当前位置:首页>文档>专题07函数中的双变量问题(解析版)_02高考数学_新高考复习资料_2024年新高考资料_专项复习资料_学霸养成2024高考数学压轴大题必杀技系列·导数

专题07函数中的双变量问题(解析版)_02高考数学_新高考复习资料_2024年新高考资料_专项复习资料_学霸养成2024高考数学压轴大题必杀技系列·导数

  • 2026-04-28 01:07:06 2026-04-28 01:07:06

文档预览

专题07函数中的双变量问题(解析版)_02高考数学_新高考复习资料_2024年新高考资料_专项复习资料_学霸养成2024高考数学压轴大题必杀技系列·导数
专题07函数中的双变量问题(解析版)_02高考数学_新高考复习资料_2024年新高考资料_专项复习资料_学霸养成2024高考数学压轴大题必杀技系列·导数
专题07函数中的双变量问题(解析版)_02高考数学_新高考复习资料_2024年新高考资料_专项复习资料_学霸养成2024高考数学压轴大题必杀技系列·导数
专题07函数中的双变量问题(解析版)_02高考数学_新高考复习资料_2024年新高考资料_专项复习资料_学霸养成2024高考数学压轴大题必杀技系列·导数
专题07函数中的双变量问题(解析版)_02高考数学_新高考复习资料_2024年新高考资料_专项复习资料_学霸养成2024高考数学压轴大题必杀技系列·导数
专题07函数中的双变量问题(解析版)_02高考数学_新高考复习资料_2024年新高考资料_专项复习资料_学霸养成2024高考数学压轴大题必杀技系列·导数
专题07函数中的双变量问题(解析版)_02高考数学_新高考复习资料_2024年新高考资料_专项复习资料_学霸养成2024高考数学压轴大题必杀技系列·导数
专题07函数中的双变量问题(解析版)_02高考数学_新高考复习资料_2024年新高考资料_专项复习资料_学霸养成2024高考数学压轴大题必杀技系列·导数
专题07函数中的双变量问题(解析版)_02高考数学_新高考复习资料_2024年新高考资料_专项复习资料_学霸养成2024高考数学压轴大题必杀技系列·导数
专题07函数中的双变量问题(解析版)_02高考数学_新高考复习资料_2024年新高考资料_专项复习资料_学霸养成2024高考数学压轴大题必杀技系列·导数
专题07函数中的双变量问题(解析版)_02高考数学_新高考复习资料_2024年新高考资料_专项复习资料_学霸养成2024高考数学压轴大题必杀技系列·导数
专题07函数中的双变量问题(解析版)_02高考数学_新高考复习资料_2024年新高考资料_专项复习资料_学霸养成2024高考数学压轴大题必杀技系列·导数
专题07函数中的双变量问题(解析版)_02高考数学_新高考复习资料_2024年新高考资料_专项复习资料_学霸养成2024高考数学压轴大题必杀技系列·导数
专题07函数中的双变量问题(解析版)_02高考数学_新高考复习资料_2024年新高考资料_专项复习资料_学霸养成2024高考数学压轴大题必杀技系列·导数
专题07函数中的双变量问题(解析版)_02高考数学_新高考复习资料_2024年新高考资料_专项复习资料_学霸养成2024高考数学压轴大题必杀技系列·导数
专题07函数中的双变量问题(解析版)_02高考数学_新高考复习资料_2024年新高考资料_专项复习资料_学霸养成2024高考数学压轴大题必杀技系列·导数
专题07函数中的双变量问题(解析版)_02高考数学_新高考复习资料_2024年新高考资料_专项复习资料_学霸养成2024高考数学压轴大题必杀技系列·导数
专题07函数中的双变量问题(解析版)_02高考数学_新高考复习资料_2024年新高考资料_专项复习资料_学霸养成2024高考数学压轴大题必杀技系列·导数
专题07函数中的双变量问题(解析版)_02高考数学_新高考复习资料_2024年新高考资料_专项复习资料_学霸养成2024高考数学压轴大题必杀技系列·导数
专题07函数中的双变量问题(解析版)_02高考数学_新高考复习资料_2024年新高考资料_专项复习资料_学霸养成2024高考数学压轴大题必杀技系列·导数
专题07函数中的双变量问题(解析版)_02高考数学_新高考复习资料_2024年新高考资料_专项复习资料_学霸养成2024高考数学压轴大题必杀技系列·导数
专题07函数中的双变量问题(解析版)_02高考数学_新高考复习资料_2024年新高考资料_专项复习资料_学霸养成2024高考数学压轴大题必杀技系列·导数
专题07函数中的双变量问题(解析版)_02高考数学_新高考复习资料_2024年新高考资料_专项复习资料_学霸养成2024高考数学压轴大题必杀技系列·导数
专题07函数中的双变量问题(解析版)_02高考数学_新高考复习资料_2024年新高考资料_专项复习资料_学霸养成2024高考数学压轴大题必杀技系列·导数
专题07函数中的双变量问题(解析版)_02高考数学_新高考复习资料_2024年新高考资料_专项复习资料_学霸养成2024高考数学压轴大题必杀技系列·导数
