当前位置:首页>文档>专题09双曲线的焦点弦、中点弦、弦长问题(解析版)_2.2025数学总复习_2024年新高考资料_3.2024专项复习_2024年新高考数学之圆锥曲线专项重难点突破练(新高考专用)

专题09双曲线的焦点弦、中点弦、弦长问题(解析版)_2.2025数学总复习_2024年新高考资料_3.2024专项复习_2024年新高考数学之圆锥曲线专项重难点突破练(新高考专用)

  • 2026-04-07 04:31:27 2026-03-13 03:54:04

文档预览

专题09双曲线的焦点弦、中点弦、弦长问题(解析版)_2.2025数学总复习_2024年新高考资料_3.2024专项复习_2024年新高考数学之圆锥曲线专项重难点突破练(新高考专用)
专题09双曲线的焦点弦、中点弦、弦长问题(解析版)_2.2025数学总复习_2024年新高考资料_3.2024专项复习_2024年新高考数学之圆锥曲线专项重难点突破练(新高考专用)
专题09双曲线的焦点弦、中点弦、弦长问题(解析版)_2.2025数学总复习_2024年新高考资料_3.2024专项复习_2024年新高考数学之圆锥曲线专项重难点突破练(新高考专用)
专题09双曲线的焦点弦、中点弦、弦长问题(解析版)_2.2025数学总复习_2024年新高考资料_3.2024专项复习_2024年新高考数学之圆锥曲线专项重难点突破练(新高考专用)
专题09双曲线的焦点弦、中点弦、弦长问题(解析版)_2.2025数学总复习_2024年新高考资料_3.2024专项复习_2024年新高考数学之圆锥曲线专项重难点突破练(新高考专用)
专题09双曲线的焦点弦、中点弦、弦长问题(解析版)_2.2025数学总复习_2024年新高考资料_3.2024专项复习_2024年新高考数学之圆锥曲线专项重难点突破练(新高考专用)
专题09双曲线的焦点弦、中点弦、弦长问题(解析版)_2.2025数学总复习_2024年新高考资料_3.2024专项复习_2024年新高考数学之圆锥曲线专项重难点突破练(新高考专用)
专题09双曲线的焦点弦、中点弦、弦长问题(解析版)_2.2025数学总复习_2024年新高考资料_3.2024专项复习_2024年新高考数学之圆锥曲线专项重难点突破练(新高考专用)
专题09双曲线的焦点弦、中点弦、弦长问题(解析版)_2.2025数学总复习_2024年新高考资料_3.2024专项复习_2024年新高考数学之圆锥曲线专项重难点突破练(新高考专用)
专题09双曲线的焦点弦、中点弦、弦长问题(解析版)_2.2025数学总复习_2024年新高考资料_3.2024专项复习_2024年新高考数学之圆锥曲线专项重难点突破练(新高考专用)
专题09双曲线的焦点弦、中点弦、弦长问题(解析版)_2.2025数学总复习_2024年新高考资料_3.2024专项复习_2024年新高考数学之圆锥曲线专项重难点突破练(新高考专用)
专题09双曲线的焦点弦、中点弦、弦长问题(解析版)_2.2025数学总复习_2024年新高考资料_3.2024专项复习_2024年新高考数学之圆锥曲线专项重难点突破练(新高考专用)
专题09双曲线的焦点弦、中点弦、弦长问题(解析版)_2.2025数学总复习_2024年新高考资料_3.2024专项复习_2024年新高考数学之圆锥曲线专项重难点突破练(新高考专用)
专题09双曲线的焦点弦、中点弦、弦长问题(解析版)_2.2025数学总复习_2024年新高考资料_3.2024专项复习_2024年新高考数学之圆锥曲线专项重难点突破练(新高考专用)
