当前位置:首页>文档>专题突破卷13电磁感应中的电路问题和图像问题(解析版)_4.2025物理总复习_2025年新高考资料_一轮复习_2025年高考物理一轮复习考点通关卷(新高考通用)

专题突破卷13电磁感应中的电路问题和图像问题(解析版)_4.2025物理总复习_2025年新高考资料_一轮复习_2025年高考物理一轮复习考点通关卷(新高考通用)

  • 2026-03-10 05:41:17 2026-03-10 05:41:17

文档预览

专题突破卷13电磁感应中的电路问题和图像问题(解析版)_4.2025物理总复习_2025年新高考资料_一轮复习_2025年高考物理一轮复习考点通关卷(新高考通用)
专题突破卷13电磁感应中的电路问题和图像问题(解析版)_4.2025物理总复习_2025年新高考资料_一轮复习_2025年高考物理一轮复习考点通关卷(新高考通用)
专题突破卷13电磁感应中的电路问题和图像问题(解析版)_4.2025物理总复习_2025年新高考资料_一轮复习_2025年高考物理一轮复习考点通关卷(新高考通用)
专题突破卷13电磁感应中的电路问题和图像问题(解析版)_4.2025物理总复习_2025年新高考资料_一轮复习_2025年高考物理一轮复习考点通关卷(新高考通用)
专题突破卷13电磁感应中的电路问题和图像问题(解析版)_4.2025物理总复习_2025年新高考资料_一轮复习_2025年高考物理一轮复习考点通关卷(新高考通用)
专题突破卷13电磁感应中的电路问题和图像问题(解析版)_4.2025物理总复习_2025年新高考资料_一轮复习_2025年高考物理一轮复习考点通关卷(新高考通用)
专题突破卷13电磁感应中的电路问题和图像问题(解析版)_4.2025物理总复习_2025年新高考资料_一轮复习_2025年高考物理一轮复习考点通关卷(新高考通用)
专题突破卷13电磁感应中的电路问题和图像问题(解析版)_4.2025物理总复习_2025年新高考资料_一轮复习_2025年高考物理一轮复习考点通关卷(新高考通用)
专题突破卷13电磁感应中的电路问题和图像问题(解析版)_4.2025物理总复习_2025年新高考资料_一轮复习_2025年高考物理一轮复习考点通关卷(新高考通用)
专题突破卷13电磁感应中的电路问题和图像问题(解析版)_4.2025物理总复习_2025年新高考资料_一轮复习_2025年高考物理一轮复习考点通关卷(新高考通用)
专题突破卷13电磁感应中的电路问题和图像问题(解析版)_4.2025物理总复习_2025年新高考资料_一轮复习_2025年高考物理一轮复习考点通关卷(新高考通用)
专题突破卷13电磁感应中的电路问题和图像问题(解析版)_4.2025物理总复习_2025年新高考资料_一轮复习_2025年高考物理一轮复习考点通关卷(新高考通用)
专题突破卷13电磁感应中的电路问题和图像问题(解析版)_4.2025物理总复习_2025年新高考资料_一轮复习_2025年高考物理一轮复习考点通关卷(新高考通用)
专题突破卷13电磁感应中的电路问题和图像问题(解析版)_4.2025物理总复习_2025年新高考资料_一轮复习_2025年高考物理一轮复习考点通关卷(新高考通用)
专题突破卷13电磁感应中的电路问题和图像问题(解析版)_4.2025物理总复习_2025年新高考资料_一轮复习_2025年高考物理一轮复习考点通关卷(新高考通用)
专题突破卷13电磁感应中的电路问题和图像问题(解析版)_4.2025物理总复习_2025年新高考资料_一轮复习_2025年高考物理一轮复习考点通关卷(新高考通用)
专题突破卷13电磁感应中的电路问题和图像问题(解析版)_4.2025物理总复习_2025年新高考资料_一轮复习_2025年高考物理一轮复习考点通关卷(新高考通用)
专题突破卷13电磁感应中的电路问题和图像问题(解析版)_4.2025物理总复习_2025年新高考资料_一轮复习_2025年高考物理一轮复习考点通关卷(新高考通用)
专题突破卷13电磁感应中的电路问题和图像问题(解析版)_4.2025物理总复习_2025年新高考资料_一轮复习_2025年高考物理一轮复习考点通关卷(新高考通用)
专题突破卷13电磁感应中的电路问题和图像问题(解析版)_4.2025物理总复习_2025年新高考资料_一轮复习_2025年高考物理一轮复习考点通关卷(新高考通用)
专题突破卷13电磁感应中的电路问题和图像问题(解析版)_4.2025物理总复习_2025年新高考资料_一轮复习_2025年高考物理一轮复习考点通关卷(新高考通用)
专题突破卷13电磁感应中的电路问题和图像问题(解析版)_4.2025物理总复习_2025年新高考资料_一轮复习_2025年高考物理一轮复习考点通关卷(新高考通用)
专题突破卷13电磁感应中的电路问题和图像问题(解析版)_4.2025物理总复习_2025年新高考资料_一轮复习_2025年高考物理一轮复习考点通关卷(新高考通用)
专题突破卷13电磁感应中的电路问题和图像问题(解析版)_4.2025物理总复习_2025年新高考资料_一轮复习_2025年高考物理一轮复习考点通关卷(新高考通用)
专题突破卷13电磁感应中的电路问题和图像问题(解析版)_4.2025物理总复习_2025年新高考资料_一轮复习_2025年高考物理一轮复习考点通关卷(新高考通用)
专题突破卷13电磁感应中的电路问题和图像问题(解析版)_4.2025物理总复习_2025年新高考资料_一轮复习_2025年高考物理一轮复习考点通关卷(新高考通用)
专题突破卷13电磁感应中的电路问题和图像问题(解析版)_4.2025物理总复习_2025年新高考资料_一轮复习_2025年高考物理一轮复习考点通关卷(新高考通用)
专题突破卷13电磁感应中的电路问题和图像问题(解析版)_4.2025物理总复习_2025年新高考资料_一轮复习_2025年高考物理一轮复习考点通关卷(新高考通用)
专题突破卷13电磁感应中的电路问题和图像问题(解析版)_4.2025物理总复习_2025年新高考资料_一轮复习_2025年高考物理一轮复习考点通关卷(新高考通用)
专题突破卷13电磁感应中的电路问题和图像问题(解析版)_4.2025物理总复习_2025年新高考资料_一轮复习_2025年高考物理一轮复习考点通关卷(新高考通用)
专题突破卷13电磁感应中的电路问题和图像问题(解析版)_4.2025物理总复习_2025年新高考资料_一轮复习_2025年高考物理一轮复习考点通关卷(新高考通用)
专题突破卷13电磁感应中的电路问题和图像问题(解析版)_4.2025物理总复习_2025年新高考资料_一轮复习_2025年高考物理一轮复习考点通关卷(新高考通用)
专题突破卷13电磁感应中的电路问题和图像问题(解析版)_4.2025物理总复习_2025年新高考资料_一轮复习_2025年高考物理一轮复习考点通关卷(新高考通用)

文档信息

文档格式
docx
文档大小
1.667 MB
文档页数
33 页
上传时间
2026-03-10 05:41:17

文档内容

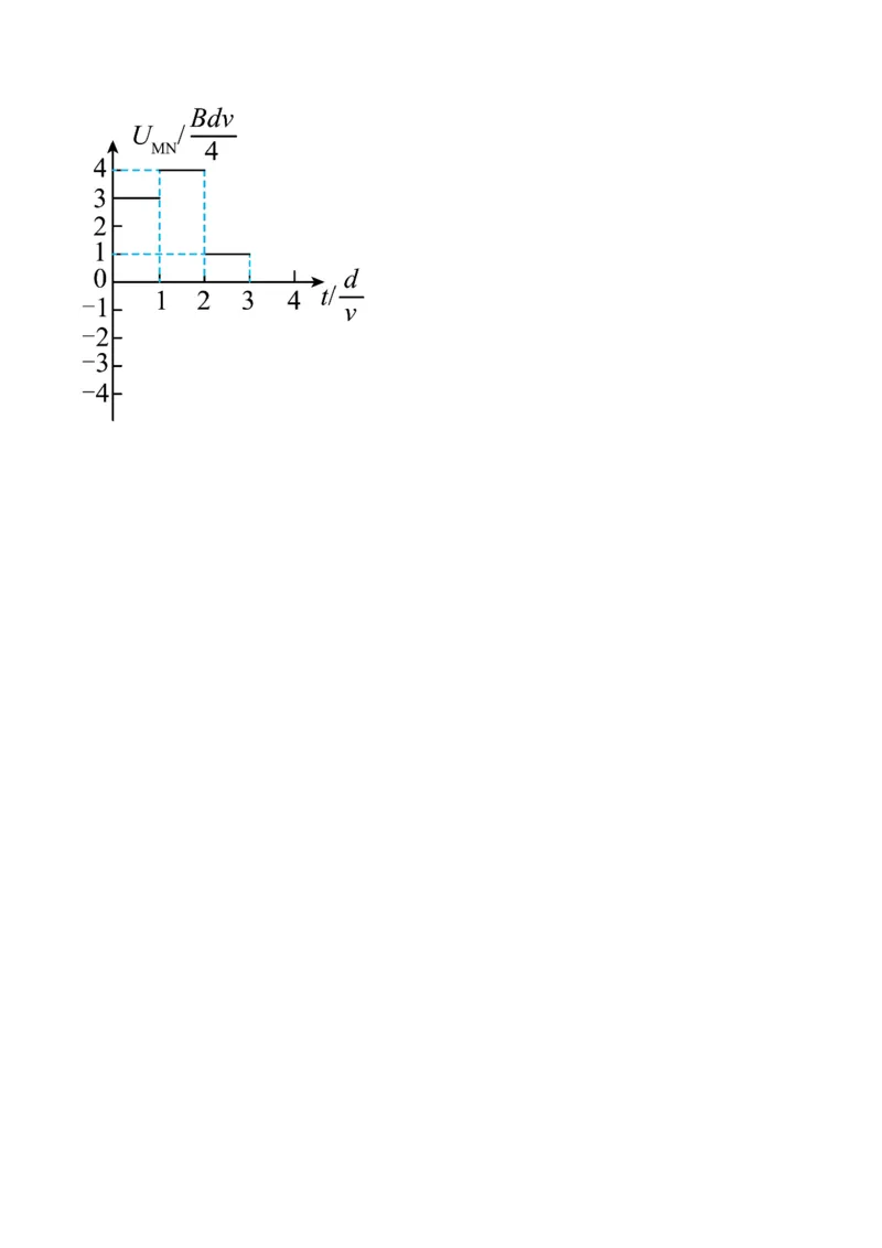
专题突破卷 13 电磁感应中的电路问题和图像问题 建议用时:75分钟 考点 考向 题型分布 电磁感应中的电路 考向1:电磁感应等效电路(电压、电 5 单选+13 多选 问题和图像问题 流、电阻的计算) +2计算 考向2:电路中焦耳热和功率的计算 考向3:电路中流过电荷量的计算 考向4:U-t图像 考向5:I-t图像 考向6:F-t、a-t图像等 电磁感应中的电路问题和图像问题(5 单选+13 多选+2 计算) 1.(2024·北京海淀·三模)如图所示,先后用一垂直于cd边的恒定外力以速度 和 匀速把一正方形导 线框拉出有界的匀强磁场区域, ,拉出过程中ab边始终平行于磁场边界。先后两次把导线框拉出 磁场情况下,下列结论正确的是( )A.感应电流之比 B.外力大小之比 C.拉力的功率之比 D.拉力的冲量大小之比 【答案】B 【详解】A.根据 可得感应电流之比 故A错误; B.根据 可得外力大小之比 故B正确; C.根据 可得拉力的功率之比 故C错误; D.根据 又 联立,解得 可得拉力的冲量大小之比故D错误。 故选B。 2.(2024·四川巴中·一模)如图所示,平行金属导轨水平放置,导轨左端连接一阻值为R的电阻,导轨所 在空间存在竖直向下的匀强磁场,磁感应强度为B,已知长度为l导体棒MN倾斜放置于导轨上,与导轨成 θ角,导体棒电阻为r,保持导体棒以速度v沿平行于导轨方向匀速向右运动,导轨电阻不计,下列说法正 确的是( ) A.导体棒中感应电流的方向为N到M B.MN两端的电势差大小为 C.导体棒所受的安培力大小为 D.电阻R的发热功率为 【答案】C 【详解】A.导体棒沿导轨向右匀速运动时,由右手定则可知,导体棒中感应电流的方向为N到M,故A 错误; B.导体棒切割产生的感应电动势大小为 故导体棒两端的电势差大小为 故B错误; C.导体棒所受的安培力大小为 故C正确; D.电阻R的发热功率为故D错误。 故选C。 3.(2024·河北沧州·三模)如图所示,“凹”字形金属线框右侧有一宽度为3L的匀强磁场区域,磁场方 向垂直于纸面向里。线框在纸面内向右匀速通过磁场区域,t 0时,线框开始进入磁场。