专题07函数中的双变量问题(解析版)_02高考数学_新高考复习资料_2024年新高考资料_专项复习资料_学霸养成2024高考数学压轴大题必杀技系列·导数
专题07函数中的双变量问题(解析版)_02高考数学_新高考复习资料_2024年新高考资料_专项复习资料_学霸养成2024高考数学压轴大题必杀技系列·导数
专题07函数中的双变量问题(解析版)_02高考数学_新高考复习资料_2024年新高考资料_专项复习资料_学霸养成2024高考数学压轴大题必杀技系列·导数
专题07函数中的双变量问题(解析版)_02高考数学_新高考复习资料_2024年新高考资料_专项复习资料_学霸养成2024高考数学压轴大题必杀技系列·导数
专题07函数中的双变量问题(解析版)_02高考数学_新高考复习资料_2024年新高考资料_专项复习资料_学霸养成2024高考数学压轴大题必杀技系列·导数
专题07函数中的双变量问题(解析版)_02高考数学_新高考复习资料_2024年新高考资料_专项复习资料_学霸养成2024高考数学压轴大题必杀技系列·导数
专题07函数中的双变量问题(解析版)_02高考数学_新高考复习资料_2024年新高考资料_专项复习资料_学霸养成2024高考数学压轴大题必杀技系列·导数
专题07函数中的双变量问题(解析版)_02高考数学_新高考复习资料_2024年新高考资料_专项复习资料_学霸养成2024高考数学压轴大题必杀技系列·导数
专题07函数中的双变量问题(解析版)_02高考数学_新高考复习资料_2024年新高考资料_专项复习资料_学霸养成2024高考数学压轴大题必杀技系列·导数
专题07函数中的双变量问题(解析版)_02高考数学_新高考复习资料_2024年新高考资料_专项复习资料_学霸养成2024高考数学压轴大题必杀技系列·导数
专题07函数中的双变量问题(解析版)_02高考数学_新高考复习资料_2024年新高考资料_专项复习资料_学霸养成2024高考数学压轴大题必杀技系列·导数
专题07函数中的双变量问题(解析版)_02高考数学_新高考复习资料_2024年新高考资料_专项复习资料_学霸养成2024高考数学压轴大题必杀技系列·导数
专题07函数中的双变量问题(解析版)_02高考数学_新高考复习资料_2024年新高考资料_专项复习资料_学霸养成2024高考数学压轴大题必杀技系列·导数
专题07函数中的双变量问题(解析版)_02高考数学_新高考复习资料_2024年新高考资料_专项复习资料_学霸养成2024高考数学压轴大题必杀技系列·导数
专题07函数中的双变量问题(解析版)_02高考数学_新高考复习资料_2024年新高考资料_专项复习资料_学霸养成2024高考数学压轴大题必杀技系列·导数
专题07函数中的双变量问题(解析版)_02高考数学_新高考复习资料_2024年新高考资料_专项复习资料_学霸养成2024高考数学压轴大题必杀技系列·导数
专题07函数中的双变量问题(解析版)_02高考数学_新高考复习资料_2024年新高考资料_专项复习资料_学霸养成2024高考数学压轴大题必杀技系列·导数
专题07函数中的双变量问题(解析版)_02高考数学_新高考复习资料_2024年新高考资料_专项复习资料_学霸养成2024高考数学压轴大题必杀技系列·导数
专题07函数中的双变量问题(解析版)_02高考数学_新高考复习资料_2024年新高考资料_专项复习资料_学霸养成2024高考数学压轴大题必杀技系列·导数

文档信息

文档格式
docx
文档大小
1.978 MB
文档页数
40 页
上传时间
2026-04-28 01:07:06

文档内容

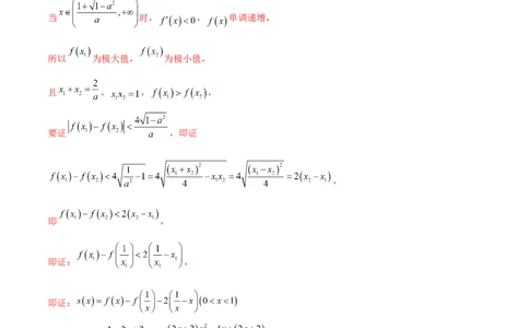
专题 7 函数中的双变量问题 一、考情分析 函数与导数一直是高考中的热点与难点, 近几年高考试卷及各地模拟试卷中常出现在函数背景下借组导 数处理含有两个变量的等式与不等式问题,这类问题由于变量多,不少同学不知如何下手,其实如能以函 数思想为指导,把双变量问题转化为一个或两个一元函数问题,再利用导数就可有效地加以解决. 二、解题秘籍 (一) 与函数单调性有关的双变量问题 此类问题一般是给出含有 的不等式,若能通过变形,把不等式两边转化为同源函数,可利 用函数单调性定义构造单调函数,再利用导数求解. 常见结论: (1)若对任意 ,当 时恒有 ,则 在D上是增函数; (2)若对任意 ,当 时恒有 ,则 在D上是增函数; (3)若对任意 ,当 时恒有 ,则 在D上是增函数; (4)若对任意 ,当 时恒有 ,则 在D上是增函数. 【例1】(2024届四川省仁寿第一中学校高三上学期第一次调研)已知函数 . (1)求 的单调区间; (2)存在 且 ,使 成立,求 的取值范围. 【解析】(1)由题意得 ,令 得 , 时, , 在 上单调递增; 时, , 在 上单调递减; 综上, 单调递增区间为 ,单调递减区间为 . 