当前位置:首页>文档>2025年高考数学二级结论篇(核心知识背记手册)_2025年新高考资料_一轮复习_备战2025年高考数学一轮复习考点帮_备战2025年高考数学一轮复习考点帮(新高考通用)(完结)

2025年高考数学二级结论篇(核心知识背记手册)_2025年新高考资料_一轮复习_备战2025年高考数学一轮复习考点帮_备战2025年高考数学一轮复习考点帮(新高考通用)(完结)

  • 2026-04-14 14:54:59 2026-04-14 14:54:59

文档预览

2025年高考数学二级结论篇(核心知识背记手册)_2025年新高考资料_一轮复习_备战2025年高考数学一轮复习考点帮_备战2025年高考数学一轮复习考点帮(新高考通用)(完结)
2025年高考数学二级结论篇(核心知识背记手册)_2025年新高考资料_一轮复习_备战2025年高考数学一轮复习考点帮_备战2025年高考数学一轮复习考点帮(新高考通用)(完结)
2025年高考数学二级结论篇(核心知识背记手册)_2025年新高考资料_一轮复习_备战2025年高考数学一轮复习考点帮_备战2025年高考数学一轮复习考点帮(新高考通用)(完结)
2025年高考数学二级结论篇(核心知识背记手册)_2025年新高考资料_一轮复习_备战2025年高考数学一轮复习考点帮_备战2025年高考数学一轮复习考点帮(新高考通用)(完结)
2025年高考数学二级结论篇(核心知识背记手册)_2025年新高考资料_一轮复习_备战2025年高考数学一轮复习考点帮_备战2025年高考数学一轮复习考点帮(新高考通用)(完结)
2025年高考数学二级结论篇(核心知识背记手册)_2025年新高考资料_一轮复习_备战2025年高考数学一轮复习考点帮_备战2025年高考数学一轮复习考点帮(新高考通用)(完结)
2025年高考数学二级结论篇(核心知识背记手册)_2025年新高考资料_一轮复习_备战2025年高考数学一轮复习考点帮_备战2025年高考数学一轮复习考点帮(新高考通用)(完结)
2025年高考数学二级结论篇(核心知识背记手册)_2025年新高考资料_一轮复习_备战2025年高考数学一轮复习考点帮_备战2025年高考数学一轮复习考点帮(新高考通用)(完结)
2025年高考数学二级结论篇(核心知识背记手册)_2025年新高考资料_一轮复习_备战2025年高考数学一轮复习考点帮_备战2025年高考数学一轮复习考点帮(新高考通用)(完结)
2025年高考数学二级结论篇(核心知识背记手册)_2025年新高考资料_一轮复习_备战2025年高考数学一轮复习考点帮_备战2025年高考数学一轮复习考点帮(新高考通用)(完结)
2025年高考数学二级结论篇(核心知识背记手册)_2025年新高考资料_一轮复习_备战2025年高考数学一轮复习考点帮_备战2025年高考数学一轮复习考点帮(新高考通用)(完结)
2025年高考数学二级结论篇(核心知识背记手册)_2025年新高考资料_一轮复习_备战2025年高考数学一轮复习考点帮_备战2025年高考数学一轮复习考点帮(新高考通用)(完结)
2025年高考数学二级结论篇(核心知识背记手册)_2025年新高考资料_一轮复习_备战2025年高考数学一轮复习考点帮_备战2025年高考数学一轮复习考点帮(新高考通用)(完结)
2025年高考数学二级结论篇(核心知识背记手册)_2025年新高考资料_一轮复习_备战2025年高考数学一轮复习考点帮_备战2025年高考数学一轮复习考点帮(新高考通用)(完结)
2025年高考数学二级结论篇(核心知识背记手册)_2025年新高考资料_一轮复习_备战2025年高考数学一轮复习考点帮_备战2025年高考数学一轮复习考点帮(新高考通用)(完结)
2025年高考数学二级结论篇(核心知识背记手册)_2025年新高考资料_一轮复习_备战2025年高考数学一轮复习考点帮_备战2025年高考数学一轮复习考点帮(新高考通用)(完结)
2025年高考数学二级结论篇(核心知识背记手册)_2025年新高考资料_一轮复习_备战2025年高考数学一轮复习考点帮_备战2025年高考数学一轮复习考点帮(新高考通用)(完结)
2025年高考数学二级结论篇(核心知识背记手册)_2025年新高考资料_一轮复习_备战2025年高考数学一轮复习考点帮_备战2025年高考数学一轮复习考点帮(新高考通用)(完结)
2025年高考数学二级结论篇(核心知识背记手册)_2025年新高考资料_一轮复习_备战2025年高考数学一轮复习考点帮_备战2025年高考数学一轮复习考点帮(新高考通用)(完结)
2025年高考数学二级结论篇(核心知识背记手册)_2025年新高考资料_一轮复习_备战2025年高考数学一轮复习考点帮_备战2025年高考数学一轮复习考点帮(新高考通用)(完结)
2025年高考数学二级结论篇(核心知识背记手册)_2025年新高考资料_一轮复习_备战2025年高考数学一轮复习考点帮_备战2025年高考数学一轮复习考点帮(新高考通用)(完结)
2025年高考数学二级结论篇(核心知识背记手册)_2025年新高考资料_一轮复习_备战2025年高考数学一轮复习考点帮_备战2025年高考数学一轮复习考点帮(新高考通用)(完结)
2025年高考数学二级结论篇(核心知识背记手册)_2025年新高考资料_一轮复习_备战2025年高考数学一轮复习考点帮_备战2025年高考数学一轮复习考点帮(新高考通用)(完结)
2025年高考数学二级结论篇(核心知识背记手册)_2025年新高考资料_一轮复习_备战2025年高考数学一轮复习考点帮_备战2025年高考数学一轮复习考点帮(新高考通用)(完结)
2025年高考数学二级结论篇(核心知识背记手册)_2025年新高考资料_一轮复习_备战2025年高考数学一轮复习考点帮_备战2025年高考数学一轮复习考点帮(新高考通用)(完结)
2025年高考数学二级结论篇(核心知识背记手册)_2025年新高考资料_一轮复习_备战2025年高考数学一轮复习考点帮_备战2025年高考数学一轮复习考点帮(新高考通用)(完结)
2025年高考数学二级结论篇(核心知识背记手册)_2025年新高考资料_一轮复习_备战2025年高考数学一轮复习考点帮_备战2025年高考数学一轮复习考点帮(新高考通用)(完结)
2025年高考数学二级结论篇(核心知识背记手册)_2025年新高考资料_一轮复习_备战2025年高考数学一轮复习考点帮_备战2025年高考数学一轮复习考点帮(新高考通用)(完结)
2025年高考数学二级结论篇(核心知识背记手册)_2025年新高考资料_一轮复习_备战2025年高考数学一轮复习考点帮_备战2025年高考数学一轮复习考点帮(新高考通用)(完结)
2025年高考数学二级结论篇(核心知识背记手册)_2025年新高考资料_一轮复习_备战2025年高考数学一轮复习考点帮_备战2025年高考数学一轮复习考点帮(新高考通用)(完结)
2025年高考数学二级结论篇(核心知识背记手册)_2025年新高考资料_一轮复习_备战2025年高考数学一轮复习考点帮_备战2025年高考数学一轮复习考点帮(新高考通用)(完结)
2025年高考数学二级结论篇(核心知识背记手册)_2025年新高考资料_一轮复习_备战2025年高考数学一轮复习考点帮_备战2025年高考数学一轮复习考点帮(新高考通用)(完结)
2025年高考数学二级结论篇(核心知识背记手册)_2025年新高考资料_一轮复习_备战2025年高考数学一轮复习考点帮_备战2025年高考数学一轮复习考点帮(新高考通用)(完结)
2025年高考数学二级结论篇(核心知识背记手册)_2025年新高考资料_一轮复习_备战2025年高考数学一轮复习考点帮_备战2025年高考数学一轮复习考点帮(新高考通用)(完结)
2025年高考数学二级结论篇(核心知识背记手册)_2025年新高考资料_一轮复习_备战2025年高考数学一轮复习考点帮_备战2025年高考数学一轮复习考点帮(新高考通用)(完结)
2025年高考数学二级结论篇(核心知识背记手册)_2025年新高考资料_一轮复习_备战2025年高考数学一轮复习考点帮_备战2025年高考数学一轮复习考点帮(新高考通用)(完结)
2025年高考数学二级结论篇(核心知识背记手册)_2025年新高考资料_一轮复习_备战2025年高考数学一轮复习考点帮_备战2025年高考数学一轮复习考点帮(新高考通用)(完结)
2025年高考数学二级结论篇(核心知识背记手册)_2025年新高考资料_一轮复习_备战2025年高考数学一轮复习考点帮_备战2025年高考数学一轮复习考点帮(新高考通用)(完结)
2025年高考数学二级结论篇(核心知识背记手册)_2025年新高考资料_一轮复习_备战2025年高考数学一轮复习考点帮_备战2025年高考数学一轮复习考点帮(新高考通用)(完结)
2025年高考数学二级结论篇(核心知识背记手册)_2025年新高考资料_一轮复习_备战2025年高考数学一轮复习考点帮_备战2025年高考数学一轮复习考点帮(新高考通用)(完结)
2025年高考数学二级结论篇(核心知识背记手册)_2025年新高考资料_一轮复习_备战2025年高考数学一轮复习考点帮_备战2025年高考数学一轮复习考点帮(新高考通用)(完结)
2025年高考数学二级结论篇(核心知识背记手册)_2025年新高考资料_一轮复习_备战2025年高考数学一轮复习考点帮_备战2025年高考数学一轮复习考点帮(新高考通用)(完结)
2025年高考数学二级结论篇(核心知识背记手册)_2025年新高考资料_一轮复习_备战2025年高考数学一轮复习考点帮_备战2025年高考数学一轮复习考点帮(新高考通用)(完结)
2025年高考数学二级结论篇(核心知识背记手册)_2025年新高考资料_一轮复习_备战2025年高考数学一轮复习考点帮_备战2025年高考数学一轮复习考点帮(新高考通用)(完结)

文档信息

文档格式
docx
文档大小
2.073 MB
文档页数
40 页
上传时间
2026-04-14 14:54:59

文档内容

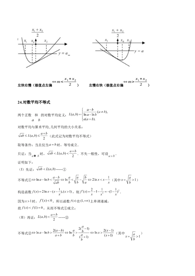
