当前位置:首页>文档>黑龙江省哈尔滨市省实验中学2025-2026学年高二上学期11月期中生物试题(原卷版)_2025年11月高二试卷_251121黑龙江省哈尔滨市省实验中学2025-2026学年高二上学期期中

黑龙江省哈尔滨市省实验中学2025-2026学年高二上学期11月期中生物试题(原卷版)_2025年11月高二试卷_251121黑龙江省哈尔滨市省实验中学2025-2026学年高二上学期期中

  • 2026-04-09 05:41:55 2026-02-19 14:33:59

文档预览

黑龙江省哈尔滨市省实验中学2025-2026学年高二上学期11月期中生物试题(原卷版)_2025年11月高二试卷_251121黑龙江省哈尔滨市省实验中学2025-2026学年高二上学期期中
黑龙江省哈尔滨市省实验中学2025-2026学年高二上学期11月期中生物试题(原卷版)_2025年11月高二试卷_251121黑龙江省哈尔滨市省实验中学2025-2026学年高二上学期期中
黑龙江省哈尔滨市省实验中学2025-2026学年高二上学期11月期中生物试题(原卷版)_2025年11月高二试卷_251121黑龙江省哈尔滨市省实验中学2025-2026学年高二上学期期中
黑龙江省哈尔滨市省实验中学2025-2026学年高二上学期11月期中生物试题(原卷版)_2025年11月高二试卷_251121黑龙江省哈尔滨市省实验中学2025-2026学年高二上学期期中
黑龙江省哈尔滨市省实验中学2025-2026学年高二上学期11月期中生物试题(原卷版)_2025年11月高二试卷_251121黑龙江省哈尔滨市省实验中学2025-2026学年高二上学期期中
黑龙江省哈尔滨市省实验中学2025-2026学年高二上学期11月期中生物试题(原卷版)_2025年11月高二试卷_251121黑龙江省哈尔滨市省实验中学2025-2026学年高二上学期期中
黑龙江省哈尔滨市省实验中学2025-2026学年高二上学期11月期中生物试题(原卷版)_2025年11月高二试卷_251121黑龙江省哈尔滨市省实验中学2025-2026学年高二上学期期中
黑龙江省哈尔滨市省实验中学2025-2026学年高二上学期11月期中生物试题(原卷版)_2025年11月高二试卷_251121黑龙江省哈尔滨市省实验中学2025-2026学年高二上学期期中
黑龙江省哈尔滨市省实验中学2025-2026学年高二上学期11月期中生物试题(原卷版)_2025年11月高二试卷_251121黑龙江省哈尔滨市省实验中学2025-2026学年高二上学期期中
黑龙江省哈尔滨市省实验中学2025-2026学年高二上学期11月期中生物试题(原卷版)_2025年11月高二试卷_251121黑龙江省哈尔滨市省实验中学2025-2026学年高二上学期期中
黑龙江省哈尔滨市省实验中学2025-2026学年高二上学期11月期中生物试题(原卷版)_2025年11月高二试卷_251121黑龙江省哈尔滨市省实验中学2025-2026学年高二上学期期中
黑龙江省哈尔滨市省实验中学2025-2026学年高二上学期11月期中生物试题(原卷版)_2025年11月高二试卷_251121黑龙江省哈尔滨市省实验中学2025-2026学年高二上学期期中

文档信息

文档格式
docx
文档大小
1.153 MB
文档页数
12 页
上传时间
2026-02-19 14:33:59

文档内容

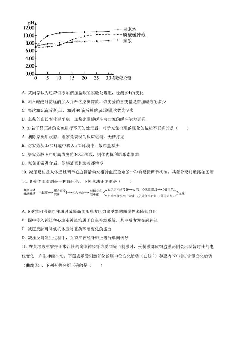
