当前位置:首页>文档>专题02勾股定理中的翻折模型解读与提分精练(人教版)(教师版)_初中数学_八年级数学下册(人教版)_常见几何模型全归纳-V13_2025版

专题02勾股定理中的翻折模型解读与提分精练(人教版)(教师版)_初中数学_八年级数学下册(人教版)_常见几何模型全归纳-V13_2025版

  • 2026-04-04 04:57:03 2026-03-20 02:11:43

文档预览

专题02勾股定理中的翻折模型解读与提分精练(人教版)(教师版)_初中数学_八年级数学下册(人教版)_常见几何模型全归纳-V13_2025版
专题02勾股定理中的翻折模型解读与提分精练(人教版)(教师版)_初中数学_八年级数学下册(人教版)_常见几何模型全归纳-V13_2025版
专题02勾股定理中的翻折模型解读与提分精练(人教版)(教师版)_初中数学_八年级数学下册(人教版)_常见几何模型全归纳-V13_2025版
专题02勾股定理中的翻折模型解读与提分精练(人教版)(教师版)_初中数学_八年级数学下册(人教版)_常见几何模型全归纳-V13_2025版
专题02勾股定理中的翻折模型解读与提分精练(人教版)(教师版)_初中数学_八年级数学下册(人教版)_常见几何模型全归纳-V13_2025版
专题02勾股定理中的翻折模型解读与提分精练(人教版)(教师版)_初中数学_八年级数学下册(人教版)_常见几何模型全归纳-V13_2025版
专题02勾股定理中的翻折模型解读与提分精练(人教版)(教师版)_初中数学_八年级数学下册(人教版)_常见几何模型全归纳-V13_2025版
专题02勾股定理中的翻折模型解读与提分精练(人教版)(教师版)_初中数学_八年级数学下册(人教版)_常见几何模型全归纳-V13_2025版
专题02勾股定理中的翻折模型解读与提分精练(人教版)(教师版)_初中数学_八年级数学下册(人教版)_常见几何模型全归纳-V13_2025版
专题02勾股定理中的翻折模型解读与提分精练(人教版)(教师版)_初中数学_八年级数学下册(人教版)_常见几何模型全归纳-V13_2025版
专题02勾股定理中的翻折模型解读与提分精练(人教版)(教师版)_初中数学_八年级数学下册(人教版)_常见几何模型全归纳-V13_2025版
专题02勾股定理中的翻折模型解读与提分精练(人教版)(教师版)_初中数学_八年级数学下册(人教版)_常见几何模型全归纳-V13_2025版
专题02勾股定理中的翻折模型解读与提分精练(人教版)(教师版)_初中数学_八年级数学下册(人教版)_常见几何模型全归纳-V13_2025版
专题02勾股定理中的翻折模型解读与提分精练(人教版)(教师版)_初中数学_八年级数学下册(人教版)_常见几何模型全归纳-V13_2025版
专题02勾股定理中的翻折模型解读与提分精练(人教版)(教师版)_初中数学_八年级数学下册(人教版)_常见几何模型全归纳-V13_2025版
专题02勾股定理中的翻折模型解读与提分精练(人教版)(教师版)_初中数学_八年级数学下册(人教版)_常见几何模型全归纳-V13_2025版
专题02勾股定理中的翻折模型解读与提分精练(人教版)(教师版)_初中数学_八年级数学下册(人教版)_常见几何模型全归纳-V13_2025版
专题02勾股定理中的翻折模型解读与提分精练(人教版)(教师版)_初中数学_八年级数学下册(人教版)_常见几何模型全归纳-V13_2025版
专题02勾股定理中的翻折模型解读与提分精练(人教版)(教师版)_初中数学_八年级数学下册(人教版)_常见几何模型全归纳-V13_2025版
专题02勾股定理中的翻折模型解读与提分精练(人教版)(教师版)_初中数学_八年级数学下册(人教版)_常见几何模型全归纳-V13_2025版
专题02勾股定理中的翻折模型解读与提分精练(人教版)(教师版)_初中数学_八年级数学下册(人教版)_常见几何模型全归纳-V13_2025版
专题02勾股定理中的翻折模型解读与提分精练(人教版)(教师版)_初中数学_八年级数学下册(人教版)_常见几何模型全归纳-V13_2025版
专题02勾股定理中的翻折模型解读与提分精练(人教版)(教师版)_初中数学_八年级数学下册(人教版)_常见几何模型全归纳-V13_2025版
专题02勾股定理中的翻折模型解读与提分精练(人教版)(教师版)_初中数学_八年级数学下册(人教版)_常见几何模型全归纳-V13_2025版
专题02勾股定理中的翻折模型解读与提分精练(人教版)(教师版)_初中数学_八年级数学下册(人教版)_常见几何模型全归纳-V13_2025版
专题02勾股定理中的翻折模型解读与提分精练(人教版)(教师版)_初中数学_八年级数学下册(人教版)_常见几何模型全归纳-V13_2025版
专题02勾股定理中的翻折模型解读与提分精练(人教版)(教师版)_初中数学_八年级数学下册(人教版)_常见几何模型全归纳-V13_2025版
专题02勾股定理中的翻折模型解读与提分精练(人教版)(教师版)_初中数学_八年级数学下册(人教版)_常见几何模型全归纳-V13_2025版
专题02勾股定理中的翻折模型解读与提分精练(人教版)(教师版)_初中数学_八年级数学下册(人教版)_常见几何模型全归纳-V13_2025版
专题02勾股定理中的翻折模型解读与提分精练(人教版)(教师版)_初中数学_八年级数学下册(人教版)_常见几何模型全归纳-V13_2025版
专题02勾股定理中的翻折模型解读与提分精练(人教版)(教师版)_初中数学_八年级数学下册(人教版)_常见几何模型全归纳-V13_2025版
专题02勾股定理中的翻折模型解读与提分精练(人教版)(教师版)_初中数学_八年级数学下册(人教版)_常见几何模型全归纳-V13_2025版
专题02勾股定理中的翻折模型解读与提分精练(人教版)(教师版)_初中数学_八年级数学下册(人教版)_常见几何模型全归纳-V13_2025版
专题02勾股定理中的翻折模型解读与提分精练(人教版)(教师版)_初中数学_八年级数学下册(人教版)_常见几何模型全归纳-V13_2025版
