当前位置:首页>文档>黑龙江省哈尔滨市省实验中学2025-2026学年高二上学期11月期中物理试题(原卷版)_2025年11月高二试卷_251121黑龙江省哈尔滨市省实验中学2025-2026学年高二上学期期中

黑龙江省哈尔滨市省实验中学2025-2026学年高二上学期11月期中物理试题(原卷版)_2025年11月高二试卷_251121黑龙江省哈尔滨市省实验中学2025-2026学年高二上学期期中

  • 2026-04-08 17:00:05 2026-02-19 14:32:58

文档预览

黑龙江省哈尔滨市省实验中学2025-2026学年高二上学期11月期中物理试题(原卷版)_2025年11月高二试卷_251121黑龙江省哈尔滨市省实验中学2025-2026学年高二上学期期中
黑龙江省哈尔滨市省实验中学2025-2026学年高二上学期11月期中物理试题(原卷版)_2025年11月高二试卷_251121黑龙江省哈尔滨市省实验中学2025-2026学年高二上学期期中
黑龙江省哈尔滨市省实验中学2025-2026学年高二上学期11月期中物理试题(原卷版)_2025年11月高二试卷_251121黑龙江省哈尔滨市省实验中学2025-2026学年高二上学期期中
黑龙江省哈尔滨市省实验中学2025-2026学年高二上学期11月期中物理试题(原卷版)_2025年11月高二试卷_251121黑龙江省哈尔滨市省实验中学2025-2026学年高二上学期期中
黑龙江省哈尔滨市省实验中学2025-2026学年高二上学期11月期中物理试题(原卷版)_2025年11月高二试卷_251121黑龙江省哈尔滨市省实验中学2025-2026学年高二上学期期中
黑龙江省哈尔滨市省实验中学2025-2026学年高二上学期11月期中物理试题(原卷版)_2025年11月高二试卷_251121黑龙江省哈尔滨市省实验中学2025-2026学年高二上学期期中

