当前位置:首页>文档>信息必刷卷02(广东专用)参考答案_02高考数学_2025年新高考资料_2025考前信息卷_2025年高考数学考前信息必刷卷(广东专用)3430962

信息必刷卷02(广东专用)参考答案_02高考数学_2025年新高考资料_2025考前信息卷_2025年高考数学考前信息必刷卷(广东专用)3430962

  • 2026-04-15 00:14:16 2026-04-15 00:14:16

文档预览

信息必刷卷02(广东专用)参考答案_02高考数学_2025年新高考资料_2025考前信息卷_2025年高考数学考前信息必刷卷(广东专用)3430962
信息必刷卷02(广东专用)参考答案_02高考数学_2025年新高考资料_2025考前信息卷_2025年高考数学考前信息必刷卷(广东专用)3430962
信息必刷卷02(广东专用)参考答案_02高考数学_2025年新高考资料_2025考前信息卷_2025年高考数学考前信息必刷卷(广东专用)3430962
信息必刷卷02(广东专用)参考答案_02高考数学_2025年新高考资料_2025考前信息卷_2025年高考数学考前信息必刷卷(广东专用)3430962
信息必刷卷02(广东专用)参考答案_02高考数学_2025年新高考资料_2025考前信息卷_2025年高考数学考前信息必刷卷(广东专用)3430962
信息必刷卷02(广东专用)参考答案_02高考数学_2025年新高考资料_2025考前信息卷_2025年高考数学考前信息必刷卷(广东专用)3430962
信息必刷卷02(广东专用)参考答案_02高考数学_2025年新高考资料_2025考前信息卷_2025年高考数学考前信息必刷卷(广东专用)3430962
信息必刷卷02(广东专用)参考答案_02高考数学_2025年新高考资料_2025考前信息卷_2025年高考数学考前信息必刷卷(广东专用)3430962
信息必刷卷02(广东专用)参考答案_02高考数学_2025年新高考资料_2025考前信息卷_2025年高考数学考前信息必刷卷(广东专用)3430962
信息必刷卷02(广东专用)参考答案_02高考数学_2025年新高考资料_2025考前信息卷_2025年高考数学考前信息必刷卷(广东专用)3430962

