当前位置:首页>文档>专题31圆锥曲线中的定直线问题(解析版)_02高考数学_2024年新高考资料_3.2024专项复习_2024年新高考数学之圆锥曲线专项重难点突破练(新高考专用)

专题31圆锥曲线中的定直线问题(解析版)_02高考数学_2024年新高考资料_3.2024专项复习_2024年新高考数学之圆锥曲线专项重难点突破练(新高考专用)

  • 2026-04-13 09:38:06 2026-04-13 09:38:06

文档预览

专题31圆锥曲线中的定直线问题(解析版)_02高考数学_2024年新高考资料_3.2024专项复习_2024年新高考数学之圆锥曲线专项重难点突破练(新高考专用)
专题31圆锥曲线中的定直线问题(解析版)_02高考数学_2024年新高考资料_3.2024专项复习_2024年新高考数学之圆锥曲线专项重难点突破练(新高考专用)
专题31圆锥曲线中的定直线问题(解析版)_02高考数学_2024年新高考资料_3.2024专项复习_2024年新高考数学之圆锥曲线专项重难点突破练(新高考专用)
专题31圆锥曲线中的定直线问题(解析版)_02高考数学_2024年新高考资料_3.2024专项复习_2024年新高考数学之圆锥曲线专项重难点突破练(新高考专用)
专题31圆锥曲线中的定直线问题(解析版)_02高考数学_2024年新高考资料_3.2024专项复习_2024年新高考数学之圆锥曲线专项重难点突破练(新高考专用)
专题31圆锥曲线中的定直线问题(解析版)_02高考数学_2024年新高考资料_3.2024专项复习_2024年新高考数学之圆锥曲线专项重难点突破练(新高考专用)
专题31圆锥曲线中的定直线问题(解析版)_02高考数学_2024年新高考资料_3.2024专项复习_2024年新高考数学之圆锥曲线专项重难点突破练(新高考专用)
专题31圆锥曲线中的定直线问题(解析版)_02高考数学_2024年新高考资料_3.2024专项复习_2024年新高考数学之圆锥曲线专项重难点突破练(新高考专用)
专题31圆锥曲线中的定直线问题(解析版)_02高考数学_2024年新高考资料_3.2024专项复习_2024年新高考数学之圆锥曲线专项重难点突破练(新高考专用)
专题31圆锥曲线中的定直线问题(解析版)_02高考数学_2024年新高考资料_3.2024专项复习_2024年新高考数学之圆锥曲线专项重难点突破练(新高考专用)
专题31圆锥曲线中的定直线问题(解析版)_02高考数学_2024年新高考资料_3.2024专项复习_2024年新高考数学之圆锥曲线专项重难点突破练(新高考专用)
专题31圆锥曲线中的定直线问题(解析版)_02高考数学_2024年新高考资料_3.2024专项复习_2024年新高考数学之圆锥曲线专项重难点突破练(新高考专用)