文档信息

文档格式
docx
文档大小
0.550 MB
文档页数
6 页
上传时间
2026-02-19 14:32:58

文档内容

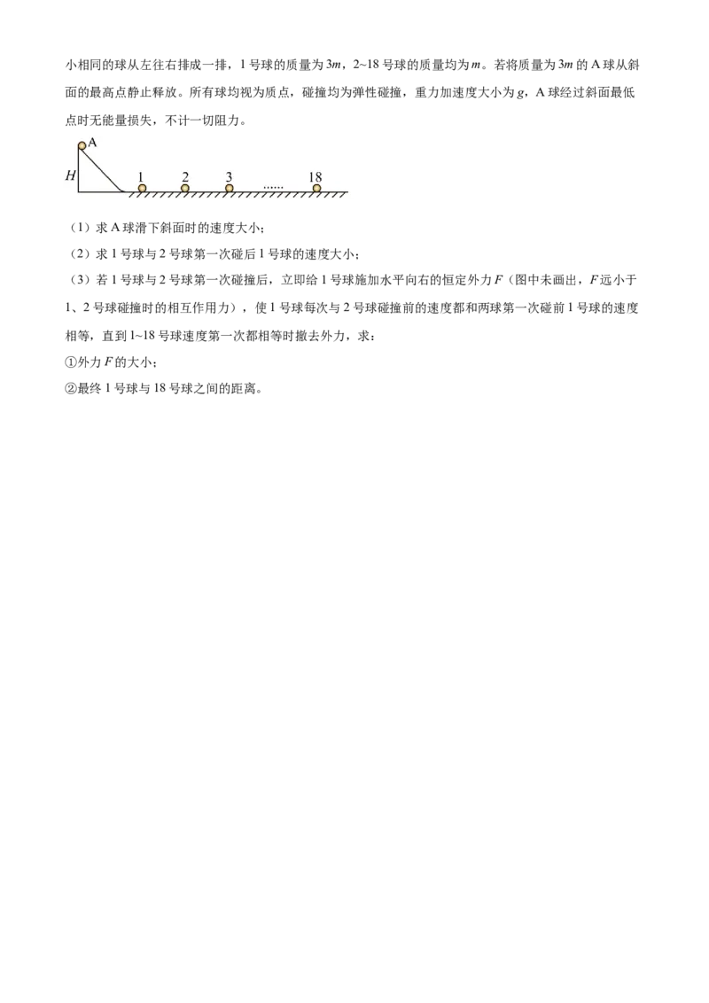
黑龙江省实验中学 2025-2026 学年度高二学年上学期期中考试 物理学科试题 考试时间:75分钟 总分:100分 一、选择题:本题共10小题,共46分。在每小题给出的四个选项中,第1~7题只有一项符 合题目要求,每题4分;第8~10题有多项符合题目要求,每题6分,全部选对的得6分,选 对但不全的得3分,有选错的得0分。 1. 用小球和轻弹簧组成弹簧振子,使其沿水平方向做简谐运动,振动图像如图所示,下列描述正确的是( ) A. 时,振子的速度最大 B. 时,振子的速度最小 C. 时,振子的加速度最大 D. 时,振子的加速度最大 2. 如图所示,质量不相等的两物块P、Q用轻质弹簧连接静止在光滑水平面上,系统在外力的作用下弹簧 处于压缩状态,现撤去外力,在此后的运动过程中,弹簧始终在弹性限度范围内,对P、Q和弹簧组成的 系统,下列说法正确的是( ) A. 动量不守恒,机械能不守恒 B. 动量守恒,机械能守恒 C. 动量不守恒,机械能守恒 D. 动量守恒,机械能不守恒 3. 图为键盘一个按键的示意图,按键下面连着由两块金属片组成的小电容器,上金属片连接按键,下金属 片固定。按下按键后,两金属片的间隙变小,则电容器的电容( ) A. 变大 B. 变小 C. 不变 D. 无法判断 4. 如图所示的电路中,输入电压U恒为8V,灯泡L标有“3V,6W”字样,若灯泡恰能正常发光,以下说法正确的是( ) A. 电动机的输出功率是10W B. 电动机的电阻为 C. 电动机的机械效率可以计算 D. 整个电路消耗的电功率是16W 5. 城市进入高楼时代后,高空坠物已成为危害极大的社会安全问题。假设一个质量为50g的鸡蛋从45m高 处由静止释放后,砸到地面的一个安全帽上,鸡蛋壳与安全帽的作用时间为 ,重力加速度g取 ,则安全帽受到的平均冲击力大小约为( ) A. 3000N B. 300N C. 30N D. 0.5N 的 6. 某灵敏电流计 满偏电流为100mA,与阻值为2Ω的定值电阻R并联可改装成量程为0.6A的电流表, 如图所示,则该灵敏电流计的内阻为( ) A. 10Ω B. 0.4Ω C. 20Ω D. 0.2Ω 7. 如图所示,甲、乙两船的总质量(包括船、人和货物)分别为10m、12m,两船沿同一直线相向运动, 速率分别为 、 ,为避免两船相撞,乙船上的人将一质量为m的货物沿水平方向抛向甲船,甲船上的 人将货物接住。不计水的阻力。则抛出货物的对地最小速率是( ) . A B. C. D.8. 如图所示,带电的平行板电容器水平放置,质量相同,重力不计的带电微粒A、B,平行于极板以相同 的初速度射入电场,结果打在极板上的同一点 上。不计两微粒之间的库仑力,则( ) A. 微粒在电场中运动的加速度 = B. 微粒在电场中运动的加速度 > C. 微粒在电场中运动的时间 = D. 微粒在电场中运动的时间 > 9. 如图所示,定值电阻 (r为电源内阻),滑动变阻器 的最大阻值为 ,闭合开关S, 在滑动变阻器的滑片P由左端a向右端b滑动的过程中,以下说法中正确的是( ) A. 电源总功率变小 B. 消耗的功率先变大后变小 C. 滑动变阻器消耗的功率先变大后变小 D. 电源的输出功率先变大后变小 10. 如图甲所示,a、b两物块(均视为质点)用劲度系数为k的轻质弹簧连接并放置在光滑的水平面上,t = 0时,使a获得水平向右、大小为v 的速度,a、b运动的速度—时间关系图像如图乙所示,已知阴影部 0 分的面积为S,弹簧的弹性势能E 与弹簧的形变量x以及弹簧的劲度系数k之间的关系式为 , 0 p 弹簧始终处于弹性限度内,下列说法正确的是( )A. t 时刻,a、b间的距离最小 B. a的质量为 1 C. 0 ~ t 时间内,a所受冲量的大小为 D. 0 ~ t 时间内b的位移大小 3 1 二、非选择题:本题共5小题,共54分。 