设逆时针方向为 感应电流的正方向,则线框中感应电流i随时间t变化的图像可能正确的是( ) A. B. C. D. 【答案】A 【详解】设运动的速度为v,线框总电阻为R,线框进入磁场0~L时,只有最右侧的两个短边切割磁感线, 感应电流的方向为逆时针,大小为 线框进入磁场L~3L时,金属线切割磁感线的有效长度为3L,感应电流方向为逆时针,大小为 线框离开磁场0~L时,金属线切割磁感线的有效长度为2L,从左侧长边进入磁场,至右侧的中间短边离开磁场,感应电流方向为顺时针,大小为 线框离开磁场L~3L时,金属线切割磁感线的有效长度为3L,从右侧中间短边离开磁场,至左侧长边离开 磁场,感应电流方向为顺时针,大小为 故选A。 4.(2024·山东济南·三模)如图所示,半径为 的半圆形闭合金属线框可绕圆心 在纸面内逆时针匀速转 动,过 点的边界上方存在垂直于纸面向外的匀强磁场,磁感应强度大小为 。初始时线框直径与虚线边 界垂直。已知线框的电阻为 ,线框匀速转动的角速度为 ,从图示位置开始计时,以顺时针为感应电流 的正方向,下列关于线圈中的感应电流 随时间 的变化关系正确的是( ) A. B. C. D. 【答案】D 【详解】如图所示在 时间内,穿过线圈的磁通量向外增加,根据楞次定律可知,线圈中的感应电流方向为顺时针方向 (正方向),线圈切割磁感线的有效长度为 则线圈转动切割磁感线产生的电动势为 线圈中的感应电流为 在 时间内,整个线圈都在磁场中,线圈的感应电流为0; 在 时间内,穿过线圈的磁通量向外减小,根据楞次定律可知,线圈中的感应电流方向为逆时针方 向(负方向),线圈切割磁感线的有效长度为 则线圈转动切割磁感线产生的电动势为 线圈中的感应电流为 在 时间内,整个线圈都在磁场外,线圈的感应电流为0。 故选D。 5.(2023·山东菏泽·一模)如图所示,MNQP是边长为L和2L的矩形,在其由对角线划分的两个三角形 区域内充满磁感应强度大小相等、方向相反的匀强磁场。边长为L的正方形导线框,在外力作用下水平向 左匀速运动,线框左边始终与MN平行。设导线框中感应电流i逆时针流向为正。若 时左边框与PQ重合,则左边框由PQ运动到MN的过程中,下列 图像正确的是( ) A. B. C. D. 【答案】D 【详解】 内是线框的左边框由PQ向左进入磁场,根据右手定则知感应电流为顺时针(负),而切割 磁感线的有效长度随着水平位移而均匀减小,则感应电流的大小均匀减小; 内,线框的前后双边同向同速切割相反的磁场,双源相加为总电动势,电流方向为逆时针(正), 两边的有效长度之和等于L,则电流大小恒定。 故选D。 6.(2024·山东泰安·模拟预测)如图所示,两足够长且间距为L=1m的光滑平行导轨倾斜固定,倾角为 θ=30°。导轨顶端接有两个灯泡,灯泡甲的规格为(3W,3V),灯泡乙的规格为(6W,3V),在与导轨垂 直的虚线ab、cd内有垂直于斜面向下的匀强磁场。第一次只闭合开关S ,让导体棒从虚线ab上方x=1.6m 1 处垂直导轨由静止释放,导体棒恰好能匀速通过磁场区域,且灯泡甲正常发光;第二次同时闭合开关S 、 1 S ,仍将导体棒从原位置释放,已知bd间距离为l=0.5m,导体棒电阻r=1Ω,忽略温度对灯泡电阻丝的影响, 2 重力加速度为g=10m/s2。导体棒运动过程中始终与导轨垂直,导轨电阻不计,下列说法正确的是( )A.磁场磁感应强度大小为1T B.导体棒的质量为0.1kg C.第二次导体棒进入磁场前后加速度大小不变 D.第二次导体棒离开磁场时已达到匀速状态 【答案】AC 【详解】A.导体棒从虚线ab上方x=1.6m处垂直导轨由静止释放,根据动能定理可得 解得导体棒进入磁场时的速度大小为 第一次只闭合开关S ,且灯泡甲正常发光,则有 1 , 则有 解得磁场磁感应强度大小为 故A正确; B.第一次只闭合开关S ,导体棒恰好能匀速通过磁场区域,根据受力平衡可得 1 解得导体棒的质量为 故B错误; C.第二次同时闭合开关S 、S ,进入磁场前,导体棒的加速度大小为 1 2 灯泡乙的电阻为则灯泡甲、乙并联的电阻为 导体棒刚进入磁场时,通过导体棒的电流为 导体棒刚进入磁场时,导体棒的加速度大小为 可知第二次导体棒进入磁场前后加速度大小不变,故C正确; D.若第二次导体棒离开磁场时已达到匀速状态,根据受力平衡可得 解得导体棒匀速时的速度大小为 若导体棒以刚进入磁场时的加速度 做匀减速直线运动,根据运动学公式可得 解得导体棒离开磁场时的速度大小为 实际上导体棒做加速度逐渐减小的减速运动,所以导体棒离开磁场时的速度应满足 可知第二次导体棒离开磁场时还没有达到匀速状态,故D错误。 故选AC。 7.(2024·陕西西安·模拟预测)用一段横截面半径为r、电阻率为ρ、密度为d的均匀导体材料做成一个半 径为 的圆环,圆环竖直向下落入如图所示的径向磁场中,圆环的圆心始终在N极的轴线上,圆环 所在位置的磁感应强度大小均为B。圆环在加速下落过程中某一时刻的速度为v,忽略电感的影响,下列说 法正确的是( )A.下落过程圆环中磁通量不变 B.此时圆环受到竖直向上的安培力作用 C.此时圆环的加速度大小为 D.如果径向磁场足够深,则圆环的最大速度为 【答案】BD 【详解】A.由题意可知,圆环下落过程中切割磁感线产生感应电流,则磁通量一定变化,故A错误; B.根据右手定则,圆环中有(俯视)顺时针的感应电流,根据左手定则可知,圆环受到的安培力竖直向 上,阻碍圆环的运动,故B正确; C.圆环落入磁感应强度为 的径向磁场中,产生的感应电动势 圆环的电阻 电流 圆环所受的安培力大小为 由牛顿第二定律得 其中质量 联立解得故C错误; D.当圆环做匀速运动时,安培力与重力大小相等,加速度为零,速度最大,即有 解得 D正确。 故选BD。 8.(2024·广东广州·三模)如图所示,在光滑绝缘的水平面上方有两个磁感应强度大小均为B、方向相反 的竖直匀强磁场区域,磁场宽度均为L。一个边长为L、电阻为R、匝数为N的正方形金属线框,在水平外 力作用下沿垂直磁场方向在水平面上匀速运动,线框的速度始终为v,从位置Ⅰ运动到位置Ⅱ(线框分别 有一半面积在两个磁场中)过程中,下列说法正确的是( ) A.线框刚进入左侧磁场时线框中感应电流方向为逆时针 B.在位置Ⅱ时外力F为 C.在位置Ⅱ时线框中的电功率为 D.从位置Ⅰ运动到位置Ⅱ的过程中线框的磁通量先增大后减小 【答案】ACD 【详解】AD.线框刚进入左侧磁场时,穿过线框的磁通量向里增加,根据楞次定律可知,线框中感应电流 方向为逆时针;线框从位置Ⅰ运动到位置Ⅱ的过程中,线框的磁通量先增大后减小,故AD正确; BC.线框在位置Ⅱ时,根据右手定则知线框左右边同时切割磁感线产生的电流同向,所以总电流为线框左右边所受安培力的方向均向左,根据受力平衡可得外力F为 此时线框中的电功率为 故B错误,C正确。 故选AD。 9.(2024·山西晋中·模拟预测)如图所示,光滑水平桌面被虚线分成左右两部分,右侧处于竖直向下的匀 强磁场中。同种材料做成粗细均匀、边长为 的单匝正方形线圈 在水平外力 的作用下进入磁场区域; 现将线圈 的导线拆开,均匀拉长后做成 匝边长为 的闭合正方形线圈 ,在水平外力 的作用下进入 该磁场区域。 进入该磁场区域的速度—时间图像相同,均为一条平行于横轴的直线(如图乙),在 线圈进入磁场的过程中,下列说法正确的是( ) A.线圈 的电阻之比为 B.水平外力 与 的比值为 C.通过线圈 某横截面的电荷量之比为 D.线圈 产生的焦耳热之比为 【答案】BD 【详解】A.根据电阻定律 可得线圈 的电阻之比为 故A错误;B. 进入该磁场区域的速度—时间图像相同,均为一条平行于横轴的直线,说明 做匀速直线运 动且速度大小相等,则 可知水平外力 与 的比值为 故B正确; C.感应电流为 根据 通过线圈 某横截面的电荷量 故C错误; D.此过程线圈产生的热量等于克服安培力做的功,此过程克服安培力做功为 线圈 产生的焦耳热之比为 故D正确。 故选BD。 10.(2024·云南·模拟预测)如图所示,水平面上固定放置有“ ”形光滑金属导轨,宽度为L。虚线 MN右侧存在方向垂直于导轨平面的匀强磁场(图中未画出),磁感应强度大小为B,磁场的区域足够大。 质量为m、电阻为R、长度也为L的导体棒垂直于导轨放置,以初速度 沿导轨进入匀强磁场区域,最终 静止。导体棒与导轨接触良好,不计金属导轨电阻,则( )A.金属棒刚进入磁场时受到的安培力大小为 B.金属棒在磁场中运动的时间为 C.金属棒在磁场中运动的距离为 D.流过金属棒横截面的总电量为 【答案】AC 【详解】A.根据题意可知,金属棒刚进入磁场时,感应电动势为 通过金属棒的感应电流为 金属棒刚进入磁场时受到的安培力大小为 故A正确; BCD.设金属棒在磁场中运动的距离为 ,由动量定理有 其中 则有 解得金属棒在磁场中运动的距离为流过金属棒横截面的总电量为 若金属棒做匀减速运动,则有 解得 由于金属棒做加速度减小的减速运动,所以金属棒在磁场中运动的时间不等于 ,故BD错误,C正确。 故选AC。 11.(2024·山东济宁·模拟预测)如图所示,间距L=1m、足够长的平行金属导轨倾斜放置,与水平面夹角 为30°,其左端接一阻值R=1Ω的定值电阻。直线MN垂直于导轨,在其左侧面积S=1m2的圆形区域内存在 垂直于导轨所在平面向上的磁场,磁感应强度B随时间的变化关系为B=8t(T),在其右侧(含边界MN) 存在磁感应强度大小B=2.5T、方向垂直导轨所在平面向下的匀强磁场。