文档信息

文档格式
docx
文档大小
0.417 MB
文档页数
6 页
上传时间
2026-04-15 00:14:16

文档内容

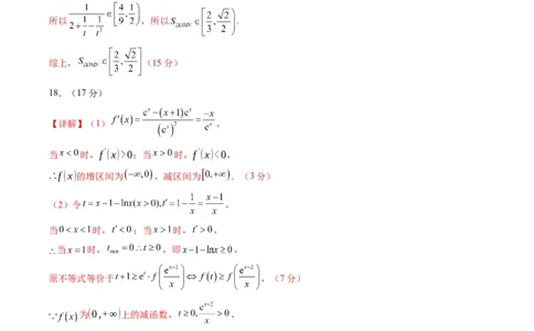
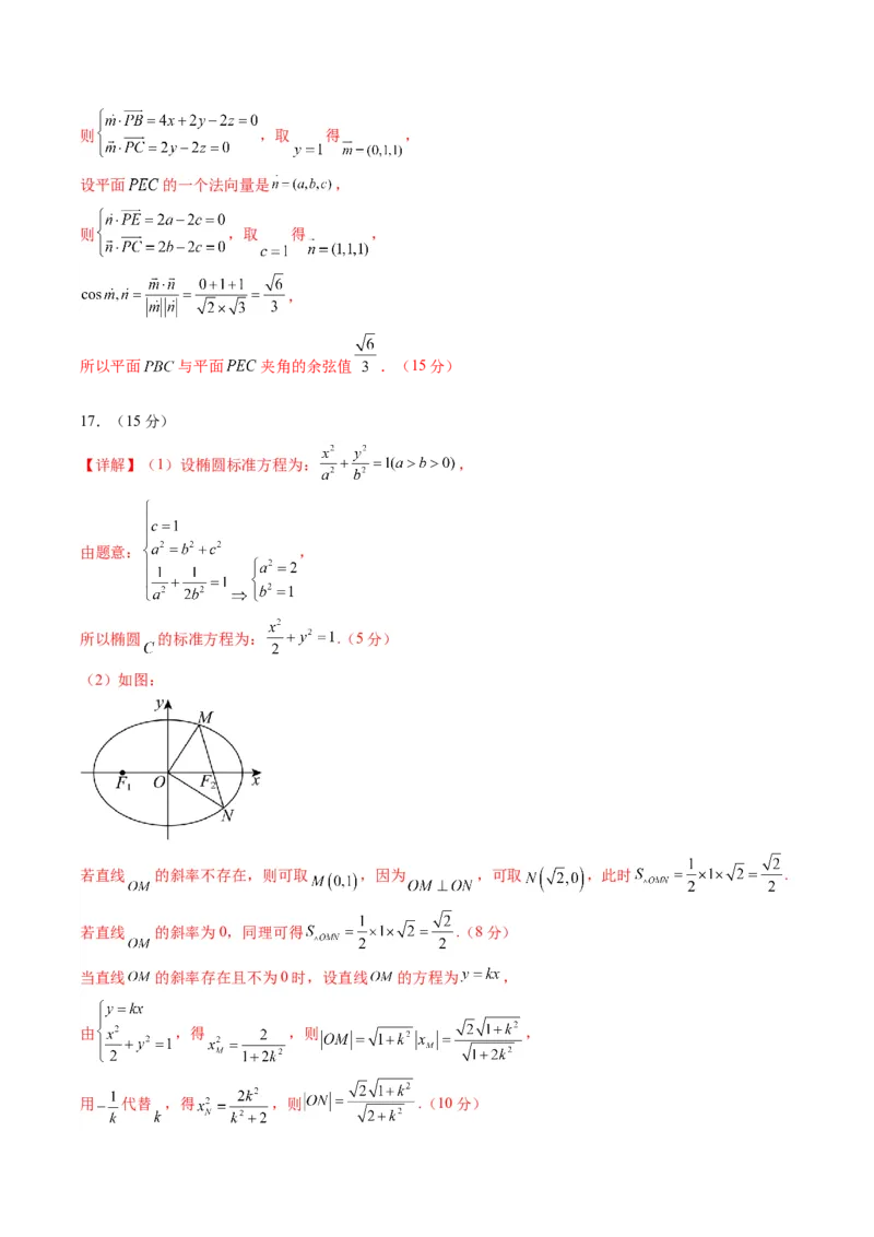
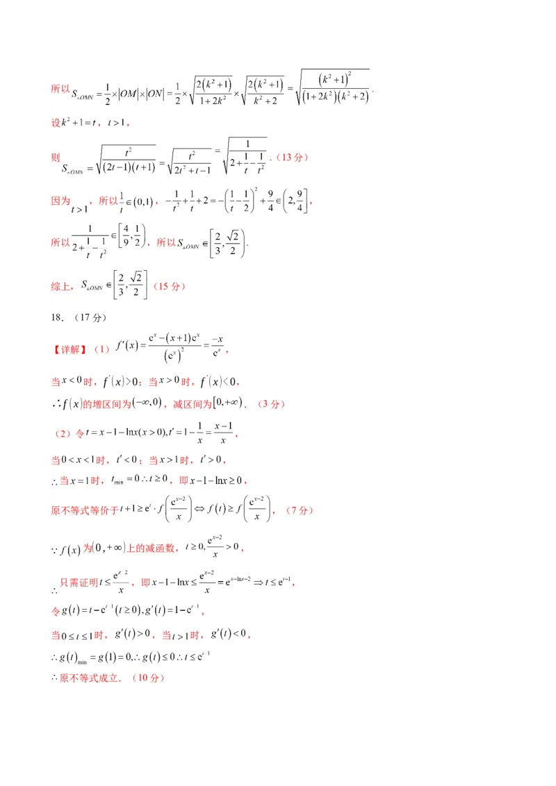
2025 年高考考前信息必刷卷 02(广东专用) 数 学·参考答案 一、单项选择题:本题共8小题,每小题5分,共40分.在每小题给出的四个选项中,只有一项是符合题 目要求的. 1 2 3 4 5 6 7 8 A D C B C B A A 二、多项选择题:本题共3小题,每小题6分,共18分.在每小题给出的选项中,有多项符合题目要求, 全部选对的得6分,部分选对的得部分分,有选错的得0分. 9 10 11 AC BD ABD 三、填空题:本题共3小题,每小题5分,共15分. 12. 13. / 14. / 四、解答题:本题共5小题,共77分.解答应写出文字说明、证明过程或演算步骤. 15.(13分) 【详解】(1)因为 , 由正弦定理可得 , ,(2分) , , ,即 , 即 ,∴ . 又B∈(0,π), ;(6分) (2)因为 的角平分线 与边 相交于点 , 所以 ,即 , 所以 ,所以 ,(8分)又由余弦定理 ,即 ,(10分) 所以 ,解得 或 (舍去), 所以 .(13分) 16.(15分) 【详解】(1)取 中点 ,连接 ,如图, 因为 是 中点,所以 且 , 又 分别是 中点,所以 且 , 所以 与 平行且相等,从而 是平行四边形,所以 , 又因为 平面 , 平面 , 所以 平面 ;(6分) (2)由已知 , , 所以 ,又 , , 平面 , 所以 平面 , 又因为 , 以 为原点, 为 轴建立空间直角坐标系,如图, 则 , , , , , ,(10分) 设平面 的一个法向量是 ,则 ,取 得 , 设平面 的一个法向量是 , 则 ,取 得 , , 所以平面 与平面 夹角的余弦值 .