专题09双曲线的焦点弦、中点弦、弦长问题(解析版)_2.2025数学总复习_2024年新高考资料_3.2024专项复习_2024年新高考数学之圆锥曲线专项重难点突破练(新高考专用)
专题09双曲线的焦点弦、中点弦、弦长问题(解析版)_2.2025数学总复习_2024年新高考资料_3.2024专项复习_2024年新高考数学之圆锥曲线专项重难点突破练(新高考专用)
专题09双曲线的焦点弦、中点弦、弦长问题(解析版)_2.2025数学总复习_2024年新高考资料_3.2024专项复习_2024年新高考数学之圆锥曲线专项重难点突破练(新高考专用)
专题09双曲线的焦点弦、中点弦、弦长问题(解析版)_2.2025数学总复习_2024年新高考资料_3.2024专项复习_2024年新高考数学之圆锥曲线专项重难点突破练(新高考专用)
专题09双曲线的焦点弦、中点弦、弦长问题(解析版)_2.2025数学总复习_2024年新高考资料_3.2024专项复习_2024年新高考数学之圆锥曲线专项重难点突破练(新高考专用)

文档信息

文档格式
docx
文档大小
1.275 MB
文档页数
19 页
上传时间
2026-03-13 03:54:04

文档内容

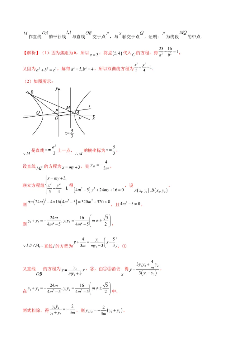
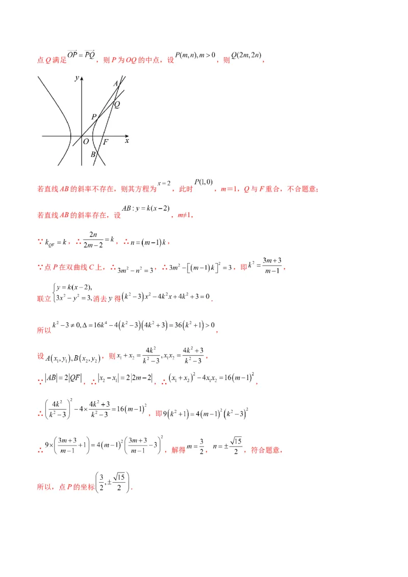
专题09 双曲线的焦点弦、中点弦、弦长问题 限时:120分钟 满分:150分 一、单选题:本大题共8小题,每个小题5分,共40分.在每小题给出的选项中,只有一项是符合题目要 求的. 1.已知双曲线C: 的一条渐近线方程是 ,过其左焦点 作斜率为2的 直线l交双曲线C于A,B两点,则截得的弦长 ( ) A.7 B.8 C.9 D.10 【解析】 双曲线C: 的一条渐近线方程是 , ,即 左焦点 , , , , , 双曲线C的方程为 易知直线l 的方程为 ,设 , ,由 ,消去y可得 , , 故选:D 2.已知 为双曲线 上两点,且线段 的中点坐标为 ,则直线 的斜率为( ) A. B. C. D. 【解析】设 ,则有 , , 两式相减得到 ,又线段 的中点坐标为 , 所以 ,得到 ,所以 的斜率为 .故选:B. 3.已知双曲线 与直线 相交于A、B两点,弦AB的中点M的横坐标为 , 则双曲线C的渐近线方程为( )A. B. C. D. 【解析】设 , ,则 ,由点差法得 . ∵ ,∴ , ,∴ ,又 , ∴ ,∴渐近线方程为 .故选:A. 4.已知双曲线 的左、右焦点分别为 、 ,直线 与双曲线 交于 , 两点,若 ,则 的面积等于( ) A.18 B.10 C.9 D.6 【解析】直线 与双曲线 交于 , 两点,若 , 则四边形 为矩形,所以 , , 由双曲线 可得 , ,则 , 所以 ,所以 ,又 , 所以 ,解得 ,所以 .故选:C. 5.已知双曲线 ,过点 的直线l与双曲线C交于M、N两点,若P为线段MN的中点,则弦长|MN|等于( ) A. B. C. D. 【解析】由题设,直线l的斜率必存在,设过 的直线MN为 ,联立双曲线: 设 ,则 ,所以 ,解得 , 则 , .弦长|MN| .故选:D. 6.已知 , 分别为双曲线 的左、右焦点,点P在双曲线的右支上,且位于第一象限,若直 线 的斜率为 ,则 的内切圆的面积为( ) A. B. C. D. 