t=0时,某金属棒从MN处以 0 v=4m/s的初速度开始沿斜面向上运动,已知金属棒质量m=1kg,与导轨之间的动摩擦因数 ,导轨、 0 金属棒电阻不计且金属棒与导轨始终垂直且接触良好,重力加速度g=10m/s2,下列说法正确的是( ) A.t=0时,闭合回路中有大小为2A的逆时针方向的电流 B.金属棒在运动过程中受到的安培力方向一直沿斜面向下 C.金属棒最终将以1.2m/s的速度匀速运动 D.金属棒最终将以1.0m/s的速度匀速运动 【答案】AC 【详解】A.t=0时,金属棒产生的动生电动势大小方向由N到M。圆形区域内磁感应强度B随时间均匀变化,在闭合回路中产生感生电动势大小为 方向沿顺时针方向。因 ,所以金属棒中的电流方向由N→M,闭合回路中有逆时针方向的电流,电 流大小为 故A正确; B.金属棒开始运动时,金属棒受到沿斜面向下的安培力、重力的分力和摩擦力作用,沿斜面向上减速运 动,当 时,感应电流为零,但金属棒仍受到沿斜面向下的重力的分力和摩擦力作用,继续减速,此后 这时闭合回路中有顺时针方向的电流,金属棒受到沿斜面向上的安培力和沿斜面向下重力的分力、摩擦力 的作用,故金属棒在运动过程中受到的安培力方向不是一直沿斜面向下,故B错误; CD.沿斜面向上的安培力大小等于沿斜面向下重力的分力与摩擦力的合力时,金属棒开始匀速运动,即 解得金属棒匀速运动的速度大小 故C正确,D错误。 故选AC。 12.(2024·湖南·模拟预测)如图所示,在磁感应强度为B、方向垂直纸面向内的匀强磁场中,有一弯成 “V”字形的金属线AOC,夹角为 。设导线MN位于 处开始计时,且此时导线具有一向右的速度, 大小为 。同时,导线上存在一大小为R的定值电阻(始终处于闭合回路之中),且受到一向右的外力以 保证回路中电流大小保持不变。除定值电阻外其他电阻不计。下列说法正确的是( )A.导线作匀减速运动 B.电阻产生的焦耳热大于导线动能的减少量 C.导线到运动到 的时刻为 D.导线到运动到 时,电阻产生的焦耳热为 【答案】BC 【详解】A.回路中电流大小保持不变,则回路中感应电动势保持不变,当导体棒位移为 时,根据法拉第 电磁感应定律 解得 故导线的运动不是匀减速运动,故A错误; B.导线运动过程中,根据动能定理 且 , 可得 故电阻产生的焦耳热大于导线动能的减少量,故B正确; C.根据法拉第电磁感应定律解得导线到运动到 的时刻为 故C正确; D.回路中感应电流大小 导线到运动到 时,电阻产生的焦耳热为 故D错误。 故选BC。 13.(2024·山东·模拟预测)如图所示,两间距为 的足够长光滑导轨水平固定,整个空间存在竖直 向下的匀强磁场,磁感应强度大小为 ,长均为 、电阻均为 的导体棒P、Q垂直导轨 放置,P、Q棒的质量分别为 、 ,两棒间的距离为 。若Q棒固定,给P棒一水 平向右的初速度,两棒恰未碰撞。现Q棒不固定,给P棒同样的初速度,经一段时间两棒恰达到稳定状态。 棒始终与导轨接触良好且垂直导轨,导轨电阻不计。则( ) A.题述中P棒的初速度为4m/s B.达到稳定状态的过程经过P棒某横截面的电荷量为0.6C C.达到稳定状态的过程Q棒上产生的焦耳热为3J D.当P、Q棒速度之比为4:3时,Q棒的加速度大小为 【答案】BD【分析】考查法拉第电磁感应定律、动量守恒定律和能量守恒定律,检测考生的模型建构能力和分析综合 能力。 【详解】A.Q棒固定,由法拉第电磁感应定律有 由闭合电路欧姆定律有 对P棒由动量定理有 联立解得 A错误。 BC.Q棒不固定,当两棒恰达到稳定状态时两棒共速,由动量守恒定律有 解得 达到稳定状态的过程对Q棒由动量定理有 又 解得 整个过程两棒产生的焦耳热为 解得两棒阻值相等,则Q棒上产生的焦耳热为 B正确,C错误。 D.对两棒组成的系统,由动量守恒定律有 又 解得 、 电路中产生的电动势为 回路中电流为 Q棒所受的安培力为 由牛顿第二定律有 D正确。 故选BD。 14.(2024·广东东莞·模拟预测)如图甲是游乐园常见的跳楼机,跳楼机的电磁式制动原理如图乙所示。 跳楼机主干柱体上交替分布着方向相反、大小相等的匀强磁场,每块磁场区域的宽度均为0.8m,高度均相 同,磁感应强度的大小均为1T,中间座椅后方固定着100匝矩形线圈,线圈的宽度略大于磁场的宽度,高 度与磁场高度相同,总电阻为8Ω。若某次跳楼机失去其他保护,由静止从高处突然失控下落,乘客与设备 的总质量为640kg,重力加速度g取10m/s2,忽略摩擦阻力和空气阻力,则下列说法正确的是( )A.线圈中电流方向始终为顺时针 B.跳楼机的最大速度为2m/s C.当跳楼机的速度为1m/s时,线圈中感应电流为20A D.跳楼机速度最大时,克服安培力做功的功率为12800W 【答案】BCD 【详解】A.由右手定则可知,电流方向为逆时针与顺时针交替变化,故A错误; B.跳楼机由静止下落后受安培力与重力,有 跳楼机受到的安培力为 由法拉第电磁感应定律得 且 E i= R 可得 随着速度的增加,加速度减小,当加速度为0时,速度达到最大值,以后跳楼机做匀速运动,当跳楼机速 度最大时,安培力与重力平衡有 解得故B正确; C.由法拉第电磁感应定律得 由闭合电路欧姆定律,当跳楼机的速度为lm/s时,线圈中感应电流为 故C正确; D.当跳楼机速度最大时,有 克服安培力做功的功率为 故D正确。 故选BCD。 15.(2024·山西太原·二模)如图所示,水平平行边界内有垂直纸面向内的匀强磁场,磁感应强度 。 正方形单匝金属线框在磁场上方 处,以 向右水平抛出,下落过程中线框ab边始终与磁场边 界平行,ab边进入磁场和离开磁场时竖直方向的分速度均为 。线框质量为 ,边长为0.5m,总阻 值为1Ω,不计空气阻力,重力加速度g取 。下列说法正确的是( ) A.匀强磁场区域的高度为1.3m B.线框通过整个磁场区域所用时间0.8s C.线框进入磁场的过程中,水平位移为2.5m D.cd边刚进入磁场时,克服安培力做功的功率为5W【答案】AB 【详解】A.cd边刚进入磁场时竖直方向的分速度为 由题意,根据线框进出磁场过程的对称性可知,cd边刚出磁场时竖直方向的分速度也为 ,从ab 边刚进入磁场到cd边刚出磁场的过程中,线框中磁通量不变,感应电流为零,此过程线框自由下落,设匀 强磁场区域的高度为H,根据运动学规律有 解得 故A正确; B.设线框通过磁场上边界的时间为 ,线框中的平均电流为 ,根据动量定理有 根据电流的定义可知 时间内通过线框某一截面的电荷量为 根据法拉第电磁感应定律、闭合电路欧姆定律综合分析可知 联立解得 根据运动的对称性可知,线框穿出磁场区域的时间也为 ,线框中没有感应电流,只受到重力作用 时,线框下落所用时间为 则线框通过整个磁场区域所用时间为 故B正确;C.线框进入磁场过程中,bc边与ad边受到大小相等、方向相反的安培力的作用,故水平方向上受力平衡, 做匀速直线运动,则线框进入磁场过程中的水平位移为 故C错误; D.cd边刚进入磁场时竖直方向的分速度为 ,此时cd边切割磁感线产生的感应电动势为 线框中的电流为 cd边所受安培力大小为 cd边克服安培力做功的功率为 故D错误。 故选AB。 16.(2024·福建三明·三模)如图,两平行足够长且电阻可忽略的光滑金属导轨安装在倾角为θ光滑绝缘斜 面上,导轨间距L,磁感应强度B的有界匀强磁场宽度为d,磁场方向与导轨平面垂直;长度为2d的绝缘 杆将导体棒和边长为d的正方形单匝线框连接在一起组成如图装置,其总质量m,导体棒中通以大小为I 的恒定电流(由外接恒流源产生,图中未画出)。线框的总电阻为R,其下边与磁场区域边界平行。情形 1:将线框下边置于距磁场上边界x处由静止释放,线框恰好可匀速穿过磁场区域;情形2:线框下边与磁 场区域上边界重合时将线框由静止释放,导体棒恰好运动到磁场区域下边界处返回。导体棒在整个运动过 程中始终与导轨垂直,重力加速度g。则( ) A.情形1中,线框下边刚穿过磁场过程通过线框截面的电荷量B.情形1中,线框下边与磁场上边界的距离 C.情形2中,装置从释放到开始返回的过程中,线框中产生的焦耳热 D.情形2中,线框第一次穿越磁场区域所需的时间 【答案】BD 【详解】A.情形1中,线框刚穿过磁场过程通过线框截面的电荷量 故A错误; B.情形1中,对装置,当线框在磁场中匀速时 可得 装置在进入磁场前做匀变速直线运动,由动能定理 可得 故B正确; C.设装置由静止释放到导体棒运动到磁场下边界的过程中,作用在线框上的安培力做功为W,由动能定 理 其中 解得 故C错误; D.设线框刚离开磁场下边界时的速度为v,对装置在接着向下运动2d过程中,由动能定理 1可得 对装置在磁场中运动时,由牛顿第二定律 可得 在时间 内,有 则 有 而 解得 故D正确。 故选BD。 17.(2024·河南郑州·模拟预测)如图所示,绝缘光滑水平面上有一边长为 的等边三角形区域,区域 内存在垂直纸面向里的匀强磁场,磁感应强度大小为B,一半径为R、阻值为r的圆形导线框从a点(计时 起点)沿ad方向以速度v匀速穿过磁场区域,下列说法正确的是( )A. 时间内线框中电流先沿顺时针方向后沿逆时针方向 B. 时间内线框中的电流先增大后减小 C. 时刻线框所受安培力大小为 D. 和 时间内通过线框某横截面的电荷量之比为1∶6 【答案】BD 【详解】A.