高考数学 二级结论篇 (核心二级结论背记手册) 目录 二级结论背记01 集合.......................................................................................................................3 1. 德摩根公式................................................................................................................................................................3 2. 容斥定理之集合中元素个数....................................................................................................................................3 二级结论背记02 复数.......................................................................................................................4 1. 复数的模....................................................................................................................................................................4 二级结论背记03 平面向量...............................................................................................................4 1. 爪子定理....................................................................................................................................................................4 2. 爪平面向量的系数和(等和线)(等值线).......................................................................................................4 3. 极化恒等式................................................................................................................................................................5 4. 奔驰定理....................................................................................................................................................................6 (1)奔驰定理的证明...........................................................................................................................................6 (2)奔驰定理的推论及四心问题......................................................................................................................7 二级结论背记04 不等式与基本不等式...........................................................................................8 1. 基本不等式链............................................................................................................................................................8 2. 权方和不等式的二维形式........................................................................................................................................8 3. 糖水不等式定理........................................................................................................................................................8 4. 糖水不等式的倒数形式:..........................................................................................................................................8 5. 对数型糖水不等式....................................................................................................................................................8 二级结论背记05 三角函数与三角恒等变换...................................................................................9 1. 常见三角不等式........................................................................................................................................................9 2. 半角公式....................................................................................................................................................................9 3. 万能公式....................................................................................................................................................................9 4. 和差化积与积化和差公式........................................................................................................................................9 二级结论背记06 解三角形.............................................................................................................10 1. 常见三角恒等式......................................................................................................................................................10 2. 常见平面几何结论..................................................................................................................................................10 3. 三角形中常见不等式..............................................................................................................................................10 4. 内切圆半径..............................................................................................................................................................10 5. 海伦-秦九韶公式....................................................................................................................................................10 6. 海伦-秦九韶公式推广............................................................................................................................................11 7. 三倍角公式..............................................................................................................................................................11 8. 射影定理..................................................................................................................................................................11 9. 角平分线定理..........................................................................................................................................................11 10. 张角定理................................................................................................................................................................11 11. 倍角定理................................................................................................................................................................11 12. 