11. 某同学练习使用多用电表 (1)用多用电表测电阻时,下列说法正确的是_________。 A.测量前必须欧姆调零,而且每测一次电阻都要重新调零 B.用选择开关指向欧姆挡“ ”位置的多用电表测某电阻阻值,如果指针偏转角度太小,应这将选择 开关调至“ ”挡 C.待测电阻若是连接在电路中,应当先把它与其他元件断开后再测量 D.使用完毕应当拨出表笔,并把选择开关旋到OFF挡或直流电压最高挡 (2)用多用电表测电流时,若多用电表未接入电路时。指针如图1所示,接着的操作是__________。将多 用电表接入电路时,应该让电流从___________(填“红”或“黑”)表笔流入,若选择开关拨至 “50mA”挡,指针所指的位置如图2所示,则电路中的电流为_________mA。 12. 用图甲的“碰撞实验器”可以验证动量守恒定律,即研究两个小球在轨道水平部分碰撞前后的动量关 系。O点是小球抛出时球心在地面上的垂直投影点。实验时,先让入射小球1多次从斜轨上S位置由静止 释放,找到多次落地点的平均位置P,测量平抛水平射程OP;然后把被碰小球2静置于水平轨道的末端, 再将入射小球1从斜轨上S位置由静止释放,与小球2相撞;多次重复实验,找到两个小球落地的平均位 置M、N。的 (1)下列器材选取,说法正确 是( ) A.可选用半径不同的两小球 B.选用两球的质量应满足m > m 1 2 C.斜槽轨道必须光滑 (2)图乙是小球m 的多次落点痕迹,由此可确定其落点的平均位置对应的读数为___________cm; 2 (3)①在某次实验中,测量出两小球的质量分别为m、m,三个落点的平均位置与O点的距离分别为 1 2 OM、OP、ON。在实验误差允许范围内,若满足关系式___________,即验证了碰撞前后两小球组成的系 统动量守恒(用所给已知量表示); ②若碰撞过程中机械能守恒,不计空气阻力,下列关系式正确的是___________。 A.m∙ON2= m∙OM2+m∙OP2 1 1 2 B.m∙OP2= m∙OM2+m∙ON2 1 1 2 C.m∙OP3= m∙OM3+m∙ON3 1 1 2 13. 在如图所示的匀强电场中,一个电荷量Q=+2.0×10-8 C的点电荷所受电场力F=4.0×10-4 N.沿电场线方 向有A、B两点,A、B两点间的距离s=0.10 m.(不计重力) 求: (1)匀强电场的电场强度E的大小; (2)该点电荷从A点静止释放到B点时的动能E . KB 14. 如图所示,光滑水平桌面上一只质量为5.0 kg的保龄球,撞上一只原来静止,质量为1.5 kg的球瓶。此 后球瓶以3.0 m/s的速度向前飞出,而保龄球以2.0 m/s的速度继续向前运动,求: (1)碰撞前保龄球的速度大小; (2)通过计算判断该碰撞 是弹性碰撞还是非弹性碰撞。 15. 如图,高度为H的斜面与足够长的水平轨道平滑连接,水平轨道上相邻两球间距均为 的18个大小相同的球从左往右排成一排,1号球的质量为3m,2~18号球的质量均为m。若将质量为3m的A球从斜 面的最高点静止释放。所有球均视为质点,碰撞均为弹性碰撞,重力加速度大小为g,A球经过斜面最低 点时无能量损失,不计一切阻力。 (1)求A球滑下斜面时的速度大小; (2)求1号球与2号球第一次碰后1号球的速度大小; (3)若1号球与2号球第一次碰撞后,立即给1号球施加水平向右的恒定外力F(图中未画出,F远小于 1、2号球碰撞时的相互作用力),使1号球每次与2号球碰撞前的速度都和两球第一次碰前1号球的速度 相等,直到1~18号球速度第一次都相等时撤去外力,求: ①外力F的大小; ②最终1号球与18号球之间的距离。