黑龙江省实验中学 2025-2026 学年度高二学年上学期期中考试 生物学科试题 考试时间:75分钟 总分:100分 一、单选题(本题共25道题,每题2分,共50分。每小题给出的四个选项中,只有一项符 合题意要求。) 1. 下列关于人体内环境及其稳态的叙述,正确的是( ) A. 细胞不仅依赖于内环境,也参与内环境的形成和维持 B. 血浆中含有性激素等多种蛋白质,对维持稳态有重要作用 C. 内环境的稳态是指内环境的理化性质保持相对稳定状态 D. 血浆、淋巴液和细胞液等共同构成体内细胞生活的直接环境 2. 登山时,长时间抓握和摩擦可能导致手掌磨出水疱。水疱内充满清亮液体,若未破裂,数日后可自行吸 收消退。下列相关叙述正确的是( ) A. 水疱液来源于血浆,但其化学成分与血浆并不完全相同 B. 水疱的形成主要是通过神经反射引起毛细血管通透性增加导致的 C. 水疱自行吸收主要依赖于毛细血管静脉端和毛细淋巴管的吸收 D. 直接将水疱表面的表皮撕掉暴露创面,并使用抗生素处理 3. 人在情绪激动或惊恐时,可能导致肺通气过度,呼出过多CO,引发“呼吸性碱中毒”。下列说法正确 2 的是( ) A. 血液中CO 浓度升高,会刺激下丘脑的呼吸中枢产生呼吸运动 2 B. 情绪激动时,副交感神经兴奋,支气管平滑肌舒张,呼吸急促 C. 患者体内细胞产生CO 的场所是细胞质基质和线粒体 2 D. 呼吸性碱中毒发生时,可通过反复屏气缓解症状 4. 某同学进行高强度篮球运动后,出现肌肉酸痛、口渴等症状。下列叙述正确的是( ) A. 运动过程因大量消耗血糖,血糖浓度会持续低于正常水平 B. 肌细胞无氧呼吸产生的乳酸能在肝脏中再次转化为葡萄糖供能 C. 运动中大量出汗使血浆渗透压升高,进而刺激下丘脑产生渴觉 D. 运动时肌糖原可直接分解为葡萄糖进入血液以补充血糖消耗 5. 如图表示神经系统、内分泌系统和免疫系统之间的相互调节关系,下列相关叙述错误的是( )A. 神经元上存在白细胞介素、胰岛素的受体 B. 三种调节的实现都离不开信号分子 C. 图中信号分子的作用方式都是直接与受体接触 D. 只要图中网络完整,人体即可抵御外界病原体入侵 6. 长期营养不良导致血浆蛋白减少,易引起组织水肿,其主要原因是( ) A. 组织液回渗至血浆的速率增加 B. 淋巴液生成减少,回流受阻 C. 毛细血管壁的通透性显著增加 D. 血浆渗透压降低,组织液生成增加 7. 一位高血压患者清晨突发右侧手臂和腿部麻木无力,说话不清,且听不懂别人说话,并出现尿失禁等症 状。经检测,该患者脑部血管阻塞,导致局部脑组织损伤,医生诊断为脑卒中,但其脑干、脊髓和脊神经 等未受损。下列相关叙述错误的是( ) A. 脑部血管阻塞导致该患者大脑皮层第一运动区的下部受损 B. 该患者出现尿失禁,可能与大脑皮层对脊髓排尿中枢的控制减弱有关 C. 排尿反射受脊髓发出的交感神经和副交感神经共同调节 D. 根据患者说话不清和听不懂别人说话,可推测该患者S区、H区受损 8. 某校高二生物兴趣小组进行“模拟生物体维持pH的稳定”实验。下列叙述错误的是( )A. 某同学认为还应该添加滴加盐酸的实验处理组,检测pH的变化 B. 加入碱液时需逐滴加入并严格控制滴数,该实验的自变量是滴加碱液的多少 C. 每次加5滴后测pH,加到40滴后总的pH测量次数为9次 D. 血浆的曲线变化更平稳,血浆比磷酸缓冲液对碱的缓冲能力更强 9. 对若干只正常的家兔进行不同的处理后,对于家兔出现的现象的描述不正确的是( ) A. 