资料整理【淘宝店铺:向阳百分百】(2)由题意存在 且 ,不妨设 , 由(1)知 时, 单调递减. 等价于 , 即 , 即存在 且 ,使 成立. 令 ,则 在 上存在减区间. 即 在 上有解集,即 在 上有解, 即 , ; 令 , , , 时, , 在 上单调递增, 时, , 在 单调递减, ∴ ,∴ . (二) 与极值点有关的双变量问题 与极值点 有关的双变量问题,一般是根据 是方程 的两个根,确定 的关系,再通过消 元转化为只含有 或 的关系式,再构造函数解题,有时也可以把所给条件转化为 的齐次式,然后转化 为关于 的函数,此外若题中含有参数也可考虑把所给式子转化为关于参数的表达式. 【例2】(2024届福建省福州第一中学高三上学期质量检查)已知函数 . (1)若 , ,求实数a的取值范围; (2)设 , 是函数 的两个极值点,证明: . 资料整理【淘宝店铺:向阳百分百】【解析】(1)当 时, ,在 时, , 单调递减, 又 ,所以 ,不满足题意; 当 时, , 若 ,即 时, , 在 上单调递增, 又 ,所以 ,满足题意; 若 ,即 时, 令 ,可得 , , 当 时, , 单调递增, 当 时, , 单调递减, 而 ,所以 , 不满足 在 上 . 综上所述, ; (2)当 时, 由 得 , 单调递减,无极值,不满足题意; 当 时, , 若 ,即 时, , 在 上单调递增, 无极值,不满足题意; 若 ,即 时, 资料整理【淘宝店铺:向阳百分百】令 ,可得 , ,此时 , 当 时, , 单调递增, 当 时, , 单调递减, 当 时, , 单调递增, 所以 为极大值, 为极小值, 且 , , , 要证 ,即证 , 即 , 即证: , 即证: 则 , 因为 , 故 在 上为减函数,故 , 故 成立, 资料整理【淘宝店铺:向阳百分百】故 . 【例3】(2023届云南省曲靖市高三下学期第二次联考)已知函数 . (1)当 时,试讨论函数 的单调性; (2)设函数 有两个极值点 ,证明: . 【解析】(1)当 时, 定义域为 , , 令 解得 或 ,且当 或 时, ,当 时, , 所以当 或 时, 单调递增,当 时, 单调递减, 综上 在区间 , 上单调递增, 在区间 单调递减. (2)由已知 ,可得 , 函数 有两个极值点 ,即 在 上有两个不等实根, 令 ,只需 ,故 , 又 , , 所以 , 要证 ,即证 , 只需证 , 资料整理【淘宝店铺:向阳百分百】令 , , 则 , 令 ,则 恒成立, 所以 在 上单调递减, 又 , , 由零点存在性定理得, 使得 , 即 , 所以 时, , 单调递增, 时, , 单调递减, 则 , 又由对勾函数知 在 上单调递增, 所以 所以 ,即 得证. (三) 与零点有关的双变量问题 与函数零点 有关的双变量问题,一般是根据 是方程 的两个根,确定 的关系,再通过 消元转化为只含有 或 的关系式,再构造函数解题,有时也可以把所给条件转化为 的齐次式,然后转 化为关于 的函数,有时也可转化为关于 的函数,若函数中含有参数,可考虑把参数消去,或转化为以 参数为自变量的函数. 【例4】已知函数 . (1)当 时,求 的单调区间; 资料整理【淘宝店铺:向阳百分百】(2)若函数 在定义域内有两个不相等的零点 . ①求实数a的取值范围; ②证明: . 【解析】 (1)当 时,函数 ,定义域为 . . 由 ,得 . 当 时, ,当 时, , 所以 的单调递减区间为 ,单调递增区间为 . (2)①若函数 在定义域内有两个不相等的零点 , 则方程 有两个不等的实根. 即方程 有两个不等的实根. 记 ,则 , 记 ,则 在 上单减,且 , ∴当 时, ;当 时, , ∴ 在 上单调递增,在 单调递减. ∴ . 又∵ 且当 时, , ∴方程为 有两个不等的实根时, . ∴当 时函数 在定义域内有两个不相等的零点 . ②要证 , 只需证 , 只需证 , 因为 ,两式相减得: 资料整理【淘宝店铺:向阳百分百】. 整理得 . 所以只需证 , 即证 , 即 ,不妨设 ,令 , 只需证 , 只需证 , 设 , 只需证当 时, 即可. ∵ , ∴ 在( 单调递减, ∴当 时, , ∴ 在 单调递增,当 时 , ∴原不等式得证. 明. (四) 独立双变量,各自构造一元函数 此类问题一般是给出两个独立变量,通过变形,构造两个函数,再利用导数知识求解. 【例5】(2024届陕西省宝鸡实验高级中学高三一模)已知函数 , 是自然对数的底数. (1)当 时,求整数 的值,使得函数 在区间 上存在零点; (2)若存在 使得 ,试求 的取值范围. 资料整理【淘宝店铺:向阳百分百】【解析】(1) , , 当 时, , ,故 是 上的增函数, 同理 是 上的减函数, ,且 时, , 故当 时,函数 的零点在 内, 满足条件. 