专题31圆锥曲线中的定直线问题(解析版)_02高考数学_2024年新高考资料_3.2024专项复习_2024年新高考数学之圆锥曲线专项重难点突破练(新高考专用)
专题31圆锥曲线中的定直线问题(解析版)_02高考数学_2024年新高考资料_3.2024专项复习_2024年新高考数学之圆锥曲线专项重难点突破练(新高考专用)
专题31圆锥曲线中的定直线问题(解析版)_02高考数学_2024年新高考资料_3.2024专项复习_2024年新高考数学之圆锥曲线专项重难点突破练(新高考专用)
专题31圆锥曲线中的定直线问题(解析版)_02高考数学_2024年新高考资料_3.2024专项复习_2024年新高考数学之圆锥曲线专项重难点突破练(新高考专用)
专题31圆锥曲线中的定直线问题(解析版)_02高考数学_2024年新高考资料_3.2024专项复习_2024年新高考数学之圆锥曲线专项重难点突破练(新高考专用)
专题31圆锥曲线中的定直线问题(解析版)_02高考数学_2024年新高考资料_3.2024专项复习_2024年新高考数学之圆锥曲线专项重难点突破练(新高考专用)
专题31圆锥曲线中的定直线问题(解析版)_02高考数学_2024年新高考资料_3.2024专项复习_2024年新高考数学之圆锥曲线专项重难点突破练(新高考专用)
专题31圆锥曲线中的定直线问题(解析版)_02高考数学_2024年新高考资料_3.2024专项复习_2024年新高考数学之圆锥曲线专项重难点突破练(新高考专用)
专题31圆锥曲线中的定直线问题(解析版)_02高考数学_2024年新高考资料_3.2024专项复习_2024年新高考数学之圆锥曲线专项重难点突破练(新高考专用)
专题31圆锥曲线中的定直线问题(解析版)_02高考数学_2024年新高考资料_3.2024专项复习_2024年新高考数学之圆锥曲线专项重难点突破练(新高考专用)
专题31圆锥曲线中的定直线问题(解析版)_02高考数学_2024年新高考资料_3.2024专项复习_2024年新高考数学之圆锥曲线专项重难点突破练(新高考专用)
专题31圆锥曲线中的定直线问题(解析版)_02高考数学_2024年新高考资料_3.2024专项复习_2024年新高考数学之圆锥曲线专项重难点突破练(新高考专用)
专题31圆锥曲线中的定直线问题(解析版)_02高考数学_2024年新高考资料_3.2024专项复习_2024年新高考数学之圆锥曲线专项重难点突破练(新高考专用)

文档信息

文档格式
docx
文档大小
1.249 MB
文档页数
21 页
上传时间
2026-04-13 09:38:06

文档内容

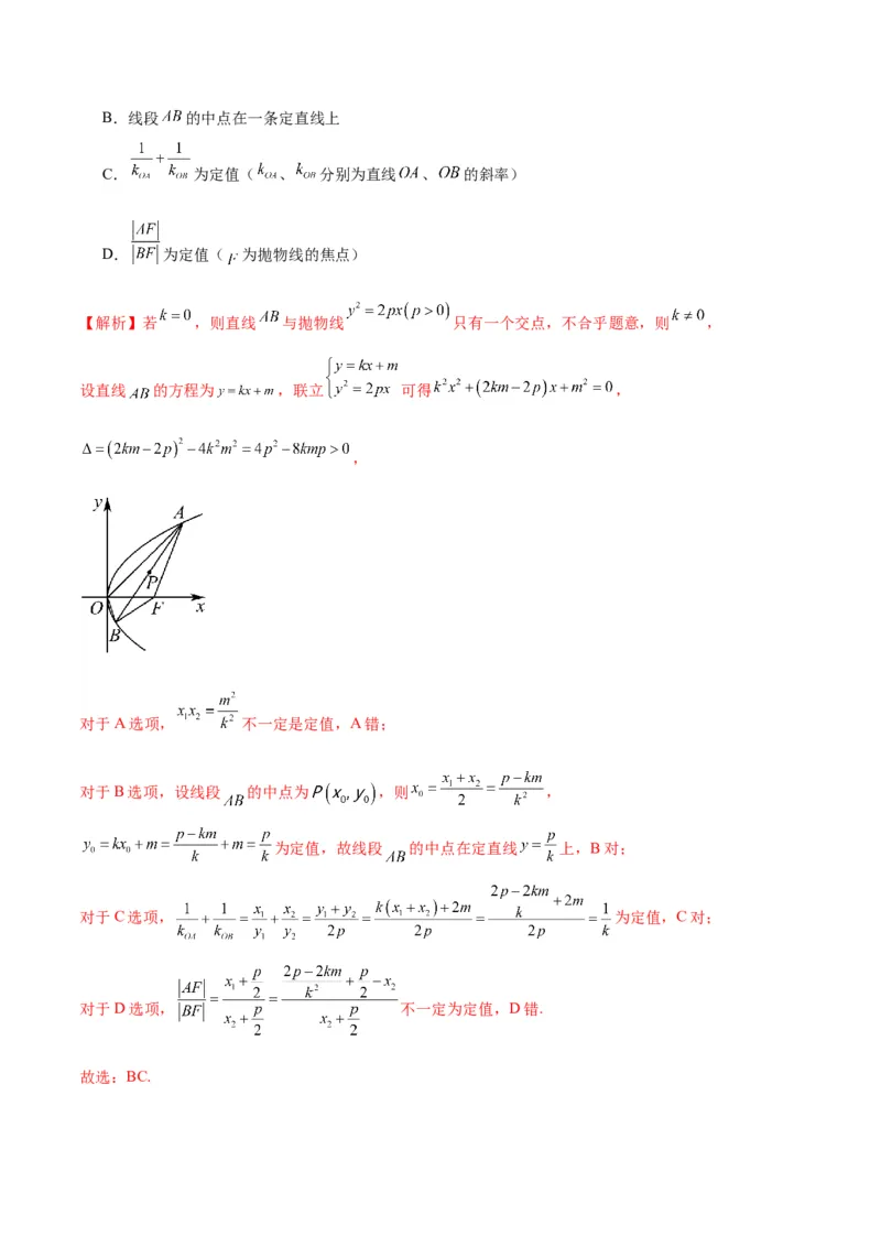
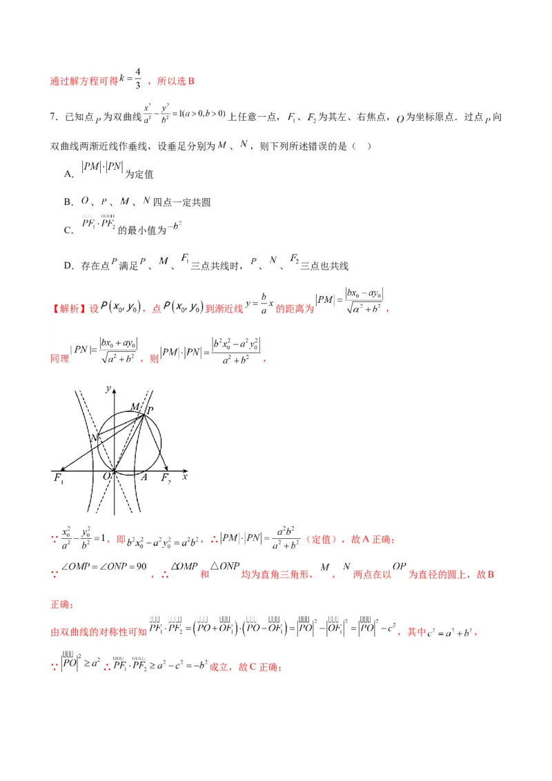