根据楞次定律判断电流方向根据几何关系可知,圆形线框与三角形磁场区域的内接圆等大, 时刻线框恰好完全进入磁场, 时刻,线框处于③位置,如图所示 恰有一半出磁场,根据楞次定律可知, 时间内线框中电流先沿逆时针后沿顺时针方向,故A错误; B. 0时刻,线框中感应电流为零, 时刻线框内的感应电流也为零, 时间内线框中的电流先增大 后减小,故B正确; C. 时刻,线框处于①位置,根据几何关系可知线框切割磁感线的有效长度为 ,根据法拉第电磁感 应定律可知线框产生的感应电动势为 电流安培力 联立解得 故C错误; D. 时刻,圆形线框的圆心在a点, 时间内磁通量的变化量为 时间内磁通量的变化量大小为 根据 可知 和 时间内通过线框某横截面的电荷量之比为 ,故D正确。 故选BD。 18.(2021·广东·模拟预测)如图所示,绝缘的水平面上固定有两条平行的光滑金属导轨,导轨电阻不计, 两相同金属棒 、 垂直导轨放置,其右侧矩形区域内存在恒定的匀强磁场,磁场方向竖直向上。现两金 属棒分别以初速度2v 和v 同时沿导轨自由运动,先后进入磁场区域。已知 棒离开磁场区域前 棒已经进 0 0 入磁场区域,则a棒从进入到离开磁场区域的过程中,电流 随时间t的变化图像可能正确的有( ) A. B.C. D. 【答案】AD 【详解】AC.a棒以速度2v 先进入磁场切割磁感线产生的感应电流为 0 a棒受安培阻力做变加速直线运动,感应电流也随之减小,即 图像的斜率逐渐变小;设当b 棒刚进入磁场时a棒减速的速度为 ,此时的瞬时电流为 若 ,即 此时双棒双电源反接,电流为零,不受安培力,两棒均匀速运动离开, 图像中无电流的图像,故A正 确,C错误; BD.若 ,即 此时双棒双电源的电动势不等要抵消一部分,因b棒的速度大,电流方向以b棒的流向,与原a棒的流向 相反即为负,大小为 b棒通电受安培力要减速,a棒受安培力而加速,则电流逐渐减小,故B错误,D正确。 故选AD。 19.(2024·天津北辰·三模)有关列车电气制动,可以借助如图所示简化模型来理解,图中水平平行金属 导轨处于竖直方向的匀强磁场中,导轨间距为 ,磁场的磁感应强度为 ,金属棒MN的质量 为 ,导轨右端接有阻值为 的电阻,金属棒接入电路部分的电阻为 ,导轨的电阻不计。 金属棒MN在安培力作用下向右减速运动的过程对应于列车的电气制动过程,金属棒MN开始减速时的初速度为 。 (1)求刚开始减速时,导体棒两端的电压U; (2)求刚开始减速时,安培力的功率P; (3)在制动过程中,列车还会受到空气阻力和轨道的摩擦力作用,为了研究问题方便,设简化模型受到 的这些阻力总和大小恒为 。在金属棒从开始减速到速度减至2m/s的过程中,金属棒的位移大小为 。求:该过程中电路产生的焦耳热Q。 【答案】(1) ;(2) ;(3) 【详解】(1)金属棒MN刚开始减速时,产生的电动势为 回路电流为 导体棒两端的电压为 (2)刚开始减速时,金属棒MN受到的安培力为 安培力的功率为 代入数据解得 (3)在金属棒从开始减速到速度减至2m/s的过程中,金属棒的位移大小为 ,由动能定理可得 又代入数据解得 20.(2024·河南郑州·模拟预测)如图所示,空间有一宽度为2d的有界匀强磁场,磁感应强度大小为B, 方向垂直纸面向外。一边长为d、电阻分布均匀的正方形导体框MNPQ,导体框总电阻值为R。从导体框 MN边进入磁场开始计时,导体框以恒定的速度大小v向右匀速穿过磁场区域的过程中,求: (1)当MN边刚进入磁场时,M、N两端的电势差,并指明哪端电势高; (2)导体框穿过磁场的过程中,导体框中产生的焦耳热; (3)试分析在 时间内M、N两点的电势差 随时间t变化的情况,并在乙图中画出变化的图像。 【答案】(1) ; 端电势高;(2) ;(3) 【详解】(1) 切割磁感线产生的感应电动势 回路中的感应电流 两端的电势差端电势高。 (2)设线框从 边刚进磁场到 边刚进磁场所用时间为 ,由焦耳定律有 解得导体框穿过磁场的过程中,导体框中产生的焦耳热 (3)在 时间内 两点的电势差 随时间 变化的情况可分为三段: 第一段:在 时间内,线框中产生的电动势 边相当于电源,电流由 流向 , 两点的电势差相当于路端电压,大小为 第二段:在 时间内,线框完全在磁场中运动,穿过线框的磁通量没有变化,不产生感应电流, 边仍然在切割磁感线, 两点的电势差大小为 第三段:在 时间内,线圈开始出磁场, 边离开磁场,只有 边切割磁感线,此时 边相当 于电源, 边中的电流由 流向 ,线圈中电动势为 、 两点的电势差为外电路部分电压,大小为 由以上三段可做出 两点的电势差 随时间 变化的图线如图所示
基本 文件 流程 错误 SQL 调试
  1. 请求信息 : 2026-03-10 05:45:34 HTTP/1.1 GET : https://www.yeyulingfeng.com/wendang/370135.html
  2. 运行时间 : 0.091094s [ 吞吐率:10.98req/s ] 内存消耗:6,196.41kb 文件加载:144
  3. 缓存信息 : 0 reads,0 writes
  4. 会话信息 : SESSION_ID=77ca00788156f943b8f7c2def2e83106
  1. /yingpanguazai/ssd/ssd1/www/wwww.yeyulingfeng.com/public/index.php ( 0.79 KB )
  2. /yingpanguazai/ssd/ssd1/www/wwww.yeyulingfeng.com/vendor/autoload.php ( 0.17 KB )
  3. /yingpanguazai/ssd/ssd1/www/wwww.yeyulingfeng.com/vendor/composer/autoload_real.php ( 2.49 KB )
  4. /yingpanguazai/ssd/ssd1/www/wwww.yeyulingfeng.com/vendor/composer/platform_check.php ( 0.90 KB )
  5. /yingpanguazai/ssd/ssd1/www/wwww.yeyulingfeng.com/vendor/composer/ClassLoader.php ( 14.03 KB )
  6. /yingpanguazai/ssd/ssd1/www/wwww.yeyulingfeng.com/vendor/composer/autoload_static.php ( 6.05 KB )
  7. /yingpanguazai/ssd/ssd1/www/wwww.yeyulingfeng.com/vendor/topthink/think-helper/src/helper.php ( 8.34 KB )
  8. /yingpanguazai/ssd/ssd1/www/wwww.yeyulingfeng.com/vendor/topthink/think-validate/src/helper.php ( 2.19 KB )
  9. /yingpanguazai/ssd/ssd1/www/wwww.yeyulingfeng.com/vendor/ralouphie/getallheaders/src/getallheaders.php ( 1.60 KB )
  10. /yingpanguazai/ssd/ssd1/www/wwww.yeyulingfeng.com/vendor/topthink/think-orm/src/helper.php ( 1.47 KB )
  11. /yingpanguazai/ssd/ssd1/www/wwww.yeyulingfeng.com/vendor/topthink/think-orm/stubs/load_stubs.php ( 0.16 KB )
  12. /yingpanguazai/ssd/ssd1/www/wwww.yeyulingfeng.com/vendor/topthink/framework/src/think/Exception.php ( 1.69 KB )
  13. /yingpanguazai/ssd/ssd1/www/wwww.yeyulingfeng.com/vendor/topthink/think-container/src/Facade.php ( 2.71 KB )
  14. /yingpanguazai/ssd/ssd1/www/wwww.yeyulingfeng.com/vendor/symfony/deprecation-contracts/function.php ( 0.99 KB )
  15. /yingpanguazai/ssd/ssd1/www/wwww.yeyulingfeng.com/vendor/symfony/polyfill-mbstring/bootstrap.php ( 8.26 KB )
  16. /yingpanguazai/ssd/ssd1/www/wwww.yeyulingfeng.com/vendor/symfony/polyfill-mbstring/bootstrap80.php ( 9.78 KB )