摘除家兔甲状腺,则家兔表现为反应迟钝,无精打采 B. 将家兔从25℃环境中移入5℃环境中,散热量减少 C. 给家兔静脉注射高浓度的NaCl溶液,则体内抗利尿激素增加 D. 家兔正常进食后,促胰液素和胰液都增多 10. 减压反射是人体通过调节心血管活动来维持血压稳定的一种负反馈调节机制,其部分反射通路如图所 示。β受体阻滞剂是一种降压药。下列说法正确的是( ) A. β受体阻滞剂可能通过减弱高血压患者压力感受器的敏感性来降低血压 B. 图中传入神经和心迷走神经均属于自主神经系统,其中后者为交感神经 C. 减压反射可降低机体应对复杂环境变化的能力 D. 减压反射发生过程中,兴奋在神经纤维上进行单向传导 11. 在某溶液中维持正常活性的离体神经纤维受到适当刺激时,受刺激部位细胞膜两侧会出现暂时性的电 位变化,产生神经冲动。下图表示受刺激部位的膜电位变化趋势(曲线1)和膜内Na+相对含量变化趋势 (曲线2),下列有关分析正确的是( )A. A→C所需的时间大小由膜内Na+浓度决定 B. G点前后细胞膜内外始终存在离子的交换 . C 曲线EF段Na+相对含量增多需要消耗能量 D. B、D两点膜电位的数值均代表静息电位 12. 海蜗牛在接触几次电击后,能学会利用长时间蜷缩的方式保护自己;没有经过电击刺激的海蜗牛则没 有类似的防御行为。研究者提取前者腹部神经元的RNA注射到后者颈部,发现原本没有受过电击的海蜗 牛也“学会”了防御,而对照组则没有此现象。以下叙述不符合该实验的是( ) A. 有助于我们对动物记忆形成机制的研究 B. 说明特定的RNA可以使海蜗牛“获得”记忆 C. 不能说明RNA直接决定了动物记忆的形成 D. 本实验对照组的海蜗牛不需要注射RNA 13. 人体在寒风中瑟瑟发抖时,机体细胞在甲状腺激素作用下被动员起来,增强代谢、抵御寒冷。甲状腺 激素的分泌是通过下图所示调节过程进行的。下列相关叙述,不正确的是( ) A. 过程①、②可以放大激素的调节效应 B. 过程③通过体液作用于几乎所有体内细胞 C. 甲状腺激素过低时过程④为促进作用增强 D. 甲状腺激素的分泌受神经和激素共同调节 14. 下图表示人体内某种激素(甲)与靶细胞膜上特定受体(乙)结合并引发细胞内部反应的过程。下列 相关叙述正确的是( )A. 激素与受体结合后,会直接参与靶细胞内的代谢反应 B. 若甲是胰岛素,则乙可能存在于肌细胞、肝细胞等多种细胞膜上 C. 该过程体现了细胞膜的控制物质进出功能 D. 无论细胞代谢如何变化,受体乙的数量一定不变 15. 二甲双胍能增加成年雌性小鼠神经干细胞数量,对成年雄性小鼠和幼龄雌雄小鼠均不起作用,对注射 雌激素后的幼龄雌性小鼠能够发挥作用。下列结论中最合理的是( ) A. 二甲双胍通过促进卵巢分泌雌激素来增加神经干细胞数量 的 B. 雌激素 存在是二甲双胍增加神经干细胞数量的必要条件 C. 神经干细胞数量在性别上的差异完全由成年期性激素水平决定 D. 二甲双胍可直接替代雌激素促进神经干细胞的增殖与分化 16. 如图是温特利用琼脂块和植物幼苗进行的实验示意图,下列叙述不正确的是( ) A. 设置空白琼脂块处理组的目的是排除琼脂块对胚芽鞘生长的影响 B. 实验能证明幼苗尖端确实存在一种能够促进生长的化学物质 C. 实验能证明尖端产生的化学物质分布不均可导致幼苗弯曲生长 D. 实验应在黑暗条件下进行,否则不能得到与该实验相同的结果 17. 矮生南瓜突变体喷施某种植物激素后矮生突变体长高。关于该突变体矮生的原因,下列推测合理的是 ( ) A. 