中线长定理............................................................................................................................................................12 13. 三角恒等式............................................................................................................................................................12 二级结论背记07 函数的基本性质.................................................................................................13 1. 周期性(差为常数有周期)..................................................................................................................................13 2. 对称性(和为常数有对称轴).............................................................................................................................13 (1)轴对称.........................................................................................................................................................13 (2)点对称.........................................................................................................................................................13 3. 周期性对称性综合问题..........................................................................................................................................13 4. 奇偶性对称性综合问题..........................................................................................................................................14 5. 与指数函数相关的奇函数和偶函数.....................................................................................................................146. 与对数函数相关的奇函数和偶函数.....................................................................................................................14 7. 奇函数+常函数.......................................................................................................................................................14 二级结论背记08 导数.....................................................................................................................14 1. 几个常用极限..........................................................................................................................................................14 2. 两个重要的极限......................................................................................................................................................15 3. 函数极限的四则运算法则......................................................................................................................................15 4. 常用的近似计算公式..............................................................................................................................................15 5. 二阶导的定义..........................................................................................................................................................15 6. 函数极值的第二判定定理......................................................................................................................................15 7. 曲线的凹凸性..........................................................................................................................................................16 8. 曲线的拐点..............................................................................................................................................................16 9. 利用曲线的切线进行放缩证明不等式.................................................................................................................17 10. 利用曲线的相切曲线进行放缩证明不等式.......................................................................................................17 11. 恒成立问题常见类型............................................................................................................................................18 12. 能成立(有解)问题常见类型...........................................................................................................................18 13. 端点效应的类型....................................................................................................................................................19 14. 洛必达法则:........................................................................................................................................................19 15. 常见的指对放缩....................................................................................................................................................19 16. 常见的三角函数放缩............................................................................................................................................19 17. 其他放缩................................................................................................................................................................19 18. 放缩程度综合........................................................................................................................................................20 19. 常见函数的泰勒展开式........................................................................................................................................21 20. 