  17. /yingpanguazai/ssd/ssd1/www/wwww.yeyulingfeng.com/vendor/symfony/var-dumper/Resources/functions/dump.php ( 1.49 KB )
  18. /yingpanguazai/ssd/ssd1/www/wwww.yeyulingfeng.com/vendor/topthink/think-dumper/src/helper.php ( 0.18 KB )
  19. /yingpanguazai/ssd/ssd1/www/wwww.yeyulingfeng.com/vendor/symfony/var-dumper/VarDumper.php ( 4.30 KB )
  20. /yingpanguazai/ssd/ssd1/www/wwww.yeyulingfeng.com/vendor/guzzlehttp/guzzle/src/functions_include.php ( 0.16 KB )
  21. /yingpanguazai/ssd/ssd1/www/wwww.yeyulingfeng.com/vendor/guzzlehttp/guzzle/src/functions.php ( 5.54 KB )
  22. /yingpanguazai/ssd/ssd1/www/wwww.yeyulingfeng.com/vendor/topthink/framework/src/think/App.php ( 15.30 KB )
  23. /yingpanguazai/ssd/ssd1/www/wwww.yeyulingfeng.com/vendor/topthink/think-container/src/Container.php ( 15.76 KB )
  24. /yingpanguazai/ssd/ssd1/www/wwww.yeyulingfeng.com/vendor/psr/container/src/ContainerInterface.php ( 1.02 KB )
  25. /yingpanguazai/ssd/ssd1/www/wwww.yeyulingfeng.com/app/provider.php ( 0.19 KB )
  26. /yingpanguazai/ssd/ssd1/www/wwww.yeyulingfeng.com/vendor/topthink/framework/src/think/Http.php ( 6.04 KB )
  27. /yingpanguazai/ssd/ssd1/www/wwww.yeyulingfeng.com/vendor/topthink/think-helper/src/helper/Str.php ( 7.29 KB )
  28. /yingpanguazai/ssd/ssd1/www/wwww.yeyulingfeng.com/vendor/topthink/framework/src/think/Env.php ( 4.68 KB )
  29. /yingpanguazai/ssd/ssd1/www/wwww.yeyulingfeng.com/app/common.php ( 0.03 KB )
  30. /yingpanguazai/ssd/ssd1/www/wwww.yeyulingfeng.com/vendor/topthink/framework/src/helper.php ( 18.78 KB )
  31. /yingpanguazai/ssd/ssd1/www/wwww.yeyulingfeng.com/vendor/topthink/framework/src/think/Config.php ( 5.54 KB )
  32. /yingpanguazai/ssd/ssd1/www/wwww.yeyulingfeng.com/config/alipay.php ( 3.59 KB )
  33. /yingpanguazai/ssd/ssd1/www/wwww.yeyulingfeng.com/vendor/topthink/framework/src/think/facade/Env.php ( 1.67 KB )
  34. /yingpanguazai/ssd/ssd1/www/wwww.yeyulingfeng.com/config/app.php ( 0.95 KB )
  35. /yingpanguazai/ssd/ssd1/www/wwww.yeyulingfeng.com/config/cache.php ( 0.78 KB )
  36. /yingpanguazai/ssd/ssd1/www/wwww.yeyulingfeng.com/config/console.php ( 0.23 KB )
  37. /yingpanguazai/ssd/ssd1/www/wwww.yeyulingfeng.com/config/cookie.php ( 0.56 KB )
  38. /yingpanguazai/ssd/ssd1/www/wwww.yeyulingfeng.com/config/database.php ( 2.48 KB )
  39. /yingpanguazai/ssd/ssd1/www/wwww.yeyulingfeng.com/config/filesystem.php ( 0.61 KB )
  40. /yingpanguazai/ssd/ssd1/www/wwww.yeyulingfeng.com/config/lang.php ( 0.91 KB )
  41. /yingpanguazai/ssd/ssd1/www/wwww.yeyulingfeng.com/config/log.php ( 1.35 KB )
  42. /yingpanguazai/ssd/ssd1/www/wwww.yeyulingfeng.com/config/middleware.php ( 0.19 KB )
  43. /yingpanguazai/ssd/ssd1/www/wwww.yeyulingfeng.com/config/route.php ( 1.89 KB )
  44. /yingpanguazai/ssd/ssd1/www/wwww.yeyulingfeng.com/config/session.php ( 0.57 KB )
  45. /yingpanguazai/ssd/ssd1/www/wwww.yeyulingfeng.com/config/trace.php ( 0.34 KB )
  46. /yingpanguazai/ssd/ssd1/www/wwww.yeyulingfeng.com/config/view.php ( 0.82 KB )
  47. /yingpanguazai/ssd/ssd1/www/wwww.yeyulingfeng.com/app/event.php ( 0.25 KB )
  48. /yingpanguazai/ssd/ssd1/www/wwww.yeyulingfeng.com/vendor/topthink/framework/src/think/Event.php ( 7.67 KB )
  49. /yingpanguazai/ssd/ssd1/www/wwww.yeyulingfeng.com/app/service.php ( 0.13 KB )
  50. /yingpanguazai/ssd/ssd1/www/wwww.yeyulingfeng.com/app/AppService.php ( 0.26 KB )
  51. /yingpanguazai/ssd/ssd1/www/wwww.yeyulingfeng.com/vendor/topthink/framework/src/think/Service.php ( 1.64 KB )
  52. /yingpanguazai/ssd/ssd1/www/wwww.yeyulingfeng.com/vendor/topthink/framework/src/think/Lang.php ( 7.35 KB )
  53. /yingpanguazai/ssd/ssd1/www/wwww.yeyulingfeng.com/vendor/topthink/framework/src/lang/zh-cn.php ( 13.70 KB )
  54. /yingpanguazai/ssd/ssd1/www/wwww.yeyulingfeng.com/vendor/topthink/framework/src/think/initializer/Error.php ( 3.31 KB )
  55. /yingpanguazai/ssd/ssd1/www/wwww.yeyulingfeng.com/vendor/topthink/framework/src/think/initializer/RegisterService.php ( 1.33 KB )