专题02勾股定理中的翻折模型解读与提分精练(人教版)(教师版)_初中数学_八年级数学下册(人教版)_常见几何模型全归纳-V13_2025版
专题02勾股定理中的翻折模型解读与提分精练(人教版)(教师版)_初中数学_八年级数学下册(人教版)_常见几何模型全归纳-V13_2025版
专题02勾股定理中的翻折模型解读与提分精练(人教版)(教师版)_初中数学_八年级数学下册(人教版)_常见几何模型全归纳-V13_2025版
专题02勾股定理中的翻折模型解读与提分精练(人教版)(教师版)_初中数学_八年级数学下册(人教版)_常见几何模型全归纳-V13_2025版
专题02勾股定理中的翻折模型解读与提分精练(人教版)(教师版)_初中数学_八年级数学下册(人教版)_常见几何模型全归纳-V13_2025版
专题02勾股定理中的翻折模型解读与提分精练(人教版)(教师版)_初中数学_八年级数学下册(人教版)_常见几何模型全归纳-V13_2025版
专题02勾股定理中的翻折模型解读与提分精练(人教版)(教师版)_初中数学_八年级数学下册(人教版)_常见几何模型全归纳-V13_2025版
专题02勾股定理中的翻折模型解读与提分精练(人教版)(教师版)_初中数学_八年级数学下册(人教版)_常见几何模型全归纳-V13_2025版
专题02勾股定理中的翻折模型解读与提分精练(人教版)(教师版)_初中数学_八年级数学下册(人教版)_常见几何模型全归纳-V13_2025版
专题02勾股定理中的翻折模型解读与提分精练(人教版)(教师版)_初中数学_八年级数学下册(人教版)_常见几何模型全归纳-V13_2025版

文档信息

文档格式
docx
文档大小
4.713 MB
文档页数
44 页
上传时间
2026-03-20 02:11:43

文档内容

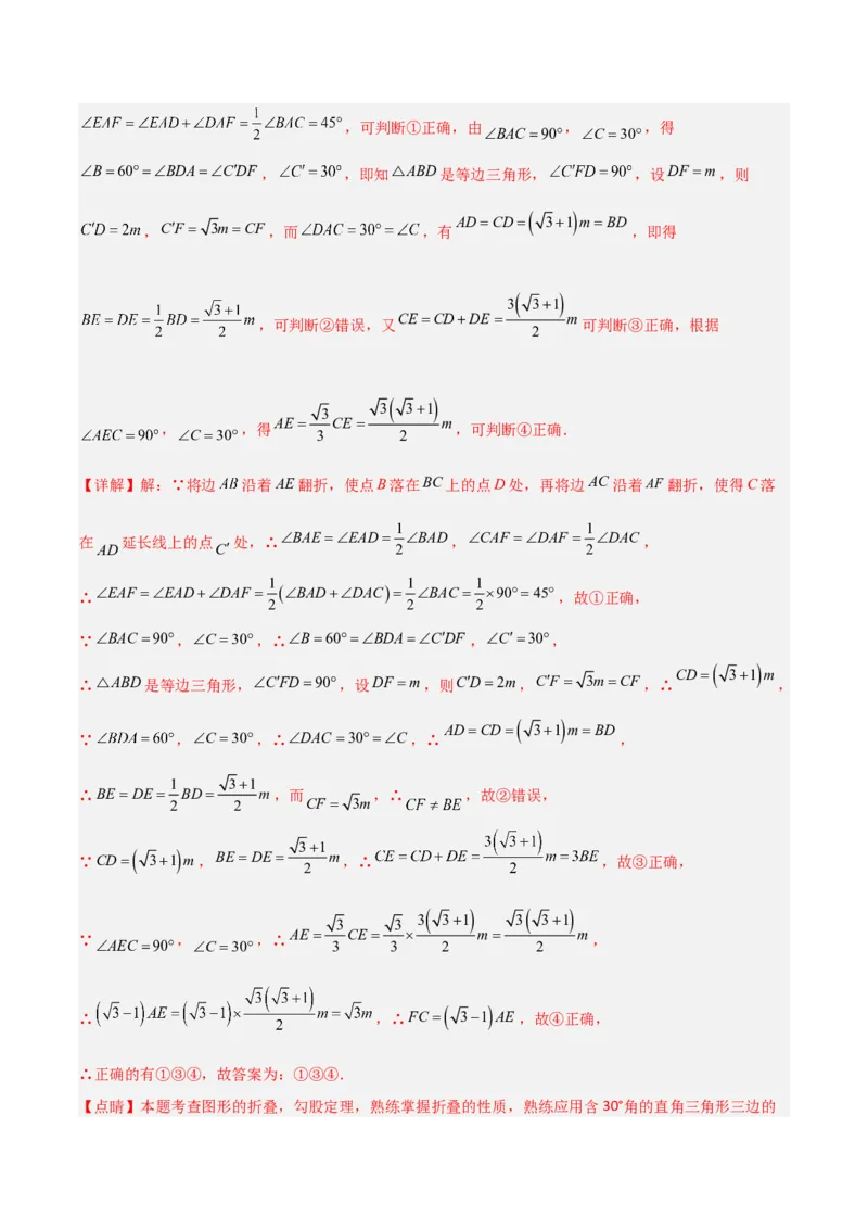
专题02 勾股定理中的翻折模型 翻折问题属于图形变换中的实际问题,也是近些年中考试卷出题老师青睐的题型。在解决翻折问题的 有关的题目中,要注意隐含的已知条件比较多。比如翻折前后的图形全等,这样就好出现相等的线段和相 等的角;因为大部分翻折问题是对矩形进行翻折,所以翻折后由于线段交错,出现的直角三角形也引起注 意;因为翻折问题本身是轴对称的问题,所以翻折前后对应点所连线段会被折痕所在直线垂直平分;折痕 还会平分翻折所形成的的两个角。总之,翻折问题并不复杂,只要要把隐含已知条件熟记于心,再结合其 他有关知识就能让此类问题迎刃而解了。 勾股定理在有关图形折叠中长度计算的问题中的通法:在图形中找到一个直角三角形,然后设图形中 某一未知数为x,将此三角形中的三边长用具体数或含x的代数式表示,再利用勾股定理列出方程,从而 得出要求的线段的长度。 .........................................................................................................................................2 模型1.矩形翻折之折痕过对角线模型.....................................................................................................2 模型2.矩形翻折之折痕过一个顶点模型..................................................................................................4 模型3.矩形翻折之折痕过边上任意两点模型..........................................................................................9 模型4.三角形翻折之过一个顶点所在直线(落点在一边上)翻折模型..............................................12 模型5.三角形翻折之过斜边中点所在直线翻折模型.............................................................................14 模型6.三角形翻折之过任意两点所在直线(落在其中一边)翻折模型..............................................16 模型7.三角形中的其他翻折模型...........................................................................................................19 .......................................................................................................................................22模型1.矩形翻折之折痕过对角线模型 矩形翻折之折痕过对角线模型: 如图,沿着矩形的对角线所在直线进行翻折。 条件:已知矩形ABCD中,以对角线AC为折痕,折叠 ABC,点B的对应点为B’. 结论:① ≌ ;②折痕AC垂直平方BB’;③ AEC是等腰三角形。 证明:根据翻折易证: ≌ ;折痕AC垂直平方BB’;∠BAC=∠B’AC。 ∵四边形ABCD为矩形,∴AB//DC,∴∠BAC=∠DAC。 ∴∠B’AC=∠DAC,∴EA=EC,∴ AEC是等腰三角形。 例1.(23-24八年级下·北京海淀·期中)如图所示,把一张长方形纸片沿对角线 折叠,若 ,则 的长为 . 【答案】3 【分析】本题主要考查了勾股定理与折叠问题,等角对等边,由平行线的性质和折叠的性质证明 ,则 ,设 ,则 ,在 中,由勾股定理得,解方程即可得到答案. 【详解】解:∵一张长方形纸片沿对角线 折叠, ∴ ,∴ ,∴ ,∴ , 设 ,则 ,在 中,由勾股定理得 ∴ ,解得 ,∴ . 例2.