均次费用 | 总院 | ||||
分院 | |||||
全院 | |||||
门诊药品比例 | 总院 | ||||
分院 | |||||
全院 |

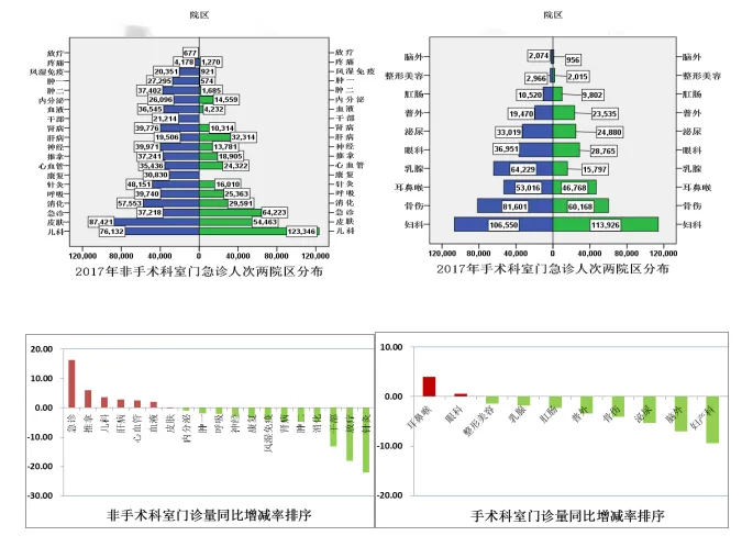
2各科室门急诊总量与去年同期对比
科室 | 2017年*月 | 2016年*月 | 增减率(%) | ||||||
总院 | 分院 | 合计 | 总院 | 分院 | 合计 | 总院 | 分院 | 合计 | |
全院 | 1463804 | 897891 | 2361695 | 1567792 | 817979 | 2385771 | -6.63 | 9.77 | -1.01 |
分院急诊 | 64223 | 64223 | 52166 | 52166 | 23.11 | 23.11 | |||
总院急诊 | 37218 | 37218 | 35103 | 35103 | 6.03 | 6.03 | |||
心理咨询 | 25257 | 4568 | 29825 | 21978 | 3685 | 25663 | 14.92 | 23.96 | 16.22 |
眼科 | 36951 | 28765 | 65716 | 39133 | 26216 | 65349 | -5.58 | 9.72 | 0.56 |
... | ... | ... | ... | ... | ... | ... | ... | ... | ... |
外科 | 23535 | 23535 | 23669 | 23669 | -0.57 | -0.57 |

3各科室门诊均次费用与去年同期对比
科室 | 2017年*月 | 2016年*月 | 增减率(%) | ||||||
总院 | 分院 | 全院 | 总院 | 分院 | 全院 | 总院 | 分院 | 全院 | |
肛肠 | |||||||||
眼科 | |||||||||
胃肠 | |||||||||
... | ... | ... | ... | ... | ... | ... | ... | ... | ... |
手术科室 | |||||||||
皮肤 | |||||||||
急诊 | |||||||||
ICU | |||||||||
... | ... | ... | ... | ... | ... | ... | ... | ... | ... |
非手术科室 | |||||||||
合计 |

4各科室门诊药品比例与去年同期对比
科室 | 2017年*月 | 2016年*月 | 增减率(%) | ||||||
总院 | 分院 | 全院 | 总院 | 分院 | 全院 | 总院 | 分院 | 全院 | |
肛肠 | |||||||||
眼科 | |||||||||
... | ... | ... | ... | ... | ... | ... | ... | ... | ... |
手术科室 | |||||||||
皮肤 | |||||||||
急诊 | |||||||||
ICU | |||||||||
血液 | |||||||||
消化 | |||||||||
放疗 | |||||||||
... | ... | ... | ... | ... | ... | ... | ... | ... | ... |
非手术科室 | |||||||||
合计 |

三 住院工作情况
1两院区住院工作指标
项目 | 2017年*月 | 2016年*月 | 增减量 | 增减率(%) | |
出院 人数 | 总院 | ||||
分院 | |||||
全院 | |||||
住院均次费用 | 总院 | ||||
分院 | |||||
全院 | |||||
住院药品比例 | 总院 | ||||
分院 | |||||
全院 | |||||
平均 住院日 | 总院 | ||||
分院 | |||||
全院 | |||||
床位 使用率 | 总院 | ||||
分院 | |||||
全院 | |||||
手术科室手术比例 | 总院 | ||||
分院 | |||||
全院 |