常见函数的泰勒展开式的结论...........................................................................................................................21 21. 极值点偏移的含义................................................................................................................................................22 22. 极值点偏移问题的一般题设形式.......................................................................................................................22 23. 极值点偏移的判定定理........................................................................................................................................23 24. 对数平均不等式....................................................................................................................................................24 25. 拉格朗日(Lagrange)中值定理........................................................................................................................25 二级结论背记09 数列.....................................................................................................................26 1. 等差数列任意前n项和的关系..............................................................................................................................26 2. 等比数列任意前n项和的关系..............................................................................................................................26 3. 数列不动点..............................................................................................................................................................26 4. 错位相减---万能公式求和......................................................................................................................................27 5. 通项公式的构造......................................................................................................................................................27 二级结论背记10 立体几何.............................................................................................................27 1. 内切球体积..............................................................................................................................................................27 2. 三垂线法求二面角..................................................................................................................................................28 3. 垂面法求二面角......................................................................................................................................................28 4. 射影面积法求二面角..............................................................................................................................................28 5. 三余弦定理..............................................................................................................................................................28 6. 三射线定理..............................................................................................................................................................28 7. 空间两点间的距离公式..........................................................................................................................................29 8. 点 到直线 距离..................................................................................................................................................29 9. 异面直线间的距离..................................................................................................................................................29 10. 点 到平面 的距离...........................................................................................................................................29 11. 异面直线上两点距离公式....................................................................................................................................29 12. 欧拉定理(欧拉公式).............................................................................................................................................29 13. 球的组合体............................................................................................................................................................30 二级结论背记11 解析几何(直线与圆+圆锥曲线)...................................................................30 1. 点关于线对称的一般性结论..................................................................................................................................30 2. 直径端点圆的方程..................................................................................................................................................30 3. 解析几何中的切线方程..........................................................................................................................................30 4. 解析结合中的切点弦方程......................................................................................................................................305. 相切的条件..............................................................................................................................................................31 6. 