当前位置:首页>文档>第9章 必刷大题18 统计与统计分析_2.2025数学总复习_2024年新高考资料_1.2024一轮复习_2024年高考数学一轮复习讲义(新高考版)_学生版在此文件夹_学生用书Word版文档_高考必刷题专练

第9章 必刷大题18 统计与统计分析_2.2025数学总复习_2024年新高考资料_1.2024一轮复习_2024年高考数学一轮复习讲义(新高考版)_学生版在此文件夹_学生用书Word版文档_高考必刷题专练

  • 2026-04-03 12:52:15 2026-03-26 08:21:58

文档预览

第9章 必刷大题18 统计与统计分析_2.2025数学总复习_2024年新高考资料_1.2024一轮复习_2024年高考数学一轮复习讲义(新高考版)_学生版在此文件夹_学生用书Word版文档_高考必刷题专练
第9章 必刷大题18 统计与统计分析_2.2025数学总复习_2024年新高考资料_1.2024一轮复习_2024年高考数学一轮复习讲义(新高考版)_学生版在此文件夹_学生用书Word版文档_高考必刷题专练
第9章 必刷大题18 统计与统计分析_2.2025数学总复习_2024年新高考资料_1.2024一轮复习_2024年高考数学一轮复习讲义(新高考版)_学生版在此文件夹_学生用书Word版文档_高考必刷题专练
第9章 必刷大题18 统计与统计分析_2.2025数学总复习_2024年新高考资料_1.2024一轮复习_2024年高考数学一轮复习讲义(新高考版)_学生版在此文件夹_学生用书Word版文档_高考必刷题专练