(2023秋·福建漳州·八年级校考阶段练习)如图,将矩形ABCD沿对角线AC翻折,点B落在点E处, FC交AD于F.(1)求证:△AFE≌△CDF;(2)若AB=4,BC=8,求图中阴影部分的面积. 【答案】(1)证明见解析;(2)10. 【详解】试题分析:(1)根据矩形的性质得到AB=CD,∠B=∠D=90°,根据折叠的性质得到∠E=∠B, AB=AE,根据全等三角形的判定定理即可得到结论;(2)根据全等三角形的性质得到AF=CF,EF=DF, 根据勾股定理得到DF=3,根据三角形的面积公式即可得到结论. 试题解析:(1)∵四边形ABCD是矩形,∴AB=CD,∠B=∠D=90°,∵将矩形ABCD沿对角线AC翻折, 点B落在点E处,∴∠E=∠B,AB=AE,∴AE=CD,∠E=∠D,在△AEF与△CDF中,∵∠E=∠D, ∠AFE=∠CFD,AE=CD,∴△AEF≌△CDF; (2)∵AB=4,BC=8,∴CE=AD=8,AE=CD=AB=4,∵△AEF≌△CDF,∴AF=CF,EF=DF, ∴DF2+CD2=CF2,即DF2+42=(8﹣DF)2,∴DF=3,∴EF=3,∴图中阴影部分的面积=S ACE﹣S AEF= △ △ ×4×8﹣ ×4×3=10. 点睛:本题考查了翻折变换﹣折叠的性质,熟练掌握折叠的性质是解题的关键. 例3.(2023·贵州黔东南·八年级统考期末)如图,在平面直角坐标系中,矩形 的边 在 轴上, 边 在 轴上,点 的坐标为 .将矩形沿对角线 翻折, 点落在 点的位置,且 交 轴于点 ,那么点 的坐标为 .【答案】(0, ). 【分析】先证明EA=EC(设为x);根据勾股定理列出x2=12+(3-x)2,求得x= ,即可解决问题. 【详解】由题意知:∠BAC=∠DAC,AB∥OC,∴∠ECA=∠BAC,∴∠ECA=∠DAC, ∴EA=EC(设为x);由题意得:OA=1,OC=AB=3;由勾股定理得:x2=12+(3-x)2, 解得:x= ,∴OE=3- = ,∴E点的坐标为(0, ).故答案为(0, ). 【点睛】该题主要考查了翻折变换的性质及其应用问题;解题的关键是灵活运用有关定理来分析、判断、 推理或解答;对综合的分析问题解决问题的能力提出了较高的要求. 模型2.矩形翻折之折痕过一个顶点模型 沿着矩形的一个顶点和一边上的点的线段所在直线进行翻折。 条件:已知矩形ABCD中,以AE为折痕,点B的对应点为B’。 结论:①如图1,折在矩形内,① ≌ ;②折痕AC垂直平方BB’。 ②如图2,折在矩形边上,① ≌ ;②折痕AC垂直平方BB’。 ③如图3,折在矩形外,①四边形 ≌四边形 ;②折痕AC垂直平方BB’;③ AEF是等腰 。证明:由翻折易得:①②成立。 由翻折得:∠BAE=∠B’AE。 ∵四边形ABCD为矩形,∴AB//DC,∴∠BAE=∠DAE。 ∴∠B’AE=∠DAE,∴FA=FE,∴ AEF是等腰三角形。 例1.(23-24八年级下·河南南阳·期末)如图所示,有一张长方形纸片 , , .现折叠 该纸片使得 边与对角线 重合,折痕为 ,点 落在 处,求 . 【答案】3 【分析】本题考查了勾股定理与折叠问题; 先利用勾股定理求出 ,然后根据折叠的性质得到 , , ,求出 ,然后在 中,利用勾股定理构建方程,即可求出 . 【详解】解:∵ , , ,∴ , 由折叠得: , , , ∴ , , 在 中, ,∴ ,∴ ,故答案为:3. 例2.(23-24八年级上·陕西榆林·期末)如图,在长方形 中, , ,点 为边 上的 一个动点,把 沿 折叠,若点 的对应点 刚好落在边 上,则 的长为 . 【答案】 【分析】本题考查了勾股定理、折叠的性质,由折叠的性质可得: , ,计算出 , ,设 ,则 ,由勾股定理可得 ,,求出 的值即可,熟练掌握勾股定理以及折叠的性质是解此题的关键. 【详解】解: 在长方形 中, , , , , ,由折叠的性质可得: , , , , 设 ,则 ,由勾股定理可得 , ,解得: , ,故答案为: . 例3.(23-24八年级上·山东·期末)如图,已知长方形纸片 ,点 在边 上,且 , , 将 沿直线 翻折,使点 落在点 ,延长 交 于点 ,则线段 的长为 . 【答案】 【分析】由将 沿直线 翻折,使点 落在点 ,可得 , , , ,设 ,则 ,根据勾股定理可得 ,即可解得答案. 【详解】解:∵将 沿直线 翻折,使点 落在点 , ∴ , , , ∵四边形 是矩形,∴ ,∴ , ∴ ,∴ ,设 ,则 , 在 中, ,∴ , 解得 ,∴ ,故答案为: . 【点睛】本题考查了长方形中的翻折问题,勾股定理,解题的关键是掌握折叠的性质,得出 . 例4.(23-24八年级下·湖北恩施·阶段练习)如图,长方形 中, , , 为 上一点, 将 沿 翻折至 , 与 相交于点 , 与 相交于点 ,且 .(1)求证: ;(2)求 的长. 【答案】(1)见解析(2) . 【分析】本题考查了勾股定理,全等三角形的判定与性质,折叠的性质,解题的关键是灵活运用这些性质. (1)根据折叠的性质可得 , , ,结合 ,可证明 ,得到 , ;(2)推出 ,设 ,则 , ,推出 ,在 中,根据勾股定理即可求解. 【详解】(1)证明: 四边形 是长方形, , , , 将 沿 翻折至 , 与 相交于点 , 与 相交于点 , , 在 和 中, , , , ; (2)解:∵ , ,即 , , 设 ,则 , , , , 在 中,根据勾股定理得: , 即 ,解得: , . 例5.(2022秋·浙江绍兴·九年级校考期中)在数学拓展课《折叠矩形纸片》上,小林发现折叠矩形纸片 可以进行如下操作:①把 翻折,点B落在C边上的点E处,折痕为 ,点F在 边上; ②把 翻折,点D落在 边上的点G处,折痕为 ,点H在 边上,若 ,则 ( )A. B. C. D. 【答案】A 【分析】利用翻折不变性可得 ,推出 , ,设 ,在 中, ,可得 ,设 ,在 中, ,可得 ,由此即可 解决问题. 【详解】解: 四边形 是矩形, , , , 由翻折不变性可知: , , , , , 在 中, , , 设 ,在 中有: , , 设 ,在 中, , , , ,故选:A. 