  56. /yingpanguazai/ssd/ssd1/www/wwww.yeyulingfeng.com/vendor/services.php ( 0.14 KB )
  57. /yingpanguazai/ssd/ssd1/www/wwww.yeyulingfeng.com/vendor/topthink/framework/src/think/service/PaginatorService.php ( 1.52 KB )
  58. /yingpanguazai/ssd/ssd1/www/wwww.yeyulingfeng.com/vendor/topthink/framework/src/think/service/ValidateService.php ( 0.99 KB )
  59. /yingpanguazai/ssd/ssd1/www/wwww.yeyulingfeng.com/vendor/topthink/framework/src/think/service/ModelService.php ( 2.04 KB )
  60. /yingpanguazai/ssd/ssd1/www/wwww.yeyulingfeng.com/vendor/topthink/think-trace/src/Service.php ( 0.77 KB )
  61. /yingpanguazai/ssd/ssd1/www/wwww.yeyulingfeng.com/vendor/topthink/framework/src/think/Middleware.php ( 6.72 KB )
  62. /yingpanguazai/ssd/ssd1/www/wwww.yeyulingfeng.com/vendor/topthink/framework/src/think/initializer/BootService.php ( 0.77 KB )
  63. /yingpanguazai/ssd/ssd1/www/wwww.yeyulingfeng.com/vendor/topthink/think-orm/src/Paginator.php ( 11.86 KB )
  64. /yingpanguazai/ssd/ssd1/www/wwww.yeyulingfeng.com/vendor/topthink/think-validate/src/Validate.php ( 63.20 KB )
  65. /yingpanguazai/ssd/ssd1/www/wwww.yeyulingfeng.com/vendor/topthink/think-orm/src/Model.php ( 23.55 KB )
  66. /yingpanguazai/ssd/ssd1/www/wwww.yeyulingfeng.com/vendor/topthink/think-orm/src/model/concern/Attribute.php ( 21.05 KB )
  67. /yingpanguazai/ssd/ssd1/www/wwww.yeyulingfeng.com/vendor/topthink/think-orm/src/model/concern/AutoWriteData.php ( 4.21 KB )
  68. /yingpanguazai/ssd/ssd1/www/wwww.yeyulingfeng.com/vendor/topthink/think-orm/src/model/concern/Conversion.php ( 6.44 KB )
  69. /yingpanguazai/ssd/ssd1/www/wwww.yeyulingfeng.com/vendor/topthink/think-orm/src/model/concern/DbConnect.php ( 5.16 KB )
  70. /yingpanguazai/ssd/ssd1/www/wwww.yeyulingfeng.com/vendor/topthink/think-orm/src/model/concern/ModelEvent.php ( 2.33 KB )
  71. /yingpanguazai/ssd/ssd1/www/wwww.yeyulingfeng.com/vendor/topthink/think-orm/src/model/concern/RelationShip.php ( 28.29 KB )
  72. /yingpanguazai/ssd/ssd1/www/wwww.yeyulingfeng.com/vendor/topthink/think-helper/src/contract/Arrayable.php ( 0.09 KB )
  73. /yingpanguazai/ssd/ssd1/www/wwww.yeyulingfeng.com/vendor/topthink/think-helper/src/contract/Jsonable.php ( 0.13 KB )
  74. /yingpanguazai/ssd/ssd1/www/wwww.yeyulingfeng.com/vendor/topthink/think-orm/src/model/contract/Modelable.php ( 0.09 KB )
  75. /yingpanguazai/ssd/ssd1/www/wwww.yeyulingfeng.com/vendor/topthink/framework/src/think/Db.php ( 2.88 KB )
  76. /yingpanguazai/ssd/ssd1/www/wwww.yeyulingfeng.com/vendor/topthink/think-orm/src/DbManager.php ( 8.52 KB )
  77. /yingpanguazai/ssd/ssd1/www/wwww.yeyulingfeng.com/vendor/topthink/framework/src/think/Log.php ( 6.28 KB )
  78. /yingpanguazai/ssd/ssd1/www/wwww.yeyulingfeng.com/vendor/topthink/framework/src/think/Manager.php ( 3.92 KB )
  79. /yingpanguazai/ssd/ssd1/www/wwww.yeyulingfeng.com/vendor/psr/log/src/LoggerTrait.php ( 2.69 KB )
  80. /yingpanguazai/ssd/ssd1/www/wwww.yeyulingfeng.com/vendor/psr/log/src/LoggerInterface.php ( 2.71 KB )
  81. /yingpanguazai/ssd/ssd1/www/wwww.yeyulingfeng.com/vendor/topthink/framework/src/think/Cache.php ( 4.92 KB )
  82. /yingpanguazai/ssd/ssd1/www/wwww.yeyulingfeng.com/vendor/psr/simple-cache/src/CacheInterface.php ( 4.71 KB )
  83. /yingpanguazai/ssd/ssd1/www/wwww.yeyulingfeng.com/vendor/topthink/think-helper/src/helper/Arr.php ( 16.63 KB )
  84. /yingpanguazai/ssd/ssd1/www/wwww.yeyulingfeng.com/vendor/topthink/framework/src/think/cache/driver/File.php ( 7.84 KB )
  85. /yingpanguazai/ssd/ssd1/www/wwww.yeyulingfeng.com/vendor/topthink/framework/src/think/cache/Driver.php ( 9.03 KB )
  86. /yingpanguazai/ssd/ssd1/www/wwww.yeyulingfeng.com/vendor/topthink/framework/src/think/contract/CacheHandlerInterface.php ( 1.99 KB )
  87. /yingpanguazai/ssd/ssd1/www/wwww.yeyulingfeng.com/app/Request.php ( 0.09 KB )
  88. /yingpanguazai/ssd/ssd1/www/wwww.yeyulingfeng.com/vendor/topthink/framework/src/think/Request.php ( 55.78 KB )
  89. /yingpanguazai/ssd/ssd1/www/wwww.yeyulingfeng.com/app/middleware.php ( 0.25 KB )
