当前位置:首页>文档>专题25重点专训立体几何大题专项训练(文科)(教师版)_02高考数学_通用版(老高考)复习资料_2024年复习资料_完备战2024年高考数学一轮复习考点帮(全国通用)

专题25重点专训立体几何大题专项训练(文科)(教师版)_02高考数学_通用版(老高考)复习资料_2024年复习资料_完备战2024年高考数学一轮复习考点帮(全国通用)

  • 2026-04-13 06:07:08 2026-04-13 04:44:46

文档预览

专题25重点专训立体几何大题专项训练(文科)(教师版)_02高考数学_通用版(老高考)复习资料_2024年复习资料_完备战2024年高考数学一轮复习考点帮(全国通用)
专题25重点专训立体几何大题专项训练(文科)(教师版)_02高考数学_通用版(老高考)复习资料_2024年复习资料_完备战2024年高考数学一轮复习考点帮(全国通用)
专题25重点专训立体几何大题专项训练(文科)(教师版)_02高考数学_通用版(老高考)复习资料_2024年复习资料_完备战2024年高考数学一轮复习考点帮(全国通用)
专题25重点专训立体几何大题专项训练(文科)(教师版)_02高考数学_通用版(老高考)复习资料_2024年复习资料_完备战2024年高考数学一轮复习考点帮(全国通用)
专题25重点专训立体几何大题专项训练(文科)(教师版)_02高考数学_通用版(老高考)复习资料_2024年复习资料_完备战2024年高考数学一轮复习考点帮(全国通用)
专题25重点专训立体几何大题专项训练(文科)(教师版)_02高考数学_通用版(老高考)复习资料_2024年复习资料_完备战2024年高考数学一轮复习考点帮(全国通用)
专题25重点专训立体几何大题专项训练(文科)(教师版)_02高考数学_通用版(老高考)复习资料_2024年复习资料_完备战2024年高考数学一轮复习考点帮(全国通用)
专题25重点专训立体几何大题专项训练(文科)(教师版)_02高考数学_通用版(老高考)复习资料_2024年复习资料_完备战2024年高考数学一轮复习考点帮(全国通用)
专题25重点专训立体几何大题专项训练(文科)(教师版)_02高考数学_通用版(老高考)复习资料_2024年复习资料_完备战2024年高考数学一轮复习考点帮(全国通用)
专题25重点专训立体几何大题专项训练(文科)(教师版)_02高考数学_通用版(老高考)复习资料_2024年复习资料_完备战2024年高考数学一轮复习考点帮(全国通用)
专题25重点专训立体几何大题专项训练(文科)(教师版)_02高考数学_通用版(老高考)复习资料_2024年复习资料_完备战2024年高考数学一轮复习考点帮(全国通用)
专题25重点专训立体几何大题专项训练(文科)(教师版)_02高考数学_通用版(老高考)复习资料_2024年复习资料_完备战2024年高考数学一轮复习考点帮(全国通用)
专题25重点专训立体几何大题专项训练(文科)(教师版)_02高考数学_通用版(老高考)复习资料_2024年复习资料_完备战2024年高考数学一轮复习考点帮(全国通用)
专题25重点专训立体几何大题专项训练(文科)(教师版)_02高考数学_通用版(老高考)复习资料_2024年复习资料_完备战2024年高考数学一轮复习考点帮(全国通用)
专题25重点专训立体几何大题专项训练(文科)(教师版)_02高考数学_通用版(老高考)复习资料_2024年复习资料_完备战2024年高考数学一轮复习考点帮(全国通用)
专题25重点专训立体几何大题专项训练(文科)(教师版)_02高考数学_通用版(老高考)复习资料_2024年复习资料_完备战2024年高考数学一轮复习考点帮(全国通用)
专题25重点专训立体几何大题专项训练(文科)(教师版)_02高考数学_通用版(老高考)复习资料_2024年复习资料_完备战2024年高考数学一轮复习考点帮(全国通用)
专题25重点专训立体几何大题专项训练(文科)(教师版)_02高考数学_通用版(老高考)复习资料_2024年复习资料_完备战2024年高考数学一轮复习考点帮(全国通用)
专题25重点专训立体几何大题专项训练(文科)(教师版)_02高考数学_通用版(老高考)复习资料_2024年复习资料_完备战2024年高考数学一轮复习考点帮(全国通用)
专题25重点专训立体几何大题专项训练(文科)(教师版)_02高考数学_通用版(老高考)复习资料_2024年复习资料_完备战2024年高考数学一轮复习考点帮(全国通用)
专题25重点专训立体几何大题专项训练(文科)(教师版)_02高考数学_通用版(老高考)复习资料_2024年复习资料_完备战2024年高考数学一轮复习考点帮(全国通用)
专题25重点专训立体几何大题专项训练(文科)(教师版)_02高考数学_通用版(老高考)复习资料_2024年复习资料_完备战2024年高考数学一轮复习考点帮(全国通用)
专题25重点专训立体几何大题专项训练(文科)(教师版)_02高考数学_通用版(老高考)复习资料_2024年复习资料_完备战2024年高考数学一轮复习考点帮(全国通用)
专题25重点专训立体几何大题专项训练(文科)(教师版)_02高考数学_通用版(老高考)复习资料_2024年复习资料_完备战2024年高考数学一轮复习考点帮(全国通用)
专题25重点专训立体几何大题专项训练(文科)(教师版)_02高考数学_通用版(老高考)复习资料_2024年复习资料_完备战2024年高考数学一轮复习考点帮(全国通用)
专题25重点专训立体几何大题专项训练(文科)(教师版)_02高考数学_通用版(老高考)复习资料_2024年复习资料_完备战2024年高考数学一轮复习考点帮(全国通用)
专题25重点专训立体几何大题专项训练(文科)(教师版)_02高考数学_通用版(老高考)复习资料_2024年复习资料_完备战2024年高考数学一轮复习考点帮(全国通用)
专题25重点专训立体几何大题专项训练(文科)(教师版)_02高考数学_通用版(老高考)复习资料_2024年复习资料_完备战2024年高考数学一轮复习考点帮(全国通用)
专题25重点专训立体几何大题专项训练(文科)(教师版)_02高考数学_通用版(老高考)复习资料_2024年复习资料_完备战2024年高考数学一轮复习考点帮(全国通用)
专题25重点专训立体几何大题专项训练(文科)(教师版)_02高考数学_通用版(老高考)复习资料_2024年复习资料_完备战2024年高考数学一轮复习考点帮(全国通用)
专题25重点专训立体几何大题专项训练(文科)(教师版)_02高考数学_通用版(老高考)复习资料_2024年复习资料_完备战2024年高考数学一轮复习考点帮(全国通用)
专题25重点专训立体几何大题专项训练(文科)(教师版)_02高考数学_通用版(老高考)复习资料_2024年复习资料_完备战2024年高考数学一轮复习考点帮(全国通用)
专题25重点专训立体几何大题专项训练(文科)(教师版)_02高考数学_通用版(老高考)复习资料_2024年复习资料_完备战2024年高考数学一轮复习考点帮(全国通用)
专题25重点专训立体几何大题专项训练(文科)(教师版)_02高考数学_通用版(老高考)复习资料_2024年复习资料_完备战2024年高考数学一轮复习考点帮(全国通用)
专题25重点专训立体几何大题专项训练(文科)(教师版)_02高考数学_通用版(老高考)复习资料_2024年复习资料_完备战2024年高考数学一轮复习考点帮(全国通用)
专题25重点专训立体几何大题专项训练(文科)(教师版)_02高考数学_通用版(老高考)复习资料_2024年复习资料_完备战2024年高考数学一轮复习考点帮(全国通用)
专题25重点专训立体几何大题专项训练(文科)(教师版)_02高考数学_通用版(老高考)复习资料_2024年复习资料_完备战2024年高考数学一轮复习考点帮(全国通用)
专题25重点专训立体几何大题专项训练(文科)(教师版)_02高考数学_通用版(老高考)复习资料_2024年复习资料_完备战2024年高考数学一轮复习考点帮(全国通用)
专题25重点专训立体几何大题专项训练(文科)(教师版)_02高考数学_通用版(老高考)复习资料_2024年复习资料_完备战2024年高考数学一轮复习考点帮(全国通用)
专题25重点专训立体几何大题专项训练(文科)(教师版)_02高考数学_通用版(老高考)复习资料_2024年复习资料_完备战2024年高考数学一轮复习考点帮(全国通用)
专题25重点专训立体几何大题专项训练(文科)(教师版)_02高考数学_通用版(老高考)复习资料_2024年复习资料_完备战2024年高考数学一轮复习考点帮(全国通用)