赤霉素受体合成受阻 B. 赤霉素受体不敏感C. 赤霉素合成途径受阻 D. 赤霉素信号传导异常 18. 有一种“生物活性绷带”的原理是先采集一些细胞标本,再让其在特殊膜片上增殖,5~7天后,将膜 片敷到患者伤口上,膜片会将细胞逐渐“释放”到伤口处,并促进新生皮肤层生长,达到愈合伤口的目的。 下列有关叙述中,错误的是( ) A. 使用异体细胞制作的绷带可能因HLA分子差异而被患者免疫系统攻击 B. 该生物活性绷带通过直接补充抗体和记忆细胞,能显著增强愈合能力 C. 若患者自身T细胞功能缺陷,使用异体绷带时排斥反应风险会显著降低 D. 吞噬细胞在伤口处吞噬病原体的过程属于人体第二道防线,具有非特异性 19. 松柏类植物的树冠多呈金字塔形,这与顶芽对侧芽的抑制作用有关。为探究其机理,科学家进行了相 关实验。下列基于实验现象的分析与推断,正确的是( ) A. 若切除顶芽后松柏侧芽迅速生长,而保留顶芽但涂抹细胞分裂素后侧芽也被抑制,则说明顶端优势与 细胞分裂素有关 B. 若顶芽产生的生长素可通过极性运输至侧芽部位,且外源施加生长素运输抑制剂可促进侧芽生长,则 说明生长素的极性运输是维持顶端优势的关键 C. 若检测发现侧芽部位的生长素浓度远高于顶芽,且其细胞分裂素水平也较低,则说明侧芽不生长是自 身无法合成足量生长素导致的 D. 若侧芽细胞中生长素受体基因突变失活后,其生长仍被顶芽抑制,则说明顶端优势的抑制机制完全依 赖于乙烯的合成途径 20. 观察甲、乙两个关于生长素作用的图像,下列说法正确的是( ) A. 生长素对I、IV处的生长起促进作用,对II、III处的生长起抑制作用 B. 若图乙中III处的生长素浓度在图甲的ab段,则IV处的生长素浓度可能在ef段 的 C. 若图乙中I处 生长素浓度在图甲的bd段,则II处的生长素浓度可能在f点以下 D. 图乙中IV处的生长素浓度能促进此处生长是因为促进细胞数量增多而生长 21. 在制备抗蛇毒毒素血清时,需将减毒的蛇毒注入家兔体内以引起免疫反应,这一免疫反应和所用的蛇 毒分别是( ) A. 特异性免疫,抗原 B. 特异性免疫,抗体C. 非特异性免疫,抗体 D. 非特异性免疫,抗原 22. 下图表示光照持续时间对植物开花的影响。下列相关分析不合理的是( ) A. 植物感应光暗周期中的黑暗持续长度来感知日长变化 B. 红光打断黑暗周期抑制短日照植物开花,可被远红光逆转 C. 植物感应光信号的光敏色素能吸收红光不吸收远红光 D. 植物选择昼夜时间长短作为开花依据是长期进化的结果 23. 人体内的免疫细胞是体液免疫和细胞免疫过程的重要参与者。下列叙述正确的有( )项。 ①免疫细胞表面的受体可识别细菌、病毒等入侵机体的病原体 ②树突状细胞能够处理和呈递抗原,淋巴细胞不能呈递抗原 ③辅助性T细胞参与体液免疫过程而不参与细胞免疫过程 ④体液免疫可产生记忆B细胞,细胞免疫可产生记忆T细胞 ⑤免疫活性物质都由免疫细胞产生,并发挥免疫作用 的物质 ⑥某些致病细菌感染人体既可引发体液免疫又可引发细胞免疫 ⑦病毒与辅助性T细胞接触为B细胞的激活提供第二个信号 A. 两项 B. 三项 C. 四项 D. 五项 24. 机体内环境稳态是神经调节、体液调节和免疫调节共同作用的结果,是人体进行正常生命活动的必要 条件。请结合图示(图中a、b、c、d表示器官或细胞;①②③表示物质)分析,下列说法中错误的是( )A. 图中①②③三种物质既体现了激素分泌的分级调节,又体现了反馈调节 B. 