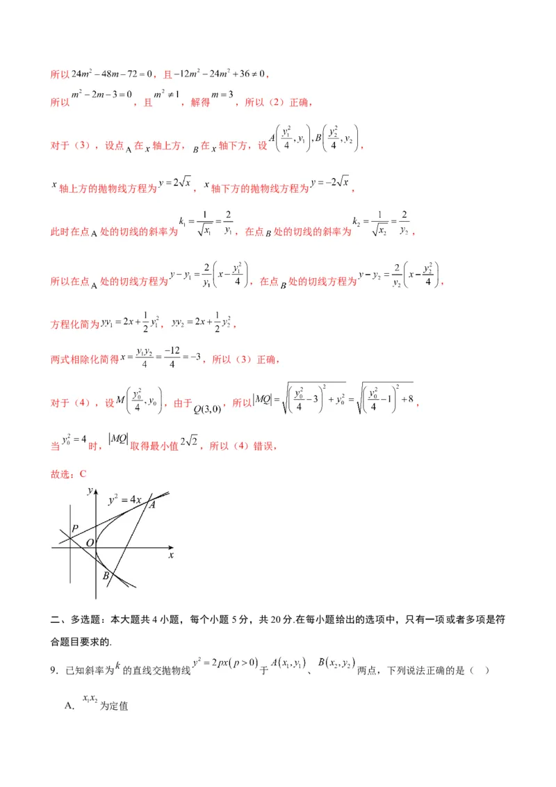
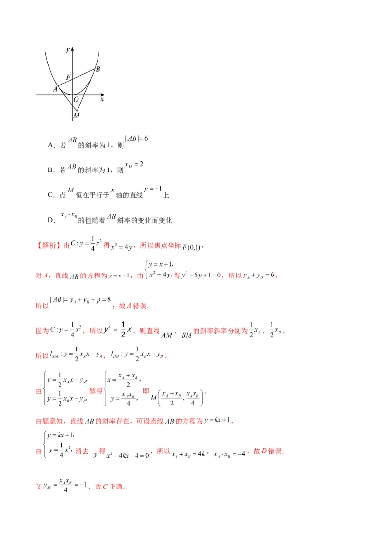
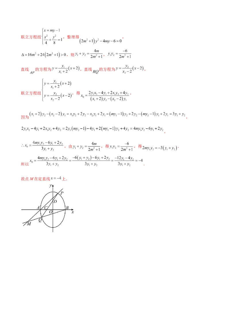
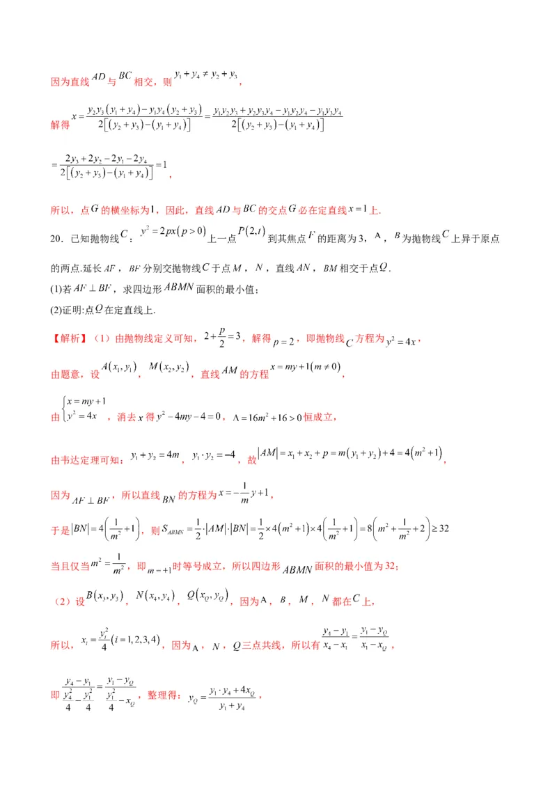
专题31 圆锥曲线中的定直线问题 考试时间:120分钟 满分:150分 一、单选题:本大题共8小题,每个小题5分,共40分.在每小题给出的选项中,只有一项是符合题目要 求的. 1.已知抛物线 ,直线l过点M(2,1),且与抛物线交于A,B两点,|AM|=|BM|,则直线l的方程是 A. B. C. D. 【解析】设 , ,则 , . ∴ ,即 . ∵直线 过点 ,且 ,∴ , ∴ ,即 .∴直线 的方程为 ,即 .故选:B. 2.已知双曲线 的离心率为3,斜率为 的直线 分别交F的左右两支于A,B两 点,直线 分别交F的左、右两支于C,D两点, , 交 于点E,点E恒在直线l上,若直线l 的斜率存在,则直线的方程为( ) x+4 y=0 A. B. C. D. 【解析】由题得 , 设 的中点 的中点 ,则 ,得 , 所以 ,所以 ①,同理得 ②, 因为 ,则E,M,N三点共线,所以 ,将①②代入得 ,即 ,因为直线l的斜率存在,所以 , 所以 ,即点E在直线 上.故选:A. 3.设点 为抛物线 的焦点, , , 三点在抛物线上,且四边形 为平行四边形,若对角 线 (点 在第一象限),则对角线 所在的直线方程为 A. B. C. D. 【解析】如图所示, 设 点的坐标为 ,则 ,所以 , 点的坐标为 . 所以线段 的中点 的坐标为 .设 , .有 , ,且 . 所以 ,所以 ,所以 . 对角线 所在的直线方程为 ,即 .故选:B. 4.如图,已知点 在焦点为 的椭圆上运动,则与 的边 相切,且与边 的延长线相 切的圆的圆心 一定在( ) A.一条直线上 B.一个圆上 C.一个椭圆上 D.一条抛物线上 【解析】如图, 设圆 与 分别相切于 ,由切线定理得: , 因为 在椭圆上, 定值 , 为定值, ,∴切点 ∴圆心 在过 垂直于椭圆所在轴的直线.故选:A. 5.已知椭圆 的左焦点为 ,点 在椭圆 上且位于第一象限, 为坐标原点,若线段 的中点 满足 ,则直线 的方程为( ) A. B. C. D.【解析】设椭圆 的右焦点为 , ( ), , , 分别是 和 的中点, ,由已知可得 , , ,即 ,由 得 , , 直线 的方程为 ,即 .故选:D. 6.若点A,F分别是椭圆 的左顶点和左焦点,过点F的直线交椭圆于M,N两点,记直线 的斜率为 ,其满足 ,则直线 的斜率为 A. B. C. D. 