专题25重点专训立体几何大题专项训练(文科)(教师版)_02高考数学_通用版(老高考)复习资料_2024年复习资料_完备战2024年高考数学一轮复习考点帮(全国通用)
专题25重点专训立体几何大题专项训练(文科)(教师版)_02高考数学_通用版(老高考)复习资料_2024年复习资料_完备战2024年高考数学一轮复习考点帮(全国通用)
专题25重点专训立体几何大题专项训练(文科)(教师版)_02高考数学_通用版(老高考)复习资料_2024年复习资料_完备战2024年高考数学一轮复习考点帮(全国通用)
专题25重点专训立体几何大题专项训练(文科)(教师版)_02高考数学_通用版(老高考)复习资料_2024年复习资料_完备战2024年高考数学一轮复习考点帮(全国通用)
专题25重点专训立体几何大题专项训练(文科)(教师版)_02高考数学_通用版(老高考)复习资料_2024年复习资料_完备战2024年高考数学一轮复习考点帮(全国通用)
专题25重点专训立体几何大题专项训练(文科)(教师版)_02高考数学_通用版(老高考)复习资料_2024年复习资料_完备战2024年高考数学一轮复习考点帮(全国通用)
专题25重点专训立体几何大题专项训练(文科)(教师版)_02高考数学_通用版(老高考)复习资料_2024年复习资料_完备战2024年高考数学一轮复习考点帮(全国通用)
专题25重点专训立体几何大题专项训练(文科)(教师版)_02高考数学_通用版(老高考)复习资料_2024年复习资料_完备战2024年高考数学一轮复习考点帮(全国通用)
专题25重点专训立体几何大题专项训练(文科)(教师版)_02高考数学_通用版(老高考)复习资料_2024年复习资料_完备战2024年高考数学一轮复习考点帮(全国通用)
专题25重点专训立体几何大题专项训练(文科)(教师版)_02高考数学_通用版(老高考)复习资料_2024年复习资料_完备战2024年高考数学一轮复习考点帮(全国通用)
专题25重点专训立体几何大题专项训练(文科)(教师版)_02高考数学_通用版(老高考)复习资料_2024年复习资料_完备战2024年高考数学一轮复习考点帮(全国通用)
专题25重点专训立体几何大题专项训练(文科)(教师版)_02高考数学_通用版(老高考)复习资料_2024年复习资料_完备战2024年高考数学一轮复习考点帮(全国通用)
专题25重点专训立体几何大题专项训练(文科)(教师版)_02高考数学_通用版(老高考)复习资料_2024年复习资料_完备战2024年高考数学一轮复习考点帮(全国通用)
专题25重点专训立体几何大题专项训练(文科)(教师版)_02高考数学_通用版(老高考)复习资料_2024年复习资料_完备战2024年高考数学一轮复习考点帮(全国通用)
专题25重点专训立体几何大题专项训练(文科)(教师版)_02高考数学_通用版(老高考)复习资料_2024年复习资料_完备战2024年高考数学一轮复习考点帮(全国通用)
专题25重点专训立体几何大题专项训练(文科)(教师版)_02高考数学_通用版(老高考)复习资料_2024年复习资料_完备战2024年高考数学一轮复习考点帮(全国通用)
专题25重点专训立体几何大题专项训练(文科)(教师版)_02高考数学_通用版(老高考)复习资料_2024年复习资料_完备战2024年高考数学一轮复习考点帮(全国通用)
专题25重点专训立体几何大题专项训练(文科)(教师版)_02高考数学_通用版(老高考)复习资料_2024年复习资料_完备战2024年高考数学一轮复习考点帮(全国通用)
专题25重点专训立体几何大题专项训练(文科)(教师版)_02高考数学_通用版(老高考)复习资料_2024年复习资料_完备战2024年高考数学一轮复习考点帮(全国通用)
专题25重点专训立体几何大题专项训练(文科)(教师版)_02高考数学_通用版(老高考)复习资料_2024年复习资料_完备战2024年高考数学一轮复习考点帮(全国通用)
专题25重点专训立体几何大题专项训练(文科)(教师版)_02高考数学_通用版(老高考)复习资料_2024年复习资料_完备战2024年高考数学一轮复习考点帮(全国通用)
专题25重点专训立体几何大题专项训练(文科)(教师版)_02高考数学_通用版(老高考)复习资料_2024年复习资料_完备战2024年高考数学一轮复习考点帮(全国通用)
专题25重点专训立体几何大题专项训练(文科)(教师版)_02高考数学_通用版(老高考)复习资料_2024年复习资料_完备战2024年高考数学一轮复习考点帮(全国通用)
专题25重点专训立体几何大题专项训练(文科)(教师版)_02高考数学_通用版(老高考)复习资料_2024年复习资料_完备战2024年高考数学一轮复习考点帮(全国通用)
专题25重点专训立体几何大题专项训练(文科)(教师版)_02高考数学_通用版(老高考)复习资料_2024年复习资料_完备战2024年高考数学一轮复习考点帮(全国通用)

文档信息

文档格式
docx
文档大小
6.109 MB
文档页数
62 页
上传时间
2026-04-13 04:44:46

文档内容

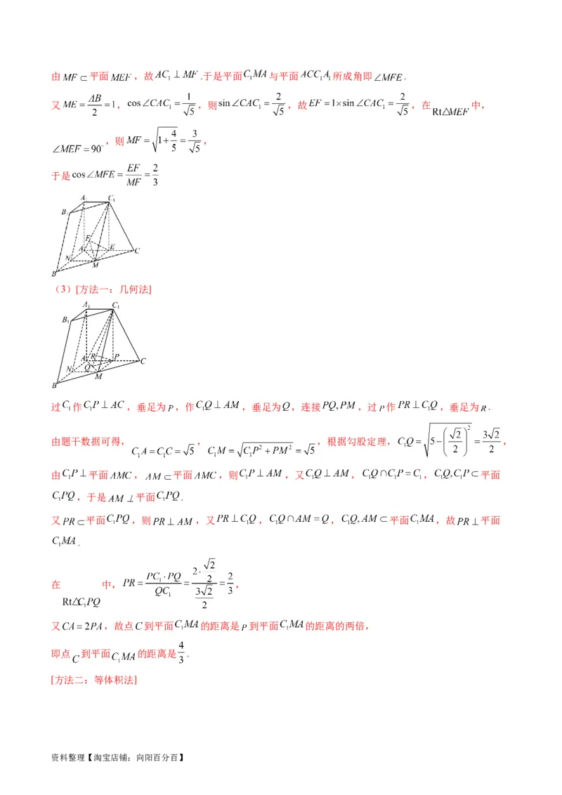
专题 25 立体几何大题训练(文科) 题型一、三棱锥的相关证明、体积及表面积 1.(2022年全国高考乙卷数学(文)试题)如图,四面体 中, , E为AC的中点. (1)证明:平面 平面ACD; (2)设 ,点F在BD上,当 的面积最小时,求三棱锥 的体积. 【答案】(1)证明详见解析;(2) ; 【分析】(1)通过证明 平面 来证得平面 平面 . (2)首先判断出三角形 的面积最小时 点的位置,然后求得 到平面 的距离,从而求得三棱锥 的体积. 【详解】(1)由于 , 是 的中点,所以 . 由于 ,所以 , 所以 ,故 , 由于 , 平面 , 所以 平面 , 由于 平面 ,所以平面 平面 . (2)[方法一]:判别几何关系 依题意 , ,三角形 是等边三角形, 所以 , 由于 ,所以三角形 是等腰直角三角形,所以 . ,所以 , 由于 , 平面 ,所以 平面 . 由于 ,所以 , 资料整理【淘宝店铺:向阳百分百】由于 ,所以 , 所以 ,所以 , 由于 ,所以当 最短时,三角形 的面积最小 过 作 ,垂足为 , 在 中, ,解得 , 所以 , 所以 过 作 ,垂足为 ,则 ,所以 平面 ,且 , 所以 , 所以 . [方法二]:等体积转换 , , 是边长为2的等边三角形, 连接 资料整理【淘宝店铺:向阳百分百】2.(2023年高考全国乙卷数学(文)真题)如图,在三棱锥 中, , , , , 的中点分别为 ,点 在 上, . (1)求证: //平面 ; (2)若 ,求三棱锥 的体积. 【答案】(1)证明见解析;(2) ; 【分析】(1)根据给定条件,证明四边形 为平行四边形,再利用线面平行的判定推理作答. (2)作出并证明 为棱锥的高,利用三棱锥的体积公式直接可求体积. 【详解】(1)连接 ,设 ,则 , , , 则 , 解得 ,则 为 的中点,由 分别为 的中点, 于是 ,即 , 则四边形 为平行四边形, ,又 平面 平面 , 所以 平面 . (2)过 作 垂直 的延长线交于点 , 因为 是 中点,所以 , 在 中, , 所以 , 资料整理【淘宝店铺:向阳百分百】因为 , 所以 ,又 , 平面 , 所以 平面 ,又 平面 , 所以 ,又 , 平面 , 所以 平面 , 即三棱锥 的高为 , 因为 ,所以 , 所以 , 又 , 所以 . 3.(2017年全国普通高等学校招生统一考试文科数学(新课标3卷))如图,四面体ABCD中,△ABC 是正三角形,AD=CD. (1)证明:AC⊥BD; (2)已知△ACD是直角三角形,AB=BD.若E为棱BD上与D不重合的点,且AE⊥EC,求四面体ABCE 与四面体ACDE的体积比. 【答案】(1)见解析;(2)1:1. 【详解】试题分析:(1)取 的中点 ,由等腰三角形及等边三角形的性质得 , , 再根据线面垂直的判定定理得 平面 ,即得 ;(2)先由 ,结合平面几何知 识确定 ,再根据锥体的体积公式得所求体积之比为1:1. 试题解析: 资料整理【淘宝店铺:向阳百分百】(1)取 的中点 ,连结 . 因为 ,所以 . 又由于 是正三角形,所以 . 从而 平面 ,故 . (2)连结 . 由(1)及题设知 ,所以 . 在 中, . 又 ,所以 ,故 . 由题设知 为直角三角形,所以 . 又 是正三角形,且 ,所以 . 