【解析】设 ,由题意知 ,直线 的斜率为 , 则直线 的方程为 ,∴ ,化简整理得 , 即 ,∴ 或 (舍去), 则 ,即 ,∴ , , 设 的内切圆的圆心为Q,半径为r,连接 , , , 则由 ,得 , ∴ ,得 ,(利用等面积法求内切圆的半径) 故 的内切圆的面积为 .故选:B.7.已知 为坐标原点,双曲线 的右焦点为 ,以 为直径的圆与 的两条渐近线分 别交于与原点不重合的两点 , ,若 ,则四边形 的面积为( ) A.6 B. C. D.4 【解析】设 与 轴交于点 ,由双曲线的对称性可知 轴, , , 又因为 ,所以 ,即 , 所以 ,因为点 在以 为直径的圆上,所以 , 所在的渐近线方程为 , 点 到渐进线 距离为 ,所以 , 所以 , ,则 , 所以 ,故选:B 8.设A,B分别是双曲线x2- =1的左、右顶点,设过P 的直线PA,PB与双曲线分别交于点M,N,直线MN交x轴于点Q,过Q的直线交双曲线的右支于S,T两点,且 =2 ,则△BST的面积为 ( ) A. B. C. D. 【解析】双曲线x2- =1的左、右顶点分别为A(-1,0),B(1,0),又P , ∴直线PA的方程为x= -1,PB的方程为x=- +1, 联立 可得 y2- =0,解得y=0或y= , 将y= 代入x= -1可得x= ,即有M , 联立 可得 y2- y=0, 解得y=0或y= ,将y= 代入x=- +1,可得x= ,即N 设Q(s,0),由M,N,Q三点共线,可得kMN=kQN,即有 = , 将M,N的坐标代入化简可得 = ,解得s=2,即Q(2,0), 设过Q的直线方程为x=my+2,联立 得(3m2-1)y2+12my+9=0, 设S(x,y),T(x,y),可得y+y=- ,yy= , 1 1 2 2 1 2 1 2Δ=144m2-36(3m2-1)>0恒成立,又 =2 ,∴y=-2y,∴-2· = , 1 2 解得m2= ,可得S BST= |BQ|·|y-y|= |y-y|= 1 2 1 2 △ = · =3· = 故选:A. 二、多选题:本大题共4小题,每个小题5分,共20分.在每小题给出的选项中,只有一项或者多项是符 合题目要求的. 9.已知 , 分别是双曲线 : 的左、右焦点,点 是该双曲线的一条渐近线上的一点,并 且以线段 为直径的圆经过点 ,则( ) A. 的面积为 B.点 的横坐标为2或 C. 的渐近线方程为 D.以线段 为直径的圆的方程为 【解析】由双曲线方程知 , ,所以双曲线 的渐近线方程为 ,故C错误; 又 ,所以 为直径的圆方程为 ,故D错误; 由 ,得 或 ,所以点 的横坐标为2或 ,故B正确; 又 ,所以 ,故A正确. 故选:AB. 10.已知双曲线 的左、右焦点分别为 , ,左、右顶点分别为 , ,点 在双曲线上,则 下列结论正确的是( ) A.该双曲线的离心率为 B.若 ,则 的面积为C.点 到两渐近线的距离乘积为 D.直线 和直线 的斜率乘积为 【解析】由双曲线方程得 , , ,双曲线的离心率为 ,A正确; 若 ,不妨设 , , ,B错误; 设 ,则 , ,渐近线方程为 , 点 到两渐近线的距离乘积为 ,C正确; , , ,D正确; 故选:ACD 11.在平面直角坐标系 中,动点 与两个定点 和 连线的斜率之积等于 ,记点 的轨迹为曲线 ,直线 与 交于 两点,则( ) A. 的方程为 B. 的离心率为 C. 