斜率关系..................................................................................................................................................................31 7. 常见不等式..............................................................................................................................................................31 8. 椭球体积..................................................................................................................................................................31 9. 纵坐标之和..............................................................................................................................................................31 10. 渐近线围成的四边形面积....................................................................................................................................31 11. 帕斯卡定理............................................................................................................................................................31 12. 斜率定值................................................................................................................................................................32 13. 椭圆和双曲线的结论汇总....................................................................................................................................32 14. 补充结论1.............................................................................................................................................................34 15. 抛物线的结论........................................................................................................................................................35 16. 补充结论2.............................................................................................................................................................36 二级结论背记12排列组合、二项式定理、概率统计....................................................................37 1. 二项式系数的性质..................................................................................................................................................37 2. 二项式系数和..........................................................................................................................................................37 3. 单条件排列..............................................................................................................................................................37 4. 分配问题..................................................................................................................................................................38 5. “错位问题”及其推广.............................................................................................................................................38 6. 不定方程的解的个数..............................................................................................................................................39 7. 数学期望的性质......................................................................................................................................................39 8. 方差的性质..............................................................................................................................................................39 9. 方差与期望的关系..................................................................................................................................................39 10. 正态分布密度函数................................................................................................................................................39 二级结论背记 01 集合 1. 德摩根公式 C (A∩B)=(C A)∪(C B) U U U C (A∪B)=(C A)∩(C B) U U U 2. 容斥定理之集合中元素个数 card(A∪B)=card(A)+card(B)−card(A∩B) card(A∪B∪C)=card(A)+card(B)+card(C)−card(A∩B)−card(A∩C) −card(B∩C)+card(A∩B∩C)二级结论背记 02 复数 1. 复数的模 已知 , 且 , 则 , 二级结论背记 03 平面向量 1. 爪子定理 A 形如 “爪”字型图及性质: (1)已知 为不共线的两个向量,则对于向量 ,必存在 ,使得 。则 三点共线 B D C 当 ,则 与 位于 同侧,且 位于 与 之间 当 ,则 与 位于 两侧 时,当 ,则 在线段 上;当 ,则 在线段 延长线 A 上 (2)已知 在线段 上,且 ,则 B m D n C 2. 爪平面向量的系数和(等和线)(等值线) 如图, 为 所在平面上一点,过 作直线 ,由平面向量基本定理知: 存在 ,使得下面根据点 的位置分几种情况来考虑系数和 的值 ①若 时,则射线 与 无交点,由 知,存在实数 ,使得 而 ,所以 ,于是 ②若 时, (i)如图1,当 在 右侧时,过 作 ,交射线 于 两点,则 ,不妨设 与 的相似比为 由 三点共线可知:存在 使得: 所以 (ii)当 在 左侧时,射线 的反向延长线与 有交点,如图1作 关于 的对称点 ,由 (i)的分析知:存在存在 使得: 所以 于是 综合上面的讨论可知:图中 用 线性表示时,其系数和 只与两三角形的相似比有关。 我们知道相似比可以通过对应高线、中线、角平分线、截线、外接圆半径、内切圆半径之比来刻画。 因为三角形的高线相对比较容易把握,我们不妨用高线来刻画相似比,在图中,过 作 边的垂线 , 设点 在 上的射影为 ,直线 交直线 于点 ,则 ( 的符号由点 的位置确定),因 此只需求出 的范围便知 的范围 3. 极化恒等式 恒等式右边有很直观的几何意义:向量的数量积可以表示为以这两个向量为邻边的平行四边形的“和对角线”与“差对角线”平方差的 , 恒等式的作用在于向量的线性运算与数量积之间的联系 如图在平行四边形 中, 则 在上述图形中设平行四边形 对角线交于 点, 则对于三角形来说: 4. 奔驰定理 如图,已知P为 内一点,则有 . 由于这个定理对应的图象和奔驰车的标志很相似,我们把它称为“奔驰定理”. (1)奔驰定理的证明 如图:延长 与 边相交于点则 (2)奔驰定理的推论及四心问题 推论 是 内的一点,且 ,则 有此定理可得三角形四心向量式 (1)三角形的重心:三角形三条中线的交点叫做三角形的重心,重心到顶点的距离与重心到对边中点的 距离之比为2:1. (2)三角形的垂心:三角形三边上的高的交点叫做三角形的垂心,垂心和顶点的连线与对边垂直. (3)三角形的内心:三角形三条内角平分线的交点叫做三角形的内心,也就是内切圆的圆心,三角形的 内心到三边的距离相等,都等于内切圆半径r. (4)三角形的外心:三角形三条边的垂直平分线的交点叫做三角形的外心,也就是三角形外接圆的圆心, 它到三角形三个顶点的距离相等. 奔驰定理对于利用平面向量解决平面几何问题,尤其是解决跟三角形的面积和“四心”相关的问题, 有着决定性的基石作用. 