2临床各科出院人数与去年同期对比
科室 | 2017年*月 | 2016年*月 | 增减率(%) | ||||||
总院 | 分院 | 全院 | 总院 | 分院 | 全院 | 总院 | 分院 | 全院 | |
肛肠 | 473 | 645 | 1118 | 433 | 384 | 817 | 9.24 | 67.97 | 36.84 |
眼科 | 749 | 258 | 1007 | 647 | 173 | 820 | 15.77 | 49.13 | 22.80 |
泌尿 | 801 | 423 | 1224 | 739 | 353 | 1092 | 8.39 | 19.83 | 12.09 |
妇科 | 2222 | 4255 | 6477 | 1990 | 4357 | 6347 | 11.66 | -2.34 | 2.05 |
胸外 | 538 | 538 | 572 | 572 | -5.94 | -5.94 | |||
... | ... | ... | ... | ... | ... | ... | ... | ... | ... |
手术科室 | 16316 | 10468 | 26784 | 16139 | 9825 | 25964 | 1.10 | 6.54 | 3.16 |
皮肤 | 794 | 267 | 1061 | 689 | 217 | 906 | 15.24 | 23.04 | 17.11 |
急诊 | 1696 | 1038 | 2734 | 1837 | 544 | 2381 | -7.68 | 90.81 | 14.83 |
ICU | 99 | 93 | 192 | 102 | 70 | 172 | -2.94 | 32.86 | 11.63 |
消化 | 2440 | 861 | 3301 | 2352 | 653 | 3005 | 3.74 | 31.85 | 9.85 |
... | ... | ... | ... | ... | ... | ... | ... | ... | ... |
非手术科室 | 27356 | 11628 | 38984 | 28528 | 8971 | 37499 | -4.11 | 29.62 | 3.96 |
合计 | 43672 | 22096 | 65768 | 44667 | 18796 | 63463 | -2.23 | 17.56 | 3.63 |

3临床各科住院均次费用与去年同期对比

4临床各科药品比例与去年同期对比



7手术科室手术病人比例去年同期相比

8临床各科平均住院日与床位使用率(波士顿矩阵四象限图)
以全院平均住院日和床位使用率为目标值,建立各科室平均住院日-床位使用率组合图即四象限图,平均住院日低、床位使用率高的科室即位于第二象限的科室有:

四 手术工作情况
1两院区病房手术工作量
手术类别 | 2017年*月 | 2016年*月 | 增减量 | ||||||
总院 | 分院 | 合计 | 总院 | 分院 | 合计 | 总院 | 分院 | 合计 | |
I类 | |||||||||
II类 | |||||||||
III类 | |||||||||
IV类 | |||||||||
合计 |

2各科室病房手术工作与去年同期对比
科室 | 2017年*月 | 2016年*月 | 增减量 | ||||||
总院 | 分院 | 全院 | 总院 | 分院 | 全院 | 总院 | 分院 | 全院 | |
乳腺 | 1762 | 772 | 2534 | 1176 | 312 | 1488 | 586 | 460 | 1046 |
肛肠 | 451 | 597 | 1048 | 430 | 366 | 796 | 21 | 231 | 252 |
... | ... | ... | ... | ... | ... | ... | ... | ... | ... |
合计 | 9269 | 7667 | 16936 | 8661 | 6824 | 15485 | 608 | 843 | 1451 |

3 各科室病房手术分类与去年同期相比
科室 | I类 | II类 | III类 | IV类 | 合计 | ||||||||||
2017年*月 | 2016年*月 | 增减量 | 2017年*月 | 2016年*月 | 增减量 | 2017年*月 | 2016年*月 | 增减量 | 2017年*月 | 2016年*月 | 增减量 | 2017年*月 | 2016年*月 | 增减量 | |
乳腺 | |||||||||||||||
妇科 | |||||||||||||||
... | ... | ... | ... | ... | ... | ... | ... | ... | ... | ... | ... | ... | ... | ... | ... |
合计 |

4 各科室四类手术量及累计贡献率
科室 | 四类手术量 | 累计贡献率 | ||||
总院 | 分院 | 全院 | 总院 | 分院 | 全院 | |
乳腺 | ||||||
肛肠 | ||||||
... | ... | ... | ... | ... | ... | ... |
合计 |

夜雨聆风