的渐近线与圆 相切 D. 【解析】设点 ,由直线 与 的斜率之积为 ,可得 , 整理得 ,即曲线 的方程为 ,所以A正确; 曲线 的离心率 ,所以B不正确; 由圆 ,可得圆心为 , 可得圆心到曲线 的渐近线 的距离 , 又由圆的半径为1,所以曲线 的渐近线与圆 相切,所以C正确;联立方程组 ,整理得 ,则 , ,所以 ,所以D正确. 故选:ACD. 12.过双曲线 的右焦点作直线 与该双曲线交于 、 两点,则( ) A.存在四条直线 ,使 B.与该双曲线有相同渐近线且过点 的双曲线的标准方程为 C.若 、 都在该双曲线的右支上,则直线 斜率的取值范围是 D.存在直线 ,使弦 的中点为 【解析】对于A,由于 ,所以右焦点为 ,设直线 方程为: . 联立 得: , 恒成立. 所以 , ,则 , . 所以 . 所以 ,解得 ,所以只有两条,故A错误; 对于B,双曲线 的渐近线为 ,所以 , 过点 的双曲线的标准方程为 ,故B正确;对于C,若 、 都在该双曲线的右支上,则 , 即 ,所以 ,解得 .故C正确; 对于D,假设存在直线 ,使弦 的中点为 , 设直线的方程为 ,与 联立得: , 恒成立.所以 , 所以 ,所以直线方程为 ,但是由于 不在直线上, 故不存在这样的直线 ,故D错误. 故选:BC. 三、填空题:本大题共4小题,每小题5分,共20分.把答案填在答题卡中的横线上. 13.若直线y=kx+1与双曲线 交于A、B两点,且线段AB的中点横坐标为1,则实数k= . 【解析】联立直线y=kx+1与双曲线 可得 ,即 , ∵ ,直线y=kx+1与双曲线 交于A、B两点, ∴x+x=2 , ,∴ ,∴ k 且 1 2 ∵线段AB的中点横坐标为1,∴x+x=2,∴ ,∴ , 1 2 ∴k ,∵ ,∴k 14.已知双曲线 的左、右焦点分别为 , ,过 作斜率为 的弦 .则 的长是 .【解析】设 , ,双曲线的左焦点为 , 则直线 的方程为 ,由 得, , , ,则 . 15.已知点 ,点 是双曲线 的右焦点,点 是双曲线 右支上一动点,则当 的 周长取得最小时 的面积为 ; 【解析】双曲线 , ,右焦点 ,设其左焦点为 , 则 , 当且仅当 三点共线时等号成立,此时 在第一象限, 此时直线 的方程为 , 由 ,以及点 在第一象限,可得点P的纵坐标 , 所以 . 16.已知双曲线 的左、右焦点分别为 , ,过 且垂直于x轴的直线与该双曲线 的左支交于A,B两点, , 分别交y轴于P,Q两点,若 的周长为16,则 的最大值为 .【解析】∵ 轴且过 ,则AB为双曲线的通径,由 , 代入双曲线可得 ,故 . 为 的中点, ,则 为 的中位线,故 , 又 的周长为 ,则 的周长为 ①, ∵ ②, 故由①②可得 ,即 ,可得 . 故 ,当且仅当 即 时取等号. 故答案为:4 四、解答题:本大题共6小题,共70分.解答应写出必要的文字说明、证明过程或演算步骤. 17.已知双曲线C的方程为 . (1)直线 截双曲线C所得的弦长为 ,求实数m的值; (2)过点 作直线交双曲线C于P、Q两点,求线段 的中点M的轨迹方程. 【解析】(1)联立 ,得 , 直线 被双曲线 截得的弦长为 , , 设直线与双曲线交于 ,则 ,由弦长公式得 ,解得 . (2)设 , ,则 , ,上式作差得 , 当直线 的斜率不存在时,根据双曲线对称性知 , 当直线 的斜率存在时,但 时,此时直线 为直线 ,根据双曲线对称性知 , 当直线 的斜率存在时,且 时, , , ,化简得 ,其中 , 而点 , 适合上述方程,则线段 的中点 的轨迹方程是 . 