已知点 在 内部,有以下四个推论: ①若 为 的重心,则 ; ②若 为 的外心,则 ;或 ③若 为 的内心,则 ;备注:若 为 的内心,则 也对.④若 为 的垂心,则 ,或 二级结论背记 04 不等式与基本不等式 1. 基本不等式链 2 a+b √a2 +b2 ≤√ab≤ ≤ 1 1 2 2 + a b em +en em −en m+n > >e 2 拓展. m>n时, 2 m−n 2. 权方和不等式的二维形式 若 则 当且仅当 时取等. (注:熟练掌握权方和不等式的初级应用,足以解决高考中的这类型最值问题的秒杀) 3. 糖水不等式定理 若 , 则一定有 通俗的理解: 就是 克的不饱和糖水里含有 克糖, 往糖水里面加入 克糖,则糖水更甜; 4. 糖水不等式的倒数形式: 设 , 则有: 5. 对数型糖水不等式 (1) 设 , 且 , 则有 (2)设 , 则有 (3)上式的倒数形式:设 , 则有二级结论背记 05 三角函数与三角恒等变换 1. 常见三角不等式  x(0, ) 2 sinx xtanx (1)若 ,则 .  x(0, ) 2 1sinxcosx 2 (2)若 ,则 . |sinx||cosx|1 . (3) 2. 半角公式 (1)sin =± . (2)cos=± . (3)tan=± ==. 以上称之为半角公式,符号由所在象限决定. 3. 万能公式 4. 和差化积与积化和差公式二级结论背记 06 解三角形 1. 常见三角恒等式 △ABC 在任意 内,都有tanA+tanB+tanC=tanA·tanB·tanC △ABC △ABC 推论:在 内,若tanA+tanB+tanC<0,则 为钝角三角形 2. 常见平面几何结论 平行四边形对角线平方之和等于四条边平方之和 3. 三角形中常见不等式 sinA+sinB+sinC>cosA+cosB+cosC 在锐角三角形中 4. 内切圆半径 a+b−c 2 在Rt△ABC中,C为直角,内角A,B,C所对的边分别是a,b,c,则△ABC的内切圆半径为 5. 海伦-秦九韶公式 三角形的三边分别是a、b、c, 则三角形的面积为 其中 ,这个公式就是海伦公式,为古希腊的几何学家海伦所发现并证明。 我国南宋的秦九韶也曾提出利用三角形三边求三角形面积的秦九韶公式: 6. 海伦-秦九韶公式推广 √27 √28 √29 已知三角形三边x,y,z,求面积可用下述方法(一些情况下比海伦公式更实用,如 , , ) A+B=x2 B+C=y2 C+A=z2 2S=√A⋅B+B⋅C+C⋅A7. 三倍角公式 , 8. 射影定理 a=bcosC+ccosB , b=acosC+ccosA , c=acosB+bcosA 9. 角平分线定理 AB AC = ΔABC 中, AD 为∠BAC 的角平分线,则有 BD CD (1)在 (2) (3) (库斯顿定理) (4) 10.张角定理 sinβ sinα sin(α+β) + = AB AC AD 11.倍角定理 在 中,三个内角 的对边分别为 , (1)如果 ,则有: (2)如果 ,则有: (3)如果 ,则有: 倍角定理的逆运用 在 中,三个内角A、B、C的对边分别为 , (1)如果 ,则有: 。(2)如果 ,则有: 。 (3)如果 ,则有: 。 12.中线长定理 为 的中线,则中线定理: 证明: 在 和 中,用余弦定理有: 13.三角恒等式 在 中, ① ; ② ; ③ ; ④ ; ⑤ ; ⑥ ; ⑦ ; ⑧ ; ⑨ ;二级结论背记 07 函数的基本性质 1. 周期性(差为常数有周期) f (x+a)=f (x) f (x) T=|a| ①若 ,则 的周期为: f (x+a)=f (x+b) f (x) T=|a−b| ②若 ,则 的周期为: f (x+a)=−f (x) f (x) T=|2a| ③若 ,则 的周期为: (周期扩倍问题) 1 f (x+a)=± f (x) f (x) T=|2a| ④若 ,则 的周期为: (周期扩倍问题) 2. 对称性(和为常数有对称轴) (1)轴对称 a x= f (x+a)=f (−x) f (x) 2 ①若 ,则 的对称轴为 a+b x= f (x+a)=f (−x+b) f (x) 2 ②若 ,则 的对称轴为 (2)点对称 (a ) , 0 f (x+a)=−f (−x) f (x) 2 ①若 ,则 的对称中心为 (a+b c) , f (x+a)+f (−x+b)=c f (x) 2 2 若 ,则 的对称中心为 ② 3. 周期性对称性综合问题 ①若 f (a+x)=f (a−x) , f (b+x)=f (b−x) ,其中 a≠b ,则 f (x) 的周期为: T=2|a−b| ②若 f (a+x)=−f (a−x) , f (b+x)=−f (b−x) ,其中 a≠b ,则 f (x) 的周期为: T=2|a−b| ③若 f (a+x)=f (a−x) , f (b+x)=−f (b−x) ,其中 a≠b ,则 f (x) 的周期为: T=4|a−b| 4. 奇偶性对称性综合问题 f (x) f (x+a) f (x) T=4|a| ①已知 为偶函数, 为奇函数,则 的周期为:f (x) f (x+a) f (x) T=4|a| ②已知 为奇函数, 为偶函数,则 的周期为: 5. 与指数函数相关的奇函数和偶函数 f (x)=ax +a−x ,( ,且 )为偶函数, ,( ,且 )为奇函数 和 ,( ,且 )为其定义域上的奇函数 和 ,( ,且 )为其定义域上的奇函数 为偶函数 6. 与对数函数相关的奇函数和偶函数 ,( 且 )为奇函数, ,( 且 )为奇函数 7. 奇函数+常函数 在定义域内,若 F(x)=f (x)+A ,其中 f (x) 为奇函数,A为常数,有 f (a)+f (−a)=2A f (a)+f (−a)=2 即 倍常数 二级结论背记 08 导数 1. 几个常用极限 (1) , ( ); (2) , . 2. 两个重要的极限 (1) ; (2) (e=2.718281845…).3. 函数极限的四则运算法则 若 , ,则 (1) ; (2) ; (3) . 4. 常用的近似计算公式 |x| (当 足够小时) 1 1 n √1+x≈1+ x √1+x≈1+ x 2 n (1) ; ; 1 ≈1−x (2) ; 1+x ; (3) ex ≈1+x ; l (1+x)≈x (4) n ; (5) sinx≈x (x为弧度); (6) tanx≈x(x为弧度); 5. 二阶导的定义 定义 1 : 若函数 的导函数 在点 处可导, 则称 在点 的导数为 在点 的二阶导数, 记作 , 同时称 在点 为二阶可导. 在区间 上每一点都二阶可导, 则得到一个定义在 上的二阶可导函数, 记作 定义 2: 若 6. 函数极值的第二判定定理 若 在 附近有连续的导函数 , 且 (1)若 , 则 在点 处取极大值; (2)若 , 则 在点 处取极小值 7. 曲线的凹凸性 设函数 y=f (x) 在区间 (a,b) 内可导, 如果对应的曲线段位于其每一点的 切线的上方, 则称曲线在 (a,b) 内是凹的, 如果对应的曲线段位于其每一点 的切线的下方, 则称曲线在 (a,b) 内是凸的。从图象上来看, 曲线段向上弯 曲是凹的, 曲线段向下弯曲是凸的。 设函数 在 内具有二阶导数, 如果在 内 , 那么对应的曲线在 内是凹的, 如果在 内 , 那么对 应的曲线在 内是凸的 设 在区间 上连续, 如果对 上任意两点 , 恒有 则称 在 上的图形是凹的, 简称为凹弧; 如果恒有 则称 在 上的图形是凸的, 或简称为凸弧。 8. 曲线的拐点 曲线上凸部和凹部的分界点叫做拐点。因此拐点一定是使 的点, 但是使 的点 不一定都是拐点。 9. 利用曲线的切线进行放缩证明不等式 设 上任一点 的横坐标为 ,则过该点的切线方程为 ,即 ,由此可得与 有关的不等式: ,其中 , ,等号当且 仅当 时成立.特别地,当 时,有 ;当 时,有 .设 上任一点 的横坐标为 ,则过该点的切线方程为 ,即 , 由此可得与 有关的不等式: ,其中 , ,等号当且仅当 时成立.特别 地,当 时,有 ;当 时,有 . 利用切线进行放缩,能实现以直代曲,化超越函数为一次函数. 10.利用曲线的相切曲线进行放缩证明不等式 由图 可得 ;由图 可得 ;由图 可得, ( ), ( );由图 可得, ( ), ( ). 综合上述两种生成,我们可得到下列与 、 有关的常用不等式: 与 有关的常用不等式: (1) ( ); (2) ( ). 与 有关的常用不等式: (1) ( ); (2) ( ); (3) ( ), ( ); (4) ( ), ( ). 用 取代 的位置,相应的可得到与 有关的常用不等式. 11.恒成立问题常见类型 假设 为自变量,其范围设为 , 为函数; 为参数, 为其表达式,(1) 的值域为 ① ,则只需要 ,则只需要 ② ,则只需要 ,则只需要 (2)若 的值域为 ① ,则只需要 ,则只需要 (注意与(1)中对应情况进行对比) ② ,则只需要 ,则只需要 (注意与(1)中对应情况进行对比) 12.能成立(有解)问题常见类型 假设 为自变量,其范围设为 , 为函数; 为参数, 为其表达式, (1)若 的值域为 ① ,则只需要 ,则只需要 ② ,则只需要 ,则只需要 (2)若 的值域为 ① ,则只需要 (注意与(1)中对应情况进行对比) ,则只需要 ② ,则只需要 (注意与(1)中对应情况进行对比) ,则只需要 13.端点效应的类型 1.如果函数 在区间 上, 恒成立,则 或 .2.如果函数 在区问 上, 恒成立,且 (或 ),则 或 . 3.如果函数 在区问 上, 恒成立,且 (或 , 则 或 . 14.洛必达法则: 法则1 若函数f(x) 和g(x)满足下列条件: (1) 及 ; (2)在点a的去心邻域内,f(x) 与g(x) 可导且g'(x)≠0; (3) , 那么 = 。 型 法则2 若函数f(x) 和g(x)满足下列条件: (1) 及 ; (2)在点a的去心邻域内,f(x) 与g(x) 可导且g'(x)≠0; (3) , 那么 = 。 型 15.常见的指对放缩 1 x 1− ≤lnx≤x−1 lnx≤ ex ≥x+1 , ex ≥ex , x , e 16.常见的三角函数放缩 ( π) sinx1) lnx>√x− (01) lnx> (x− )(0− x2 +2x− (x>1) lnx<− x2 +2x− (0 (x>1) lnx< (02) 2 2 x x+1 √x 2 x 1 1 x+11) 1−x , 1−x 19.常见函数的泰勒展开式 (1) ,其中 ; (2) ,其中 ;(3) ,其中 ; (4) ,其中 ; (5) ; (6) ; (7) ; (8) . 由泰勒公式,我们得到如下常用的不等式: , , , , , , , , . 20.常见函数的泰勒展开式的结论 结论1 . 结论2 . 结论3 ( ). 结论4 . 结论5 ; ; . 结论6 ; 结论7 结论8 . 结论9 .21.极值点偏移的含义 f (x) f(x)=f(2m−x) f (x) 众所周知,函数 满足定义域内任意自变量x都有 ,则函数 关于直线 f (x) f (x) x=m对称;可以理解为函数 在对称轴两侧,函数值变化快慢相同,且若 为单峰函数,则 x +x 1 2 x=m必为 f (x) 的极值点. 