【解析】点A,F分别是椭圆 的左顶点和左焦点, 所以椭圆的左焦点坐标为 ,左顶点坐标为 , 由题意可知,直线MN的斜率一定存在,因为直线MN过椭圆左焦点,所以MN的直线方程可设为 , , 联立直线方程与椭圆方程 ,化简得 所以 ,因为 , 代入 ,可得 将 代入通过解方程可得 ,所以选B 7.已知点 为双曲线 上任意一点, 、 为其左、右焦点, 为坐标原点.过点 向 双曲线两渐近线作垂线,设垂足分别为 、 ,则下列所述错误的是( ) A. 为定值 B. 、 、 、 四点一定共圆 C. 的最小值为 D.存在点 满足 、 、 三点共线时, 、 、 三点也共线 【解析】设 ,点 到渐近线 的距离为 , 同理 ,则 , ∵ ,即 ,∴ (定值),故A正确; ∵ ,∴ 和 均为直角三角形, , 两点在以 为直径的圆上,故B 正确; 由双曲线的对称性可知 ,其中 , ∵ ∴ 成立,故C正确;如图利用双曲线的对称性,不妨设直线 垂直一条渐近线,垂足为 ;直线 垂直另一条渐近线且交 双曲线于点 ,易知直线 与直线 的交点始终落在 轴上,故D不正确. 故选:D. 8.已知O为坐标原点,M为抛物线C: 上一点,直线l: 与C交于A,B两点,过A,B 作C的切线交于点P,则下列结论中正确结论的个数是( ) (1) ;(2)若点 ,且直线AM与BM倾斜角互补,则 ; (3)点P在定直线 上;(4)设点 ,则 的最小值为3. A.1 B.2 C.3 D.4 【解析】对于(1),设 ,由 ,得 , 由 ,所以 , 所以 ,所以(1)正确, 对于(2),因为 ,直线AM与BM倾斜角互补, 所以 , 所以 ,所以 ,所以 ,且 , 所以 ,且 ,解得 ,所以(2)正确, 对于(3),设点 在 轴上方, 在 轴下方,设 , 轴上方的抛物线方程为 , 轴下方的抛物线方程为 , 此时在点 处的切线的斜率为 ,在点 处的切线的斜率为 , 所以在点 处的切线方程为 ,在点 处的切线方程为 , 方程化简为 , , 两式相除化简得 ,所以(3)正确, 对于(4),设 ,由于 ,所以 , 当 时, 取得最小值 ,所以(4)错误, 故选:C 二、多选题:本大题共4小题,每个小题5分,共20分.在每小题给出的选项中,只有一项或者多项是符 合题目要求的. 9.已知斜率为 的直线交抛物线 于 、 两点,下列说法正确的是( ) A. 为定值B.线段 的中点在一条定直线上 C. 为定值( 、 分别为直线 、 的斜率) D. 为定值( 为抛物线的焦点) 【解析】若 ,则直线 与抛物线 只有一个交点,不合乎题意,则 , 设直线 的方程为 ,联立 可得 , , 对于A选项, 不一定是定值,A错; 对于B选项,设线段 的中点为 ,则 , 为定值,故线段 的中点在定直线 上,B对; 对于C选项, 为定值,C对; 对于D选项, 不一定为定值,D错. 故选:BC.10.已知O为抛物线 的顶点,直线l交抛物线于M,N两点,过点M,N分别向准线 作垂线,垂足分别为P,Q,则下列说法正确的是( ) A.