文档信息

文档格式
docx
文档大小
0.352 MB
文档页数
4 页
上传时间
2026-03-26 08:21:58

文档内容

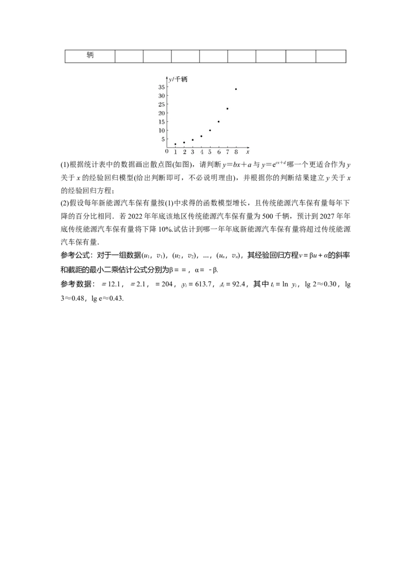
1.某中学为了解学生数学课程的学习情况,在3 000名学生中随机抽取200名,并统计这 200名学生的某次数学考试成绩(满分100分),得到了样本的频率分布直方图(如图). 一般学校认为成绩大于等于80分的学生为优秀. (1)根据频率分布直方图,估计3 000名学生在该次数学考试中成绩优秀的学生数; (2)依据样本的频率分布直方图,估计总体成绩的众数和平均数. 2.为进一步增强疫情防控期间群众的防控意识,使广大群众充分了解疫情防护知识,提高 预防能力,做到科学防护.某组织通过网络进行疫情防控科普知识问答.共有 100人参加了 这次问答,将他们的成绩(满分100分)分成[40,50),[50,60),[60,70),[70,80),[80,90), [90,100]这六组,制成如图所示的频率分布直方图. (1)求图中a的值,并估计这100人问答成绩的中位数和平均数;(同一组数据用该组数据的 中点值代替) (2)用比例分配的分层随机抽样方法从问答成绩在[60,80)内的人中抽取一个容量为5的样本, 再从样本中任意抽取2人,求这2人的问答成绩均在[70,80)内的概率. 3.为弘扬劳动精神,树立学生“劳动最美,劳动最光荣”的观念,某校持续开展“家庭劳动大比拼”活动.某班统计了本班同学1~7月份的人均月劳动时间(单位:小时),并建立 了人均月劳动时间y关于月份x的经验回归方程y=bx+4,y与x的原始数据如表所示: 月份x 1 2 3 4 5 6 7 人均月劳动时间y 8 9 m 12 n 19 22 由于某些原因导致部分数据丢失,但已知 y=452. i i (1)求m,n的值; (2)求该班6月份人均月劳动时间数据的残差值(残差即样本数据与预测值之差). 参考公式:在经验回归方程y=bx+a中,b= ,a=-b. 4.为推动更多人去阅读和写作,联合国教科文组织确定每年的4月23日为“世界读书日”, 其设立目的是希望居住在世界各地的人,无论你是年老还是年轻,无论你是贫穷还是富裕, 都能享受阅读的乐趣,都能尊重和感谢为人类文明做出过巨大贡献的思想大师们,都能保护 知识产权.为了解不同年龄段居民的主要阅读方式,某校兴趣小组在全市随机调查了 200名 居民,这200人中通过电子阅读与纸质阅读的人数之比为3∶1.将这200人按年龄(单位:岁) 分组,统计得到通过电子阅读的居民的频率分布直方图如图所示. (1)求a的值及通过电子阅读的居民的平均年龄; (2)把年龄在[15,45) 内的居民称为中青年,年龄在[45,65]内的居民称为中老年,若选出的 200人中通过纸质阅读的中老年有 30人,请完成下面2×2列联表,并依据小概率值 α= 0.025的独立性检验,分析阅读方式是否与年龄有关. 电子阅读 纸质阅读 合计 中青年 中老年 合计 附:χ2=,n=a+b+c+d. α 0.15 0.1 0.05 0.025 0.01x 2.072 2.706 3.841 5.024 6.635 α 5.2017年9月国家发改委制定了煤改气、煤改电价格扶植新政策,从而使得煤改气、煤改 电用户大幅度增加.图1所示的条形图反映了某省某年1~7月份煤改气、煤改电的用户数 量. 图1 图2 (1)在图2给定坐标系中作出煤改气、煤改电用户数量y随月份t变化的散点图,并用散点图 和样本相关系数说明y与t之间具有线性相关性; (2)建立y关于t的经验回归方程(系数精确到0.01),预测该年11月份该省煤改气、煤改电的 用户数量. 参考公式:对于一组数据(u ,v),(u ,v),…,(u ,v),其经验回归方程v=βu+α的斜率 1 1 2 2 n n 和截距的最小二乘估计公式分别为β==,α=-β. 参考数据:=9.24,y=39.75,≈0.53,≈2.646. i i i 样本相关系数r=. 6.在国家大力发展新能源汽车产业的政策下,我国新能源汽车的产销量高速增长.已知某 地区2015年年底到2022年年底新能源汽车保有量的数据统计表如下: 年份(年) 2015 2016 2017 2018 2019 2020 2021 2022 年份代码x 1 2 3 4 5 6 7 8 保有量y/千 1.95 2.92 4.38 6.58 9.87 15.00 22.50 33.70辆 (1)根据统计表中的数据画出散点图(如图),请判断y=bx+a与y=ecx+d哪一个更适合作为y 关于x的经验回归模型(给出判断即可,不必说明理由),并根据你的判断结果建立y关于x 的经验回归方程; (2)假设每年新能源汽车保有量按(1)中求得的函数模型增长,且传统能源汽车保有量每年下 降的百分比相同.若2022年年底该地区传统能源汽车保有量为500千辆,预计到2027年年 底传统能源汽车保有量将下降10%.试估计到哪一年年底新能源汽车保有量将超过传统能源 汽车保有量. 参考公式:对于一组数据(u ,v),(u ,v),…,(u ,v),其经验回归方程v=βu+α的斜率 1 1 2 2 n n 和截距的最小二乘估计公式分别为β==,α=-β. 参考数据:=12.1,=2.1,=204,y=613.7,t=92.4,其中t=ln y,lg 2≈0.30,lg i i ii i i 3≈0.48,lg e≈0.43.