当前位置:首页>文档>2012年第十届希望杯复赛试题及答案(六年级)(2)_小学奥数举一反三1-6年级相关课程_奥数历年杯赛真题全套(PDF、Word可打印)_6年级希望杯

2012年第十届希望杯复赛试题及答案(六年级)(2)_小学奥数举一反三1-6年级相关课程_奥数历年杯赛真题全套(PDF、Word可打印)_6年级希望杯

  • 2026-04-11 20:39:02 2026-01-21 16:42:36

文档预览

2012年第十届希望杯复赛试题及答案(六年级)(2)_小学奥数举一反三1-6年级相关课程_奥数历年杯赛真题全套(PDF、Word可打印)_6年级希望杯
2012年第十届希望杯复赛试题及答案(六年级)(2)_小学奥数举一反三1-6年级相关课程_奥数历年杯赛真题全套(PDF、Word可打印)_6年级希望杯
2012年第十届希望杯复赛试题及答案(六年级)(2)_小学奥数举一反三1-6年级相关课程_奥数历年杯赛真题全套(PDF、Word可打印)_6年级希望杯
2012年第十届希望杯复赛试题及答案(六年级)(2)_小学奥数举一反三1-6年级相关课程_奥数历年杯赛真题全套(PDF、Word可打印)_6年级希望杯
2012年第十届希望杯复赛试题及答案(六年级)(2)_小学奥数举一反三1-6年级相关课程_奥数历年杯赛真题全套(PDF、Word可打印)_6年级希望杯
2012年第十届希望杯复赛试题及答案(六年级)(2)_小学奥数举一反三1-6年级相关课程_奥数历年杯赛真题全套(PDF、Word可打印)_6年级希望杯
2012年第十届希望杯复赛试题及答案(六年级)(2)_小学奥数举一反三1-6年级相关课程_奥数历年杯赛真题全套(PDF、Word可打印)_6年级希望杯
2012年第十届希望杯复赛试题及答案(六年级)(2)_小学奥数举一反三1-6年级相关课程_奥数历年杯赛真题全套(PDF、Word可打印)_6年级希望杯

文档信息

文档格式
doc
文档大小
0.195 MB
文档页数
4 页
上传时间
2026-01-21 16:42:36

文档内容

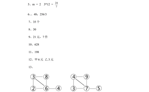
第十届小学“希望杯”全国数学邀请赛 六年级 第 2 试 2012年4月8日 上午9:00至11:00 得分 一、填空题(每小题5分,共60分。) 1. 计算: 2. 计算: 3. 王涛将连续的自然数1,2,3,…逐个相加,一直加到某个自然数为止,由于 计算时漏加了一个自然数而得到错误的结果 2012。那么,他漏加的自然数是 。 4. 在数0.20120415中的小数后面的数字上方加上循环点,得到循环小数,这 些循环小数中,最大的是 ,最小的是 。 5. 对任意两个数 , 规定运算“*”的含义是: (其中 是 一个确定的数),如果1 2 = 1,那么 = ,3 12 = 。 6.对于一个多边形,定义一种“生长”操作:如图1,将其一边 AB变成向外凸的折线ACDEB,其中C和E是AB的三等分点, C,D,E三点可构成等边三角形,那么,一个边长是9的等边三角 形,经过两次“生长”操作(如图 2),得到的图形的周长是 ;经过四次“生长”操作,得到的图形的周长是 。 7. 如图3所示的“鱼”形图案中共有 个三角形。 8. 已知自然数N的个位数字是0,且有8个约数,则N最小是 9. 李华在买某一商品的时候,将单价中的某一数字“7”错看成了“1”,准 备付款489元,实际应付147元,已知商品的单价及购买 的数量都是整数,则这种商品的实际单价是 元, 李华共买了 件。 10. 如图4,已知AB = 40cm,图中的曲线是由半径 不同的三种半圆弧平滑连接而成,那么阴影部分的面积 是 cm2。(π取3.14) 11. 快车和慢车同时从甲、乙两地相对开出,快车每小时行33千米,相遇行 了全程的 ,已知慢车行完全程需要8小时,则甲、乙两地相距 千米。 12. 甲、乙、丙三人去郊游,甲买了9根火腿,乙买了6个面包,丙买了3瓶矿 泉水,乙花的钱是甲的 ,丙花的钱是乙的 ,丙根据每人所花钱的多少拿出9 元钱分给甲和乙,其中,分给甲 元,分给乙 元。 二、解答题(每小题15分,共60分。)每题都要写出推算过程。 13. 将1到9这9个自然数中的5个数填入图5所示的圆圈内,使任意有线 段相连的两个圆圈内的两数之差恰好等于连接这两个圆圈的线段的条数,图6给 出了一种填法,请你再给出两种不同的填法。 答:14. 甲、乙二人分别从A、B两地同时出发,相向而行,于C地相遇后,甲继续 向B地行走,乙则休息14分钟后再继续向A地行走,甲和乙各自到达B地和A 地后立即折返,又在C地相遇,已知甲每分钟走60米,乙每分钟走80米,则A、B 两地相距多少米? 15. 将100个棱长为1的立方体堆放成一个多面体,将可能堆成的多面体的 表面积按从小到大排列,求开始的6个。 16. 在m行n列的网格中,规定:由上而下的横行依次 为第1行,第2行,…,由左向右的竖列依次为第1列,第2 列,…。点(a,b)表示位于第a行、第b列的格点,图7是4 行5列的网格。从点A(2,3)出发,按象棋中的马走“日” 字格的走法,可达到网格中的格点B(1,1),C(3,1),D(4, 2),E(4,4),F(3,5),G(1,5),如果在9行9列的网格中(图8),从点(1,1)出发, 按象棋中的马走“日”字格的走法, (1)能否到达网格中的每一个格点? 答: 。(填“能”或“不能”) (2)如果能,那么沿最短路线到达某个格点,最多的需要几步?这样的格点 有几个?写出它们的位置。如果不能。请说明理由。 2012希望杯复赛(六年级)答案1、 2、 3、4 4、大:0.2012041 小:0.2 12041 5、m = 2 3*12 = 6、、48;256/3 7、35个 8、30 9、21元,7件 10、628 11、198 12、甲6元 乙3元 13、 14、1680 15、130,160,208,240,250,258 16、能。最多6步(7,9)(8,8)(9,7)(9,9)