当前位置:首页>文档>2012年北京市中考数学试题与答案_中考真题_2.数学中考真题2015-2024年_地区卷_北京中考数学05-23

2012年北京市中考数学试题与答案_中考真题_2.数学中考真题2015-2024年_地区卷_北京中考数学05-23

  • 2026-03-21 04:14:05 2026-02-05 18:04:25

文档预览

2012年北京市中考数学试题与答案_中考真题_2.数学中考真题2015-2024年_地区卷_北京中考数学05-23
2012年北京市中考数学试题与答案_中考真题_2.数学中考真题2015-2024年_地区卷_北京中考数学05-23
2012年北京市中考数学试题与答案_中考真题_2.数学中考真题2015-2024年_地区卷_北京中考数学05-23
2012年北京市中考数学试题与答案_中考真题_2.数学中考真题2015-2024年_地区卷_北京中考数学05-23
2012年北京市中考数学试题与答案_中考真题_2.数学中考真题2015-2024年_地区卷_北京中考数学05-23
2012年北京市中考数学试题与答案_中考真题_2.数学中考真题2015-2024年_地区卷_北京中考数学05-23
2012年北京市中考数学试题与答案_中考真题_2.数学中考真题2015-2024年_地区卷_北京中考数学05-23
2012年北京市中考数学试题与答案_中考真题_2.数学中考真题2015-2024年_地区卷_北京中考数学05-23
2012年北京市中考数学试题与答案_中考真题_2.数学中考真题2015-2024年_地区卷_北京中考数学05-23
2012年北京市中考数学试题与答案_中考真题_2.数学中考真题2015-2024年_地区卷_北京中考数学05-23
2012年北京市中考数学试题与答案_中考真题_2.数学中考真题2015-2024年_地区卷_北京中考数学05-23
2012年北京市中考数学试题与答案_中考真题_2.数学中考真题2015-2024年_地区卷_北京中考数学05-23
2012年北京市中考数学试题与答案_中考真题_2.数学中考真题2015-2024年_地区卷_北京中考数学05-23
2012年北京市中考数学试题与答案_中考真题_2.数学中考真题2015-2024年_地区卷_北京中考数学05-23
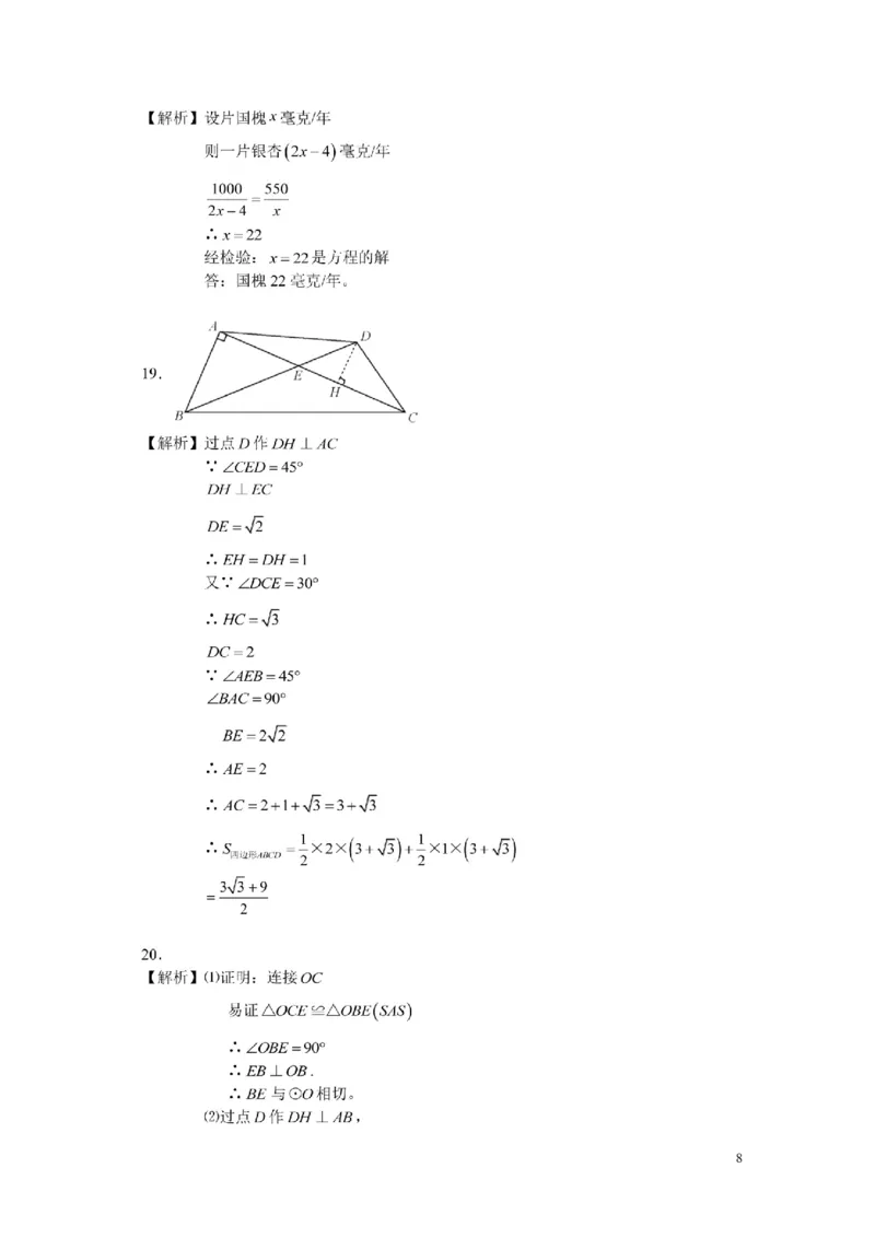
2012年北京市中考数学试题与答案_中考真题_2.数学中考真题2015-2024年_地区卷_北京中考数学05-23