故 为 的中点,从而 到平面 的距离为 到平面 的距离的 ,四面体 的体积为四 面体 的体积的 ,即四面体 与四面体 的体积之比为1:1. 【名师点睛】垂直、平行关系证明中应用转化与化归思想的常见类型: (1)证明线面、面面平行,需转化为证明线线平行. (2)证明线面垂直,需转化为证明线线垂直. (3)证明线线垂直,需转化为证明线面垂直. 4.(2023届四川省诊断性考试数学(文)试题)如图,在三棱锥 中,H为 的内心,直线 AH与BC交于M, , . (1)证明:平面 平面ABC; 资料整理【淘宝店铺:向阳百分百】(2)若 , , ,求三棱锥 的体积. 【答案】(1)证明见解析;(2) ; 【分析】(1)设 平面 于点 ,过 作 于 , 于 ,连接 ,通过 全等三角形及角平分线性质可证 与 重合,从而可证平面 平面ABC; (2)由(1)知 平面 ,且由已知可求 长度,再由角平分线性质可求 面积,从而可求 三棱锥 的体积. 【详解】(1)如图,设 平面 于点 ,过 作 于 , 于 ,连接 . ∵ 平面 , 平面 ∴ 又∵ ∴ 平面 ∴ , 同理 在 , 中, , ∴ ∴ 在 , 中, , ∴ ,∴ ,即 到 的距离相等 同理 到 的距离相等,故 为 的内心, 与 重合 ∴ 平面 又∵ 平面 ∴平面 平面 (2)由已知可得 ,设 的内切圆半径为r, 则 ,故 , 因为 为 的内心,所以 平分 ,所以 , ,所以 , , 故 的面积为 , 资料整理【淘宝店铺:向阳百分百】因为 , 所以 ,所以 ,得 , 所以 , , 故三棱锥 的体积为 . 题型二、直三棱柱的相关证明、体积及表面积 1.(2021年全国高考甲卷数学(文)试题)已知直三棱柱 中,侧面 为正方形, ,E,F分别为 和 的中点, . (1)求三棱锥 的体积; (2)已知D为棱 上的点,证明: . 【答案】(1) ;(2)证明见解析. 【分析】(1)先证明 为等腰直角三角形,然后利用体积公式可得三棱锥的体积; (2)将所给的几何体进行补形,从而把线线垂直的问题转化为证明线面垂直,然后再由线面垂直可得题 中的结论. 【详解】(1)由于 , ,所以 , 又 , ,故 平面 , 则 , 为等腰直角三角形, , . (2)由(1)的结论可将几何体补形为一个棱长为2的正方体 ,如图所示,取棱 的中点 ,连结 , 资料整理【淘宝店铺:向阳百分百】正方形 中, 为中点,则 , 又 , 故 平面 ,而 平面 , 从而 . 【点睛】求三棱锥的体积时要注意三棱锥的每个面都可以作为底面,例如三棱锥的三条侧棱两两垂直,我 们就选择其中的一个侧面作为底面,另一条侧棱作为高来求体积.对于空间中垂直关系(线线、线面、面 面)的证明经常进行等价转化. 2.如图所示在直三棱柱 中, , 是边长为4的等边三角形,D、E、F分别为棱 、 、 的中点,点P在棱BC上,且 . (1)证明: ∥平面DCE; (2)求点D到平面CEF的距离. 【答案】(1)证明见解析;(2) . 【分析】(1)取 的中点 ,连接 ,取 的中点 ,连接 ,证明四边形 为平行四 边形即可; (2)连接 ,设 到平面 的距离为 ,利用等体积法 即可求 . 【详解】(1)如图,取 的中点 ,连接 ,取 的中点 ,连接 . ∵ ,∴ , ∴ , . ∵ , ,∴ , . ∴四边形 为平行四边形,∴ , ∵ 平面 , 平面 , ∴ 平面 ; (2)连接 ,易知 . ∵ 平面 , 平面 ,∴ . 资料整理【淘宝店铺:向阳百分百】易知 , ,∴ 平面 . 易知 ∥平面 ,故 到平面 的距离等于 . ∵ , ∴ . ∵ , , ∴ . 设点 到平面 的距离为 , 则由 ,得 , 解得 . 3.(2023届新疆二模数学(文科)试题)如图,在三棱柱 中, 平面 , , F是 的中点,点E在棱 上. (1)证明: ; (2)若 , ,且点 到平面 的距离为 ,求 的值. 【答案】(1)证明见解析;(2) ; 【分析】(1)要证明一条直线垂直于另一条直线,只要证明该直线垂直于另一条直线所在的平面即可; (2)运用等体积法计算点到平面的距离. 【详解】(1)在直三棱柱 中, ,又 ,F为 中点, 资料整理【淘宝店铺:向阳百分百】,又 , 平面 , 平面 平面 , 平面 , ; (2)因为F是 的中点, ,又 三棱锥 , 点 到平面 的距离等于点 到平面 的距离,即 , 由(1)知, 平面 ,即 也是三棱锥 底面 上的高, 由条件可知: , ,设 , 在 中, , 在 中, , 由 ,即 , ,得 ; 综上, . 题型三、斜三棱柱的相关证明、体积及表面积 1.(2023年高考全国甲卷数学(文)真题)如图,在三棱柱 中, 平面 . (1)证明:平面 平面 ; (2)设 ,求四棱锥 的高. 【答案】(1)证明见解析;(2) ; 【分析】(1)由 平面 得 ,又因为 ,可证 平面 ,从而证得平面 平面 ; (2) 过点 作 ,可证四棱锥的高为 ,由三角形全等可证 ,从而证得 为 中点,设 ,由勾股定理可求出 ,再由勾股定理即可求 . 资料整理【淘宝店铺:向阳百分百】【详解】(1)证明:因为 平面 , 平面 , 所以 , 又因为 ,即 , 平面 , ,所以 平面 , 又因为 平面 ,所以平面 平面 . (2)如图, 过点 作 ,垂足为 . 因为平面 平面 ,平面 平面 , 平面 , 所以 平面 ,所以四棱锥 的高为 . 因为 平面 , 平面 , 所以 , , 又因为 , 为公共边, 所以 与 全等,所以 . 设 ,则 , 所以 为 中点, , 又因为 ,所以 , 即 ,解得 , 所以 , 所以四棱锥 的高为 . 2.(2023届四川省全真模拟考试(一)文科数学试题)如图,在三棱柱 中,平面 平面ABC, , , , , , . 资料整理【淘宝店铺:向阳百分百】(1)求证:B,D,E, 四点共面; (2)求四棱锥 的体积. 【答案】(1)证明见解析;(2) ; 【分析】(1)由题设 , ,进而有 ,易得四边形 为平行四边形,再结 合 ,即可证结论; (2)根据面面垂直性质定理证明线面垂直,最后根据体积公式计算即可. 【详解】(1)在三棱柱 中, , , 因为 , ,即 , ,所以 , 则四边形 为平行四边形,则 .又因为 ,所以 ,故 , 四点共面. (2)连接 ,取 的中点 ,连接 , ,如图所示. 在三棱柱 中,四边形 为平行四边形, , 则 ,又 ,所以 为等边三角形. 又 为 的中点,所以 . 又平面 平面 ,平面 平面 , 平面 , 所以 平面 .又 , 为 的中点,所以 . 因为 , ,所以 , , . 又因为 , , 所以四棱锥 的体积为 . 资料整理【淘宝店铺:向阳百分百】3.如图,已知三棱柱 的所有棱长均为2, . (Ⅰ)证明: 平面 ; (Ⅱ)若平面 平面 , 为 的中点,求四棱锥 的体积. 【答案】(Ⅰ)证明见解析(Ⅱ) 【分析】(Ⅰ)取 中点 ,连接 , .通过证明 , ,证得 平面 , 由此证得 ,结合 ,证得 平面 . (Ⅱ)首先证得 平面 ,也即 是四棱锥 的高,由此求得四棱锥 的体 积.或者用割补法来求体积. 【详解】(Ⅰ)取 中点 ,连接 , . ∵三棱柱的所有棱长均为2, , ∴ 和 是边长为2的等边三角形,且 . ∴ , . ∵ , 平面 , ,∴ 平面 . ∵ 平面 ,∴ . ∵ , 平面 , ,∴ 平面 . (Ⅱ)∵平面 平面 ,且交线为 ,由(Ⅰ)知 ,∴ 平面 . ∴ . 另解: . 资料整理【淘宝店铺:向阳百分百】【点睛】本小题主要考查线面垂直的证明,考查锥体体积算,考查空间想象能力和逻辑推理能力,属于中 档题. 4.如图,已知三棱柱 的所有棱长均为2, . (Ⅰ)证明: 平面 ; (Ⅱ)若平面 平面 , 为 的中点,求四棱锥 的体积. 【答案】(Ⅰ)证明见解析(Ⅱ) 【分析】(Ⅰ)取 中点 ,连接 , .通过证明 , ,证得 平面 , 由此证得 ,结合 ,证得 平面 . (Ⅱ)首先证得 平面 ,也即 是四棱锥 的高,由此求得四棱锥 的体 积.或者用割补法来求体积. 【详解】(Ⅰ)取 中点 ,连接 , . ∵三棱柱的所有棱长均为2, , ∴ 和 是边长为2的等边三角形,且 . ∴ , . ∵ , 平面 , , ∴ 平面 . ∵ 平面 ,∴ . ∵ , 平面 , , ∴ 平面 . (Ⅱ)∵平面 平面 ,且交线为 , 由(Ⅰ)知 ,∴ 平面 . ∴ . 另解: 资料整理【淘宝店铺:向阳百分百】. 【点睛】本小题主要考查线面垂直的证明,考查锥体体积算,考查空间想象能力和逻辑推理能力,属于中 档题. 5.如图,已知三棱柱 的所有棱长均为2, . (Ⅰ)证明: 平面 ; (Ⅱ)若平面 平面 , 为 的中点,求四棱锥 的体积. 