若直线l过焦点F,则N,O,P三点不共线 B.若直线l过焦点F,则 C.若直线l过焦点F,则抛物线C在M,N处的两条切线的交点在某定直线上 D.若 ,则直线l恒过点 【解析】设直线 ,联立方程 ,得 设 , ,则 。 选项A,若直线l过焦点F,则 。 , , 又 , , , 三点共线, A错; 选项B,由抛物线的定义和平行线的性质知: , 又 , ,所以B对;选项C,设与抛物线 相切的切线方程为 ,则 化简得 . 由 ,可得 ,即 ,所以与抛物线 相切的切线方程为 , 将 点坐标代入方程可得 ,则 , 所以过 的切线方程为 . 同理,过 的切线方程为 ,联立 ,得: 抛物线在点M,N处的切线的交点在定直线 上,所以C对; 选项D,因为 , , 将韦达定理代入得: .所以直线l恒过点 ,所以D对. 故选:BCD. 11.如图所示,抛物线 , 为过焦点 的弦,过 , 分别作抛物线的切线,两切线交于点 ,设 , , ,则下列结论正确的是( ).A.若 的斜率为1,则 B.若 的斜率为1,则 C.点 恒在平行于 轴的直线 上 D. 的值随着 斜率的变化而变化 【解析】由 得 ,所以焦点坐标 , 对A,直线 的方程为 ,由 得 ,所以 , 所以 ;故A错误. 因为 ,所以 ,则直线 、 的斜率斜率分别为 、 , 所以 , , 由 解得 即 . 由题意知,直线 的斜率存在,可设直线 的方程为 , 由 消去 得 ,所以 , ,故D错误. 又 ,故C正确.对B,当 的斜率为1时, ,故 ,故D正确. 故选:BC. 12.椭圆 的左、右焦点分别为 , , 为坐标原点,则以下说法正确的是( ) A.过点 的直线与椭圆 交于 两点,则 的周长为8 B.椭圆 上不存在点 ,使得 C.直线 与椭圆 恒有公共点 D. 为椭圆 上一点, 为圆 上一点,则点 , 的最大距离为3 【解析】对于A选项:由椭圆的定义: 的周长为: ,故A正确; 对于B选项:设 ,则 , , , , , , ,解得 椭圆 上存在点 ,使得 ,故B错误; 对于C选项: 直线 恒过定点 ,故该定点在椭圆内,过该定点的直线和椭圆一定有交点,故C正确; 对于D选项:设 ,则P点到圆 的圆心的距离 ,故 , ,故D正确. 故选:ACD 三、填空题:本大题共4小题,每小题5分,共20分.把答案填在答题卡中的横线上.13.已知抛物线 ,焦点是 , 为抛物线上一动点,以 为直径的圆与定直线相切,则直线 的方程为 . 【解析】易知 为抛物线 的焦点,设点 ,由抛物线的定义可得 , 线段 的中点为 , 所以,圆心 到 轴的距离恒等于半径 ,所以定直线的方程为 . 14.经过抛物线 的焦点 的直线交此抛物线于 , 两点,抛物线在 , 两点处的切线相交 于点 ,则点 必定在直线 上.