文档信息

文档格式
doc
文档大小
1.757 MB
文档页数
11 页
上传时间
2026-02-05 18:04:25

文档内容

2012 年北京市高级中等学校招生考试 数 学 试 卷 学校 姓名 准考证号 一、选择题(本题共32分,每小题4分) 下面各题均有四个选项,其中只有一个是符合题意的. 1. 的相反数是 A. B. C. D.9 2. 首届中国(北京)国际服务贸易交易会(京交会)于2012年6月1日闭幕,本届京交会期 间签订的项目成交总金额达60 110 000 000美元,将60 110 000 000用科学记数法表 示应为 A. B. C. D. 3. 正十边形的每个外角等于 A. B. C. D. 4. 右图是某个几何体的三视图,该几何体是 A.长方体 B.正方体 C.圆柱 D.三棱柱 5. 班主任王老师将6份奖品分别放在6个完全相同的不透明礼盒中,准备将它们奖给小英 等6位获“爱集体标兵”称号的同学.这些奖品中3份是学习文具,2份是科普读物,1 份是科技馆通票.小英同学从中随机取一份奖品,恰好取到科普读物的概率是 A. B. C. D. 6. 如图,直线 , 交于点 ,射线 平分 ,若 ,则 等于 A. B. C. D. 7. 某课外小组的同学们在社会实践活动中调查了20户家庭某月的用电量,如下表所示: 用电量(度) 120 140 160 180 200 户数 2 3 6 7 2 则这20户家庭该月用电量的众数和中位数分别是 A.180,160 B.160,180 C.160,160 D.180,180 8. 小翔在如图1所示的场地上匀速跑步,他从点 出发,沿箭头所示方向经过点 跑到点 ,共用时30秒.他的教练选择了一个固定的位置观察小翔的跑步过程.设小翔跑步的 1时间为 (单位:秒),他与教练的距离为 (单位:米),表示 与 的函数关系的图象大 致如图2所示,则这个固定位置可能是图1中的 A.点 B.点 C.点 D.点 二、填空题(本题共16分,每小题4分) 9. 分解因式: . 10.若关于 的方程 有两个相等的实数根,则 的值是 . 11.如图,小明同学用自制的直角三角形纸板 测量树的高度 ,他调整自己的位置,设法使斜边 保持水平,并且边 与点 在同一直线上.已知纸板的两条直角边 , , 测 得 边 离 地 面 的 高 度 , ,则树高 . 12.在平面直角坐标系 中,我们把横 、纵坐标都是 整数的点叫做整点.已知点 ,点 是 轴正 半轴上的整点,记 内部(不包括边界)的整 点个数为 .当 时,点 的横坐标的所有可能 值是 ;当点 的横坐标为 ( 为正整 数)时, (用含 的代数式表示.) 三、解答题(本题共30分,每小题5分) 13.计算: . 14.解不等式组: 15.已知 ,求代数式 的值. 16.已知:如图,点 在同一条直线上, , . 求证: . 217.如图,在平面直角坐标系 中,函数 的图象与一次函数 的图象的交点为 . (1)求一次函数的解析式; (2)设一次函数 的图象与 轴交于点 ,若 是 轴上一点, 且满足 的面积是4,直接写出点 的坐标. 18.列方程或方程组解应用题: 据林业专家分析,树叶在光合作用后产生的分泌物能够吸附空气中的一些悬浮颗粒物, 具有滞尘净化空气的作用.已知一片银杏树叶一年的平均滞尘量比一片国槐树叶一年的平 均滞尘量的2倍少4毫克,若一年滞尘1000毫克所需的银杏树叶的片数与一年滞尘550毫 克所需的国槐树叶的片数相同,求一片国槐树叶一年的平均滞尘量. 四、解答题(本题共20分,每小题5分) 19.如图,在四边形 中,对角线 交于点 , .求 的长和四边形 的面积. 20.已知:如图, 是 的直径, 是 上一点, 于点 , 过点 作 的切线,交 的延长线于点 ,连结 . (1)求证: 与 相切; (2)连结 并延长交 于点 ,若 ,求 的长. 21.