【答案】(Ⅰ)证明见解析(Ⅱ) 【分析】(Ⅰ)取 中点 ,连接 , .通过证明 , ,证得 平面 , 由此证得 ,结合 ,证得 平面 . (Ⅱ)首先证得 平面 ,也即 是四棱锥 的高,由此求得四棱锥 的体 积.或者用割补法来求体积. 【详解】(Ⅰ)取 中点 ,连接 , . ∵三棱柱的所有棱长均为2, , ∴ 和 是边长为2的等边三角形,且 . ∴ , . ∵ , 平面 , ,∴ 平面 . ∵ 平面 ,∴ . 资料整理【淘宝店铺:向阳百分百】∵ , 平面 , ,∴ 平面 . (Ⅱ)∵平面 平面 ,且交线为 , 由(Ⅰ)知 ,∴ 平面 . ∴ . 另解: . 【点睛】本小题主要考查线面垂直的证明,考查锥体体积算,考查空间想象能力和逻辑推理能力,属于中 档题. 6.(2023届河南省调研模拟文科数学试题)如图,已知三棱柱 中, , , , 是 的中点, 是线段 上一点. (1)求证: ; (2)设 是棱 上的动点(不包括边界),当 的面积最小时,求棱锥 的体积. 【答案】(1)证明见解析;(2) ; 【分析】(1)连接 , ,利用 可证 ,从而可证 平面 ,进而可 证 ,从而可证 平面 ,利用线面垂直的性质即可证明; (2)由(1)可得 平面 ,从而有 ,进而可知当 时, 最小,此时 面 积最小. 过 做 于 ,从而可得 平面 ,再根据锥体的体积公式即可求解. 【详解】(1)连接 , 资料整理【淘宝店铺:向阳百分百】, 为 中点, . 又 , , ,且 . , , , 又 , , 平面 , 平面 ,又 平面 , . 由已知 , , , 又 , 平面 , 平面 . 而 , 平面 , . (2)由(1)可知 , . 又 , 平面 , 平面 , 又 , 平面 , . 所以 ,又 在棱 上移动, 当 时, 最小,此时 面积最小. 在 中, , ,则 , , . 在 中,过 做 于 ,则 , , 平面 ,于是可得 . . 7.(2023届贵州省高考模拟(黄金Ⅰ卷)文科数学试题)如图,在三棱柱 中, , . 资料整理【淘宝店铺:向阳百分百】(1)证明: ; (2)若 , , ,点E为 的中点,求三棱锥 的体积. 【答案】(1)证明见解析;(2) ; 【分析】(1)取 的中点 ,连接 , ,即可证明 平面 ,从而得证; (2)证明 平面 ,根据点E为 的中点得出体积的关系,最后应用棱锥的体积公式计算即可. 【详解】(1)取 的中点 ,连接 , , , , , , 又 , 平面 , 平面 , 平面 , 而 平面 , ; (2)在 中, , , 可得 , , 在 中, , ,可得 , 在 中, , , , 可得 ,即 , 由(1)知, 平面 , 平面 ,所以平面 平面 , 又平面 平面 , 平面 , 平面 ,点E为 的中点, 三棱锥 的体积 资料整理【淘宝店铺:向阳百分百】题型四、三棱台的相关证明、体积及表面积 1.(2023年新高考天津数学高考真题)三棱台 中,若 面 , 分别是 中点. (1)求证: //平面 ; (2)求平面 与平面 所成夹角的余弦值; (3)求点 到平面 的距离. 【答案】(1)证明见解析;(2) ;(3) ; 【分析】(1)先证明四边形 是平行四边形,然后用线面平行的判定解决; (2)利用二面角的定义,作出二面角的平面角后进行求解; (3)方法一是利用线面垂直的关系,找到垂线段的长,方法二无需找垂线段长,直接利用等体积法求解 【详解】(1) 连接 .由 分别是 的中点,根据中位线性质, // ,且 , 由棱台性质, // ,于是 // ,由 可知,四边形 是平行四边形,则 // , 又 平面 , 平面 ,于是 //平面 . (2)过 作 ,垂足为 ,过 作 ,垂足为 ,连接 . 由 面 , 面 ,故 ,又 , , 平面 , 则 平面 . 由 平面 ,故 ,又 , , 平面 ,于是 平 面 , 资料整理【淘宝店铺:向阳百分百】由 平面 ,故 .于是平面 与平面 所成角即 . 又 , ,则 ,故 ,在 中, ,则 , 于是 (3)[方法一:几何法] 过 作 ,垂足为 ,作 ,垂足为 ,连接 ,过 作 ,垂足为 . 由题干数据可得, , ,根据勾股定理, , 由 平面 , 平面 ,则 ,又 , , 平面 ,于是 平面 . 又 平面 ,则 ,又 , , 平面 ,故 平面 . 在 中, , 又 ,故点 到平面 的距离是 到平面 的距离的两倍, 即点 到平面 的距离是 . [方法二:等体积法] 资料整理【淘宝店铺:向阳百分百】辅助线同方法一. 设点 到平面 的距离为 . , . 由 ,即 . 2.(2023届河南省冲刺考试(四)文科数学试题)在三棱台 中, , 分别是 , 的 中点, , 平面 ,且 , . (1)求证: ; (2)求三棱锥 的体积. 【答案】(1)证明见解析;(2) ; 【分析】(1)根据等腰三角形、棱台、线面垂直的性质证四边形 为矩形,并求得相关线段的长度, 再证 得到 ,根据面面垂直的判定、性质证 平面 ,进而得到 ,最后由线面垂直的判定和性质证结论. (2)由 ,结合棱锥体积公式求体积即可. 【详解】(1)由 , ,则 , 是 的中点,即 , 由 为棱台,易知 ,且 ,故 , 资料整理【淘宝店铺:向阳百分百】又 ,且 ,故四边形 为平行四边形, 又 平面 , 平面 ,则 , 所以四边形 为矩形,又 , 是 的中点,故 , 在 中, 且 , 所以 ,易得 , 则 , 由 平面 , 平面 , 则平面 平面 , 由等腰三角形性质知 , 平面 , 平面 平面 , 所以 平面 , 平面 , 则 , 又 , 面 , 则 面 ,由 面 ,则 . (2)由 ,由(1)知: 平面 , 所以 . 所以三棱锥 的体积为 . 3.(2023届贵州省月考(全国甲卷押题卷二)数学(文)试题)在三棱台 中, 平面 ABC, , , ,M为AC的中点. (1)证明: 平面 ; (2)若 ,求点 到平面 的距离. 【答案】(1)证明见解析;(2) 【分析】(1)连接 ,由线面垂直的性质、棱台的结构特征易知 为正方形,即有 , 再由线面垂直、等腰三角形性质有 、 ,进而有 面 ,则 ,最后 应用线面垂直的判定证结论; 资料整理【淘宝店铺:向阳百分百】(2)若 为 中点,连接 、 ,根据棱台的结构特征知 ,进而可得 面 , 转化可知 到平面 的距离 ,即可得结果. 【详解】(1)连接 ,由 平面 , 平面 ,则 , 由 且 为三棱台,故 ,即 且 , 综上, 为正方形,故 , 由 平面 , 平面 ,则 , 而 , 为 的中点,则 , 由 , 面 ,故 面 , 又 面 ,故 , 因为 , 面 ,则 面 . (2)若 为 中点,连接 、 , 由棱台上下底面对应线段平行: ,而 面 , 面 , 所以 面 ,故 到平面 的距离,即为 到平面 的距离, 显然 到平面 的距离是 到平面 的距离的2倍, 由(1)知: 到平面 的距离为 ,则 到平面 的距离为 , 由 ,则 , ,故 , 所以 ,而 , 综上, 到平面 的距离为 . 4.如图,在三棱台 中, ,H为BC的中点,点G在线段AC上, 平面FGH. 平面ABC, . 资料整理【淘宝店铺:向阳百分百】(1)求三棱台 的体积; (2)求证:点G为AC的中点. 【答案】(1) ;(2)证明见解析; 【分析】(1)依据棱台体积公式即可求得三棱台 的体积; (2)先利用题给条件证得三角形全等,进而求得 的长度为1,进而得到点G为AC的中点. (1) 在三棱台 中,高 上底面 为等边三角形,其边长为1,所以面积为 . 下底面 为等边三角形,其边长为2,所以面积为 . ∴三棱台的体积为 . (2) 连接CD,设 ,连接HO, 由 平面FGH, 平面CBD,平面 平面 , 可得 ,又H为BC的中点,所以O为CD的中点, 三棱台 中, , , , ∴ ,∴ . ∵三棱台 中 为等边三角形, ∴ 为等边三角形.则 . ∴ ,又∵ ,∴点G为AC的中点. 资料整理【淘宝店铺:向阳百分百】题型五、四棱锥的相关证明、体积及表面积 1.(2021年全国高考乙卷数学(文)试题)如图,四棱锥 的底面是矩形, 底面 , M为 的中点,且 . (1)证明:平面 平面 ; (2)若 ,求四棱锥 的体积. 【答案】(1)证明见解析;(2) . 【分析】(1)由 底面 可得 ,又 ,由线面垂直的判定定理可得 平面 ,再根据面面垂直的判定定理即可证出平面 平面 ; (2)由(1)可知, ,由平面知识可知, ,由相似比可求出 ,再根据四棱锥 的体积公式即可求出. 【详解】(1)因为 底面 , 平面 , 所以 , 又 , , 所以 平面 , 而 平面 , 所以平面 平面 . (2)[方法一]:相似三角形法 由(1)可知 . 