同理,当 时,函数 的零点在 内, 满足条件, 综上 . (2)问题 当 时, , , ①当 时,由 ,可知 ; ②当 时,由 ,可知 ; ③当 时, , 在 上递减, 上递增, 时, , 而 ,设 (仅当 时取等号), 在 上单调递增,而 , 当 时, 即 时, , 即 , 构造 ,易知 , 在 递增, ,即 的取值范围是 . (五) 构造一元函数求解双变量问题 当两个以上的变元或是两个量的确定关系在解题过程中反复出现.通过变量的四则运算后,把整体处理为一 个变量,从而达到消元的目的. f(x)exln(1x) 【例6】已知函数 . 资料整理【淘宝店铺:向阳百分百】y f(x) (0, f(0)) (1)求曲线 在点 处的切线方程; g(x) f(x) g(x) [0,) (2)设 ,讨论函数 在 上的单调性; s,t(0,) f(st) f(s) f(t) (3)证明:对任意的 ,有 . f(x)exln(1x) f 00 【解析】 (1)解:因为 ,所以 , 0,0 即切点坐标为 , 1 f(x)ex(ln(1x) ) 又 , 1x ∴切线斜率k  f(0)1 yx ∴切线方程为: 1 (2)解:因为 g(x) f(x)ex(ln(1x) ) , 1x 2 1 g(x)ex(ln(1x)  ) 所以 , 1x (1x)2 2 1 令h(x)ln(1x)  , 1x (1x)2 1 2 2 x21 h(x)    0 则 1x (1x)2 (1x)3 (1x)3 , ∴h(x)在[0,)上单调递增, ∴h(x)h(0)10 ∴g(x)0在[0,)上恒成立, g(x) [0,) ∴ 在 上单调递增. f(st) f(s) f(t) f(0) (3)解:原不等式等价于 , 令m(x) f(xt) f(x),(x,t 0), 即证m(x)m(0), m(x) f(xt) f(x)extln(1xt)exln(1x) ∵ , ext ex m(x)extln(1xt) exln(1x) g(xt)g(x), 1xt 1x 资料整理【淘宝店铺:向阳百分百】1 由(2)知 g(x) f(x)ex(ln(1x) ) 在0,上单调递增, 1x ∴g(xt)g(x), m(x)0 ∴ m(x) 0, x,t 0 ∴ 在 上单调递增,又因为 , m(x)m(0) ∴ ,所以命题得证. (六) 独立双变量,把其中一个变量看作常数 若问题中两个变量没有明确的数量等式关系,有时可以把其中一个当常数,另外一个当自变量 a 【例7】已知函数 f(x)xln (a0), x gxex x0 f(x) (1)若函数 在 处的切线也是函数 图像的一条切线,求实数a的值; f(x) xy10 (2)若函数 的图像恒在直线 的下方,求实数a的取值范围; a a (3)若 x 1 ,x 2 ( e , 2 ) ,且x  x ,证明:(x x )4>a2xx 1 2 1 2 1 2 gxex gx x0 k g01 g01 l:yx1 【解析】 (1) , 在 处切线斜率 , ,所以切线 , 又 fxln a x 1 ,设 l 与 f x相切时的切点为    x 0 ,x 0 ln x a 0   ,则斜率 k  fx 0 ln x a 0 1 ,  a  a  a  yln 1 xx x ln ln 1xx 则切线l的方程又可表示为  x  0 0 x  x  0, 0 0 0  a ln 11  x 0 由 ,解之得 . x 1 ae2 0 a (2)由题可得 f xx10对于 恒成立,即xln x10对于 恒成立, x0 x x0 a a a 令hxxln x x1,则hxln x 2,由hx0得x e2 , 资料整理【淘宝店铺:向阳百分百】 a  a  a  x 0,   ,  e2  e2 e2  hx + 0  hx ↗ 极大值 ↘ 则当x0时, hx max h   e a 2     e a 2 1 ,由 e a 2 10 ,得:0ae2,即实数a的取值范围是  0,e2 . a fxln 1 (3)由题知 , x a a a 由 fx0得x ,当 xa时, fx0, f xxln a0 单调递减, e e x a a 因为 x x x a ,所以 f x  f x x ,即x 1 ln x x 1 x 2 ln x x , 1 1 2 1 1 2 1 1 2 a x x a a x x a 所以ln  1 2 ln ,①同理ln  1 2 ln ,② x x x x x x x x 1 1 1 2 2 2 1 2 a a x x x x  a ln ln  1 2  1 2 ln ①+②得 x x  x x  x x , 1 2 1 2 1 2 x x x x x x 因为 1 2  1 2 2 2  1 4, x x x x 1 2 1 2 a a 由 得 1,即ln 0, x x a x x x x 1 2 1 2 1 2 4 a a a a2  a  所以 ln x ln x 4ln x x ,即xx  x x   ,所以x x 4 a2xx . 