【点睛】本题考查矩形的性质,翻折变换,勾股定理等知识,解题的关键是学会利用参数构建方程解决问 题,属于中考常考题型. 例6.(2023·江西抚州·八年级统考期中)如图,在矩形 中, , ,点 在矩形的边 上由点 向点 运动.沿直线 翻折 ,形成如下四种情形,设 , 和矩形重叠部分 (阴影)的面积为 .(1)如图4,当点 运动到与点 重合时,求重叠部分的面积 ;(2)如图2,当点 运动到何处时,翻 折 后,点 恰好落在 边上?这时重叠部分的面积 等于多少? 【答案】(1) ;(2)当 时,点 恰好落在 边上,这时 . 【分析】(1)根据折叠或者轴对称的性质,找到数量关系,运用方程思想设未知数,结合勾股定理解答; (2)同样根据轴对称的性质, 找到数量关系,运用方程思想设未知数,结合勾股定理解答; 【详解】解:(1)由题意可得, ∴ 设 ,则 在 中, ∴重叠的面积 (2)由题意可得 ∴ 在 中∵ ∴ ∴ 在 中 解得: 此时 ∴当 时,点 恰好落在 边上 这时 . 【点睛】本题综合考查了多个知识点,包括折叠与轴对称、方程、勾股定理等,在结合图形及其变化,充分理 解题意的前提下,熟练掌握运用各个知识点方可解答. 模型3.矩形翻折之折痕过边上任意两点模型 沿着矩形边上的任意两点所在直线进行翻折。 条件:已知矩形ABCD中,以E,F为折痕,点B的对应点为B’,点C的对应点为C’.结论:如图1,折在矩形内,① ≌ ;②折痕EF垂直平方BB’。 如图2,折在矩形边上,①四边形 ≌四边形 ;②折痕EF垂直平方BB’。 如图3,折在矩形外,①四边形 ≌四边形 ;②折痕AC垂直平方BB’;③ GC’F是 。 证明:由翻折易得:①②成立。 ∵四边形ABCD为矩形,∴∠C=90°。由翻折得:∠C’=∠C=90°。∴ GC’F是直角三角形。 例1.(23-24八年级上·广东·阶段练习)如图,在长方形 中, , ,点 为 上的一个动点,将 沿 折叠得到 ,连接 ,当 为直角三角形时, 的长为 ( ) A.1 B.2 C. D. 【答案】A 【分析】由折叠性质得到 , , ,进而得到 三点共线, 根据等面积法可求得 的长,再利用勾股定理求得 ,即可求解. 【详解】解:∵ 沿 折叠得到 ,∴ , , , ∵ 是直角三角形,点E在线段 上,即 ∴ 三点共线, ∴ ,又 ,∴ ,∴ , 在 中, ,∴ ,故选:A. 【点睛】本题考查折叠性质、勾股定理、三角形的面积公式,熟练掌握折叠性质,会利用等面积法求出 是解答的关键.例2.(22-23八年级上·江苏南京·阶段练习)如图,把一张长方形纸片按如图方式折叠,使点 和点 重 合,折痕为 .若 ,则 . 【答案】7 【分析】本题考查勾股定理与折叠问题,先利用勾股定理求出 的长,设 ,在 中,利 用勾股定理求解即可. 【详解】解:∵把一张长方形纸片按如图方式折叠, ∴ , ∴ ,∴ ,设 ,则: , 在 中, ,解得: ,∴ ;故答案为:7. 例3.(23-24八年级下·广东广州·期末)如图,将边长为 的正方形纸片 折叠,使点D落在 边中点E处,点C落在点Q处,折痕为 ,则线段 的长是 . 【答案】 /3厘米 【分析】根据 是直角三角形利用勾股定理求解即可. 【详解】解:由折叠可得 ,设 ,则 , ,E为 边中点, , , ,解得 , 线段 的长是 ,故答案为: . 【点睛】本题考查折叠问题;找到相应的直角三角形利用勾股定理求解是解决本题的关键. 例4.(23-24八年级上·广东深圳·期末)如图,四边形 是边长为 的正方形纸片,将其沿 折叠,使点 落在 边上的 处,点 对应点为 ,且 ,则 的长是( ) A. B. C. D. 【答案】B 【分析】本题考查了折叠的性质,对应边相等,利用了勾股定理建立方程求解. 连接 , ,由于 ,则 ,在 和 中由勾股定理求得 的值. 【详解】解:设 ,则: ,连接 , , 在 中, ,在 中, , ∵折叠, , , 即 ,解得 ,即 ,故选:B. 例5.(2024·上海杨浦·九年级统考期中)如图,在矩形 中, , ,点E在边 上,点 A、D关于直线 的对称点分别是点M、N.如果直线 恰好经过点C,那么 的长是__________. 【答案】【分析】先根据题意画出图形,然后利用三角形勾股定理即可得到答案. 【详解】解:如图, 连接 ,则有四边形 ,四边形 相当于四边形 沿 边对折得到. 已知 , ,则 , ,在 中, ,则 , 设 ,则 , ,在 中, , 即 ,解得 ,故答案为: . 【点睛】主要考查了三角形勾股定理的应用,三角形勾股定理是经常考查的一个知识点. 模型4.三角形翻折之过一个顶点所在直线(落点在一边上)翻折模型 1)沿过点A的直线翻折使得点B的对应点为B’落在斜边AC上,折痕为AD; 2)沿过点C的直线翻折使得点B的对应点为B’落在斜边AC上,折痕为CD; 3)沿过点B的直线翻折使得点A的对应点为E落在BC边上,折痕为BD。 例1.(2024·山东青岛·一模)如图, 中, , , ,点D为边 上一点,将 沿 折叠后,点A的对应点 恰好落在 边上,则线段 的长为( )A. B. C. D. 【答案】B 【详解】解:∵ , , ,∴ , ∵折叠,∴ , , ∵ ,∴ , 即 ,解得 ,故选:B. 例2.(2023秋·重庆·八年级专题练习)如图,在 中, , , , 为 的平分线,将 沿 向上翻折得到 ,使点 在射线 上,则 的长为( ) A. B. C. D. 【答案】B 【详解】解:∵在 中, , , , ∴ , ∵将 沿 向上翻折得到 ,使点 在射线 上,∴ , 设 ,则 , , 在 中, ,即 , 解得: 即 的长为 ,故选:B.例3.(2023·河南·八年级校联考期末)在Rt△ACB中,∠ACB=90°,点D在边AB上,连接CD,将 △ADC沿直线CD翻折,点A恰好落在BC边上的点E处,若AC=3,BE=1,则DE的长是 . 【答案】 【详解】解:如图,过点 作 于 , 于 , 将 沿直线 翻折, , , , , , , , , , , , , , , , , ,故答案为: . 模型5.三角形翻折之过斜边中点所在直线翻折模型 1)沿直线MN(N为斜边中点)翻折使得点A与点C重合; 2)沿中线BE翻折,使得点A落在点F处,连结AF,FC,AF与BE交于点O. 