于是 ,故 . 因为 ,所以 ,即 . 故四棱锥 的体积 . [方法二]:平面直角坐标系垂直垂直法 由(2)知 ,所以 . 建立如图所示的平面直角坐标系,设 . 资料整理【淘宝店铺:向阳百分百】因为 ,所以 , , , . 从而 . 所以 ,即 .下同方法一. 【整体点评】(2)方法一利用相似三角形求出求出矩形的另一个边长,从而求得该四棱锥的体积; 方法二构建平面直角坐标系,利用直线垂直的条件得到矩形的另一个边长,从而求得该四棱锥的体积; 2.(2019年北京市高考数学试卷(文科))如图,在四棱锥 中, 平面ABCD,底部ABCD 为菱形,E为CD的中点. (Ⅰ)求证:BD⊥平面PAC; (Ⅱ)若∠ABC=60°,求证:平面PAB⊥平面PAE; (Ⅲ)棱PB上是否存在点F,使得CF∥平面PAE?说明理由. 【答案】(Ⅰ)见解析;(Ⅱ)见解析;(Ⅲ)见解析. 【分析】(Ⅰ)由题意利用线面垂直的判定定理即可证得题中的结论; (Ⅱ)由几何体的空间结构特征首先证得线面垂直,然后利用面面垂直的判断定理可得面面垂直; (Ⅲ)由题意,利用平行四边形的性质和线面平行的判定定理即可找到满足题意的点. 【详解】(Ⅰ)证明:因为 平面 ,所以 ; 因为底面 是菱形,所以 ; 因为 , 平面 , 所以 平面 . (Ⅱ)证明:因为底面 是菱形且 ,所以 为正三角形,所以 , 因为 ,所以 ; 因为 平面 , 平面 , 所以 ; 因为 资料整理【淘宝店铺:向阳百分百】所以 平面 , 平面 ,所以平面 平面 . (Ⅲ)存在点 为 中点时,满足 平面 ;理由如下: 分别取 的中点 ,连接 , 在三角形 中, 且 ; 在菱形 中, 为 中点,所以 且 ,所以 且 ,即四边形 为平行四边形,所以 ; 又 平面 , 平面 ,所以 平面 . 【点睛】本题主要考查线面垂直的判定定理,面面垂直的判定定理,立体几何中的探索问题等知识,意在 考查学生的转化能力和计算求解能力. 3.(2017年全国普通高等学校招生统一考试文科数学(新课标2卷))四棱锥 中,侧面 为等边三角形且垂直于底面 , (1)证明:直线 平面 ; (2)若△ 面积为 ,求四棱锥 的体积. 【答案】(Ⅰ)见解析(Ⅱ) 【分析】试题分析:证明线面平有两种思路,一是寻求线线平行,二是寻求面面平行;取 中点 ,由 于平面 为等边三角形,则 ,利用面面垂直的性质定理可推出 底面ABCD,设 , 表示相关的长度,利用 的面积为 ,求出四棱锥的体积. 试题解析: (1) 在平面 内,因为 ,所以 又 平面 , 平面 ,故 平面 资料整理【淘宝店铺:向阳百分百】(2)取 的中点 ,连接 . 由 及 , 得四边形 为正方形,则 . 因为侧面 为等边三角形且垂直于底面 ,平面 平面 , 所以 , 底面 . 因为 底面 ,所以 , 设 ,则 ,取 的中点 ,连接 ,则 ,所以 , 因为 的面积为 ,所以 , 解得 (舍去), . 于是 . 所以四棱锥 的体积 . 4.如图,四棱锥 中, 平面 , , , , 为 线段 上一点, , 为 的中点. (I)证明 平面 ; (II)求四面体 的体积. 【答案】(Ⅰ)证明见解析;(Ⅱ) . 【详解】试题分析:(Ⅰ)取 的中点 ,然后结合条件中的数据证明四边形 为平行四边形,从 资料整理【淘宝店铺:向阳百分百】而得到 ,由此结合线面平行的判断定理可证;(Ⅱ)由条件可知四面体N-BCM的高,即点 到 底面的距离为棱 的一半,由此可顺利求得结果. 试题解析:(Ⅰ)由已知得 ,取 的中点 ,连接 , 由 为 中点知 , . 又 ,故 平行且等于 ,四边形 为平行四边形, 于是 . 因为 平面 , 平面 ,所以 平面 . (Ⅱ)因为 平面 , 为 的中点, 所以 到平面 的距离为 . 取 的中点 ,连结 . 由 得 , . 由 得 到 的距离为 ,故 . 所以四面体 的体积 . 【考点】直线与平面间的平行与垂直关系、三棱锥的体积 【技巧点拨】(1)证明立体几何中的平行关系,常常是通过线线平行来实现,而线线平行常常利用三角 形的中位线、平行四边形与梯形的平行关系来推证;(2)求三棱锥的体积关键是确定其高,而高的确定 关键又找出顶点在底面上的射影位置,当然有时也采取割补法、体积转换法求解. 5.如图,四棱锥S-ABCD的底面是长方形,SA⊥底面ABCD,3CE=CD,SC⊥BE. (1)证明:平面SBE⊥平面SAC; (2)若 ,AD=1,求CD及三棱锥C-SBE的体积. 资料整理【淘宝店铺:向阳百分百】【答案】(1)证明见解析;(2) ,体积为 . 【分析】(1)利用线面垂直的判定定理可得 平面SAC,然后利用面面垂直的判定定理即证; (2)设CE=x,结合条件可得 ,进而可得 ,再利用棱锥的体积公式即得. 【详解】(1)因为 平面ABCD,又 平面ABCD,所以 . 又 ,且 , 所以 平面SAC, 又 平面SBE, 所以平面 平面SAC. (2)连接AC交BE于H,因为 , 所以 , 故 , , 设CE=x,则在Rt BCE中, , △ 在Rt ABC中, , △ 所以 ,解得 ,故 . 所以 . 题型六、底面是平行四边形的四棱柱的相关证明、体积及表面积 1.(2020年全国统一高考数学试卷(文科)(新课标Ⅲ))如图,在长方体 中,点 , 分别在棱 , 上,且 , .证明: 资料整理【淘宝店铺:向阳百分百】(1)当 时, ; (2)点 在平面 内. 【答案】(1)证明见解析;(2)证明见解析. 【分析】(1)根据正方形性质得 ,根据长方体性质得 ,进而可证 平面 ,即得 结果; (2)只需证明 即可,在 上取点 使得 ,再通过平行四边形性质进行证明即可. 【详解】 (1)因为长方体 ,所以 平面 , 因为长方体 ,所以四边形 为正方形 因为 平面 ,因此 平面 , 因为 平面 ,所以 ; (2)在 上取点 使得 ,连 , 因为 ,所以 所以四边形 为平行四边形, 因为 所以 四点共面,所以四边形 为平行四边形, ,所以 四点共面,因此 在平面 内 【点睛】本题考查线面垂直判定定理、线线平行判定,考查基本分析论证能力,属中档题. 2.(2019年全国统一高考数学试卷(文科)(新课标Ⅰ))如图,直四棱柱ABCD–ABC D 的底面是菱 1 1 1 1 形,AA =4,AB=2,∠BAD=60°,E,M,N分别是BC,BB ,AD的中点. 1 1 1 资料整理【淘宝店铺:向阳百分百】(1)证明:MN∥平面C DE; 1 (2)求点C到平面C DE的距离. 1 【答案】(1)见解析;(2) . 【分析】(1)利用三角形中位线和 可证得 ,证得四边形 为平行四边形,进而证 得 ,根据线面平行判定定理可证得结论; (2)根据题意求得三棱锥 的体积,再求出 的面积,利用 求得点C到平面 的距离,得到结果. 【详解】(1)连接 , , 分别为 , 中点 为 的中位线 且 又 为 中点,且 且 四边形 为平行四边形 ,又 平面 , 平面 平面 (2)在菱形 中, 为 中点,所以 , 根据题意有 , , 因为棱柱为直棱柱,所以有 平面 ,所以 ,所以 , 设点C到平面 的距离为 , 资料整理【淘宝店铺:向阳百分百】根据题意有 ,则有 , 解得 ,所以点C到平面 的距离为 . 【点睛】该题考查的是有关立体几何的问题,涉及到的知识点有线面平行的判定,点到平面的距离的求解, 在解题的过程中,注意要熟记线面平行的判定定理的内容,注意平行线的寻找思路,再者就是利用等积法 求点到平面的距离是文科生常考的内容. 3.(2019年全国统一高考数学试卷(文科)(新课标Ⅱ))如图,长方体ABCD–ABC D 的底面ABCD 1 1 1 1 是正方形,点E在棱AA 上,BE⊥EC . 1 1 (1)证明:BE⊥平面EBC ; 1 1 (2)若AE=AE,AB=3,求四棱锥 的体积. 1 【答案】(1)见详解;(2)18 【分析】(1)先由长方体得, 平面 ,得到 ,再由 ,根据线面垂直的判 定定理,即可证明结论成立; (2)先设长方体侧棱长为 ,根据题中条件求出 ;再取 中点 ,连结 ,证明 平面 ,根据四棱锥的体积公式,即可求出结果. 【详解】(1)因为在长方体 中, 平面 ; 平面 ,所以 , 又 , ,且 平面 , 平面 ,所以 平面 ; (2)[方法一]【利用体积公式计算体积】 如图6,设长方体的侧棱长为 ,则 . 由(1)可得 .所以 ,即 . 又 ,所以 ,即 ,解得 . 取 中点F,联结 ,因为 ,则 ,所以 平面 , 从而四棱锥 的体积: 资料整理【淘宝店铺:向阳百分百】. [方法二]【最优解:利用不同几何体之间体积的比例关系计算体积】 取 的中点F,联结 .