1 2 1 2 1 2 1 2 1 2 1 2 (七) 双变量,通过放缩消元转化为单变量问题 此类问题一般是把其中一个变量的式子放缩成常数,从而把双变量问题转化为单变量问题 【例8】(2023届湖北省武汉市江汉区高三上学期7月新起点考试)已知函数 . (1)当 时,求函数 的单调区间; (2)设 是函数 的两个极值点. ①求实数a的取值范围; 资料整理【淘宝店铺:向阳百分百】②求证: . 【解析】(1)当 时, , 当 时, ,当 时, 单调递增,且 , 时, , 时, ,所以 时, ,∴ 的单调递减区间为(-∞,1),递增区间为(1,+∞). (2)①∵函数 有两个极值点,∴方程 ,即 有两个解.令 ,则 的图象与 的图象有两个交点.而 当 时, , 递减,;当 时, , 递增,∴ 又∵ 时, ; 时, ,∴ 当 时,g(x)单调递减,且 ;当 时,g(x)单调递增,且 ∴ 的图象与 的图象有两个交点的充要条件是 故a的取值范围为(- ,0)②不妨 设 是 的两个极值点,且 ,由①可知 , 或 时, , 时, ,f(x)在 上单调递增,在 上单调递减,在 上单调递增.∵ ,∴ ∴ ( 是极大值),∴ 要证 ,只需证 设 ,其中 ,则 , 资料整理【淘宝店铺:向阳百分百】令 ,则 ,令 , ,∴ 在(-1,+∞)上单调递增.∵ .∴ ∴t(x)在(-1,+∞)上单调递增,∴ ,即 ∴h(x)在(- 1,+∞)上单调递增,∴ ,又 ,∴ 故 . 三、典例展示 【例1】(2024届湖北省武汉市部分学校高三上学期九月调研)已知函数 . (1)若 ,求 的单调区间; (2)若 , ,且 有两个极值点,分别为 和 ,求 的最 小值. 【解析】(1) 时, , , 令 ,可得 或 , 当 或 时, ,函数 单调递增; 当 时, ,函数 单调递减. 所以 在 和 上单调递增,在 上单调递减. (2) , 令 ,可得 . 由题意可得, 是关于 的方程 的两个实根, 资料整理【淘宝店铺:向阳百分百】所以 . 由 ,有 , 所以 . 将 代入上式,得 , 同理可得 . 所以 ①. 令 ,①式化为 , 设 ,即 , 则 , 记 ,则 . 记 ,则 , 所以 在 上单调递增,所以 , 所以 , 在 上单调递增,所以 . 所以 , 在 上单调递减. 又 资料整理【淘宝店铺:向阳百分百】, 当且仅当 且 ,即 时, 取到最大值 ,即 的最大值为2. 因为 在 上单调递减,所以 . 所以 的最小值为 . 【例2】(2024届重庆市第十一中学高三上学期第一次质量监测)已知函数 , 为 的导函数, (1)当 时, (i)求曲线 在 处的切线方程; (ii)求函数 的单调区间; (2)当 时,求证:对任意的 ,有 . 【解析】(1)(i)当 时, , 则 , , 所以 在 处切线的斜率 , 所以切线方程为 . (ii)由(i)可知 , 资料整理【淘宝店铺:向阳百分百】所以 , 令 解得 , 所以当 时, ,当 时, , 所以函数 在 上单调递减,在 上单调递增. (2)由题意可知 , , 对任意的 ,令 , , 则 ①, 令 , , 当 时, , 由此可得 在 上单调递增,所以当 时, ,即 , 因为 , , , 所以 ②, 资料整理【淘宝店铺:向阳百分百】由(1)(ii)可知当 时, ,即 , 故 ③, 由①②③可得 , 所以当 时,对任意的 , . 【例3】(2023届内蒙古乌兰察布市高三上学期期中)设函数 , (1)试讨论函数 的单调性; (2)如果 且关于 的方程 有两个解 ,证明: . 【解析】(1) 的定义域为 , ∴ , 令 ,解得 ,或 , 当 时,则当 时, ,当 时, , ∴ 在 上为减函数,在 上为增函数, 当 时,则当 时, ,当 时, , ∴ 在 上为减函数,在 上为增函数, 当 时, 恒成立,即 在 上是增函数, 综上可得,当 时, 在 上为减函数,在 上为增函数, 当 时, 在 上为减函数,在 上为增函数, 当 时, 在 上是增函数, 资料整理【淘宝店铺:向阳百分百】(2)证明: 当 且关于 的方程 有两个解 等价于当 存在 , 由(1)当 时, 在 上为减函数,在 上为增函数, 不妨设 , 设 , , ∴ ∴ 在 上单调递减,∴ , 即当 时, , 由于 ,∴ ,即 , ∵ ,∴ , 又 , , 在 上为增函数, ∴ ,即 . 【例4】已知函数 , . (1)讨论 的单调性; (2)任取两个正数 ,当 时,求证: . 【解析】 (1) . 当 时, ,令 ,得 ;令 ,得 . 资料整理【淘宝店铺:向阳百分百】所以 在 上单调递增,在 上单调递减. 当 ,即 时,令 ,得 或 ;令 ,得 . 所以 在 , 上单调递增,在 上单调递减. 当 ,即 时, 恒成立,所以 在 上单调递增. 当 ,即 时,令 ,得 或 ;令 ,得 . 所以 在 , 上单调递增,在 上单调递减. 综上所述, 当 时, 在 上单调递增,在 上单调递减; 当 时, 在 , 上单调递增,在 上单调递减; 当 时, 在 上单调递增; 当 时, 在 , 上单调递增,在 上单调递减; (2)证明:由题意得, . 