近年来,北京市大力发展轨道交通,轨道运营里程大幅增加,2011年北京市又调整修订了 2010至2020年轨道交通线网的发展规划.以下是根据北京市轨道交通指挥中心发布的 有关数据制作的统计图表的一部分. 3北京市轨道交通已开通线路 相关数据统计表(截至2010年底) 运营里程 开通时间 开通线路 (千米) 1971 1号线 31 1984 2号线 23 13号线 41 2003 八通线 19 2007 5号线 28 8号线 5 2008 10号线 25 机场线 28 2009 4号线 28 房山线 22 大兴线 22 2010 亦庄线 23 昌平线 21 15号线 20 请根据以上信息解答下列问题: (1)补全条形统计图并在图中标明相应数据; (2)按照2011年规划方案,预计2020年北京市轨道交通运营里程将达到多少千米? (3)要按时完成截至2015年的轨道交通规划任务,从2011到2015这4年中,平均每年 需新增运营里程多少千米? 22.操作与探究: (1)对数轴上的点 进行如下操作:先把点 表示的数乘以 ,再把所得数对应的点向 右平移1个单位,得到点 的对应点 . 点 在数轴上,对线段 上的每个点进行上述操作后得到线段 ,其中点 的对应点分别为 .如图1,若点 表示的数是 ,则点 表示的数是 ;若点 表示的数是2,则点 表示的数是 ;已知线段 上的点 经过上 述操作后得到的对应点 与点 重合,则点 表示的数是 ; (2)如图2,在平面直角坐标系 中,对正方形 及其内部的每个 点进行如下操作:把每 个点的横、纵坐标都乘以同一种实数 ,将 得到的点先向右平移 个单位,再向上平移 个单位( ),得到正方形 及其内部的点,其中点 4的对应点分别为 。已知正方形 内部的一个点 经过上述操作后得到 的对应点 与点 重合,求点 的坐标。 五、解答题(本题共22分,第23题7分,第24题7分,第25题8分) 23.已知二次函数 在 和 时的函数值相等。 (1) 求二次函数的解析式; (2) 若一次函数 的图象与二次函数的 图象都经过点 ,求 和 的值; (3) 设二次函数的图象与 轴交于点 (点 在点 的左侧),将二次函数的图象在点 间的部分(含点 和点 )向左平移 个单位后得到的图象记为 ,同时 将(2)中得到的直线 向上平移 个单位。请结合图象回答:当平移后的 直线与图象 有公共点时, 的取值范围。 24.在 中, , 是 的中点, 是线段 上的动点,将线段 绕点 顺时针旋转 得到线段 。 (1) 若 且点 与点 重合(如图1),线段 的延长线交射线 于点 ,请 补全图形,并写出 的度数; (2) 在图2中,点 不与点 重合,线段 的延长线与射线 交于点 ,猜想 的大小(用含 的代数式表示),并加以证明; (3) 对于适当大小的 ,当点 在线段 上运动到某一位置(不与点 , 重合)时, 能使得线段 的延长线与射线 交于点 ,且 ,请直接写出 的范 围。 25.在平面直角坐标系 中,对于任意两点 与 的“非常距离”, 给出如下定义: 若 ,则点 与点 的“非常距离”为 ; 若 ,则点 与点 的“非常距离”为 . 例如:点 ,点 ,因为 ,所以点 与点 的“非常距离” 5为 ,也就是图1中线段 与线段 长度的较大值(点 为垂直于 轴的直 线 与垂直于 轴的直线 的交点)。 (1)已知点 , 为 轴上的一个动点, ①若点 与点 的“非常距离”为2,写出一个满足条件的点 的坐标; ②直接写出点 与点 的“非常距离”的最小值; (2)已知 是直线 上的一个动点, ①如图2,点 的坐标是(0,1),求点 与点 的“非常距离”的最小值及相应的 点 的坐标; ②如图3, 是以原点 为圆心,1为半径的圆上的一个动点,求点 与点 的 “非常距离” 的最小值及相应的点 和点 的坐标。 67891011