由(Ⅰ)可知 , 所以 .故 . 【整体点评】(2)方法一:利用体积公式计算体积需要同时计算底面积和高,是计算体积的传统方法; 方法二:利用不同几何体之间的比例关系计算体积是一种方便有效快速的计算体积的方法,核心思想为等 价转化. 4.(2015年全国普通高等学校招生统一考试文科数学(新课标Ⅱ))如图,长方体 中, ,点 分别在 上, ,过点 的平面 与此长方体的面 相交,交线围成一个正方形. (1)在图中画出这个正方形(不必说明画法与理由); (2)求平面 把该长方体分成的两部分体积的比值. 【答案】(1)见解析;(2) 或 . 【分析】(1)分别在 上取H,G,使 ;(2)长方体被平面 分成两个高为10的直棱柱,可 求得其体积比值为 或 【详解】(1)交线围成的正方形 如图: 资料整理【淘宝店铺:向阳百分百】(2)作 垂足为M,则 , , ,因为 是正方形,所以 , 于是 . 因为长方体被平面 分成两个高为10的直棱柱,其底面积之比为9:7, 所以其体积比值为 ( 也正确). 考点:本题主要考查几何体中的截面问题及几何体的体积的计算. 5.(2023届四川省模拟文科数学试题)如图,已知直四棱柱 的底面是边长为2的正方形, , 分别为 , 的中点. (1)求证:直线 、 、 交于一点; (2)若 ,求多面体 的体积. 【答案】(1)证明见解析;(2) ; 【分析】(1)根据题意可得四边形 为梯形,再根据平面的性质证明三线交于一点; (2)根据题意利用割补法求体积. 【详解】(1)连接 、 , 因为 、 分别为 、 的中点,所以 且 . 因为 是直四棱柱,且底面是正方形, 所以 ,且 ,即四边形 是平行四边形, 所以 且 ,所以 ,且 , 所以四边形 为梯形,所以 与 交于一点,记为 , 即 ,且 平面 , 平面 , 所以 平面 , 平面 , 又因为平面 平面 ,则 直线 , 所以直线 、 、 交于一点 . 资料整理【淘宝店铺:向阳百分百】(2)连接 , 由题意可得: . 6.(2023届陕西省二模文科数学试题)如图,直四棱柱 的底面是菱形, , , , 分别是 的中点. (1)证明: 平面 ; (2)求三棱锥 的体积. 【答案】(1)证明见解析;(2) ; 【分析】(1)结合三角形中位线性质可证得四边形 为平行四边形,根据线面平行的判定可证得结 论; (2)结合平行关系和体积桥可知所求为 ,由线面垂直的判定可证得 为三棱锥 的高, 结合棱锥体积公式可求得结果. 【详解】(1)连接 , 分别为 中点, 为 的中位线, 且 , 又 为 中点, , , , , 资料整理【淘宝店铺:向阳百分百】, , 四边形 为平行四边形, ,又 平面 , 平面 , 平面 . (2)由(1)得: 平面 , , 连接 , 在矩形 中, ; 四边形 为菱形, , 为 的中点, , , , 平面 , 平面 ,则 为三棱锥 的高, , , 三棱锥 的体积为 . 7.(2023届陕西省高考综合(文科)数学试题)如图,在长方体 中, 为棱 的中点. (1)证明:平面 平面 ; (2)画出平面 与平面 的交线,并说明理由; (3)求过 三点的平面 将四棱柱分成的上、下两部分的体积之比. 【答案】(1)证明见解析; (2)答案见解析; (3) ; 【分析】(1)通过证明 面 ,证平面 平面 ; 资料整理【淘宝店铺:向阳百分百】(2)延长 与 的延长线相交于 ,连接 ,则 即为平面 与平面 的交线,易证 结论; (3)求得两部分的体积,可求过 三点的平面 将四棱柱分成的上、下两部分的体积之比. 【详解】(1)在长方体 中, , 与 都是等腰直角三角形, , , 平面 平面 , , 又 面 , 面 , 又 平面 平面 平面 ; (2)延长 与 的延长线相交于 ,连接 , 则 即为平面 与平面 的交线,理由如下: 平面 , 平面 , 平面 与平面 的交线为 ; (3)令 与 的交点为 , 则三棱台 的体积为 , 为棱 的中点, 为 的中点, 是 的中点, 是 的中点, , , , 三棱台 的体积为 , 过 三点的平面 将四棱柱分成的上部分的体积为 . 过 三点的平面 将四棱柱分成的上、下两部分的体积之比为 . 资料整理【淘宝店铺:向阳百分百】题型七、底面是梯形的四棱柱的相关证明、体积及表面积 1.如图,在四棱柱 中, 底面 ,底面 满足 ,且 , . (1)求证: 平面 ; (2)求四棱锥 的体积. 【答案】(1)证明见解析;(2) ; 【分析】(1)根据线面垂直的性质可得 ,利用勾股定理逆定理可得 ,再根据线面垂直 的判定定理即可证明 平面 ; (2)根据题目中各边的长度由勾股定理可得 ,再由直棱柱性质可得 为四棱锥 的 高,根据椎体体积公式求出结果即可. 【详解】(1)由 底面 , 平面 , 所以 , 又因为 , . 满足 ,可得 , 又 , 平面 , 所以 平面 . (2)由(1)中 ,且 , , (3)可得 , 因此 ,即 , 又 平面 , , 可得 平面 , 平面 , 即 , 又 , 平面 , 所以 平面 ,即 为四棱锥 的高, 即四棱锥 的体积. . 资料整理【淘宝店铺:向阳百分百】2.如图所示,在四棱柱 中,底面 是等腰梯形, , , ,侧棱 ⊥底面 且 . (1)指出棱 与平面 的交点 的位置(无需证明); (2)求点 到平面 的距离. 【答案】(1)点 位于 的中点位置,理由见解析;(2) . 【分析】(1)作出辅助线,得到四棱柱 为长方体,利用中位线得到线线平行,得到棱 与平面 的交点 的位置为 的中点; (2)利用等体积法求解点到平面的距离. 【详解】(1)延长 至点F,且DF=CD,延长 至点H,使得 ,连接FH, 交 于 点Q, 因为四棱柱 中,底面 是等腰梯形, , 所以四棱柱 为长方体, ,且 为 的中点, 取 的中点E,连接ED,则 ,所以 , 故棱 与平面 的交点 的位置为 的中点; (2)取AB的中点M,连接DM, 因为 , , 故△ADM为等边三角形, 所以 , 因为侧棱 ⊥底面 且 , 平面 , 所以 , 由勾股定理得: , 资料整理【淘宝店铺:向阳百分百】由余弦定理得: , 其中 , , 由余弦定理得: , 因为 , 所以 , 由三角形面积公式可知: , 设点 到平面 的距离为 , 因为 ,即 , ,解得: , 所以点 到平面 的距离为 . 题型 八 、摆放不正的几何体相关证明、体积及表面积 1.(2020年全国统一高考数学试卷(文科)(新课标Ⅱ))如图,已知三棱柱ABC–ABC 的底面是正三 1 1 1 角形,侧面BBC C是矩形,M,N分别为BC,BC 的中点,P为AM上一点.过BC 和P的平面交AB于 1 1 1 1 1 1 E,交AC于F. (1)证明:AA//MN,且平面AAMN⊥平面EBC F; 1 1 1 1 资料整理【淘宝店铺:向阳百分百】(2)设O为△ABC 的中心,若AO=AB=6,AO//平面EBC F,且∠MPN= ,求四棱锥B–EBC F的体积. 1 1 1 1 1 1 1 【答案】(1)证明见解析;(2) . 【分析】(1)由 分别为 , 的中点, ,根据条件可得 ,可证 ,要证 平面 平面 ,只需证明 平面 即可; (2)根据已知条件求得 和 到 的距离,根据椎体体积公式,即可求得 . 【详解】(1) 分别为 , 的中点, 又 在等边 中, 为 中点,则 又 侧面 为矩形, 由 , 平面 平面 又 ,且 平面 , 平面 , 平面 又 平面 ,且平面 平面 又 平面 平面 平面 平面 平面 (2)过 作 垂线,交点为 , 画出图形,如图 资料整理【淘宝店铺:向阳百分百】平面 平面 ,平面 平面 又 为 的中心. 故: ,则 , 平面 平面 ,平面 平面 , 平面 平面 又 在等边 中 即 由(1)知,四边形 为梯形 四边形 的面积为: , 为 到 的距离 , . 【点睛】本题主要考查了证明线线平行和面面垂直,及其求四棱锥的体积,解题关键是掌握面面垂直转为 求证线面垂直的证法和棱锥的体积公式,考查了分析能力和空间想象能力,属于中档题. 2.(2014年全国普通高等学校招生统一考试文科数学(新课标Ⅰ))如图,三棱柱 中,侧 面 为菱形, 的中点为 ,且 平面 . 资料整理【淘宝店铺:向阳百分百】(1)证明: ; (2)若 , , ,求三棱柱 的高. 【答案】(1)证明见解析;(2)三棱柱 的高为 . 【分析】(1)连接 ,则 为 与 的交点,证明 平面 ,可得 ; (2)作 ,垂足为 ,连接 ,作 ,垂足为 ,证明 为等边三角形,求出 到平面 的距离,即可求三棱柱 的高. 