(写出此直线的方程) 【解析】抛物线 中 ,焦点为 ,设直线 方程为 ,代入抛物线整理得 ,设 , ,则 , . 由 得 ,∴过 点切线斜率为 ,切线方程为 ,即 , 同理过 点切线方程为 ,两式相除得 ,整理得 ,解得 ,所以点 在准线 上. 15.如图,A、B为椭圆 的两个顶点,过椭圆的右焦点F作 轴的垂线与其交于点C, 若AB∥OC(O为坐标原点),则直线AB的斜率为 . 【解析】由题意,椭圆 ,过椭圆的右焦点F作 轴的垂线与其交于点C,可得 ,又由 ,可得 ,整理得 ,即 , 又由 ,所以直线 的斜率为 . 16.已知椭圆 ,一组平行直线的斜率为 ,经计算当这些平行线与椭圆相交时,被椭圆截得的 线段的中点在定直线l上,则直线l的方程为 . 【解析】设这组平行直线的方程为 ,联立 , 整理得 , ,解得 . 且 , , 所以这组平行直线与椭圆交点的中点坐标为 , , ,所以这些点均在 上. 四、解答题:本大题共6小题,共70分.解答应写出必要的文字说明、证明过程或演算步骤. 17.已知点 , ,动点 满足直线 与 的斜率之积为 ,记动点 的轨迹为曲线 . (1)求曲线 的方程; (2)过点 的直线与曲线 交于 两点,直线 与 相交于 .求证:点 在定直线上. 【解析】(1) , , ,整理可得: , 又 , 曲线 的方程为: .(2) 由题意知:直线 斜率不为 ,则可设 ,设 , 则直线 ,直线 , 由 得: , 由 得: ,则 ,即 , , , , ,解得: , 即 点在定直线 上. 18.在平面直角坐标系 中,已知双曲线C的中心为坐标原点,对称轴是坐标轴,右支与x轴的交点为 ,其中一条渐近线的倾斜角为 . (1)求C的标准方程; (2)过点 作直线l与双曲线C的左右两支分别交于A,B两点,在线段 上取一点E满足 ,证明:点E在一条定直线上. 【解析】(1)根据题意,设双曲线的方程为 ,由题知 , ,可得 ;所以双曲线方程为 . (2)易知 为双曲线的右焦点,如下图所示: 由题知直线l斜率存在,根据对称性,不妨设斜率为 ,故直线的方程为 , 代入双曲线方程得 ,设 , , 由韦达定理有 , ,且 , , 设 ,点E在线段 上,所以 由 可得 化简得 ,代入 和 并化简可得 , 即存在点E满足条件,并且在定直线 上. 19.已知抛物线 ,过点 的两条直线 、 分别交 于 、 两点和 、 两点. 当 的斜率为 时, . (1)求 的标准方程; (2)设 为直线 与 的交点,证明:点 在定直线上. 