要证 , 只需证 , 即证 , 即证 . 令 , 资料整理【淘宝店铺:向阳百分百】所以只需证 在 上恒成立, 即证 在 上恒成立. 令 ,则 , 令 ,则 . 所以 在 上单调递减,即 在 上单调递减, 所以 ,所以 在 上单调递增, 所以 . 所以 . 【例5】已知 (1)求 的取值范围; (2)若 ,证明: ; (3)求所有整数 ,使得 恒成立.注: 为自然对数的底数. 【解析】(1)当 时,有 与 矛盾; 当 时,有 与 而 ,与 矛盾; 当 时,有 则 ,由 得 ,所以 ; 综上所述: ; (2)设 ,则 ,当 时, ,则 在 上递增, 由于 得 ,即 ,由(1)知 ,又 , 故要证 即证 即证 且 资料整理【淘宝店铺:向阳百分百】①要证 ,需证 ,即证 需证 ,设 ,需证 由 ,又 ,所以 所以 在 单调减,则 ,所以 成立,则 成立; ②要证 ,由于 ,则 需证 ,即证 需证 ,设 ,需证 由 , 又 , , 故有 , ,所以 在 单调减,在 单调增 又 , 所以 ,则 ,得 所以 成立; (3)因为 , 所以 资料整理【淘宝店铺:向阳百分百】由 设 ,由 ,得 在 上单调减,在 上单调增 又因为 则 所以 由 恒成立,所以 的值可以是 四、跟踪检测 1.(2024届浙江省名校协作体高三上学期联考)已知函数 有两个极值点 . 其中 , 为自然对数的底数. (1)求实数 的取值范围; (2)若 恒成立,求 的取值范围. 【解析】(1)由于 , 由题知 有两个不同实数根,即 有两个不同实数根. 令 ,则 ,解得 ,故 在 上单调递增,在 上单调 递减,且 时, , 时, , ,故 的图象如图所示, 资料整理【淘宝店铺:向阳百分百】当 时, 有两个零点 且 .则 或 ,故 在 上单 调递增,在 上单调递减,在 上单调递增, 的极大值点为 ,极小值点为 . 故 有两个极值点时,实数 的取值范围为 . (2)由于 若设 ,则上式即为 由(1)可得 ,两式相除得 ,即 , 由 得 所以 ,令 , 则 在 恒成立,由于 , 令 ,则 , , 显然 在 递增, 又有 ,所以存在 使得 , 且易得 在 递减, 递增,又有 , 所以存在 使得 ,且易得 在 递减, 递增, 又 ,则 时, 时, ,所以易得 在 上 资料整理【淘宝店铺:向阳百分百】递减,在 上递增,则 , 所以 的取值范围为 . 2.(2024届贵州省思南中学高三上学期第二次月考)已知函数 . (1)讨论 的单调性. (2)若有两个不相等的实数 满足 ,求证: . 【解析】(1) 的定义域为 , 由 ,得 , 由 ,得 , 由 ,得 , 所以 在 上递增,在 上递减, (2)证明:由(1)得 在 上的值域为 ,在 上的值域为 , 因为 , 所以不妨设 ,则要证 ,只要证 , 由 ,由(1)得 在 上递增, 所以只需证 , 因为 ,所以只要证 , 则 , 所以 , 令 ,则只需证 , 资料整理【淘宝店铺:向阳百分百】由于 ,从而得 , 所以要证 成立,只需 在 单调递增成立即可, , 令 ,则 , 所以 在 上单调递减, 所以 , 所以 , 所以 在 单调递增成立, 所以原命题成立. 3.(2024届重庆市拔尖强基联盟高三上学期九月联考)已知函数 是定义域上 的奇函数,当 时, 的最小值为4. (1)求实数 的值; (2)令 ,对 ,都有 ,求实数 的取值范围. 【解析】(1)根据题意可知,对应定义域内任意 ,函数 满足 , 即 , 即 ,解得 ; 所以 , 资料整理【淘宝店铺:向阳百分百】当 时, , 即 ,解得 ; 所以 , . (2)由(1)可得 , 令 , ,则 , 易知当 时, ,此时函数 在 上单调递减, 当 时, ,即函数 在 上单调递增, 所以 ; 令 ,则 可化为 , 因为二次函数 的对称轴为 , 所以函数 在 上单调递增, 又对 ,都有 ,即 即可; 所以 , 即 ,解得 , 所以 ; 综上可得,实数 的取值范围是 . 4.(2024届重庆市渝北中学高三上学期8月月考)已知函数 , . 资料整理【淘宝店铺:向阳百分百】(1)当 时,求函数 的极值; (2)若任意 、 且 ,都有 成立,求实数 的取值范围. 【解析】(1)当 时, ,其中 , 则 ,令 ,解得 或 , 又因为 ,所以 , 列表如下: 2 0 极小 单调递减 单调递增 值 因此 有极小值 ,无极大值. (2)解:因为 , , 所以 ,其中 , 对 、 且 ,不妨设 ,则 , 得到 ,化为 , 设 且函数 的定义域为 , 所以 在 为增函数, 即有 对 恒成立,即 对任意的 恒成立, 设 ,其中 ,则 , 资料整理【淘宝店铺:向阳百分百】令 ,解得 ,令 ,解得 , 所以 在 上单调递增,在 上单调递减, 所以 最大值 ,因此实数 的取值范围是 . 5.(2024届江西省赣州市第四中学高三上学期开学考)设m为实数,函数 . (1)当 时,直线 是曲线 的切线,求 的最小值; (2)已函数 有两个不同的零点 , ( ),若 ,且 恒成立, 求实数 的范围. 