【详解】(1)证明:连接 ,则 为 与 的交点, 侧面 为菱形, , 平面 , 平面 , , , 平面 , 平面 , 平面 , ; (2)解:作 ,垂足为 ,连接 ,作 ,垂足为 , , , , 平面 , 平面 , 平面 , , , , 平面 , 平面 , , 为等边三角形, , , , , 由 ,可得 , , 资料整理【淘宝店铺:向阳百分百】为 的中点, 到平面 的距离为 , 三棱柱 的高 . 3.如图,矩形 和菱形 所在的平面相互垂直, , 为 的中点. (1)求证: 平面 ; (2)若 , ,求三棱锥 的体积. 【答案】(1)见解析;;(2) . 【分析】(1)由矩形的性质推导出 ,由面面垂直的性质可得 平面 ,再求出 ,根据菱形的性质可得 ,由此能证明 平面 ; (2)根据“等积变换”可得 ,由 平面 ,故 ,进而 可得结果. 【详解】(1)∵四边形 为矩形, ∴ , ∵矩形 和菱形 所在的平面相互垂直,矩形 菱形 , 平面 , ∴ 平面 , ∵ 平面 , ∴ , ∵菱形 中, , 为 的中点, ∴ , ∥ , ∴ , ∵ , 平面 , 平面 , ∴ 平面 . 资料整理【淘宝店铺:向阳百分百】(2) ∵ 为矩形, ∴ , 、 到平面 的距离相等,从而 , 由(1)可知 平面 ,又四边形 为矩形,∴ ∥ ,∴ 平面 , 故 ,∵ , , ,∴ , ∴ . 4.(2023届江西省考前最后一卷(全国乙卷)数学(文)试题)如图,在三棱柱 中,侧面 是矩形,侧面 是菱形, , 、 分别为棱 、 的中点, 为线段 的 中点. (1)证明: 平面 ; (2)在棱 上是否存在一点 ,使平面 平面 ?若存在,请指出点 的位置,并证明你的结 论;若不存在,请说明理由. 【答案】(1)证明见解析 (2)存在,且点 为棱 的中点 【分析】(1)取 的中点 ,连接 、 、 ,证明出平面 平面 ,再利用面面平 行的性质可证得结论成立; (2)当点 为棱 的中点时,推导出 平面 ,再结合面面垂直的判定定理可得出结论. 【详解】(1)证明:取 的中点 ,连接 、 、 , 因为 且 ,故四边形 为平行四边形,所以, 且 , 因为 为 的中点,则 且 , 因为 、 分别为 、 的中点,所以, 且 , 资料整理【淘宝店铺:向阳百分百】所以, 且 ,故四边形 为平行四边形,所以, , 因为 平面 , 平面 ,所以, 平面 , 因为 、 分别为 、 的中点,所以, , 因为 平面 , 平面 ,所以, 平面 , 因为 , 、 平面 ,所以,平面 平面 , 因为 平面 ,故 平面 . (2)解:当点 为 的中点时,平面 平面 , 因为四边形 为矩形,则 ,因为 ,则 , 因为四边形 为菱形,则 , 因为 ,则 为等边三角形, 因为 为 的中点,所以, , 因为 , 、 平面 ,所以, 平面 , 因为 平面 ,所以,平面 平面 , 因此,当点 为 的中点时,平面 平面 . 5.(2023届贵州省数学(文)冲刺卷(二)试题)如图,在三棱柱 中,侧面 是矩形, , , 分别为棱 的中点, 为线段 的中点. (1)证明: 平面 . (2)若三棱锥 的体积为1,求 . 【答案】(1)证明见详解;(2) ; 【分析】(1)作图,由对应比例证明 ,即可证明 平面 ; (2)由(1) 平面 , 则点 与 到平面 的距离相等,从而可得 资料整理【淘宝店铺:向阳百分百】,求解 . 【详解】(1)连接 ,交 于点 ,连接 , 由题意,四边形 为平行四边形,所以 , 因为E为 中点,∴ , ∴ 与 相似,且相似比为 , ∴ ,又∵ , 为 , 中点,∴ , 所以 ,又 平面 , 平面 , 所以 平面 . (2)由 由(1) 平面 , 则点 与 到平面 的距离相等. 所以 , 由侧面 是矩形,则 ,又 ,且 , 平面 , 平面 , 所以 平面 , 是 的中点, 所以 到平面 的距离为 , 又 ,则 , 所以 , 所以 . 题型九、圆锥的相关证明、体积及表面积 1.(2020年全国统一高考数学试卷(文科)(新课标Ⅰ))如图, 为圆锥的顶点, 是圆锥底面的圆 心, 是底面的内接正三角形, 为 上一点,∠APC=90°. 资料整理【淘宝店铺:向阳百分百】(1)证明:平面PAB⊥平面PAC; (2)设DO= ,圆锥的侧面积为 ,求三棱锥P−ABC的体积. 【答案】(1)证明见解析;(2) . 【分析】(1)根据已知可得 ,进而有 ≌ ,可得 ,即 ,从而证得 平面 ,即可证得结论; (2)将已知条件转化为母线 和底面半径 的关系,进而求出底面半径,由正弦定理,求出正三角形 边长,在等腰直角三角形 中求出 ,在 中,求出 ,即可求出结论. 【详解】(1)连接 , 为圆锥顶点, 为底面圆心, 平面 , 在 上, , 是圆内接正三角形, , ≌ , ,即 , 平面 平面 , 平面 平面 ; (2)设圆锥的母线为 ,底面半径为 ,圆锥的侧面积为 , ,解得 , , 在等腰直角三角形 中, ,在 中, , 三棱锥 的体积为 . 【点睛】本题考查空间线、面位置关系,证明平面与平面垂直,求锥体的体积,注意空间垂直间的相互转 化,考查逻辑推理、直观想象、数学计算能力,属于中档题. 2.(2023年河北省模拟考试数学试题)如图,圆锥的底面半径 ,母线 的长为3, 为 上靠近 的一个三等分点,从点 拉一根绳子,围绕圆锥侧面转到点 . 资料整理【淘宝店铺:向阳百分百】(1)求绳子的最短长度; (2)过 点作一个与底面平行的截面,将圆锥分为上、下两部分,其体积分别为 , ,求 . 【答案】(1) ;(2) ; 【分析】(1)将圆锥侧面沿母线 展开可得一扇形,连接 ,此时绳子的长度最短,计算即可; (2)上部分圆锥体积为 ,下部分圆台体积为 ,设大圆锥体积为 ,分别计算即可. 【详解】(1)将圆锥侧面沿母线 展开可得一扇形,连接 ,此时绳子的长度最短, 在 中, , ,设 ,因为圆锥的底面半径 ,母线 的长为3,则 , 所以 , 在 中,由余弦定理可得 , 所以 ,即最短绳长为 . (2)过点 作与底面平行的截面,将圆锥分为上下两部分, 上部分圆锥体积为 ,下部分圆台体积为 ,设大圆锥体积为 , 则 ,即 , , 所以 . 3.(2023年广东省模拟考试数学试题)亭子是一种中国传统建筑,多建于园林、佛寺、庙宇,人们在欣 赏美景的同时也能在亭子里休息、避雨、乘凉(如图1).我们可以把亭子看成由一个圆锥 与一个圆柱 资料整理【淘宝店铺:向阳百分百】构成(如图2).已知圆锥高为3,圆柱高为5,底面直径为8. (1)求圆锥 的母线长; (2)设 为半圆弧 的中点,求 到平面 的距离. 【答案】(1)5;(2) ; 【分析】(1)根据母线长与圆锥的高和底面半径形成直角三角形求解即可; (2)先根据线面垂直的判定与性质可得 的高为 ,再利用等体积法,根据 求解即 可. 【详解】(1)由题意,圆锥 的母线长 . (2)连接 ,因为 为半圆弧 的中点,故 , .又圆柱中 平面 , 平面 ,故 . 又 , , 平面 ,故 平面 . 故 的高为 ,且 . 设 到平面 的距离为 ,则 , 即 ,故 . 故 到平面 的距离为 资料整理【淘宝店铺:向阳百分百】4.(2023年上海市模拟考试数学试题)如图,在 中, ,且 , ,将 绕直角边 旋转 到 处,得到圆锥的一部分,点 是底面圆弧 (不含端点)上的一个 动点. (1)是否存在点 ,使得 ?若存在,求出 的大小;若不存在,请说明理由; (2)当四棱锥 体积最大时,求 沿圆锥侧面到达点 的最短距离. 【答案】(1)存在, ;(2) ; 【分析】(1) 面 即为所求,即 ,此时易知 为圆弧 的中点; (2)易知当四边形 面积最大时,四棱锥的体积最大,设 ,根据 可 求四边形 面积最大时 的大小,并利用扇形展开图,求点 到达点 的最小值. 【详解】(1)当 为圆弧 的中点,即 时, , 证明如下:∵ 为圆弧 的中点,∴ ,即 为 的平分线, ∵ ,∴ 为等腰 的高线,即 , ∵ 平面 , ∴ 平面 , 平面 ,∴ , ∵ , 平面 , ∴ 面 , 平面 , ∴ . (2)由(1)得, 为四棱锥 的高,∵ , ∴当底面积 取最大值时,四棱锥 体积最大. 设 ,则 , , 资料整理【淘宝店铺:向阳百分百】∵ , ∴ 时, 取最大值 , ∴当四棱锥 体积最大时, , 此时, , , 如图,是扇形表面部分 的展开图,此时展开图中 , , 所以点 沿圆锥侧面到达点 的最短距离为 . 5.(2023年福建省联考数学试题)已知一个底面半径是2的圆锥内接一个圆柱,圆锥的母线长是8. (1)求圆柱侧面积的最大值; (2)当圆柱侧面积取得最大值时,圆柱与圆锥的母线 交于点 ,一只蚂蚁从点 处出发沿圆锥侧面爬 行一周到点 ,求蚂蚁爬行的最短距离. 