3)沿中线BE翻折,使得点C落在点D处,连结AD,CD.例1.(23-24八年级下·河南安阳·期末)如图,直角三角形纸片 的两直角边长分别为6,8,现将 如图那样折叠,使点 与点 重合,折痕为 .则 的长是( ) A. B. C. D. 【答案】C 【详解】解:设 ,则 , 是 翻折而成, , 在 中, ,即 ,解得 .故选:C. 例2.(2023春·湖北·八年级专题练习)如图,在 中,点D是边 上的中点,连接 ,将 沿着 翻折,得到 , 与 交于点F,连接 .若 ,则点C到 的距 离为( )A. B. C. D. 【答案】C 【详解】连接BE,延长CD交BE于G点,过C作CH⊥AB于H,如图所示 由折叠的性质,得:BD=ED,CB=CE ∴CG是线段BE的垂直平分线∴BG= BE ∵D点是AB的中点∴BD=AD, ∴AD=ED∴∠DAE=∠DEA ∵BD=ED∴ ∠DEB=∠DBE ∵∠DAE+∠BEA+∠DBE=180° 即∠DAE+∠DEA+∠DEB+∠DBE=180°∴2∠DEA+2∠DEB=180°∴∠DEA+∠DEB=90°即∠AEB=90° 在Rt△AEB中,由勾股定理得: ∴ ∵ ∴ ∴ 故选:C. 【点睛】本题考查了直角三角形的判定、勾股定理、线段垂直平分线的判定,利用面积相等求线段的长, 关键是得出CG⊥BE,从而可求得△BCD的面积也即△ABC的面积. 例3.(2023春·安徽蚌埠·八年级校考期中)如图,在 中, , , ,点 为 斜边 的中点,连接 ,将 沿 翻折,使 落在点 处,点 为直角边 上一点,连接 , 将 沿 翻折,使点 与点 重合,则:(1) °;(2) 的长为 . 【答案】(1)90(2)【详解】(1)解:由翻折可知: , , ,即 ;故答案为:90; (2)解: , , 由翻折可知: , ∴ , 设 ,则 , ,解得 ,即 . 【点睛】本题考查勾股定理和翻折的性质,熟练掌握勾股定理列方程以及翻折的性质是解决本题的关键. 模型6.三角形翻折之过任意两点所在直线(落在其中一边)翻折模型 1)沿直线MN翻折,使得点C落在直角边的点D处,连结CD. 2)沿直线DE翻折使得点C与斜边AB上的点F重合; 例1.(23-24八年级下·辽宁大连·期末)如图,在 中, , , , 、 分 别是边 、 上的点,把 沿直线 折叠,顶点 的对应点 恰好落在 的中点,则 的长度 为 . 【答案】 【详解】解:在 中, , , ,点 是直角边 的中点, ,根据折叠的性质,得 , ,设 为 ,则: , 在 中: ,解得: ,故答案为: . 例2.(23-24八年级下·福建南平·阶段练习)在 中, ,将 沿直 线DE折叠,使B落在 的三等分点 处,求 的长. 【答案】 的长度为 或3 【详解】解:设 ,则 , 沿直线 折叠B落在 处, , 点 为 的三等分点, , 或 , 当 时,在 中, ,即 ,解得: ; 当 时,在 中, ,即 ,解得: , 综上所述, 的长度为 或3. 例3.(2022·重庆市七年级期中)如图,在 中, ,点D,E分别在边 , 上,且 ,将 沿 折叠,点C恰好落在 边上的F点,若 , , ,则 的长为______.【答案】 【详解】解:∵将△CDE沿DE折叠,点C恰好落在AB上的F处,∴OC=OF,CF⊥DE, ∵ ,∴ ,∴ , ∵∠ACB=90°,∴∠A+∠B=90°,且∠CDE+∠DCF=90°,∠CDE=∠B, ∴∠A=∠ACF,∴ ,同理可求: ,∴ .故答案为: . 【点睛】本题考查翻折变换,直角三角形的性质,勾股定理,解题的关键是综合运用相关知识解题. 模型7.三角形中的其他翻折模型 例1.(23-24八年级上·江苏扬州·期中)如图,三角形纸片 中,点D是 边上一点,连接AD,把 沿着直线AD翻折得到 ,DE交 于点G,连接 交AD于点F,若 , , , 的面积为 ,则BD的长是 . 【答案】 【详解】解:∵ , 的面积为 ,∴ ∴∵ 沿着直线AD翻折得到 ,∴ , , ∵ , ,∴ ∵ ,∴ ∴ ∴ 故答案为: 例2.(2023·重庆·八年级统考期末)如图,在 中, , , ,点D在边 上,将 沿直线 翻折后,点A落在点E处.如果 ,那么线段 的长为 . 【答案】 【详解】连接 ,如图 ∵ 沿直线 翻折后点A落在点E处,∴ , , , ∵ ,∴ 是等腰直角三角形,∴ , ∵ ,∴ ,在 中,∵ , ∴ ,∴ , ∵ ,∴ ,∴ ,∴ 是等腰直角三角形,∴ , ∵ , , ,∴ , ∴ ,∴ ,∴ . 例3.(23-24八年级上·浙江金华·期末)如图,已知 为等腰直角三角形, ,点 为边 上一点,点 为 的中点,连结 ,将 沿 折叠得到 ,若 的延长线恰好经过点 ,则 . 【答案】 【详解】解:如图,∵点 为 的中点,∴ , 在 中, ∴ ,∴ , 设 ,由折叠得, , ,∴ , 在 中,由勾股定理得 ∴ , 解得, ,∴ ,故答案为: 例4.(23-24八年级下·重庆丰都·期中)如图,在 中, , , ,点 为 斜边 上一点,连接 ,将 沿 翻折,使 落在点 处,点 为直角边 上一点,连接 , 将 沿 翻折,使点 与点 重合,则 的长为 .【答案】 【详解】解: , , , , 由翻折可知: , , , , , ,即 设 ,则 , ,解得: ,故答案为: . 1.(2022秋·广东深圳·八年级校考期中)如图,在矩形纸片 中, , ,点 在 上, 将 沿 折叠,使点 落在对角线 上的点 处,则 的长为( )A. B. C. D. 【答案】A 【分析】根据勾股定理即可求出 的长,设 ,则 ,在 中根据勾股定理列方 程求解即可. 【详解】解: , , , , 根据折叠可得: , , 设 ,则 , ,在 中: ,解得: ,故选: . 【点睛】本题考查了矩形的性质,折叠的性质,勾股定理,熟练掌握勾股定理是解答本题的关键. 2.(2023春·重庆南岸·八年级校联考期中)如图,四边形 是一张矩形纸片, ,若沿过点 的折痕将 角翻折,使点 落在 上的 处,折痕交 于点 ,则 的度数为( ) A. B. C. D. 