【解析】(1)当 时, ,∴ , 设切点为 ,则切线斜率 , ∴切线方程为 ,∴ , , ∴ , 令 ,则 , 由 ,可得 ;由 ,可得 , ∴ 在 上单调递减,在 上单调递增, ∴ ,即 的最小值为 ; (2)∵ 有两个不同的零点 , ( ), ∴ , , , 资料整理【淘宝店铺:向阳百分百】∴ ,∴ , 设 ,则 , 又 , ∴ , 将 代入上式可得: 恒成立, 又 ,则 ,∴ 恒成立, 设 , , 则 , , (ⅰ)当 时, , ∴ ,∴ 在 上单调递减, 恒成立, ∴ ; (ⅱ)当 时,∵ , ∴ 时, , 在 上单调递减; 时, , 在 上单调递增, ∴ 时, , 综上可得 . 资料整理【淘宝店铺:向阳百分百】6.(2024届安徽省安庆、池州、铜陵三市部分学校高三上学期开学联考)已知函数 , ,若曲线 与 相切. (1)求函数 的单调区间; (2)若曲线 上存在两个不同点 , 关于y轴的对称点均在 图象上. ①求实数m的取值范围; ②证明: . 【解析】(1)设曲线 与 的切点坐标为 , 由 ,得 . 故切线方程为: , 即 ,又切线方程为 , 所以 , ① 且 , ② 设 , , 当 时, , 单调递增; 当 时, , 单调递减, 最大值为 , 由②可得: 代入①得: , 故 , 所以 递减区间为 ,递增区间为 . 资料整理【淘宝店铺:向阳百分百】(2)由(1)知 ,故 , , ① , 关于y轴的对称点为 , , 由已知得: , ,即 有两个不等的实根 , , 令 , , 当 时, , 单调递减; 当 时, , 单调递增, , 又 , , , ,且 , 故实数m的取值范围是 ; ②不妨设 ,要证明 ,即证 , 因为当 时, 单调递减,故只需证 , 又 ,即证明 , 令 , 因为 ,故 ,故 , 在 单调递减, 所以 . 故 ,即 , 所以 . 资料整理【淘宝店铺:向阳百分百】7.(2023届广东省华南师范大学附属中学高三三模)已知函数 , . (1)讨论 零点的个数; (2)当 时,若存在 ,使得 ,求证: . 【解析】(1) ,所以 , 若 ,由 , , 即 在 上单调递增,在 上单调递减,故 , 若 ,则 ,此时函数无零点; 若 , ,此时函数只有一个零点; 若 , , 时, , , 即 使得 ,即此时函数有两个零点; 若 ,由 或 , , 即 在 和 上单调递增,在 上单调递减,故 在 处取得极大值, 而 ,且 , 即 使得 ,此时函数有且仅有一个零点; 若 ,此时 恒成立,即 在 上单调递增, , 即 使得 ,此时函数有且仅有一个零点; 若 ,由 或 , , 资料整理【淘宝店铺:向阳百分百】即 在 和 上单调递增,在 上单调递减,故 在 处取得极大值 , , 又 , 即 使得 ,此时函数有且仅有一个零点; 综上所述: 时, 有两个零点; 时, 没有零点; 时, 有一个零点. (2)当 时,由(1)任取 设 , 先证 ,即证 , 设 ,即 在定义域上单调递增, 故 ,则 成立, 由 得: 所以 , 即 , 解得 , 资料整理【淘宝店铺:向阳百分百】故 ,证毕. 8.(2023届安徽省五校高三5月联考)已知正实数 ,函数 , , 为 的导函数. (1)若 ,求证: ; (2)求证;对任意正实数m,n, ,有 . 【解析】(1) , ∴ 在 上单调递增,得 要证: 只需证: .即 即证: 令 , , ∴ 在 上单调递增 故证 ,即 令 , , 资料整理【淘宝店铺:向阳百分百】, , 在 上单调递增 ∴存在唯一 使, 在 上单调递减,在 上单调递增 ∴ ∴ ,故原不等式成立,即 ; (2)由(1)知, 在 上单调递减 ∴ ,即 由于 ,且m,n为正实数,不妨令 ∴ .  1 9.(2023届湖南省长沙市第一中学高三上学期入学摸底考试)已知函数 f xalnxx   a e  (e是自然 对数的底数). x 1 2x x (1)若x,x ( 0x x )是函数 y f x 的两个零点,证明:lnx 2 1 ; 1 2 1 2 1 a2 k 0 ymkx2 y f x (2)当 时,若对于 ,曲线C: 与曲线 都有唯一的公共点,求实数m的取值范 围. x,x 0x x  y f x 【解析】 (1)依题意, 1 2 1 2 是函数 的两个零点, 设 x 2 tx 1 ,因为 x 2 x 1 0 ,所以 t1 , x x tx lnt a 1 t1 因为a 1  2  1 ,所以lnx  ,   , lnx lnx lnx lnt 1 t1 x lnx lnt 1 2 1 1 1 资料整理【淘宝店铺:向阳百分百】x x 1 t1 1 2x x  1 2tx x  2t1 2t1 不等式lnx 2 1 lnx 1 1 lnx lnt , 1 1 1 因为t1,所证不等式即2tlntlntt10. 