【答案】(1) ;(2) . 【分析】(1)作出圆锥的半轴截面图求得圆锥的高,设圆柱的高为 ,底面半径为 ,则 ,进而得圆柱的侧面积表达式,即可求得最大值. (2)由题意可得点 为 的中点,圆锥的侧面展开图为扇形,求出扇形的圆心角 ,在展开图中即可求 出最短距离. 【详解】(1)作出圆锥的半轴截面图,如图1,由题意得圆锥的高为 , 资料整理【淘宝店铺:向阳百分百】设圆柱的高为 ,底面半径为 , 则 ,即 , 则圆柱的侧面积 , 当 时, 取得最大值 . (2)由(1)可得圆柱底面半径为1, ,由相似性质可得点 为 的中点, 设圆锥的侧面展开图为扇形,扇形的圆心角为 ,则 ,即 , 当蚂蚁爬行的距离最短时,则爬行的距离即展开图2中 的长,即 , 所以最短距离为 . 题型十、翻折图形形成几何体的相关证明、体积及表面积 1.(2019年全国统一高考数学试卷(文科)(新课标Ⅲ))图1是由矩形 和菱形 组成的一个平面图形,其中 , ,将其沿 折起使得 与 重合, 连结 ,如图2. (1)证明图2中的 四点共面,且平面 平面 ; (2)求图2中的四边形 的面积. 【答案】(1)见详解;(2)4. 【分析】(1)因为折纸和粘合不改变矩形 , 和菱形 内部的夹角,所以 , 依然成立,又因 和 粘在一起,所以得证.因为 是平面 垂线,所以易证.(2) 欲求四边 形 的面积,需求出 所对应的高,然后乘以 即可. 【详解】(1)证: , ,又因为 和 粘在一起. , 四点共面. 资料整理【淘宝店铺:向阳百分百】又 . 平面 , 平面 , 平面 平面 ,得证. (2)取 的中点 ,连结 .因为 , 平面 ,所以 平面 ,故 , 由已知,四边形 是菱形,且 得 ,故 平面DEM. 因此 . 在 中, , ,故 . 所以四边形 的面积为4. 【点睛】很新颖的立体几何考题.首先是多面体粘合问题,考查考生在粘合过程中哪些量是不变的.再者 粘合后的多面体不是直棱柱,最后将求四边形 的面积考查考生的空间想象能力. 2.(2016年全国普通高等学校招生统一考试文科数学(新课标2卷))如图,菱形 的对角线 与 交于点 ,点 分别在 上, 交 于点 ,将 沿 折起到 的位 置. (Ⅰ)证明: ; (Ⅱ)若 ,求五棱锥 的体积. 【答案】(Ⅰ)详见解析;(Ⅱ) . 【详解】试题分析:(1)由已知得, , ;(2)由 ,由 , 资料整理【淘宝店铺:向阳百分百】可证 平面 .又由 得 五边形 的面积 以五棱锥 体积 . 试题解析: (1)由已知得, , 又由 得 ,故 , 由此得 ,所以 . (2)由 得 , 由 得 , 所以 , 于是 ,故 , 由(1)知 ,又 , 所以 平面 ,于是 , 又由 ,所以, 平面 . 又由 得 . 五边形 的面积 . 所以五棱锥 体积 . 考点:1、线线垂直;2、锥体的体积. 3.(2023届西藏联考模拟数学(文)试题)《九章算术·商功》:“斜解立方,得两堑堵.斜解堑堵,其一 为阳马,一为鳖臑.阳马居二,鳖臑居一,不易之率也.合两鳖臑三而一,验之以棊,其形露矣.”刘徽注: “此术臑者,背节也,或曰半阳马,其形有似鳖肘,故以名云.中破阳马,得两鳖臑,鳖臑之起数,数同而 实据半,故云六而一即得.” 如图,在鳖臑ABCD中,侧棱AB⊥底面BCD; 资料整理【淘宝店铺:向阳百分百】(1)若 , , ,试求异面直线AC与BD所成角的余弦值. (2)若 , ,点P在棱AC上运动.试求 面积的最小值. 【答案】(1) ;(2) . 【分析】(1)分两种情况 , 讨论,分别求解异面直线AC与BD所成角的余弦值. (2)作 于点 ,作 于点 ,连结 ,先证明 ,从而表示出面积 最后通过平行线分线段成比例求解 范围,从而求解面积的最小值; 【详解】(1)如图,以 为临边作平行四边形 ,连结 ,则异面直线 和 所成的角为 或其补角, 当 时, , 且由(1)可知, , , , 中, , 所以异面直线 和 所成的角的余弦值为 ; 当 时, , , , 中, , 所以异面直线 和 所成的角的余弦值为 ; 综上可知,异面直线 和 所成的角的余弦值为 或 ; 资料整理【淘宝店铺:向阳百分百】(2) 如图,作 于点 ,作 于点 ,连结 , 中, 都垂直于 ,所以 , 所以 平面 ,且 平面 ,所以 , 又因为 , , 平面 , 所以 平面 , 平面 ,所以 , 设 , ,由 , 得 , , 中, , 得 , ,当且仅当 时,等号成立, 所以 . 所以 面积的最小值是 . 【点睛】关键点睛:读懂题意,第一问容易忽略一种情况,是本题的易错点;第二问通过平行线分线段成 比例求解 范围时题目的难点和突破点. 题型十 一 、其它几何体的相关证明、体积及表面积 1.(2022年全国高考甲卷数学(文)试题)小明同学参加综合实践活动,设计了一个封闭的包装盒,包 装盒如图所示:底面 是边长为8(单位: )的正方形, 均为正三角形, 且它们所在的平面都与平面 垂直. 资料整理【淘宝店铺:向阳百分百】(1)证明: 平面 ; (2)求该包装盒的容积(不计包装盒材料的厚度). 【答案】(1)证明见解析;(2) . 【分析】(1)分别取 的中点 ,连接 ,由平面知识可知 , , 依题从而可证 平面 , 平面 ,根据线面垂直的性质定理可知 ,即可知四 边形 为平行四边形,于是 ,最后根据线面平行的判定定理即可证出; (2)再分别取 中点 ,由(1)知,该几何体的体积等于长方体 的体积加上四 棱锥 体积的 倍,即可解出. 【详解】(1)如图所示: 分别取 的中点 ,连接 ,因为 为全等的正三角形,所以 , ,又平面 平面 ,平面 平面 , 平面 ,所以 平面 ,同理可得 平面 ,根据线面垂直的性质定理可知 ,而 ,所以四边形 为平行四边形,所以 ,又 平面 , 平面 ,所以 平面 . (2)[方法一]:分割法一 如图所示: 分别取 中点 ,由(1)知, 且 ,同理有, , , ,由平面知识可知, , , ,所以该几何体的体积等于长方体 的体积加上四棱锥 体积 的 倍. 资料整理【淘宝店铺:向阳百分百】因为 , ,点 到平面 的距离即为点 到直线 的 距离 , ,所以该几何体的体积 . [方法二]:分割法二 如图所示: 连接 ,交于 ,连接 .则该几何体的体积等于四棱锥 的体积加上三棱 锥 的 倍,再加上三棱锥 的四倍.容易求得, ,取 的中点 ,连接 .则 垂直平面 .由图可知,三角形 ,四棱锥 与三棱锥 的高均为 的长.所以该几何体的体积 2.在如图所示的几何体中, , 平面 , , , , . (1)证明: 平面 ; (2)过点 作一平行于平面 的截面,画出该截面,说明理由,并求夹在该截面与平面 之间的几 何体的体积. 【答案】(1)证明见解析;(2) . 【详解】分析:(1)由余弦定理结合勾股定理可证明 ,利用线面垂直的性质可证明 , 由线面垂直的判定定理可得 平面 ;(2)取 的中点 , 的中点 ,连接 , 截面 即为所求,由(1)可知, 平面 , 平面 , 由“分割法”利用棱锥的体 积公式可得结果. 详解:(1)证明:在 中, . 资料整理【淘宝店铺:向阳百分百】所以 ,所以 为直角三角形, . 又因为 平面 ,所以 . 而 ,所以 平面 . (2)取 的中点 , 的中点 , 连接 ,平面 即为所求. 理由如下: 因为 ,所以四边形 为平行四边形, 所以 ,从而 平面 , 同理可证 平面 . 因为 ,所以平面 平面 . 由(1)可知, 平面 , 平面 . 因为 , , 所以,所求几何体的体积 . 点睛:空间几何体体积问题的常见类型及解题策略:(1)求简单几何体的体积时若所给的几何体为柱体 椎体或台体,则可直接利用公式求解;(2)求组合体的体积时若所给定的几何体是组合体,不能直接利用公 式求解,则常用转换法、分割法、补形法等进行求解. 3.如图,在直角梯形 中, .以 所在直线为轴,将 向 上旋转得到 ,使平面 平面 . (1)证明: 平面 ; (2)若 为线段 上一点,且 ,截面 将多面体 分成左右两部分的体积分别为 资料整理【淘宝店铺:向阳百分百】,求 的值. 【答案】(1)证明见解析;(2)2; 【分析】(1)由题目证明 ,即可证明 平面 . (2)截面 将多面体 分成左右两部分的体积分别为 ,分别求出 ,即可求出 . 【详解】(1) 且 直角梯形 与直角梯形 全等, 且 , 且 ,所以四边形 为平行四边形 则 ,因为 面 面 ,所以 平面 . (2)因为面 面 ,且 面 , 由题目知直角梯形 与直角梯形 全等,所以 , 取 的中点 ,依题意得, 面 ,几何体 为直三棱柱, 且 , , 所以多面体 的体积 . , 资料整理【淘宝店铺:向阳百分百】