(15分) 17.(15分) 【详解】(1)设椭圆标准方程为: , 由题意: , 所以椭圆 的标准方程为: .(5分) (2)如图: 若直线 的斜率不存在,则可取 ,因为 ,可取 ,此时 . 若直线 的斜率为0,同理可得 .(8分) 当直线 的斜率存在且不为0时,设直线 的方程为 , 由 ,得 ,则 , 用 代替 ,得 ,则 .(10分)所以 . 设 , , 则 .(13分) 因为 ,所以 , , 所以 ,所以 . 综上, (15分) 18.(17分) 【详解】(1) , 当 时,f'(x)>0;当 时,f'(x)<0, ∴f (x)的增区间为 ,减区间为 .(3分) (2)令 , 当 时, ;当 时, , 当 时, ,即 , 原不等式等价于 ,(7分) 为(0,+∞)上的减函数, , 只需证明 ,即 , 令 , 当 时, ,当 时, , 原不等式成立.(10分)(3)当 时,由(2)知 ,又 , , 原不等式在(0,+∞)上恒成立. 当 时,令 . ,(13分) 在(1,4)内必有零点,设为 ,则 , , ,而 , 综上所述实数 的取值范围是 .(17分) 19.(17分) 【详解】(1) , ,(2分) 若 ,使得 成立,则 成立,显然,当 时等式成 立, 所以 ,使得 成立,得证. (5分) (2)因为数列 的前 项和为 当 时, ; 当 时, , 所以 ,(8分) 因为存在正整数 使得 成立, 则①当 时, ,即 , 因为 , 所以 ,而 ,所以不存在正整数 使得 成立; ②当 时,若 成立,则 ,得 , 所以 时存在正整数 使得 成立,由①②得 .(11分) (3)假设存在 使得数列 为“ 阶可分拆数列” 即存在确定的正整数 ,存在正整数 使得 成立. 即 , 即 ,(13分) ①当 时, 时方程成立, ②当 时, 当 时, ; 当 时, , 当 时, ,所以不存在正整数 使得 成立; ③当 时, ,当 时, 成立, ④当 时, , 所以不存在正整数 使得 成立. 综上: 或3. (17分)