当前位置:首页>文档>课时跟踪检测(五十七)二项分布与正态分布作业_02高考数学_新高考复习资料_2022年新高考资料_2022届一轮复习讲练结合_第十章计数原理、概率、随机变量及其分布列

课时跟踪检测(五十七)二项分布与正态分布作业_02高考数学_新高考复习资料_2022年新高考资料_2022届一轮复习讲练结合_第十章计数原理、概率、随机变量及其分布列

  • 2026-04-21 01:05:18 2026-04-21 01:05:18

文档预览

课时跟踪检测(五十七)二项分布与正态分布作业_02高考数学_新高考复习资料_2022年新高考资料_2022届一轮复习讲练结合_第十章计数原理、概率、随机变量及其分布列
课时跟踪检测(五十七)二项分布与正态分布作业_02高考数学_新高考复习资料_2022年新高考资料_2022届一轮复习讲练结合_第十章计数原理、概率、随机变量及其分布列
课时跟踪检测(五十七)二项分布与正态分布作业_02高考数学_新高考复习资料_2022年新高考资料_2022届一轮复习讲练结合_第十章计数原理、概率、随机变量及其分布列
课时跟踪检测(五十七)二项分布与正态分布作业_02高考数学_新高考复习资料_2022年新高考资料_2022届一轮复习讲练结合_第十章计数原理、概率、随机变量及其分布列
课时跟踪检测(五十七)二项分布与正态分布作业_02高考数学_新高考复习资料_2022年新高考资料_2022届一轮复习讲练结合_第十章计数原理、概率、随机变量及其分布列
课时跟踪检测(五十七)二项分布与正态分布作业_02高考数学_新高考复习资料_2022年新高考资料_2022届一轮复习讲练结合_第十章计数原理、概率、随机变量及其分布列
课时跟踪检测(五十七)二项分布与正态分布作业_02高考数学_新高考复习资料_2022年新高考资料_2022届一轮复习讲练结合_第十章计数原理、概率、随机变量及其分布列
课时跟踪检测(五十七)二项分布与正态分布作业_02高考数学_新高考复习资料_2022年新高考资料_2022届一轮复习讲练结合_第十章计数原理、概率、随机变量及其分布列
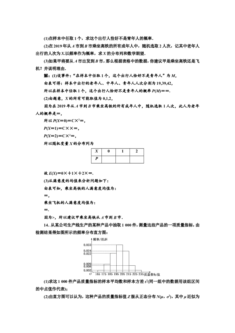
课时跟踪检测(五十七)二项分布与正态分布作业_02高考数学_新高考复习资料_2022年新高考资料_2022届一轮复习讲练结合_第十章计数原理、概率、随机变量及其分布列