【答案】B 【分析】根据矩形的性质可得 , , ,由折叠的性质可得 , ,进而得到 ,根据含 度角的直角三角形性质得 ,由平行线的性 质得 ,以此即可求解. 【详解】解: 四边形 为矩形, , , , 根据折叠可得, , , , , , , , .故选: . 【点睛】本题主要考查折叠的性质、矩形的性质,解题关键在于熟知折叠的性质:折叠是一种对称变换, 它属于轴对称,折叠前后图形的形状和大小不变,位置变化,对应边和对应角相等. 3.(24-25八年级上·浙江·期中)如图所示,有一块直角三角形纸片, , , ,将斜边 翻折,使点B落在直角边 的延长线上的点E处,折痕为 ,则 的长为( ) A. B. C. D. 【答案】B 【分析】本题主要考查了勾股定理与折叠.熟练掌握勾股定理解直角三角形,折叠的性质,是解题关键. 由勾股定理求出 值,根据折叠的性质可得出 值,在 中根据 运用勾股定理可求 出 长. 【详解】解:∵ , , , ∴ ,由折叠知, .∴ , ∵ , , ∴ ,解得: , 的长为 .故选:B. 4.(23-24八年级下·湖北省直辖县级单位·阶段练习)如图, 中, ,将 沿 翻折,使点A与点B重合,则 的长为( ) A.2 B. C.3 D. 【答案】B 【分析】本题考查翻折变换,勾股定理等知识,首先求出 ,设 ,在 中,利用勾股 定理求出x,再在 中求出 即可. 【详解】解:在 中, ,∴ ,∵ ,设 , 在 中,∵ ,∴ ,∴ , 在 中, .故选:B 5.(2023春·山东济宁·八年级统考期末)如图所示,有一块直角三角形纸片, , , ,将斜边 翻折,使点B落在直角边 的延长线上的点E处,折痕为 ,则 的长为( ) A.1 B. C. D. 【答案】C 【分析】根据勾股定理求出 的长,利用翻折得到 ,即可得出结果. 【详解】解:∵ , , ,∴ , 由翻折得 , ∴ ,故选:C. 【点睛】此题考查了勾股定理的应用,翻折的性质,熟记勾股定理的计算公式是解题的关键. 6.(2024·河南鹤壁·八年级期末)如图, 中, ,M,N分别是边 上的两个动点.将 沿直线 折叠,使得点A的对应点D落在 边的三等分点处,则线段 的长 为( )A.3 B. C.3或 D.3或 【答案】D 【分析】根据题意,分 和 两种情形,设 ,在 中,勾股定理建立方程,解方 程即可求解. 【详解】解: ,点A的对应点D落在 边的三等分点处,设BN=x, 则 和 , ,在 中, , 当 时, ,解得: , 当 时, ,解得: ,故选D. 【点睛】本题考查了折叠与勾股定理,分类讨论是解题的关键. ABCD AB 8cm AD6cm 7.(23-24·四川初二期末)如图,在长方形纸片 中, , . 把长方形纸片沿直 线AC 折叠,点B落在点E处,AE交DC 于点F ,则AF 的长为( ) 25 15 13 cm cm cm A. 4 B. 2 C.7cm D. 2 【答案】A 【分析】由已知条件可证△CFE≌△AFD,得到DF=EF,利用折叠知AE=AB=8cm,设AF=xcm,则DF=(8- x)cm,在Rt△AFD中,利用勾股定理即可求得x的值. 【解析】∵四边形ABCD是长方形,∴∠B=∠D=900,BC=AD, 由翻折得AE=AB=8m,∠E=∠B=900,CE=BC=AD 又∵∠CFE=∠AFD∴△CFE△AFD ∴EF=DF设AF=xcm,则DF=(8-x)cm 25 x cm 在Rt△AFD中,AF2=DF2+AD2,AD=6cm, x2 (8x)2 62 4 故选择A. 【点睛】此题是翻折问题,利用勾股定理求线段的长度.8.(23-24七年级下·重庆·期末)如图,将长方形 沿 折叠,点D恰好落在 边的F点上,已知 , ,则 . 【答案】10 【分析】本题考查了折叠的性质、勾股定理,根据折叠的性质得出 ,设 ,则 ,根据勾股定理得出 ,求出 ,即可得出答案. 【详解】解:根据折叠的性质, ,长方形 中 , 设 ,则 ,在 中,由勾股定理得: , 即 ,解得: ,∴ ,故答案为:10. 9.(2023·海南海口·八年级校考期中)如图,将矩形纸片 沿EF对折,使得点C与点A重合,若 AB4cm, ,则线段EC ______. 【答案】 EC xcm ABE 【分析】由折叠的性质可知 ,设 ,则 ,在直角三角形 中用勾股定理 求解即可. 【详解】解: 矩形纸片ABCD沿EF对折,使得点C与点A重合, BE8xcm AECE EC xcm , 为直角三角形,设 ,则 , AE2  AB2BE2 , ,解得 x5 ,故答案为: . 【点睛】本题考查的是图形的折叠问题,折叠前后图形的形状和大小不变,以及熟练掌握勾股定理是解题 的关键. 10.(2023春·江苏八年级课时练习)如图,矩形 中, , ,点 为 上一个动点,把沿 折叠,当点 的对应点 落在 的角平分线上时, 的长为______. 【答案】 或 【分析】连接 ,过 作 ,交 于点 , 于点 ,作 交 于点 ,先利用 勾股定理求出 ,再分两种情况利用勾股定理求出 . 【详解】解:如图,连接 ,过 作 ,交 于点 , 于点 ,作 交 于点 点 的对应点 落在 的角平分线上, , 设 ,则 , , 又折叠图形可得 , ,解得 或 ,即 或 . 在 中,设 , 当 时, , , , ,解得 ,即 , 当 时, , , , ,解得 ,即 .故答案为: 或 . 【点睛】本题主要考查了折叠问题,解题的关键是明确掌握折叠以后有哪些线段是对应相等的. 11.(2023秋·广东·九年级专题练习)如图,在矩形ABCD中, ,E是 上一个动点,F是 上一点(点F不与点D重合).连接 ,将 沿 翻折,使点A的对应点 落在边 上, 连接 ,若 ,则 的面积为 . 【答案】3 【分析】过点E作 于H,在 中,利用勾股定理构建方程求解即可. 【详解】解:如图,过点E作 于H. 由折叠的性质得 , ∵四边形 是矩形,∴ , ,设 ,则 , 在 中,则有 ,解得 ,∴ , ∵ ,∴四边形 是矩形,∴ , ∵ , ,∴ , ∴ 的面积为 .故答案为:3. 【点睛】本题考查翻折变换,矩形的性质,等腰三角形的判定和性质,勾股定理等知识,解题的关键是灵 活运用所学知识解决问题. 12.