【解析】(1)当直线 的斜率为 时,直线 的方程为 ,设点 、 , 联立 可得 , ,因为 ,可得 ,由韦达定理可得 , , , 整理可得 ,解得 或 (舍去),因此,抛物线 的方程为 . (2)证明:当直线 与 轴重合时,直线 与抛物线 只有一个交点,不合乎题意, 所以,直线 不与 轴重合,同理可知直线 也不与 轴重合, 设直线 的方程为 ,联立 可得 , 则 可得 ,设点 、 ,由韦达定理可得 , 设直线 的方程为 ,设点 、 ,同理可得 , 直线 的方程为 ,即 , 化简可得 ,同理可知,直线 的方程为 , 因为点 在抛物线的对称轴上,由抛物线的对称性可知, 交点 必在垂直于 轴的直线上,所以只需证明点 的横坐标为定值即可, 由 ,消去 ,因为直线 与 相交,则 , 解得 , 所以,点 的横坐标为 ,因此,直线 与 的交点 必在定直线 上. 20.已知抛物线 : 上一点 到其焦点 的距离为3, , 为抛物线 上异于原点 的两点.延长 , 分别交抛物线 于点 , ,直线 , 相交于点 . (1)若 ,求四边形 面积的最小值; (2)证明:点 在定直线上. 【解析】(1)由抛物线定义可知, ,解得 ,即抛物线 方程为 , 由题意,设 , ,直线 的方程 , 由 ,消去 得 , 恒成立, 由韦达定理可知: , ,故 , 因为 ,所以直线 的方程为 , 于是 ,则 当且仅当 ,即 时等号成立,所以四边形 面积的最小值为32; (2)设 , , ,因为 , , , 都在 上, 所以, ,因为 , , 三点共线,所以有 , 即 ,整理得: ,同理,因为 , , 三点共线,可得 , 即 ,解得: , 由(1)可知, ,代入上式可得: , 得 ,即点 在定直线 上. 21.已知椭圆 : , 为椭圆 的右焦点,三点 , , 中恰有两点在椭圆 上. (1)求椭圆 的标准方程; (2)设点 为椭圆 的左右端点,过点 作直线交椭圆 于 , 两点(不同于 ),求证:直 线 与直线 的交点 在定直线上运动,并求出该直线的方程. 【解析】(1)因为 为椭圆 的右焦点,所以 ①, 由对称性得,点 , 在椭圆 上,代入得 ②, 联立①②解得, , ,所以椭圆 的标准方程为: . (2)由条件知直线 与直线 不重合,故直线 的斜率不为0,设直线 的方程为 ,联立 ,可得 , 设 , , ,则 , , , 由(1)可得 , , 由 共线得: ③, 由 共线得: ④, 由③÷④消去 并整理得, , 即 ,所以 , 综上所述,直线 与直线 的交点 在定直线 上运动. 22.椭圆E的方程为 ,左、右顶点分别为 , ,点P为椭圆E上的点,且在第一 象限,直线l过点P (1)若直线l分别交x,y轴于C,D两点,若 ,求 的长; (2)若直线l过点 ,且交椭圆E于另一点Q(异于点A,B),记直线 与直线 交于点M,试问点 M是否在一条定直线上?若是,求出该定直线方程;若不是,说明理由. 【解析】(1)设 ,则 ①, ②, 由①②可得 , ,即 , (2)依题可设直线l的方程为 , , , .联立方程组 ,整理得 , ,则 , 直线 的方程为 ,直线 的方程为 , 联立方程组 ,得 , 因为 , , ,由 ,得 ,得 . 所以 . 故点M在定直线 上.