1 设ht2tlntlntt1,所以ht2lnt2 1,令gtht, t 2 1 则 gt t  t2 0 ,所以ht在1,上是增函数,且hth10, ht 1, hth10 所以 在 上是增函数,且 , 即2tlntlntt10,从而所证不等式成立. C:ymkx2 y f x (2)因为曲线 与曲线 有唯一的公共点, 所以方程mkx2 2lnxx有唯一解,即方程kx22lnxxm有唯一解, 2 2kx2x2 令gxkx22lnxx,x0,所以gx2kx 1 , x x 1 当116k剠0,k 时,gx�0,函数ygx单调递增, 16 gx ym 易知 与 有且只有一个交点,满足题意; 1 1 1 当116k 0,0k  时, 有两个根,且两根之和为 8,两根之积为 16, 16 2kx2x20 2k k gx 若两根一个大于4,一个小于4,此时函数 先增后减再增,存在一个极大值和一个极小值,要使 kx22lnxxm有唯一实数根, 则m大于极大值或小于极小值. x x 4 gx kx22lnx x m 记 3为极大值点,则 3 ,则 3 3 3 3 恒成立, 2kx2x 20 2kx2 x 2 又 3 3 ,即 3 3 , 1 1 则极大值gx kx22lnx x  x 2x 2lnx 2lnx  x 1, 3 3 3 3 2 3 3 3 3 2 3 2 1 因为gx 3  x  2 x 3 4 ,所以 gx 0,gx 在0,4上单调递增, gx g44ln23 ,则 3 3 3 3 m�4ln23; 资料整理【淘宝店铺:向阳百分百】x x 4 gx kx22lnx x m 2kx2x 20 记 4为极小值点,则 4 ,则 4 4 4 4 ,又 4 4 , 所以2lnx  1 x 1m恒成立,令hx 2lnx  1 x 1,又hx  2  1 , 4 2 4 4 4 2 4 4 x 2 4 2 1 1 所以 时,  0,所以hx 2lnx  x 1单调递减,无最小值, x 4 x 2 4 4 2 4 4 4 1 所以不存在 ,使得2lnx  x 1m恒成立. m 4 2 4 1 若两根都大于4,设x 5 为极大值点,x 5 4,则同理可得 hx 5 2lnx 5  2 x 5 1 单调递减,所以 hx h44ln23 m�4ln23 5 ,则 ; 1 设x 为极小值点,x 4,可得不存在 m ,使得 2lnx 6  2 x 6 1m 恒成立. 6 6 k 0 C:ymkx2 y f x m 综上,要使对 ,曲线 与曲线 都有唯一的公共点, 的取值范围为 4ln23, . a 10.已知函数 f x2lnx 1. x2 f x (1)讨论 的单调性; 1 1  2f x  (2)若 f x 有两个不同的零点x,x ,x 为其极值点,证明:x2 x 2 0 . 1 2 0 1 2 a 【解析】 (1)∵ f x2lnx 1, x2 2x22a fx (x0), x3 fx0, f x 0, a0 当 时, 在 上为减函数; 当 a0 时,   fx0 0x a,f x 0, a 由 得: 在 上为增函数;   fx0 x a,f x a, 由 得: 在 上为减函数 资料整理【淘宝店铺:向阳百分百】(2)由 (1) 可知: a0 且当 x a 时, f x 取极大值为 f  a  lna f x f  a  lna,x  a 从而 的最大值为 0 f  a  lna0 为满足题意,必有 ,即1a0, 1 1x 设 hxlnxx, 则 hx 1 , x x x0,1 hx0 hx 0,1 当 时, , 所以 在 上单调递増; x1, hx0 hx 1, 当 时, , 所以 在 上单调递减, h(x) h110 所以 max , 从而 lnxx , 2f x 4ln  a  2ln   1  2 , 0  a a ∵ x,x f x 1 2 是函数 的两个不同的零点, a a f x 2lnx  10, f x 2lnx  10, 1 1 x2 2 2 x2 1 2 1 x2x2   2 1 两式相减得: a 2x2x 2ln x 2 . 1 2 x 1 1 1  2f x  设 x x 0, 所以要证明: x2 x2 0 , 2 1 1 2 1 1  x 2x2  2 2 1 x 2 x 2 x 只需要证明: 1 2 2x2x 2ln 2 . 1 2 x 1 x2  2 2 1 x2 x2  即证明: ln x 2 2  2  x 2 2x 1 2 , 也就是证明: ln x 1 2 2  x 2 2 1 1 , x2 x2x2 x2 1 1 2 1 x 2 2 t1, lnt  2t1 (t 1) 设 x2 , 下面就只需证明: t1 , 1 资料整理【淘宝店铺:向阳百分百】2t1 1 4 (t1)2 gtlnt (t 1) gt   0 设 t1 , 则 t (t1)2 t(t1)2 , 2t1 gt 在 1, 上为增函数, 从而 gtlnt g10, t1 lnt  2t1 成立, 从而 1  1 2f x  t1 x2 x2 0 1 2 资料整理【淘宝店铺:向阳百分百】