图中a器官是既能传导兴奋,又能分泌激素TRH C. c细胞可产生抗体,其原因是c细胞识别抗原后迅速增殖分化 D. 焦虑和紧张会导致细胞因子的分泌减少,机体免疫力下降 25. 辅助T细胞(Th)在体液免疫和细胞免疫反应过程中,起着重要的中心调控作用。激活的Th能够分泌 多种细胞因子,有的细胞因子可以启动细胞免疫,有的可以促进B细胞的增殖与抗体的生成。下列相关叙 述错误的是( ) A. Th能够将细胞免疫和体液免疫紧密的联系在一起 B. Th被激活后分泌细胞因子调控体液免疫和细胞免疫 C. Th分泌的细胞因子是免疫系统组成中的免疫活性物质 D. Th和吞噬细胞的功能是相同的,具有识别吞噬病原体的作用 二、不定项选择题(本题共5道题,每题3分,共15分。在每小题给出的四个选项中,有一 项或多项符合要求。) 的 26. 如图是健康小鼠从温度为T 环境进入T 的环境后,机体散热量随时间变化的模式图。下列有关分析 1 2 错误的是( ) A. T 低于T,低温刺激冷觉感受器并产生兴奋传至下丘脑的体温调节中枢 2 1B. 进入温度为T 的环境后,甲状腺激素和肾上腺素分泌均增加 2 C. 进入温度为T 的环境段时间后散热量又降低与骨骼肌战栗有关 2 D. 进入温度为T 的环境后,散热量改变的同时会产生冷觉 2 27. 环孢素A是霉菌的一种代谢产物,它能选择性地抑制辅助性T细胞的增殖。那么,环孢素A可用于( ) A. 预防和治疗艾滋病 B. 降低恶性肿瘤的发病率 C. 降低移植器官被排斥的概率 D. 清除宿主细胞内的结核分枝杆菌 28. 人体细胞与外界环境进行物质交换的过程中,涉及多种器官和生理过程。图中A、B、C表示直接与内 环境进行物质交换的几种器官,①②是有关的生理过程。下列关于该图的分析,正确的是( ) A. 细胞通过内环境获取营养物质的主要途径是①和② B. A为肺,血液中的O 含量的相对稳定,需要呼吸系统和循环系统参与 2 C. 细胞外液的渗透压90%来自于Na+和 ,C参与渗透压稳态的维持 D. 内环境与外界环境的物质交换只通过A、B、C完成 29. 细胞所处的内环境变化可影响其兴奋性、膜电位达到阈电位(即引发动作电位的临界值)后,才能产 生兴奋。如图所示,甲、乙和丙表示不同环境下静息电位或阈电位的变化情况。下列叙述正确的是( )A. 正常环境中细胞的动作电位峰值受膜内外钠离子浓度差影响 B. 环境甲中钾离子浓度低于正常环境 C. 细胞膜电位达到阈电位后,钠离子通道才开放 D. 同一细胞在环境乙中比丙中更难发生兴奋 30. 机体内各种激素彼此关联,相互影响,共同参与调节同一生理功能。下列对激素间相互关系的描述, 正确的是( ) A. 胰岛素与胰高血糖素都对血糖的稳定起作用,二者为协同关系 B. 胰岛素可降低血糖,肾上腺素可使血糖升高,二者作用相抗衡 C. 雌激素和雄激素都抑制垂体分泌促性腺激素,二者为协同关系 D. 生长激素可促进生长,甲状腺激素可促进发育,二者作用相抗衡 三、非选择题 31. 下图是人体对某病毒的部分免疫过程示意图,I~VII表示不同种类的细胞,Th细胞(辅助性T细胞) 是T细胞的一种,a~g代表不同物质。回答下列问题。 (1)图中细胞_____________(填序号)均能特异性识别抗原。 (2)再次接触同种抗原时,图中细胞_____________能迅速增殖分化。 (3)图中的免疫活性物质有细胞因子d、e、f和_____________(填序号) (4)病毒侵染人体后,机体的体液免疫和细胞免疫均会发挥作用,在清除寄生于宿主细胞内的病毒时,主要依靠_____________免疫。 (5)接种疫苗后,当机体再次接触相同抗原时,免疫反应的特点是__________________。 (6)人体感染该病毒后,有时免疫系统会反应过度,引发“细胞因子风暴”(如物质d、e、f等过量产 生),导致正常组织器官受损,这属于免疫失调中的_____________。临床上常使用_____________(填 “免疫增强”或“免疫抑制”)类药物进行干预。 32. NO是一种重要的信号分子,其在突触处的信息传递过程中发挥独特的作用。下图为NO参与调节的2 种突触示意图,其中图2中的谷氨酸是一种兴奋性神经递质。回答下列问题: (1)突触是由突触前膜、_______和突触后膜构成的。分析图1可知,当电信号传导至突触小体时,会引 起Ca2+内流。该情况下,内流的Ca2+发挥的作用有_____________;乙酰胆碱与突触后膜上的受体结合并活 化G蛋白,进而导致平滑肌松弛,此时平滑肌细胞膜外侧的电位是___________。 (2)分析图2可知,突触后膜会持续兴奋,源于NO参与了正反馈调节,该调节过程是_______;谷氨酸 在突触后膜可发挥不同的作用,原因是_____________。 (3)NO是一种非典型的神经递质。据图分析,与典型神经递质相比,NO具有非典型的传递方式,即具 有_____________的特点。 33. 猕猴桃是雌雄异株植物,其果实的正常发育需要授粉。研究人员探究了植物生长调节剂在猕猴桃增产 和无籽果实培育中的应用。 (1)为探究生长素类调节剂对猕猴桃嫩枝扦插生根的影响,科研人员用一系列浓度的2,4-D溶液处理插 条。观察发现,某一浓度2,4-D处理的插条生根数量多且根粗壮,而高于此浓度的处理组则抑制生根,这 体现了2,4-D的作用特点_____________。在进行该实验时,每个插条需保留相同数目的芽,相同数目的 目的是______________。由于研究人员选用的2,4-D浓度较高,则宜选用___________法处理枝条。 (2)研究人员在盛花期,用赤霉素+2,4-D等混合液喷施雌花,成功获得了无籽果实。此过程中,赤霉素 能促进细胞_________,提高果实鲜重;2,4-D提高了坐果率,诱导了果实发育。(3)为进一步评估该混合液的增产效果,实验应设置一组___________处理作为对照。结果表明,实验组 平均单果重和总产量均显著增加。从生产实践的角度分析,使用该技术可以减少___________的种植比例。 34. 胰岛素是调节血糖的重要激素,研究者研制了一种“智能”胰岛素(1A)并对其展开了系列实验,以 期用于糖尿病的治疗。 (1)正常情况下,人体血糖浓度升高时,___细胞分泌的胰岛素增多,该激素释放后能明显促进组织细胞 对葡萄糖的___,使血糖浓度降低。 (2)GT是葡萄糖进入细胞的载体蛋白,IA(见图1)中的X能够抑制GT的功能。为测试葡萄糖对IA与 GT结合的影响,将足量的带荧光标记的1A加入红细胞膜悬液中处理30分钟,使IA与膜上的胰岛素受体、 GT充分结合。之后,分别加入葡萄糖至不同的最终浓度,10分钟后检测膜上的荧光强度。图2结果显示: 随着葡萄糖浓度的升高,______。研究表明葡萄糖浓度越高,IA与GT结合量越低。据上述信息,推断 IA、葡萄糖、GT三者的关系为___。 (3)为评估UA调节血糖水平的效果,研究人员给糖尿病小鼠和正常小鼠均分别注射适量胰岛素和1A, 测量血糖浓度的变化,结果如图3。 该实验结果表明1A对血糖水平的调节比外源普通胰岛素更具优势,体现在___。