当前位置:首页>文档>理综参考答案_2024届云南省曲靖市高三第一次教学质量监测_云南省曲靖市2024届高三第一次教学质量监测理综

理综参考答案_2024届云南省曲靖市高三第一次教学质量监测_云南省曲靖市2024届高三第一次教学质量监测理综

  • 2026-04-09 14:26:00 2026-02-09 06:37:10

文档预览

理综参考答案_2024届云南省曲靖市高三第一次教学质量监测_云南省曲靖市2024届高三第一次教学质量监测理综
理综参考答案_2024届云南省曲靖市高三第一次教学质量监测_云南省曲靖市2024届高三第一次教学质量监测理综
理综参考答案_2024届云南省曲靖市高三第一次教学质量监测_云南省曲靖市2024届高三第一次教学质量监测理综
理综参考答案_2024届云南省曲靖市高三第一次教学质量监测_云南省曲靖市2024届高三第一次教学质量监测理综
理综参考答案_2024届云南省曲靖市高三第一次教学质量监测_云南省曲靖市2024届高三第一次教学质量监测理综
理综参考答案_2024届云南省曲靖市高三第一次教学质量监测_云南省曲靖市2024届高三第一次教学质量监测理综
理综参考答案_2024届云南省曲靖市高三第一次教学质量监测_云南省曲靖市2024届高三第一次教学质量监测理综
理综参考答案_2024届云南省曲靖市高三第一次教学质量监测_云南省曲靖市2024届高三第一次教学质量监测理综
理综参考答案_2024届云南省曲靖市高三第一次教学质量监测_云南省曲靖市2024届高三第一次教学质量监测理综
理综参考答案_2024届云南省曲靖市高三第一次教学质量监测_云南省曲靖市2024届高三第一次教学质量监测理综