  90. /yingpanguazai/ssd/ssd1/www/wwww.yeyulingfeng.com/vendor/topthink/framework/src/think/Pipeline.php ( 2.61 KB )
  91. /yingpanguazai/ssd/ssd1/www/wwww.yeyulingfeng.com/vendor/topthink/think-trace/src/TraceDebug.php ( 3.40 KB )
  92. /yingpanguazai/ssd/ssd1/www/wwww.yeyulingfeng.com/vendor/topthink/framework/src/think/middleware/SessionInit.php ( 1.94 KB )
  93. /yingpanguazai/ssd/ssd1/www/wwww.yeyulingfeng.com/vendor/topthink/framework/src/think/Session.php ( 1.80 KB )
  94. /yingpanguazai/ssd/ssd1/www/wwww.yeyulingfeng.com/vendor/topthink/framework/src/think/session/driver/File.php ( 6.27 KB )
  95. /yingpanguazai/ssd/ssd1/www/wwww.yeyulingfeng.com/vendor/topthink/framework/src/think/contract/SessionHandlerInterface.php ( 0.87 KB )
  96. /yingpanguazai/ssd/ssd1/www/wwww.yeyulingfeng.com/vendor/topthink/framework/src/think/session/Store.php ( 7.12 KB )
  97. /yingpanguazai/ssd/ssd1/www/wwww.yeyulingfeng.com/vendor/topthink/framework/src/think/Route.php ( 23.73 KB )
  98. /yingpanguazai/ssd/ssd1/www/wwww.yeyulingfeng.com/vendor/topthink/framework/src/think/route/RuleName.php ( 5.75 KB )
  99. /yingpanguazai/ssd/ssd1/www/wwww.yeyulingfeng.com/vendor/topthink/framework/src/think/route/Domain.php ( 2.53 KB )
  100. /yingpanguazai/ssd/ssd1/www/wwww.yeyulingfeng.com/vendor/topthink/framework/src/think/route/RuleGroup.php ( 22.43 KB )
  101. /yingpanguazai/ssd/ssd1/www/wwww.yeyulingfeng.com/vendor/topthink/framework/src/think/route/Rule.php ( 26.95 KB )
  102. /yingpanguazai/ssd/ssd1/www/wwww.yeyulingfeng.com/vendor/topthink/framework/src/think/route/RuleItem.php ( 9.78 KB )
  103. /yingpanguazai/ssd/ssd1/www/wwww.yeyulingfeng.com/route/app.php ( 3.82 KB )
  104. /yingpanguazai/ssd/ssd1/www/wwww.yeyulingfeng.com/vendor/topthink/framework/src/think/facade/Route.php ( 4.70 KB )
  105. /yingpanguazai/ssd/ssd1/www/wwww.yeyulingfeng.com/vendor/topthink/framework/src/think/route/dispatch/Controller.php ( 4.74 KB )
  106. /yingpanguazai/ssd/ssd1/www/wwww.yeyulingfeng.com/vendor/topthink/framework/src/think/route/Dispatch.php ( 10.44 KB )
  107. /yingpanguazai/ssd/ssd1/www/wwww.yeyulingfeng.com/app/controller/Index.php ( 9.69 KB )
  108. /yingpanguazai/ssd/ssd1/www/wwww.yeyulingfeng.com/app/BaseController.php ( 2.05 KB )
  109. /yingpanguazai/ssd/ssd1/www/wwww.yeyulingfeng.com/vendor/topthink/think-orm/src/facade/Db.php ( 0.93 KB )
  110. /yingpanguazai/ssd/ssd1/www/wwww.yeyulingfeng.com/vendor/topthink/think-orm/src/db/connector/Mysql.php ( 5.44 KB )
  111. /yingpanguazai/ssd/ssd1/www/wwww.yeyulingfeng.com/vendor/topthink/think-orm/src/db/PDOConnection.php ( 52.47 KB )
  112. /yingpanguazai/ssd/ssd1/www/wwww.yeyulingfeng.com/vendor/topthink/think-orm/src/db/Connection.php ( 8.39 KB )
  113. /yingpanguazai/ssd/ssd1/www/wwww.yeyulingfeng.com/vendor/topthink/think-orm/src/db/ConnectionInterface.php ( 4.57 KB )
  114. /yingpanguazai/ssd/ssd1/www/wwww.yeyulingfeng.com/vendor/topthink/think-orm/src/db/builder/Mysql.php ( 16.58 KB )
  115. /yingpanguazai/ssd/ssd1/www/wwww.yeyulingfeng.com/vendor/topthink/think-orm/src/db/Builder.php ( 24.06 KB )
  116. /yingpanguazai/ssd/ssd1/www/wwww.yeyulingfeng.com/vendor/topthink/think-orm/src/db/BaseBuilder.php ( 27.50 KB )
  117. /yingpanguazai/ssd/ssd1/www/wwww.yeyulingfeng.com/vendor/topthink/think-orm/src/db/Query.php ( 15.71 KB )
  118. /yingpanguazai/ssd/ssd1/www/wwww.yeyulingfeng.com/vendor/topthink/think-orm/src/db/BaseQuery.php ( 45.13 KB )
  119. /yingpanguazai/ssd/ssd1/www/wwww.yeyulingfeng.com/vendor/topthink/think-orm/src/db/concern/TimeFieldQuery.php ( 7.43 KB )
  120. /yingpanguazai/ssd/ssd1/www/wwww.yeyulingfeng.com/vendor/topthink/think-orm/src/db/concern/AggregateQuery.php ( 3.26 KB )
  121. /yingpanguazai/ssd/ssd1/www/wwww.yeyulingfeng.com/vendor/topthink/think-orm/src/db/concern/ModelRelationQuery.php ( 20.07 KB )
  122. /yingpanguazai/ssd/ssd1/www/wwww.yeyulingfeng.com/vendor/topthink/think-orm/src/db/concern/ParamsBind.php ( 3.66 KB )