如二次函数 f (x) 的顶点就是极值点 x 0,若 f (x)=c 的两根的中点为 2 , x +x 1 2 =x 则刚好有 2 0 ,即极值点在两根的正中间,也就是极值点没有偏移. f (x) f (x) 若相等变为不等,则为极值点偏移:若单峰函数 的极值点为m,且函数 满足定义域内 f (x)>f (2m−x) f (x) 1 2 2 2 若 ,则称为极值点左偏;若 ,则称为极值点右偏. x x +x g(x)= 1 2 如函数 ex 的极值点 x 0 =1 刚好在方程 g(x)=c 的两根中点 2 的左边,我们称之为极值点左 偏. 22.极值点偏移问题的一般题设形式 f (x) x ,x x ≠x x +x >2x x f (x) 1. 若函数 存在两个零点 1 2且 1 2,求证: 1 2 0( 0为函数 的极值点); f (x) x ,x x ≠x f (x )=f (x ) x +x >2x x f (x) 2. 若函数 中存在 1 2且 1 2满足 1 2 ,求证: 1 2 0( 0为函数 的极 值点);x +x x = 1 2 f (x) x ,x x ≠x 0 2 f '(x )>0 3. 若函数 存在两个零点 1 2且 1 2,令 ,求证: 0 ; x +x x = 1 2 f (x) x ,x x ≠x f (x )=f (x ) 0 2 f '(x )>0 4. 若函数 中存在 1 2且 1 2满足 1 2 ,令 ,求证: 0 . 23.极值点偏移的判定定理 y=f (x) (a,b) x f (x)=0 对于可导函数 ,在区间 上只有一个极大(小)值点 0,方程 的解分别为 x ,x a)x f(x )f(2x 0 −x 2 ) ,则 1 2 2 >(<)x 0 ,即函数 y=f (x) 在区间 (x 1 ,x 2 ) 上极(小)大值 x 点 0右(左)偏. y=f (x) (a,b) x f (x) 证明:(1)因为对于可导函数 ,在区间 上只有一个极大(小)值点 0,则函数 (a,x ) (x ,b) a)2x 0 −x 2,所以 1 2 2 <(>)x 0 ,即函数极(小)大 x 值点 0右(左)偏; (2)证明略. x +x x +x ⇔m< 1 2 ⇔m> 1 2 左快右慢(极值点左偏 2 ) 左慢右快(极值点右偏 2 )x +x x +x ⇔m< 1 2 ⇔m> 1 2 左快右慢(极值点左偏 2 ) 左慢右快(极值点右偏 2 ) 24.对数平均不等式 两个正数 和 的对数平均定义: 对数平均与算术平均、几何平均的大小关系: (此式记为对数平均不等式) 取等条件:当且仅当 时,等号成立. 只证:当 时, .不失一般性,可设 . 证明如下: (I)先证: ……① 不等式① (其中 ) 构造函数 ,则 . 因为 时, ,所以函数 在 上单调递减, 故 ,从而不等式①成立; (II)再证: ……② 不等式② (其中 )构造函数 ,则 . 因为 时, ,所以函数 在 上单调递增, 故 ,从而不等式成立; 综合(I)(II)知,对 ,都有对数平均不等式 成立, 当且仅当 时,等号成立. 运用判定定理判定极值点偏移的方法 f (x) x (1)求出函数 的极值点 0; F(x)=f(x +x)−f(x −x) (2)构造一元差函数 0 0 ; F(x) (3)确定函数 的单调性; F(0)=0 F(x) f (x +x) f(x −x) (4)结合 ,判断 的符号,从而确定 0 、 0 的大小关系. 25.拉格朗日(Lagrange)中值定理 若函数f(x)满足如下条件: (1)f(x)在闭区间[a,b]上连续; (2)f(x)在开区间(a,b)内可导. 则在(a,b)内至少存在一点ξ,使得 . 拉格朗日中值定理的几何意义 如图所示,在满足定理条件的曲线 上至少存在一点P(ξ,f(ξ)),该曲线在该点处的切线平行 于曲线两端的连线. 需要注意的地方(逆命题不成立) 拉格朗日中值定理没有逆定理,即对曲线的任一切线,并不一定存在割线,使割线斜率等于 切线斜率,如f (x)=x3在x=0处的切线斜率为0,但f (x)不存在割线使割线斜率等于0 拉格朗日公式还有下面几种等价形式, , . 注:拉格朗日公式无论对于 还是 都成立,而ξ则是介于a与b之间的某一常数.显然,当 时, . 二级结论背记 09 数列 1. 等差数列任意前n项和的关系 S =S +S +mnd m+n m n 2. 等比数列任意前n项和的关系 S =S +qm ⋅S m+n m n 3. 数列不动点 f(x)  x f(x) 定义:方程 的根称为函数 的不动点 f(x) a  f(a ) 利用递推数列 的不动点,可将某些递推关系 n n1 所确定的数列化为等比数列或较易求 通项的数列,这种方法称为不动点法 f(x)  axb(a  0,a 1), p f(x) a a  f(a ),(n 1) 定理1:若 是 的不动点, n满足递推关系 n n1 ,则 a  p  a(a  p) {a  p} a n n1 ,即 n 是公比为 的等比数列. axb f(x)  (c  0,ad bc  0) {a } a  f(a ),n 1 定理 2:设 cxd , n 满足递推关系 n n1 ,初值条件 a  f(a ) 1 1 a  p a  p a pc n  k n1 k  f(x) p,q a q a q aqc (1)若 有两个相异的不动点 ,则 n n1 (这里 ) 1 1 2c  k k  (2)若 f(x) 只有唯一不动点 p ,则 a n  p a n1  p (这里 ad ) ax2 bxc f(x)  (a  0,e  0) ex f x ,x u  f(u ) 定理3:设函数 有两个不同的不动点 1 2,且由 n1 n 确定着数u  x u x n1 1  ( n 1)2 {u } b  0,e  2a u x u  x 列 n ,那么当且仅当 时, n1 2 n 2 4. 错位相减---万能公式求和 {a } {b } {c } c =a ⋅b {c } n 为公差为d的等差数列, n 为公比为q的等比数列,若数列 n 满足 n n n,则数列 n 的前 c −q2c +c S = n+1 n 1 n项和 S n为 n (q−1) 2 5. 通项公式的构造 a =pa+q a +λ=p(a +λ) (1)已知 n+1 n ,我们可以用待定系数法构造 n+1 n ,从而转化为我们熟悉的等比 数列求解 a =pa+f (n) a +An+B=p[a +A(n−1)+B] (2)已知 n+1 n 用 n n−1 求通项 a p a 1 n+1 n = ⋅ + (3)已知 a n+1 =pa n +qn 用qn+1 q qn q 求通项公式,其本质是除以一个指数式 a =pa +qa a −ka =h(a −ka) (4)已知 n+2 n+1 n用 n+2 n+1 n+1 n 求通项公式,其本质是待定系数法 1 1 − =p a −a =pa a a a a a n−1 n n−1 n用 n n−1 求通项公式,其本质是除以 n−1 n (5)已知 ma 1 m 1 m a = n = + n+1 pa+q a q a p 已知 n 用 n+1 n 求通项公式,其本质是取到数 (6) a =pa (p>0,a >0) lga =qlga +lgp (7)已知 n+1 n q n 用 n+1 n 求通项公式,其本质是取对数 二级结论背记 10 立体几何 1. 内切球体积 3V S S 任意的简单n面体内切球半径为 表(V是简单n面体的体积, 表是简单n面体的表面积)2. 三垂线法求二面角 已知二面角其中一个面内一点到一个面的垂线,用三垂线定理或逆定理作出二面角的平面角。 3. 垂面法求二面角 已知二面角内一点到两个面的垂线时,过两垂线作平面与两个半平面的交线所成的角即为平面角,由此可 知,二面角的平面角所在的平面与棱垂直。 4. 射影面积法求二面角 凡二面角的图形中含有可求原图形面积和该图形在另一个半平面上的射影图形面积的都可利用射影面积公 S S 式(cosθ= 射 = △A'B'C' ,如图)求出二面角的大小 S S 斜 △ABC 5. 三余弦定理 设AC是α内的任一条直线,且BC⊥AC,垂足为C,又设AO与AB所成的角为 ,AB与AC所成 的角为 ,AO与AC所成的角为 .则 . 6. 三射线定理 若夹在平面角为 的二面角间的线段与二面角的两个半平面所成的角是 , ,与二面角的棱所成的角 是θ,则有 ; (当且仅当 时等号成立). 长度为 的线段在三条两两互相垂直的直线上的射影长分别为 ,夹角分别为 ,则有. (立体几何中长方体对角线长的公式是其特例). 7. 空间两点间的距离公式 若A ,B ,则 = . 8. 点 到直线 距离 (点 在直线 上,直线 的方向向量a= ,向量b= ). 9. 异面直线间的距离 ( 是两异面直线,其公垂向量为 , 分别是 上任一点, 为 间的距 离). 10.点 到平面 的距离 ( 为平面 的法向量, 是经过面 的一条斜线, ). 11.异面直线上两点距离公式 . . ( ). (两条异面直线 a、b 所成的角为 θ,其公垂线段 的长度为 h.在直线 a、b 上分别取两点 E、F, , , ). 12.欧拉定理(欧拉公式) (简单多面体的顶点数V、棱数E和面数F). (1) =各面多边形边数和的一半.特别地,若每个面的边数为 的多边形,则面数F与棱数E的关系: ; (2)若每个顶点引出的棱数为 ,则顶点数V与棱数E的关系: .13.球的组合体 (1)球与长方体的组合体: 长方体的外接球的直径是长方体的体对角线长. (2)球与正方体的组合体: 正方体的内切球的直径是正方体的棱长, 正方体的棱切球的直径是正方体的面对角线长, 正方体的外 接球的直径是正方体的体对角线长. (3) 球与正四面体的组合体: 棱长为 的正四面体的内切球的半径为 ,外接球的半径为 . 二级结论背记 11 解析几何(直线与圆+圆锥曲线) 1. 点关于线对称的一般性结论 ( 2A(Ax+By+C) 2B(Ax+By+C)) x− ,y− A2 +B2 A2 +B2 点(x,y)关于直线Ax+By+C=0的对称点坐标为 2. 直径端点圆的方程 若圆的直径端点 ,则圆的方程为 3. 解析几何中的切线方程 (x−a) 2 +(y−b) 2 =r2 P(x ,y ) (x −a)(x−a)+(y −b)(y−b)=r2 ①过圆 上任意一点 0 0 的切线方程为 0 0 x2 y2 xx yy + =1(a>0,b>0) 0 + 0 =1 a2 b2 P(x ,y ) a2 b ②过椭圆 上任意一点 0 0 的切线方程为 2 x2 y2 xx yy − =1(a>0,b>0) 0 − 0 =1 a2 b2 P(x ,y ) a2 b 过双曲线 上任意一点 0 0 的切线方程为 2 ③ ④设 P(x ,y ) 为抛物 线 y2=2px 上的点, 则过该点的切线方程为y y =p(x+x ) 0 0 0 0 4. 解析结合中的切点弦方程 平面内一点引曲线的两条切线,两切点所在直线的方程叫做曲线的切点弦方程 x +x y +y ①圆 x2 +y2 +Dx+Ey+F=0 的切点弦方程为 x 0 x+y 0 y+ 0 2 D+ 0 2 E+F=0 x2 y2 x x y y + =1(a>0,b>0) 0 + 0 =1 ②椭圆 a2 b2 的切点弦方程为 a2 b2x2 y2 x x y y − =1(a>0,b>0) 0 − 0 =1 ③双曲线 a2 b2 的切点弦方程为 a2 b2 y2 =2px(p>0) y y=p(x +x) ④抛物线 的切点弦方程为 0 0 x y+y x x +x y +y Ax x+B 0 0 +Cy y+D 0 +E 0 +F=0 ⑤二次曲线的切点弦方程为 0 2 0 2 2 5. 