(2023春·广西·八年级期中)如图,在矩形ABCD中, , ,把矩形折叠,使点D与点B 重合,点C落在点E处,则折痕FG的长为________.【答案】 【分析】连接BD,在Rt△ABD中,求得BD的长,在Rt△ABF中运用勾股定理求得BF的长,即可得到 DF长,最后在Rt△DOF中求得FO的长,即可得到答案. 【详解】解:如图,连接BD,交FG于O,则由轴对称的性质可知,FG垂直平分BD, 在Rt△ABD中,BD= ,∴DO= , 由折叠可得,∠BFO=∠DFO,由AD BC可得,∠DFO=∠BGO, ∴∠BFO=∠BGO,∴BF=BG,即△BFG是等腰三角形,∴BD平分FG, 设BF=DF=x,则AF=18﹣x,在Rt△ABF中,(18﹣x)2+62=x2,解得 ,即DF=10, ∴Rt△DOF中,OF= ,∴FG=2FO= .故答案为: . 【点睛】本题是折叠问题,主要考查了折叠的性质,勾股定理以及矩形的性质的综合应用,解决问题的关 键是根据勾股定理列方程求解. 13.(2023·浙江·八年级期中)如图,在矩形纸片 中, 点为 边上的中点, 点G沿 运动(不含端点),将矩形纸片沿直线 翻折,使得点B落在 边上,则折痕 长度为 .【答案】 或 【分析】过F作ME⊥AD于E,可得出四边形ABME为矩形,利用矩形的性质得到AE=BF,AB=EM,分两 种情况考虑:(i)当G在AB上,B′落在AE上时,如图1所示,由折叠的性质得到B′M=BM,BG=B′G, 在直角三角形EMB′中,利用勾股定理求出B′E的长,由AE-B′E求出AB′的长,设AG=x,由AB-AG表示出 BG,即为B′G,在直角三角形AB′G中,利用勾股定理列出关于x的方程,求出方程的解得到x的值,确定 出AG的长,进而求出BG的长,在直角三角形GBM中,利用勾股定理即可求出折痕MG的长;(ii)当 G在AE上,B′落在ED上,如图2所示,同理求出B′E的长,设A′G=AG=y,由AE+B′E-AG表示出GB′,在 直角三角形A′B′G中,利用勾股定理列出关于y的方程,求出方程的解得到y的值,求出AG的长,由AE- AG求出GE的长,在直角三角形GEM中,利用勾股定理即可求出折痕MG的长,综上,得到所有满足题 意的折痕MG的长. 【详解】解:如图1所示,过 作 于 , 在 上, 落在 上,可得四边形 为矩形, , , 又 , 为 的中点, 由折叠可得: , 在 中,根据勾股定理得: , ,设 ,则有 , 在 中,根据勾股定理得: , 即 ,解得: , 在 中,根据勾股定理得: ;如图2所示,过 作 于 , 在 上, 落在 上,可得四边形 为矩形, , ,又 , 为 的中点, 由折叠可得: , 在 中,根据勾股定理得: , , 设 ,则 , , 在 △ 中,根据勾股定理得: , 即 ,解得: , , , 在 中,根据勾股定理得: , 综上,折痕 或 .故答案为: 或 . 【点睛】此题考查了翻折变换-折叠问题,涉及的知识有:矩形的判定与性质,勾股定理,利用了方程、转 化及分类讨论的思想,是一道综合性较强的试题. 14.(2025·成都西川中学八年级期中)如图,在Rt ABC中,∠ACB=90°,AC=3,BC=4,点E是AB边 上一点.将△CEB沿直线CE折叠到△CEF,使点B与△点F重合.当CF⊥AB时,线段EB的长为_____. 【答案】2 【分析】设CF与AB交于点H,利用勾股定理求出AB,利用面积法求出CH,求出HF和BH,设BE=EF=x, 在△EHF中利用勾股定理列出方程,解之即可.3242 【详解】解:设CF与AB交于点H,∵∠ACB=90°,AC=3,BC=4,∴AB= =5, 1 1 12 8 ∴S = ACBC ABCH ,即 ,∴CH= ,由折叠可知:CF=CB=4,∴HF=CF-CH= , ABC 2 2 345CH 5 5 △ 16 16 在△BCH中,BH= BC2CH2  ,设BE=EF=x,则EH= -x, 5 5 16  2 8 2  x   x2 在△EHF中,EH2FH2 EF2,∴ 5  5 ,解得:x=2,∴EB=2,故答案为:2. 【点睛】本题考查了勾股定理,折叠的性质,解题的关键是利用折叠的性质得到相等线段,利用勾股定理 列出方程. 15.(2023春·吉林松原·八年级校联考阶段练习)如图,在 中, ,将 沿 翻 折,使点 与点 重合.若 , ,则 的长为 . 【答案】 【分析】根据折叠的性质可得 ,根据勾股定理求得 ,设 ,则 , , 根据勾股定理即可求解. 【详解】解 :∵ , , ,∴ , 设 ,则 , ,在 中, , 即 ,解得: ,即 ,故答案为: . 【点睛】本题考查了勾股定理,折叠的性质,熟练掌握勾股定理是解题的关键. 16.(23-24八年级下·重庆·阶段练习)如图,在 中, ,点 是线段 上一点,连接 ,将 沿直线 翻折,点 的对应点是 ,当点 恰好落在 的边上时, 的长 是 . 【答案】1或 【分析】 本题考查勾股定理,翻折等知识,明确题意,添加合适辅助线,构造直角三角形求解是解题的关键.分点 在 , 讨论即可. 【详解】解:当点 在 上时, 此时 ,设 , ∵ ,∴ ,解得 ,即 ; 当点 在 上时,过B作 于H,过点D作 于点G,做 于点N, ∵ ,∴ ,解得 ,∴ , ∵翻折,且点 在 上,∴ , ∴ ,∵ ,∴ ,解得 , 设 , ,∵ ,∴ , 化简得 ,∴ ,解得 , ,即 或 (不合题意,舍去). 综上, 的值为1或 . 17.(23-24九年级上·重庆石柱·期中)如图 中, ,点E和F是AB上的 点,将边 沿CE翻折,点A落在AB边上的点D处,将 沿CF翻折,点B落在CD延长线上点 处, 的长为 . 【答案】 【分析】本题考查了翻折变换 (折叠问题) 、等腰直角三角形、等面积法,解决本题的关键是根据翻折的 性质可知 为 ,利用等腰直角三角形的性质和三角形的面积求解. 【详解】 , , 根据两次翻折可知: , , , ,∴ , , , , , 在 中 , , ,故答案为: . 18.(2024·广东汕头·一模)如图,在 中, , ,点 在线段 上,且 , 是线段 上的一点,连接 ,将四边形 沿直线 翻折,得到四边形 ,当点恰好落在线段 上时, 的面积为 . 