18.已知双曲线 : 的右焦点为 ,过 且斜率为1的直线与 的渐近线分别 交于 , 两点( 在第一象限), 为坐标原点, . (1)求 的方程; (2)过点 且倾斜角不为0的直线与 交于 , 两点,与 的两条渐近线分别交于 , 两点,证明: .【解析】(1)由已知得 : ,联立 解得 ,同理可得 . ∵ ,∴ ,整理得 .又 ,∴ , , ∴ 的方程为 . (2)要证明 ,只需证明 的中点与 的中点重合. 设 的中点为 ,直线 : ,联立 得 , 设 , ,则 , , ,即 , 双曲线 : 的渐近线方程为 , 由 得 可得 , 由 得 可得 , ∴ 的中点为 ,∴点 与点 重合,∴ . 19.设双曲线 的焦距为6,点 在双曲线 上. (1)求双曲线 的方程; (2)已知 的右焦点为 是直线 上一点,直线 交双曲线 于 两点( 在第一象限),过点作直线 的平行线 与直线 交于点 ,与 轴交于点 ,证明: 为线段 的中点. 【解析】(1)因为焦距为6,所以 ,将点 代入 的方程,得 , 又因为 ,解得 ,所以双曲线方程为 . (2)如图所示: 是直线 上一点, 的横坐标为 , 设直线 的方程为 ,则 , 联立方程组 得 ,设 , 则 ,且 , 则 , 直线 的方程为 ,① 又直线 的方程为 ,②,由①②消去 得 , 在 中, 两式相除,得 ,则 ,则 , ,故 为线段 的中点. 20.已知双曲线 的左顶点为A,虚轴上端点为 ,左、右焦点分别为 , ,离 心率为 , 的面积为4. (1)求双曲线 的方程; (2)若过 且与 轴的夹角在 内的直线 交双曲线 于 两点, 的面积为 ,求 的方 程. 【解析】(1)设双曲线的半焦距为 , 因为 ,即 ,又因为 ,则 , 由 ,可得 ,即 , 所以 ,得 ,则 .故双曲线 的方程为 . (2)设直线 的方程为 , , , 联立方程 ,消去 整理得 . 可得 ,且 , 则 , , 可得 ,因为 ,可得 , 所以 ,即 , 化简得 ,解得 或 . 由题可知 ,所以 或 ,故直线 的方程为 或 , 即直线 的方程为 或 . 21.已知双曲线 的焦距为10,渐近线方程为 . (1)求 的方程; (2)已知过点 的直线 与双曲线 的两支分别交于 、 两点,且 与直线 交于点 ,求 的值. 【解析】(1)由题可得 , ,解得 , 所以 的方程: (2)由于双曲线的渐近线方程为 , 可设直线 的方程为 ,且 , ,则联立直线与双曲线 , 所以 , 则 . 22.在平面直角坐标系 中,焦点在x轴上的双曲线C过点 ,且有一条倾斜角为 的渐近线. (1)求双曲线C的标准方程; (2)设点F为双曲线C的右焦点,点P在C的右支上,点Q满足 ,直线 交双曲线C于A,B两 点,若 ,求点P的坐标. 【解析】(1)设双曲线C的标准方程为 ,渐近线方程为 , 则由题意可得, ,且 , 解得 , 则双曲线C的标准方程为 ; (2)双曲线 的方程为 ,所以 的右焦点 ,点Q满足 ,则P为OQ的中点,设 ,则 , 若直线AB的斜率不存在,则其方程为 ,此时 ,m=1,Q与F重合,不合题意; 若直线AB的斜率存在,设 ,m≠1, ∵ ,∴ ,∴ , ∵点P在双曲线C上,∴ ,∴ ,即 , 联立 消去 得 . 所以 , 设 ,则 , ∵ ,∴ ,∴ , ∴ ,即 ∴ ,解得 , ,符合题意, 所以,点P的坐标 .