  123. /yingpanguazai/ssd/ssd1/www/wwww.yeyulingfeng.com/vendor/topthink/think-orm/src/db/concern/ResultOperation.php ( 7.01 KB )
  124. /yingpanguazai/ssd/ssd1/www/wwww.yeyulingfeng.com/vendor/topthink/think-orm/src/db/concern/WhereQuery.php ( 19.37 KB )
  125. /yingpanguazai/ssd/ssd1/www/wwww.yeyulingfeng.com/vendor/topthink/think-orm/src/db/concern/JoinAndViewQuery.php ( 7.11 KB )
  126. /yingpanguazai/ssd/ssd1/www/wwww.yeyulingfeng.com/vendor/topthink/think-orm/src/db/concern/TableFieldInfo.php ( 2.63 KB )
  127. /yingpanguazai/ssd/ssd1/www/wwww.yeyulingfeng.com/vendor/topthink/think-orm/src/db/concern/Transaction.php ( 2.77 KB )
  128. /yingpanguazai/ssd/ssd1/www/wwww.yeyulingfeng.com/vendor/topthink/framework/src/think/log/driver/File.php ( 5.96 KB )
  129. /yingpanguazai/ssd/ssd1/www/wwww.yeyulingfeng.com/vendor/topthink/framework/src/think/contract/LogHandlerInterface.php ( 0.86 KB )
  130. /yingpanguazai/ssd/ssd1/www/wwww.yeyulingfeng.com/vendor/topthink/framework/src/think/log/Channel.php ( 3.89 KB )
  131. /yingpanguazai/ssd/ssd1/www/wwww.yeyulingfeng.com/vendor/topthink/framework/src/think/event/LogRecord.php ( 1.02 KB )
  132. /yingpanguazai/ssd/ssd1/www/wwww.yeyulingfeng.com/vendor/topthink/think-helper/src/Collection.php ( 16.47 KB )
  133. /yingpanguazai/ssd/ssd1/www/wwww.yeyulingfeng.com/vendor/topthink/framework/src/think/facade/View.php ( 1.70 KB )
  134. /yingpanguazai/ssd/ssd1/www/wwww.yeyulingfeng.com/vendor/topthink/framework/src/think/View.php ( 4.39 KB )
  135. /yingpanguazai/ssd/ssd1/www/wwww.yeyulingfeng.com/vendor/topthink/framework/src/think/Response.php ( 8.81 KB )
  136. /yingpanguazai/ssd/ssd1/www/wwww.yeyulingfeng.com/vendor/topthink/framework/src/think/response/View.php ( 3.29 KB )
  137. /yingpanguazai/ssd/ssd1/www/wwww.yeyulingfeng.com/vendor/topthink/framework/src/think/Cookie.php ( 6.06 KB )
  138. /yingpanguazai/ssd/ssd1/www/wwww.yeyulingfeng.com/vendor/topthink/think-view/src/Think.php ( 8.38 KB )
  139. /yingpanguazai/ssd/ssd1/www/wwww.yeyulingfeng.com/vendor/topthink/framework/src/think/contract/TemplateHandlerInterface.php ( 1.60 KB )
  140. /yingpanguazai/ssd/ssd1/www/wwww.yeyulingfeng.com/vendor/topthink/think-template/src/Template.php ( 46.61 KB )
  141. /yingpanguazai/ssd/ssd1/www/wwww.yeyulingfeng.com/vendor/topthink/think-template/src/template/driver/File.php ( 2.41 KB )
  142. /yingpanguazai/ssd/ssd1/www/wwww.yeyulingfeng.com/vendor/topthink/think-template/src/template/contract/DriverInterface.php ( 0.86 KB )
  143. /yingpanguazai/ssd/ssd1/www/wwww.yeyulingfeng.com/runtime/temp/10a0c909b6afa23b5a52a2e2d58c3c0f.php ( 21.72 KB )
  144. /yingpanguazai/ssd/ssd1/www/wwww.yeyulingfeng.com/vendor/topthink/think-trace/src/Html.php ( 4.42 KB )
  1. CONNECT:[ UseTime:0.000416s ] mysql:host=127.0.0.1;port=3306;dbname=wenku;charset=utf8mb4
  2. SHOW FULL COLUMNS FROM `fenlei` [ RunTime:0.000840s ]
  3. SELECT * FROM `fenlei` WHERE `fid` = 0 [ RunTime:0.000264s ]
  4. SELECT * FROM `fenlei` WHERE `fid` = 63 [ RunTime:0.000305s ]
  5. SHOW FULL COLUMNS FROM `set` [ RunTime:0.000546s ]
  6. SELECT * FROM `set` [ RunTime:0.000311s ]
  7. SHOW FULL COLUMNS FROM `wendang` [ RunTime:0.000526s ]
  8. SELECT * FROM `wendang` WHERE `id` = 370135 LIMIT 1 [ RunTime:0.000716s ]
  9. UPDATE `wendang` SET `liulancishu` = 1 WHERE `id` = 370135 [ RunTime:0.000819s ]
  10. UPDATE `wendang` SET `lasttime` = 1773092734 WHERE `id` = 370135 [ RunTime:0.000517s ]
  11. SELECT * FROM `wendang` WHERE `id` < 370135 ORDER BY `id` DESC LIMIT 1 [ RunTime:0.000493s ]
  12. SELECT * FROM `wendang` WHERE `id` > 370135 ORDER BY `id` ASC LIMIT 1 [ RunTime:0.000535s ]
  13. SELECT * FROM `wendang` WHERE `id` <> 370135 ORDER BY `id` DESC LIMIT 10 [ RunTime:0.001804s ]
  14. SELECT * FROM `wendang` WHERE `id` <> 370135 ORDER BY `id` DESC LIMIT 10,10 [ RunTime:0.003045s ]
  15. SELECT * FROM `wendang` WHERE `id` <> 370135 ORDER BY `id` DESC LIMIT 20,10 [ RunTime:0.002652s ]
0.092816s