【答案】 【分析】本题考查了图形的折叠变换,勾股定理,等面积法求高,正确添加辅助线是解题的关键. 过点 作 于 ,根据折叠的性质,结合对 运用勾股定理求得 ,由 ,求出 即可. 【详解】解:如图,过点 作 于 , 将四边形 沿直线 翻折,得到四边形 , , , , , , , ∴ ,∴ ,故答案为: . 19.(22-23八年级下·湖北武汉·阶段练习)如图(1),在等腰直角三角形纸片 中, , ,点D,E分别为 上的动点,将纸片沿 翻折,点B的对应点 恰好落在边 上,如图 (2),再将纸片沿 翻折,点C的对应点为 ,如图(3).当 , 的重合部分(即阴影部 分)为直角三角形时, 的长为 .【答案】1或 【分析】分两种情况:当 时,此时可得E是 的中点,得 ;当 时,此时D、A 重合, 是 的平分线,由勾股定理易得结果. 【详解】解:∵ , ,∴ ; ①如图,当 时,由折叠性质得: , , ∴ ; ∵ , , ∴ ,∴ ,∴ , 此时B、 重合,则 ,即点E是 的中点,∴ ; ②如图,当 时, 所在直线重合, ∴ ,∴ ,此时D、A重合, 在 边上, ∴ 是 的平分线,∴ ,由勾股定理 ,∴ . 在 中, ,由勾股定理得: ;故答案为:1或 . 【点睛】本题考查了等腰三角形的判定与性质,折叠的性质,勾股定理,角平分线的性质定理等知识,熟 练掌握这些知识是关键,注意分类讨论. 20.(2023·浙江宁波·八年级校联考期末)如图,在Rt△ABC 中,BAC90,C 30,将边 沿着 AE翻折,使点B落在BC上的点D处,再将边AC沿着AF 翻折,使得C落在AD延长线上的点C处,两 条折痕与斜边BC分别交于E,F.以下四个结论①EAF 45;② ;③EC 3BE;④ .正确的是 . 【答案】①③④ 【分析】根据将边 沿着AE翻折,使点B落在BC上的点D处,再将边AC沿着AF 翻折,使得C落在 1 1 延长线上的点 处,可得BAE EAD BAD,CAF DAF  DAC ,即得 AD C 2 2 B60BDACDF BAC90 C 30,可判断①正确,由 , ,得 BAC90 C 30 B60BDACDF , ,即知△ABD是等边三角形, ,设DF m,则   ADCD 31 mBD ,CF  3mCF,而 ,有 ,即得   3 31 CE CDDE  m ,可判断②错误,又 可判断③正确,根据 2   3 31 3 AE  CE  m , ,得 ,可判断④正确. C 30 3 2 【详解】解:∵将边 沿着AE翻折,使点B落在BC上的点D处,再将边AC沿着AF 翻折,使得C落 1 1 在 延长线上的点 处,∴BAE EAD BAD,CAF DAF  DAC , AD C 2 2 1 1 1 ∴EAF EADDAF  BADDAC BAC  9045,故①正确, 2 2 2 ∵BAC90,C 30,∴B60BDACDF ,C30,   CD 31 m ∴△ABD是等边三角形,CFD90,设DF m,则CD2m,CF  3mCF,∴ ,   ADCD 31 mBD ∵ ,C 30,∴DAC 30C,∴ , 1 31 ∴BEDE BD m,而 ,∴ ,故②错误, 2 2 CF  3m 31 ∵CD  31  m, BEDE m ,∴ ,故③正确, 2     3 31 3 31 3 3 AE CE  m m ∵ , ,∴ , AEC90 C 30 3 3 2 2   ∴ ,∴FC  31 AE,故④正确, ∴正确的有①③④,故答案为:①③④. 【点睛】本题考查图形的折叠,勾股定理,熟练掌握折叠的性质,熟练应用含30°角的直角三角形三边的关系是解题的关键. 21.(23-24七年级上·山东烟台·期末)如图,在长方形 中, 为 边上的点, . 若沿 折叠,点 恰好落在 边上的 点处,求阴影部分的面积. 【答案】阴影部分的面积为 【分析】本题考查了折叠的性质及勾股定理的应用,先求出 ,根据勾股定理得出 ,进 而求出 长,即可求出面积. 【详解】解:由折叠可知, 和 关于直线 成轴对称,所以, . 因为 ,所以 . 在 中,由勾股定理,得 .设 ,则 , 在 中,由勾股定理,得 ,即 .解得 . 所以阴影部分的面积为: . 22.(23-24八年级上·广东深圳·期末)如图,把一张长方形纸片 折叠起来,使其对角顶点A与C重 合,D与G重合.若长方形的长 为8,宽 为4,求: (1) 的长;(2)求阴影部分三角形 的面积. 【答案】(1) (2) 【分析】此题主要考查了折叠的性质、勾股定理的应用: (1)设 ,则 , ,在 中,利用勾股定理 即可求解;(2)根据折叠的性质和 ,可得 , , ,然后过G点作 于H,则 ,可得 ,即可求解. 【详解】(1)解:设 ,则 , , 在 中, ,∴ ,解得: ,∴ ; (2)解:∵ ,∴ ,∴ , , 过G点作 于H,则 , ,∴ ,∴ . 23.(23-24八年级下·湖北孝感·期中)如图1, 中, ,D,E是直线 上两 动点,且 .探究线段 、 、 三条线段之间的数量关系:小明的思路是:如图2,将 沿 折叠,得 ,连接 ,看能否将三条线段转化到一个三角形中,…请你参照小明的思 路,探究并解决下列问题: (1)猜想 、 、 三条线段之间的数量关系,并证明; (2)如图3,当动点 在线段 上,动点 运动在线段 延长线上时,其它条件不变,(1)中探究的结 论是否发生改变?请说明你的猜想并给予证明. 【答案】(1) (2)不变, ,证明见详解 【分析】本题考查了全等三角形的判定与性质,勾股定理,正确添加辅助线是解题的关键.(1)通过 证明 ,得到 ,在 中,有 ,即 ; (2)作 ,且截取 ,连接 ,连接 ,先证明 ,再证明 ,则 ,在 中, ,即 . 【详解】(1)解: , ∵ 中, ,∴ , 将 沿 折叠,得 ,连接 ∴ ,∴ , ∵ ,∴ ,∵ ,∴ , ∴ ,∴ ,∵ ,∴ , ∴ ,∴ , ∴在 中,有 ,即 . (2)解:结论不变, 作 ,且截取 ,连接 ,连接 , ∵ ,∴ , , 又 , , , , , 又 , , , , , ,在 中, ,即 .