相切的条件 x2 y2 + =1(a>0,b>0) ①椭圆 a2 b2 与直线 Ax+By+C=0(A·B≠0) 相切的条件是 A2a2 +B2b2 =C2 x2 y2 − =1(a>0,b>0) ②双曲线 a2 b2 与直线 Ax+By+C=0(A·B≠0) 相切的条件是 A2a2 −B2b2 =C2 6. 斜率关系 若A、B、C、D是圆锥曲线(二次曲线)上顺次四点,则四点共圆(常用相交弦定理)的一个充要条件是:直线 k +k =0 k k AC、BD的斜率存在且不等于零,并有 AC BD ,( AC, BD分别表示AC和BD的斜率) 7. 常见不等式 x2 y2 + =1(a>b>0) a2 b2 F F PF F ∠PF F =θ 已知椭圆方程为 ,两焦点分别为 1, 2,设焦点三角形 1 2中 1 2 , 则 cosθ≥1−2e2 ( cosθ max =1−2e2 ) 8. 椭球体积 x2 y2 4 + =1(a>b>0) V= πab a2 b2 3 椭圆 绕Ox坐标轴旋转所得的旋转体的体积为 9. 纵坐标之和 x2 y2 2mb2 + =1(a>b>0) y=kx+m与椭圆 a2 b2 相交于两点,则纵坐标之和为 a2k2 +b2 10.渐近线围成的四边形面积 x2 y2 ab − =1(a>0,b>0) a2 b2 2 过双曲线 上任意一点作两条渐近线的平行线,与渐近线围成的四边形面积为 11.帕斯卡定理 如果一个六边形内接于一条二次曲线(椭圆、双曲线、抛物线),那么它的三对对边的交点在同一条直线上12.斜率定值 过原点的直线与椭圆的两个交点和椭圆上不与左右顶点重合的任一点构成的直线斜率乘积为定值 a2 − (a>b>0) b2 a2 − (a>b>0) b2 推论1:椭圆上不与左右顶点重合的任一点与左右顶点构成的直线斜率乘积为定值 推论2:过椭圆上一点做斜率互为相反数的两条直线交椭圆于A、B两点,则直线AB的斜率为定值 13.椭圆和双曲线的结论汇总 椭圆 双曲线 标准方程 焦点 焦点 焦半径 为离心率, 为点 的横坐标. 为离心率, 为点 的横坐标. 焦半径范围 为椭圆上一点, 为焦点. 为双曲线上一点, 为焦点. 过焦点与长轴垂直的弦称为通径. 过焦点与实轴垂直的弦称为通径. 通径 通径长为 通径长为 如图,直线 过焦点 与椭圆相交于 如图,直线 过焦点 与双曲线相交于 两点.则 的周长为 . 两点.则 . (即 ) 倾斜角为 的直线 过焦点 与椭圆相交 倾斜角为 的直线 过焦点 与双曲线相 于 两点. 交于 两点. 焦点弦 焦点弦长 . 焦点弦长 . 最长焦点弦为长轴,最短焦点弦为通径. 与 直线 过焦点 与椭圆相交于 两点, 直线 过焦点 与双曲线相交于 两数量关系 则 . 点,则 . 已知点 是椭圆上一点, 坐标原点, 已知点 是双曲线上一点, 坐标原点, 则 . 则 . 如图, 是双曲线上异于实轴端点的一 如图, 是椭圆上异于长轴端点的一点, 点,已知 , , 已知 , , ,则 ,则 (1) ; (1) ; 焦三角形 (2)离心率 . (2)离心率 . 如图,已知直线 与双曲线相交于 两 点,点 为 的中点, 为原点,则 如图,已知直线 与椭圆相交于 两 点,点 为 的中点, 为原点,则 . . 垂径定理 (注:直线 与双曲线的渐近线相交于 两点,其他条件不变,结论依然成 立) 如图,已知点 椭圆长轴端点(短轴端 如图,已知点 双曲线实轴端点, 是 点), 是椭圆上异于 的一点, 双曲线上异于 的一点, 周角定理 则 . 则 .推广:如图,已知点 是椭圆上关于原 推广:如图,已知点 是双曲线上关于 点对称的两点, 是椭圆上异于 的一 原点对称的两点, 是双曲线上异于 点,若直线 的斜率存在且不为 的一点,若直线 的斜率存在且不 零, 为零, . 直线 过焦点 与椭圆相交于 直线 过焦点 与双曲线相交于 两点,点 , 两点,点 , 则 (即 ). 则 (即 ). 已知点 是双曲线上一点,则双 已知点 是椭圆上一点,则椭圆 切线方程 曲线在点 处的切线方程为 在点 处的切线方程为 . . 14.补充结论1 1.过定点(定点在双曲线外且不在渐近线上)的直线与双曲线交点个数问题: 设斜率为 的直线 过定点 ,双曲线方程为 ,过点 与双曲线相 切时的斜率为 . (1)当 时,直线 与双曲线有两个交点,且这两交点在双曲线的两支上; (2)当 时,直线 与双曲线只有一个交点; (3)当 时,直线 与双曲线有两个交点,且这两交点在双曲线的同一支上; (4)当 时,直线 与双曲线只有一个交点;(5)当 时,直线 与双曲线没有交点. 2.如图, 是双曲线 的焦点,过点 作 垂直双曲线的其中一条渐近 线,垂足为 , 为原点,则 . 3.点 是双曲线 上任意一点,则点 到双曲线的渐近线的距离之积为定值 . 4.点 是双曲线 上任意一点,过点 作双曲线的渐近线的平行线分别与渐近线 相交于 两点, 为原点,则平行四边形 的面积为定值 . 15.抛物线的结论 如图,抛物线方程为 ,准线 与 轴相交于点 ,过焦点 的直线 与抛物 线相交于 , 两点, 为原点,直线 的倾斜角为 . 1. 2.焦半径: , , .3.焦点弦: . 4. 的数量关系: , . 5.三角形 的面积 . 6.以焦点弦 为直径的圆与准线相切;以焦半径 为直径的圆与 轴相切. 7.直线 的斜率之和为零( ),即 . 8.点 三点共线;点 三点共线. 9.如图,点 是抛物线 , 为原点,若 ,则直线 过定点 . 16.补充结论2 1.已知椭圆 (a>b>0),O为坐标原点,P、Q为椭圆上两动点,且 .则 (1) ; (2)|OP|2+|OQ|2的最大值为 ; (3) 的最小值是 . 2.与 共轭的双曲线方程为 ,①它们有公共的渐近线;②四个焦点都在以原点为圆 心,C为半径的圆上;③ 。 3.与 有相同焦点的双曲线方程为 4.与 有相同焦点的椭圆方程为: 5.与 有相同焦点的双曲线方程为:6.与 有相同离心率的双曲线方程为: ①焦点在 轴上时: ②焦点在 轴上时: 7.与 有相同的渐近线方程为: ; 二级结论背记 12 排列组合、二项式定理、概率统计 1. 二项式系数的性质 性质 内容 对称性 Cm =Cn−m 与首末两端等距离的两个二项式系数相等,即 n n 当k<时,二项式系数逐渐增大; 增减性 当k>时,二项式系数逐渐减小 n C2 当n是偶数时,中间一项的二项式系数最大,最大值为 n ; 最大值 n−1 n+1 C 2 C 2 当n是奇数时,中间两项的二项式系数相等,且同时取得最大值,最大值为 n 或 n 2. 二项式系数和 (a+b)n的展开式的各个二项式系数的和等于2n,即C+C+C+…+C+…+C=2n. 二项展开式中,偶数项的二项式系数的和等于奇数项的二项式系数的和,即C+C+C+…=C+C+C+… =2n−1 . 3. 单条件排列 以下各条的大前提是从 个元素中取 个元素的排列. (1)“在位”与“不在位” Am−1 Am −Am−1 =A1 Am−1 ①某(特)元必在某位有 n−1种;②某(特)元不在某位有 n n−1(补集思想) n−1 n−1(着 =Am +A1 Am−1 眼位置) n−1 m−1 n−1(着眼元素)种. (2)紧贴与插空(即相邻与不相邻) k(k≤m≤n) AkAm−k ①定位紧贴: 个元在固定位的排列有 k n−k 种. An−k+1Ak ②浮动紧贴: 个元素的全排列把k个元排在一起的排法有 n−k+1 k种.注:此类问题常用捆绑法;③插空:两组元素分别有k、h个( k≤h+1 ),把它们合在一起来作全排列,k个的一组互不能挨近 AhAk 的所有排列数有 h h+1种. (3)两组元素各相同的插空 个大球 个小球排成一列,小球必分开,问有多少种排法? An m+1 =Cn 当 n>m+1 时,无解;当 n≤m+1 时,有 A n n m+1 种排法. Cn (4)两组相同元素的排列:两组元素有m个和n个,各组元素分别相同的排列数为 m+n. 4. 分配问题 (1)(平均分组有归属问题)将相异的 、 个物件等分给 个人,各得 件,其分配方法数共有 (mn)! N=Cn ⋅Cn ⋅Cn ⋅⋯⋅Cn ⋅Cn = mn mn−n mn−2n 2n n (n!) m . (2)(平均分组无归属问题)将相异的 个物体等分为无记号或无顺序的 堆,其分配方法数共有 · N= C m n n ⋅C m n n−n ⋅C m n n−2n ...⋅C 2 n n ⋅C n n = (mn)! m! m!(n!) m . p(p=n +n +⋯+n (3)(非平均分组有归属问题)将相异的 1 2 m)个物体分给 个人,物件必须被分完, 分别得到 , ,…, 件,且 , ,…, 这 个数彼此不相等,则其分配方法数共有 n n n p!m! N=C 1⋅C 2 ...C m¿m!= p p−n 1 n m n !n !...n ! 1 2 m . p(p=n +n +⋯+n (4)(非完全平均分组有归属问题)将相异的 1 2 m)个物体分给 个人,物件必须被 分完,分别得到 , ,…, 件,且 , ,…, 这 个数中分别有a、b、c、…个相等,则其分 n n n C 1⋅C 2 ...C m¿m! p p−n n N= 1 m 配方法数有 a!b!c!... . p(p=n +n +⋯+n (5)(非平均分组无归属问题)将相异的 1 2 m)个物体分为任意的 , ,…, p! N= n !n !...n ! 件无记号的 堆,且 , ,…, 这 个数彼此不相等,则其分配方法数有 1 2 m . p(p=n +n +⋯+n (6)(非完全平均分组无归属问题)将相异的 1 2 m)个物体分为任意的 , ,…, 件无记号的 堆,且 , ,…, 这 个数中分别有a、b、c、…个相等,则其分配方法数有 p! N= n !n !...n !(a!b!c!...) 1 2 m . p(p=n +n +⋯+n (7)(限定分组有归属问题)将相异的 ( 1 2 m))个物体分给甲、乙、丙,……等 个人,物体必须被分完,如果指定甲得 件,乙得 件,丙得 件,…时,则无论 , ,…, 等 个数是否全相异或不全相异其分配方法数恒有 n n n p! N=C 1⋅C 2 ...C m= p p−n 1 n m n !n !...n ! 1 2 m . 5. “错位问题”及其推广 贝努利装错笺问题:信 封信与 个信封全部错位的组合数为. 推广: 个元素与 个位置,其中至少有 个元素错位的不同组合总数为 . 6. 不定方程的解的个数 不定方程 的解的个数 (1)方程 ( )的正整数解有 个. (2) 方程 ( )的非负整数解有 个. (3) 方程 ( )满足条件 ( , )的非负整数解有 个. (4) 方程 ( )满足条件 ( , )的正整数解有 个. 7. 数学期望的性质 (1) . (2)若 ~ ,则 . (3)若 服从几何分布,且 ,则 . 8. 方差的性质 (1) ; (2)若 ~ ,则 . (3) 若 服从几何分布,且 ,则 . nM M E(X)= X~H(n,N,M) N N (4)超几何分布的期望:若 ,则 (其中 为符合要求元素的频率), M M n−1 D(X)=n (1− )(1− ) N N N−1 9. 方差与期望的关系 .10.正态分布密度函数 ,式中的实数μ,σ ( σ>0 )是参数,分别表示个体的平均 数与标准差.标准正态分布密度函数 .