文档信息

文档格式
doc
文档大小
0.119 MB
文档页数
5 页
上传时间
2026-04-21 01:05:18

文档内容

课时跟踪检测(五十七) 二项分布与正态分布 1.甲、乙两人同时报考某一所大学,甲被录取的概率为0.6,乙被录取的概率为0.7,两人 是否被录取互不影响,则其中至少有一人被录取的概率为( ) A.0.12 B.0.42 C.0.46 D.0.88 解析:选D 因为甲、乙两人是否被录取相互独立,又因为所求事件的对立事件为“两 人均未被录取”,由对立事件和相互独立事件概率公式,知P=1-(1-0.6)×(1-0.7)=1- 0.12=0.88. 2.用电脑每次可以自动生成一个(0,1)内的实数,且每次生成每个实数都是等可能的,若 用该电脑连续生成3个实数,则这3个实数都大于的概率为( ) A. B. C. D. 解析:选C 由题意可得,用该电脑生成1个实数,且这个实数大于的概率为P=1-=, 则用该电脑连续生成3个实数,这3个实数都大于的概率为3=.故选C. 3.(多选)(2021·济南模拟)已知在某市的一次学情检测中,学生的数学成绩X服从正态分 布N(100,100),其中90分为及格线,120分为优秀线.下列说法正确的是( ) 附:随机变量ξ服从正态分布N(μ,σ2),则P(μ-σ<ξ<μ+σ)=0.682 7,P(μ-2σ<ξ<μ +2σ)=0.954 5,P(μ-3σ<ξ<μ+3σ)=0.997 3. A.该市学生数学成绩的期望为100 B.该市学生数学成绩的标准差为100 C.该市学生数学成绩及格率超过0.8 D.该市学生数学成绩不及格的人数和优秀的人数大致相等 解析:选AC 数学成绩X服从正态分布N(100,100),则数学成绩的期望为100,数学成 绩的标准差为10,故A正确,B错误;及格率为p=1-=0.841 35,C正确;不及格概率为p 1 2 =0.158 65,优秀概率p==0.022 75,D错误.故选A、C. 3 4.某群体中的每位成员使用移动支付的概率都为p,各成员的支付方式相互独立.设X 为该群体的10位成员中使用移动支付的人数,D(X)=2.4,P(X=4)<P(X=6),则p=( ) A.0.7 B.0.6 C.0.4 D.0.3 解析:选B 由题知X~B(10,p),则D(X)=10×p×(1-p)=2.4,解得p=0.4或0.6.又 ∵P(X=4)<P(X=6),即Cp4(1-p)6<Cp6(1-p)4⇒(1-p)2<p2⇒p>0.5, ∴p=0.6,故选B. 5.某个电路开关闭合后会出现红灯或绿灯闪烁,已知开关第一次闭合后出现红灯的概 率为,两次闭合后都出现红灯的概率为,则在第一次闭合后出现红灯的条件下第二次闭合后 出现红灯的概率为( ) A. B.C. D. 解析:选C 设“开关第一次闭合后出现红灯”为事件A,“第二次闭合后出现红灯” 为事件B,则由题意可得P(A)=,P(AB)=,则在第一次闭合后出现红灯的条件下第二次闭合 出现红灯的概率是P(B|A)===.故选C. 6.一台机床有的时间加工零件A,其余时间加工零件B.加工零件A时,停机的概率为, 加工零件B时,停机的概率是,则这台机床停机的概率为( ) A. B. C. D. 解析:选A 假设总时间为1,则在1时间内,加工零件A停机的概率是×=,加工零件 B停机的概率是×=,所以这台机床停机的概率是+=. 7.箱子里有5个黑球,4个白球,每次随机取出一个球,若取出黑球,则放回箱中,重新 取球;若取出白球,则停止取球,那么在第4次取球之后停止的概率为( ) A. B.3× C.× D.C×3× 解析:选B 由题意知,第四次取球后停止是当且仅当前三次取的球是黑球,第四次取 的球是白球的情况,此事件发生的概率为3×. 8.(2021·南昌月考)已知1号箱中有2个白球和4个红球、2号箱中有5个白球和3个红 球,现随机从1号箱中取出一球放入2号箱,然后从2号箱中随机取出一球,则两次都取到红 球的概率是________. 解析:设“从1号箱取到红球”为事件A,“从2号箱取到红球”为事件B. 由题意,P(A)==,P(B|A)==, 所以P(AB)=P(B|A)·P(A)=×=, 所以两次都取到红球的概率为. 答案: 9.(2020·天津高考)已知甲、乙两球落入盒子的概率分别为和.假定两球是否落入盒子互 不影响,则甲、乙两球都落入盒子的概率为________;甲、乙两球至少有一个落入盒子的概率 为________. 解析:依题意得,甲、乙两球都落入盒子的概率为×=;甲、乙两球都不落入盒子的概率 为×=,则甲、乙两球至少有一个落入盒子的概率为1-=. 答案: 10.(2021年1月新高考八省联考卷)对一个物理量做n次测量,并以测量结果的平均值 作为该物理量的最后结果.已知最后结果的误差ε ~N,为使误差ε 在(-0.5,0.5)的概率不小 n n 于0.954 5,至少要测量________次(若X~N(μ,σ2),则P(|X-μ|<2σ)=0.954 5). 解析:根据正态曲线的对称性知:要使误差ε 在(-0.5,0.5)的概率不小于0.954 5,则(μ- n 2σ,μ+2σ)⊂(-0.5,0.5)且μ=0,σ= ,∴0.5≥2 ⇒n≥32. 答案:3211.春天即将来临,某学校开展以“拥抱春天,播种绿色”为主题的植物种植实践体验 活动.已知某种盆栽植物每株成活的概率为p,各株是否成活相互独立.该学校的某班随机领 养了此种盆栽植物10株,设X为其中成活的株数,若X的方差D(X)=2.1,P(X=3),所以建议甲乘坐高铁从A市到B市. 14.从某公司生产线生产的某种产品中抽取1 000件,测量这些产品的一项质量指标,由 检测结果得如图所示的频率分布直方图: (1)求这1 000件产品质量指标的样本平均数和样本方差s2(同一组中的数据用该组区间 的中点值作代表); (2)由直方图可以认为,这种产品的质量指标值Z服从正态分布N(μ,σ2),其中μ近似为样本平均数,σ2近似为样本方差s2. ①利用该正态分布,求P(175.6