文档信息

文档格式
pdf
文档大小
0.471 MB
文档页数
6 页
上传时间
2026-02-09 06:37:10

文档内容

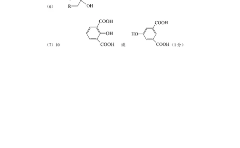
曲靖市 2024 年高中毕业生(第一次)复习统一检测理科综合 生物部分参考答案 一.选择题: 1.C 2.D 3.B 4.A 5.D 6.B 二.非选择题 31.(12分) (1)含有光合色素和与光合作用有关的酶(2分) (2)下降(降低)(1分) 呼吸速率增加量(1分) (3)①气孔开度和净光合速率(2分) ②高温和适宜光照强度(2分) 适宜温度 和强光照(2分) ③甲组和丙组的气孔开度和净光合速率大致相同,且均高于乙组(2 分)(前后要对应) 32.(10分) (1)植物体内缺少分解植物生长调节剂的酶(2分) (2)①A处使用适量的噻苯隆溶液,B处使用等量的蒸馏水(2分) ②防止植物叶片产生的植物激素对叶片脱落产生影响(2分) (3)噻苯隆对棉花的脱叶效果随噻苯隆有效成分含量的增加而逐渐提高(2分) 噻苯隆有效成分含量大于225g·hm-2时,随有效成分量增加,脱叶率增加不明显(2分,合 理即可) 33.(10分) (1)原始合作(1分) 调节生物的种间关系,进而维持生态系统的平衡与稳定(2分) (2)物理(1分) 种群密度(种群数量)(2分) (3)低密度组高原鼠兔种群密度增长率显著降低,而高密度组种群密度增长率无显著差 异或略增(2分) (4)低密度区高原鼠兔的种群密度较低,种群密度增长率低;且对植被的觅食时间缩短, 使植被生物量增加(2分) 34.(12分) (1)酶的合成控制代谢过程(2分) (2)F 自交得到的F 植株白色﹕黄色=13﹕3,是9﹕3﹕3﹕1的变式(2分) 1 2 (3)6/13(2 分) 让F 中的白花个体自交,统计后代表型及比例(2分) 2 若白花﹕黄花=13﹕3,则基因型为AaBb;(2分) 若白花﹕黄花=3﹕1,则基因型为AABb (2分) 35.(10分) (1)促性腺激素(1分) 普通藏系母羊C(2分) (2)胚胎移植(1分) 早期胚胎在相同生理环境条件下空间位置的转移(2分) (3)将内细胞团均等分割(2分) A羊和B羊(共同)(2分) 1 {#{QQABSQgAogCAABAAAAgCUwE4CAOQkBCACAoOQBAIsAAACBFABAA=}#}化学部分参考答案 7.C 8.B 9.A 10.D 11.B 12.A 13.C 27.(14分,除标注外每空2分) (1)(恒压)滴液漏斗(1分) (2)B (3)防止局部温度过高使H O 分解 降低过碳酸钠的溶解度,使其从反应液中析 2 2 出 高温 (4)氢键(1分) 2(2Na CO ·3H O )══4Na CO +6H O+3O ↑ 2 3 2 2 2 3 2 2 (5) 溶液呈浅红色,且30s内不褪色 12% 28.(15分,除标注外每空2分) (1)第四周期第ⅥA 族(1分) 3d104s2(1分) (2)防腐剂、抗氧化剂、漂白剂、工业制硫酸等(写出一种即可) (3)4Fe2++O +6H O ══4FeOOH+8H+ 2 2 ZnO 或 Zn(OH) (1分)(写出一种即可) 2 部分 Zn2+转化成 Zn(OH) ;pH 过高时,FeOOH 沉淀会转化成胶体,胶体具 2 有吸附性,胶体会吸附锌离子(答出一个原因即给 2 分) (4)Cu、Ni (2 分) 2Ni2++Sb O +6H++5Zn══2NiSb+3H O+5Zn2+ 2 3 2 (5) 4×(56+2×32) N (a×10−10)3 A 29.(14分,除标注外每空2分) (1)①BD ② a-5b(1 分) (2)II (1 分) k =2k 2 1 (3) 0.06/t 10/p (4)①2NO +8e-+4H O══N +8OH- 2 2 2 ② 15.68L 30.(15分,除标注外每空2分) (1)邻二甲苯 或1,2—二甲苯 (2)氧化反应 (3)氨基、羧基(每个1分) 2 {#{QQABSQgAogCAABAAAAgCUwE4CAOQkBCACAoOQBAIsAAACBFABAA=}#}(4) (5)2 (6) (7)10 或 (1分) 3 {#{QQABSQgAogCAABAAAAgCUwE4CAOQkBCACAoOQBAIsAAACBFABAA=}#}物理部分参考答案 14.C 15. B 16. D 17. C 18. D 19. AC 20. AD 21. BD 22.(6分) 2F a (1) 0.60 (2分) 2.6 (2分) (2)   (2分) Mg g 23.(12分) πRD2 (1) (2分) 0.700 (2分) 4L (2)如图所示 (2分) (3) a (2分) 2.5 (2分) (4) 2.9 (2分) 24.(10分) (1)沿右侧斜面往上滑动时,对物体分析有 mgsinmgcosma (2分) 1 解得 µ= (2分) 8 (2)设物体滑到底端的速度为v,物体从左侧下滑有: 1 h mv2 mghmgcos (2分) 2 sin 物体在右侧斜面第一次上滑时间为t : 0v t  (2分) a t=1s (2分) 4 {#{QQABSQgAogCAABAAAAgCUwE4CAOQkBCACAoOQBAIsAAACBFABAA=}#}25.(14分) (1)根据几何关系可知电荷在实线圆内运动的半径也为R,有: v2 qv B m 0 (2分) 0 1 R mv 解得: B  0 (1分) 1 qR 方向垂直于平面向里。 (1分) (2)在电场中做类平抛运动且汇聚在O点,设电荷进电场时位置的坐标为(x,y), 故有:xv t (1分) 0 1 Eq y t2 (1分) 2 m 解得: Eq y x2 (1分) 2mv2 0 点(R,R)是虚线上一点,代入可解得: 2mv2 E 0 (1分) qR 1 y x2 (1分) R (3)设电荷从O点射入第一象限的速度为v,与x轴的夹角为则 (1分) v v 0 cos mv 在第一象限内运动半径为 r  (1分) qB 2 粒子被吸收的的位置为y 由几何关系得 y2rcos (1分) mv 该点纵坐标为 y2 0 (1分) qB 2 该点横坐标为:x=0 (1分) 26.(20分) (1) m 从释放到与m 碰前瞬间速度 1 2 (1分) v  2gR 0 5 {#{QQABSQgAogCAABAAAAgCUwE4CAOQkBCACAoOQBAIsAAACBFABAA=}#}设m 与m 碰后瞬间共同速度为v,受到轨道B点的支持力为F 有 1 2 (1分) mv (m m )v 1 0 1 2 (2分) v2 F(m m )g (m m ) 1 2 1 2 R 得 F=45N (1分) 据牛顿第三定律可知,m 与m 碰后瞬间对轨道B点的压力为45N (1分) 1 2 (2)设m、m 刚要相碰时m 的速度大小为v,滑道的速度大小为v,由机械能守恒定律有 1 2 1 1 3 1 1 mgR= mv2+ mv2 (2分) 1 2 1 1 2 3 3 由动量守恒定律有0=mv-mv (2分) 1 1 3 3 m 和m 相碰后的共同速度大小设为v,由动量守恒定律有 1 2 2 mv=(m+m)v (2分) 1 1 1 2 2 弹簧第一次压缩至最短时由动量守恒定律可知m 与m 和滑道速度为零,此时弹性势能 1 2 最大,设为E 。从m 与m 碰撞后到弹簧第一次压缩至最短的过程中,由能量守恒定律有 pm 1 2 1 1 (m+m)v2+ mv2-μ(m+m)g·CD=E (2分) 2 1 2 2 2 3 3 1 2 pm 联立以上方程,代入数据解得E=0.3 J (2分) pm (3)分析可知m 与m 和滑道最终将静止,设m 与m 相对滑道CD部分运动的路程为s, 1 2 1 2 由能量守恒定律有 1 1 (m+m)v2+ mv2=μ(m+m)gs (2分) 2 1 2 2 2 3 3 1 2 代入数据可得s=0.25 m (1分) 所以m 、m 最终停在C点和D点之间与D点间的距离为0.05 m处 (1分) 1 2 6 {#{QQABSQgAogCAABAAAAgCUwE4CAOQkBCACAoOQBAIsAAACBFABAA=}#}